| Скачать .docx |
Реферат: Шпоры по экономической теории 3
1.Экономика как наука. Предметы и методы исследования .
Экономика-наука молодая, сформировалась лишь в 17 веке. До 17 века экономика развивалась в рамках философских школ, контролировалась церковью. В древнее время философами Греции, Индии, Китая обсуждались вопросы, связанные с ценообразованием, с накоплением богатства, проблемы рационального поведения человека. Экономика с греч. – «наука о ведении домашнего хозяйства». С 16 века экономика стремительно развивается. В разных странах возникают конкурирующие экономические школы, которые систематизируют знания об экономике. Появляется термин «политическая экономика», наука об основах функционирования общественного хозяйства в рамках какого-либо государства. Экономическая теория менялась как предмет. Современные экономисты все больше интересуются динамическими процессами: инфляционные проблемы экономических циклов, экономического роста, занятости в экономике.
2.Экономические законы — устойчивые, существенные причинно-следственные, повторяющиеся взаимосвязи между экономическими явлениями и процессами. Иначе говоря, экономические законы это по сути своей проявление устойчивых отношений между людьми, складывающихся в процессе производства, распределения, обмена и потребления, которые в то же время проявляются как интересы. [(Это - необходимые условия для реализации потребностей (общества) с перераспределением ресурсов)].
Основные экономические законы: Закон спроса, Закон общего макроэкономического равновесия,Закон частного экономического равновесия ,Закон производительной силы труда ,Закон предложения Закон конкуренции Закон стоимости Законы денежного обращения Законы экономического роста Закон эффективности производства Закон пропорциональности Закон накопления
Функции экономических законов
Экономические законы выполняют определенные функции, определяющим образом связанные с общественным развитием. При этом функции каждого из законов специфичны, как специфичны выражаемые ими устойчивые, существенные и прочные связи между явлениями экономики. Вместе с тем, вся совокупность экономических законов вводит экономическую жизнь общества, развивающегося в рамках каждой данной экономической системы, в определенное объективно обусловленное русло, в чем состоит ее главная функция.
Особенности экономических законов
В отличие от законов природы, экономические законы это законы деятельности непосредственно самих людей. Люди активно воздействуют на экономические законы, можно сказать, в определенной степени их формируют. В то же время экономические законы носят объективный характер. Так как люди не могут сами выбрать производительные силы и условия материальной жизни, они подчиняются тем экономическим законам, которые функционируют в обществе в данный исторический момент. Так, если предприниматель в условиях капитализма не будет стремиться к максимизации прибыли, то он разорится: законы рыночной экономики и свободной конкуренции вынуждают производителя создавать товары в соответствии со спросом населения. Экономические законы носят исторический характер. В рамках конкретных исторических формаций действуют особые системы экономических законов. Так, законы первобытнообщинного способа производства отличаются от экономических законов рабовладения. Специфический характер имеют экономические законы феодализма и капитализма. Экономические законы на протяжении столетий в условиях различных общественных формаций функционировали стихийно, наподобие законов природы. Общественные катаклизмы, так же как и природы, потрясали человечество, приводили к колоссальным социальным и экономическим потерям. Особенно ярко это проявлялось в кризисах перепроизводства. После последнего экономического кризиса 1929-1933 гг., охватившего весь мир, человечество в определенной мере научилось регулировать экономические процессы на основе познания экономических законов. Это проявилось в изменении характера экономических кризисов, в нейтрализации их негативных последствий для населения и для производства. Экономические законы отличаются по своему содержанию и продолжительности действия. Наряду со специфическими законами, действующими на протяжении какой-либо одной общественно-экономической формации, функционируют общие экономические законы, присущие всем или ряду общественно-экономических формаций. Например, общие законы рыночной экономики, закон экономии времени, закон повышения производительности труда, закон соответствия производственных отношений уровню производительных сил.
3.Кривая производственных возможностей. Редкость, альтернативные издержки, эффективность.
Производственные возможности –
это наибольший объем выпуска продукции, который достигается при полном использовании ресурсов. Кривая производственных возможностей (КПВ) — эк.модель, которая показывает возможность общества по производству двух благ при полном и эффективном использовании всех имеющихся ресурсов и при данном уровне технологии. КПВ характеризует возможный и желаемый выпуск продукции. Любая точка, расположенная на кривой говорит о том, что ресурсы используются полностью и экономика функционирует эффективно.т.Н говорит о том, что ресурсы используются неполностью или неэффективно.т.F говорит о том, что для ее достижения ресурсов в данное время недостаточно. Альтернативные издержки
– это количество благ, которое нужно отдать в обмен на продукты, которые пользуются на настоящем этапе значительно большим предпочтением. Поэтому альтернативные издержки возрастающего продукта увеличиваются. Данная связь носит постоянный характер и именуется законом возрастания альтернативных издержек при замене производства одного блага другим в условиях полного использования ресурсов. Отсутствие совершенной эластичности, или взаимозаменяемости, ресурсов – а отсюда и необходимость увеличения количества ресурсов, переключаемых с производства одного продукта для получения все большего количества дополнительных единиц другого продукта, - и составляет экономический смысл закона возрастающих альтернативных издержек.
Средства производства:
| Экономическая эффективность характеризует связь между количеством единиц ограниченных ресурсов, которые применяются в процессе производства, и получаемым в результате этого процесса количеством какого-либо продукта, т.е. охватывает проблему «затраты - выпуск». Большее количество продуктов, получаемых от данного объема затрат, означает повышение эффективности. Меньший объем продукта от данного количества затрат указывает на снижение эффективности. Любое общество, каждый экономический агент стараются получить максимальное количество товаров и услуг, произведенных из ограниченных ресурсов. Чтобы добиться этой цели, общество должно полностью использовать занять свои ресурсы и таким образом обеспечить получение наиболее возможного объема производства. |
4.Основные модели организации экономических систем. Их особенности.
В экономике используется такое понятие, как система, которое отражает особую структуру общества, возникающую из практики хозяйствования. Данного народа в конкретных условиях. В связи с этим, в каждой стране существует своя экономическая система, в которой представлены хозяйственные навыки народа, его традиции, его духовное состояние, а также своеобразное понимание мира. Среди критериев, по которым проводится классификация, выделяют следующие:Преобладающая форма и вид собственности,Экономическая власть и способы ее осуществления,Преобладающая форма хозяйства,Место и роль, отводимые рыночным отношениям,Экономическая роль государства.
Ядром экономических отношений является отношение собственности. Собственность – это система экономических и юридических отношений между людьми по поводу владения, пользования и распоряжения имуществом. В 1991 году Рональд Коуз получил Нобелевскую премию за разработку экономической теории прав собственности и акцентировал внимание, что эти отношения влияют на формирование экономической системы. В отличие от юридической интерпретации прав собственности выделяют 11 составляющих прав собственности:
право владения (исключает право физического контроля над имуществом);
право использования, т.е. применение полезных свойств какого-либо блага для себя;
право управления, т.е. право решать кто и когда и как будет пользоваться имуществом в тех или иных целях;
право на доход, т.е. право обладать результатами от использования этого имущества;
право суверена, т.е. право на отчуждения потребления, уничтожения или изменения имущества;
право на безопасность, т.е. право на защиту от вреда, который могут причинить внешние условия (защита от воров);
право на передачу имущества по наследству;
право на бессрочность обладания имуществом;
право на ответственность, т.е. возможность взыскать имущество в уплату долга;
право на остаточный характер, т.е.право на использование институтов, обеспечивающих восстановление нарушенных прав;
право запрета на использование благ способом, наносящим вред внешней среде.
По мнению Коуза, чем более рассредоточены права собственности, тем шире возможность дела по передаче этой собственности.
Модели:
· Чистый капитализм или рыночная экономика.
Признаки: преобладает индивидуальная частная собственность на средства производства, т.е. частным лицом может пренебрегаться 11 прав; поведение каждого субъекта характеризуется его личными эгоистическими интересами; каждая экономическая единица стремится максимизировать свой доход на основе индивидуальных принятых решений; имеется множество продавцов и покупателей продукта, что способствует свободе конкуренции; каждый субъект в отдельности совершает мелкие сделки, которые не могут влиять на спрос и предложение, поэтому ни один субъект рынка не обладает экономической властью. Экономическая власть представляется как элемент самого рынка, который обеспечивает ему роль координатора и позволяет рынку установить цены. Роль государства в экономике ограничена.
Достоинства: Рыночная экономика способствует более эффективному использованию ресурсов; вызывает необходимость быстро реагировать и быстро адаптироваться к изменяющимся условиям производства; рыночная экономика создает условия по оптимизации использования достижений научно-технического прогресса (создание новых технологий и т.п.); обеспечивает свободу выбора, а также свободу действий потребителя и предпринимателей; рыночная экономика ориентирует производителей на удовлетворение потребностей потребителя, а также на повышение количества товара и услуг
Недостатки: рыночная экономика не способствует сохранению невоспроизводимых ресурсов; отрицательно складывается на защите окружающей среды; рынок не обеспечивает развитие производства товаров коллективного использования (парки, дороги); не создает условий для развития фундаментальных наук и систем образования; не гарантирует право на отдых, труд, доход и т.п.; не содержит механизмов, препятствующих социальной несправедливости.
2. Командно-административная экономика:
Экономическая власть централизованная; рынок не выполняет функцию регулятора экономики; поведение субъекта определяется наличием общей цели, общим интересом, доминирующим над личным; собственность, наследство производство в руках государства и народа; экономическая власть осуществляется административно-экономическими методами; производство и распределение товаров и услуг идет через гос. планирование; государство является основным экономическим субъектом.
3.Смешанная экономика:
Является смесью двух предыдущих моделей, т.е механизмы рынка наполняются государственным контролем. Смешанная экономика не имеет крайностей предыдущих моделей. Основными производителями являются крупные корпорации, т.е. они обладают экономической властью, но эта власть не носит тоталитарный характер. Они ориентируются на потребителя; собственность может быть государственная и частная; поведение субъектов определяется личными целями, но при этом государство определяет приоритет цели развития и поддерживает их; государство выполняет активную функцию в экономике; имеются центры планирования, прогнозирования и координации деятельности частного и государственного сектора. Государство контролирует безработицу и пытается бороться с ней. Государство поддерживает своего производителя.
4.Традиционная экономика:
Характерна для стран, которые признаны как развивающиеся. Это первичный тип экономической организации общества. Существует в разных видах, поскольку основана на обычаях, национальном менталитете, традициях. Экономическая деятельность не воспринимается как первичная ценность. Экономическая власть соединена с политической властью, могут быть различные формы собственности. Весьма устойчива.
5.Понятие рыночной экономики, ее основные элементы.
Рыночная экономика.
Признаки: преобладает индивидуальная частная собственность на средства производства, т.е. частным лицом может пренебрегаться 11 прав; поведение каждого субъекта характеризуется его личными эгоистическими интересами; каждая экономическая единица стремится максимизировать свой доход на основе индивидуальных принятых решений; имеется множество продавцов и покупателей продукта, что способствует свободе конкуренции; каждый субъект в отдельности совершает мелкие сделки, которые не могут влиять на спрос и предложение, поэтому ни один субъект рынка не обладает экономической властью. Экономическая власть представляется как элемент самого рынка, который обеспечивает ему роль координатора и позволяет рынку установить цены. Роль государства в экономике ограничена.
6.Достоинтсва и недостатки рыночной экономики. Роль государства в регулировании хозяйственной жизни.
Достоинства: Рыночная экономика способствует более эффективному использованию ресурсов; вызывает необходимость быстро реагировать и быстро адаптироваться к изменяющимся условиям производства; рыночная экономика создает условия по оптимизации использования достижений научно-технического прогресса (создание новых технологий и т.п.); обеспечивает свободу выбора, а также свободу действий потребителя и предпринимателей; рыночная экономика ориентирует производителей на удовлетворение потребностей потребителя, а также на повышение количества товара и услуг
Недостатки: рыночная экономика не способствует сохранению невоспроизводимых ресурсов; отрицательно складывается на защите окружающей среды; рынок не обеспечивает развитие производства товаров коллективного использования (парки, дороги); не создает условий для развития фундаментальных наук и систем образования; не гарантирует право на отдых, труд, доход и т.п.; не содержит механизмов, препятствующих социальной несправедливости.
6.Достоинтсва и недостатки рыночной экономики. Роль государства в регулировании хозяйственной жизни.
Достоинства: Рыночная экономика способствует более эффективному использованию ресурсов; вызывает необходимость быстро реагировать и быстро адаптироваться к изменяющимся условиям производства; рыночная экономика создает условия по оптимизации использования достижений научно-технического прогресса (создание новых технологий и т.п.); обеспечивает свободу выбора, а также свободу действий потребителя и предпринимателей; рыночная экономика ориентирует производителей на удовлетворение потребностей потребителя, а также на повышение количества товара и услуг
Недостатки: рыночная экономика не способствует сохранению невоспроизводимых ресурсов; отрицательно складывается на защите окружающей среды; рынок не обеспечивает развитие производства товаров коллективного использования (парки, дороги); не создает условий для развития фундаментальных наук и систем образования; не гарантирует право на отдых, труд, доход и т.п.; не содержит механизмов, препятствующих социальной несправедливости.
7.Понятие рынка, его функции и условия существования.
рынок – механизм, соединяющий потребителей, носителей спроса и производителей –поставщиков предложения.(рынок – это механизм взаимодействия покупателей как представителей рыночного спроса и продавцов, представляющих рыночное предложение: в ходе этого взаимодействия устанавливается равновесная рыночная цена).
Субъекты рынка:
Домохозяйство – экономическая единица, обеспечивающая воспроизводство человеческого капитала, самостоятельно принимает решения, является собственником какого-либо фактора производства, стремится к максимизации полезности.
Фирм а – эк.ед., использующая факторы пр-ва для изготовления продукции с целью ее продажи, самост. принимает решения, стремится к макс.прибыли
Государство – правит. учрежд., обспечивающее контроль над хоз. субъектами и рынком для достижения общих целей.
Объекты товары и услуги, факторы пр-ва, деньги, ценные бумаги и т.д.
Функции:Регулирующая – решаются основные эк.проблемы ЧТО,КАК ДЛЯ КОГО
Посредническая – соединяются продавцы и покупатели
Ценообразующая- установление равновесной рыночной цены
Информационная – через рын. цены передается информация о конъюнктуре рынка, рыночных ожиданиях, инфляционных процессах
Стимулирующая – производители исп-ют достижения НТП для снижения издержек пр-ва с тем, чтобы получить большую прибыль и выдержать конкуренцию
Санирующая – освобождение, очищение общ. Пр-ва от эк-ки нежизнеспособных неэффективных произв-в.
Виды рынков: 1.по виду конкуренции (с совершенной несовершенной, конкуренцией)2.По эк. назначению объектов рыночных отношений(рынки благ и услуг, средств производства, ценных бумаг, рабочей силы)3.по пространственному признаку(городские(сельские), внутрирегиональные, межрегиональные, национальные, международные(мировые))4.по характеру продаж(рынок розничной торговли, оптовой торговли, государственных закупок).
+ : свобода выбора и предпринимат-ва, эффектив. исп-е ресурсов.. - : неэфф исп-е ресурсов (монополии),неравномерное (циклическое)развитие эк-ки; обострение соц.проблем (инфляция, безработица, нерав-во в распределении доходов)
Рынок функционирует при определенных условиях:
1.Многообразие форм собственности. Необходимо наличие частной собственностина средства производства.
2. Наличие свободы предпринимательской деятельности (при сохранении государственных регуляторов).
3.Создание рыночной инфраструктуры, которая объединит 3 основных элемента: рынок товаров и услуг, финансовый рынок и рынок факторов производства.
8. Основные участники хозяйственной жизни. Контакты между ними.

9. Рынок как регулятор. Основные элементы рыночного механизма.
Для эффективного формирования рыночной экономики необходимо наличие определенных элементов:
1) Производители и потребители
Потребители – это отдельные лица или группа лиц, получающие доходы, расходующие их на потребление товаров и услуг. Цель потребителя – максимизация полезности.
Производитель или фирма – это предприятие различной формы собственности, производящее товары и услуги для продажи другим фирмам или конечным потребителям.
Производители и потребители формируются в результате общественного разделения труда.
Потребление делится на личное и производственное. При личном потреблении товары выбираются из сферы производства и использования для удовлетворения личных нужд населения.
Производственное потребление – выступает как дальнейшее продление производства, при этом товар используется в дальнейшей переработке.
2) Экономическая обособленность субъектов, которая обусловлена частной формы собственности.
3) Рыночные цены. Цены, которые формируются в результате взаимодействия рыночного спроса и предложения.
4) Спрос и предложение. Обеспечивают постоянную связь между производителем и потребителем.
5) Конкуренция
6) Рыночная инфраструктура.
10. Спрос как рыночный атрибут. Факторы спроса.
Спрос – потребность, представленная на рынке или это желание и способность людей покупать товары.
Закон спроса:
при неизменности всех прочих параметров снижение цены ведёт к увеличению величины спроса и, наоборот, повышение цены (при прочих равных условиях) ведёт к соответствующему уменьшению величины спроса (обратная зависимость). P – цена за единицу товара Q – величина спроса
Изображённая кривая характеризует состояние цен и объёма покупок товаров в определённый период времени. Она имеет отрицательный наклон, что говорит о желании потребителей купить большее количество товаров при меньшей цене.
Кроме цены, на спрос влияют: увеличение (сокращение) доходов потребителя; изменение вкусов и предпочтений; ценовые и дефицитные ожидания; колебания расходов на рекламу; изменение цен товаров – субститутов и комплементарных товаров; рост (уменьшение) количества покупателей и др.Все эти факторы способствуют сдвигу кривой спроса вправо или влево.
Величина спроса – макс.кол-во товара, которые согласны приобрести один чел., группа или общ-во на рынке в ед.времени при опред. условиях.
Движение вдоль кривой спроса отражает изменение величины спроса- изменение кол-ва товара, которое потребители хотят и могут купить,происходящее в рез-те изменения цены товара: чем выше цена, тем ниже величина и, наоборот, чем ниже цена, тем выше величина спроса. Сдвиг кривой спроса влево или вправо отражает изменение спроса . - изменение кол-ва товара, которое потребители хотят и могут купить, происходящее в рез-те изменения неценовых факторов.
11. Предложение как рыночный атрибут. Факторы предложения.
Предложение – товар, имеющийся на рынке или может быть на него доставлен.Прямая связь между ценой и количеством предлагаемого продукта называется законом предложения . P – цена за единицу товара,Q – объём товара
Изображённая кривая S характеризует уровень цен и объём продаж товаров. Она имеет положительный наклон, что говорит о желании производителя продать большее количество товаров по более высокой цене.
Кроме цены, на предложение влияют:1.Цены факторов производства 2.Технология производства..3.Налоги и дотации. 4.Ожидания изменения цен. 5.Число продавцов на рынке. Чем больше производителей выставляют свой товар на рынок, тем больше предложение. Смещение кривой предложения вправо означает увеличение предложения. Смещение влево указывает на сокращение предложения.
Изменения величины предложения (передвижение с одной точки на другую точку на постоянной кривой предложения.) это изменение кол-ва товара,которое производители хотят и могут продать,происходящее в рез-те изменения цены товара(при прочих равных условиях). Изменение в предложении (выражается в смещении всей кривой предложения вправо или влево)- изменение кол-ва товара,которое производители хотят и могут продать,происходящее в рез-те изменения неценовых факторов.
Равновесие на рынках – это такая ситуация, при которой продавцы и покупатели удовлетворены текущим сочетанием цен и объёмом продаж или покупок. Если по каким–то причинам цена равновесия не установилась, то на рынке возникают силы, направленные на установление такой цены
12.Понятие эластичности. Ценовая эластичность спроса.
Эластичность спроса – степень реакции потребителя на изменение некоторых факторов: цены данного товара, др. товаров, доход потребителя
Эластичность спроса по цене – показывает, как реагирует потребитель какого-либо товара в случае изменения цены этого товара. Если изменение цены сопровождается значительным изменением спроса ,спрос называется эластичным.
Эластичность измеряется коэффициентом эластичности.
![]()
Коэффициент эластичности спроса по цене всегда отрицателен, т.к. цена и величина спроса находятся в обратной зависимости. Когда цена падает, величина спроса растёт, и наоборот: когда цена растёт, величина спроса падает.
Коэффициент эластичности спроса по цене показывает, на сколько процентов поднимется или опустится величина спроса на данный товар при изменении его цены на 1%.
Варианты эластичности спроса:
-Когда величина спроса бесконечно изменяется при малом изменении цены, спрос бесконечно эластичен , ED = ∞ .
-Когда величина спроса изменяется на больший процент, чем цена – спрос эластичен, ED > 1;
-Когда спрос на товар – Q, увеличился (уменьшился) на столько же процентов, на сколько процентов уменьшилась (увеличилась) цена – P, т.е., то при этом ЕD = 1 – эластичность единична;
-Когда величина спроса изменяется в меньшей степени, чем цены – спрос неэластичен , ED < 1;
-Когда величина спроса не изменяется при любом изменении цены, спрос совершенно неэластичен , ED = 0;
P
QПри эластичном спросе снижение цены увеличивает совокупную выручку, а повышение цены уменьшает совокупную выручку.
При неэластичном спросе снижение цены уменьшает совокупную выручку, а повышение цены увеличивает совокупную выручку.
Факторы
-Количество дешёвых товаров – заменителей (товаров – субститутов). Чем больше товаров – заменителей, тем больше эластичность спроса и наоборот
-Фактор времени. Чем больше у потребителя времени для принятия решений, тем эластичнее спрос на товар
-Является ли товар предметом роскоши или предметом первой необходимости.
- Доля расходов на товар в бюджете. Чем большее место занимают расходы на товар в бюджете потребителя, тем эластичнее спрос на него.
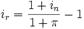
13.Понятие эластичности. Ценовая эластичность предложения.
Эластичность предложения – степень реакции производителя на изменение цены.Мерой этого изменения выступает коэффициент эластичности предложения, который рассчитывается как отношение объёма предложения (в %) к росту цен (в %) по формуле:
![]()
Эластичность предложения служит показателем относительного изменения предложения в соответствии с относительным изменением рыночной цены. Если предлагаемое количество товара остаётся неизменным для перепродажи по любой цене, то имеет место неэластичное предложение. Когда же малейшее уменьшение цены товара вызывает сокращение предложения до нуля, а малейшее увеличение цены обуславливает увеличение предложения, то мы имеем дело с абсолютно эластичным предложением
P
Неэластичное предложение
Е=1
Эласт. предложение
Q
Эластичность предложения равна нулю, когда кривая предложения вертикальна. При этом предложение не изменяется, так как возрастает цена.
Здесь важен учет фактора времени , т.е. разграничение мгновенного, краткосрочного и долгосрочного периодов приспособления предложения к изменению цены товара.
Мгновенный период характеризуется полной невозможностью приспособления предложения к новой цене. В этом случае предложение является абсолютно неэластичным, а его кривая представляет собой вертикальную линию. Тогда рост спроса будет сопровождаться ростом равновесной цены.
В краткосрочном периоде предложение может немного увеличиться за счет более интенсивного использования имеющихся ресурсов и производственных мощностей. В этом случае кривая предложения приобретает небольшой наклон, а равновесная цена становится ниже.
В долгосрочном периоде предложение полностью приспосабливается к новым ценам за счет ввода новых мощностей и прихода в отрасль новых фирм. Здесь можно говорить о высокой эластичности предложения по цене. Равновесная цена снижается еще больше, а спрос удовлетворяется в возросшем объеме.
14.Эластичность и ценовая политика фирмы.
Выделяют следующие виды эластичности спроса:
1)Е>1 спрос эластичный 5%
2)Е<1 спрос неэластичный 1% 0,5% / 1% = 0,5%
3)Е=1 спрос единично эластичный
4)Е=0 спрос абсолютно неэластичный
5)Е=
спрос бесконечно эластичный
1)Спрос называется эластичным, если изменение цены на 1% вызывает изменение спроса более чем на 1%
Товары роскоши, деликатесные товары (не 1ой необходимости), с которыми мы можем расстаться при повышении цены
2)Неэластичным спросом называют спрос, при котором изменение цены на 1% вызывает изменение спроса меньше 1%. Обычно неэластичный спрос характерен для продуктов питания, а также для товаров 1ой необходимости.
3)Спросом единичной эластичности называется спрос, если процент изменения цены приводит к равному по величине проценту изменения спроса (мебель, товары не 1ой необходимости)
4)Абсолютно неэластичный спрос появляется в том случае, если любое изменение цены не приводит к изменению спроса.(необходимые лекарства для людей, зависящих от них).
![]() |
Бесконечно эластичный спрос наблюдается при незначительных или бесконечно малых изменениях цены спрос на продукцию увеличивается либо уменьшается до предела покупательской возможности.
Судить об эластичности спроса по кривой спроса нельзя, поскольку эластичность спроса на всем протяжении спроса неодинакова.
На всем протяжении функции спроса Е изменяется от бесконечности до 0. В точке А принимает единичное значение(чем выше цены на продукцию, тем более эластичен спрос и наоборот, чем ниже цены, спрос может перейти в категорию неэластичности.
Изменение графика показывает изменение выручки продавца в зависимости от изменения цены и эластичности спроса. (выручка TR=QP)
1. при повышении цены, если спрос на продукцию неэластичен, выручка повысилась, а при понижении цены выручка понизилась.
2. При повышении цены на товары с эластичным спросом выручка снижается, при снижении цены на товары с эластичным спросом выручка повышается.
Максимального значения выручка достигнет на товарах с единичной эластичностью, в случае с единичной эластичностью спроса ценовая стратегия продавца неактуальна, т.к. она не несет влияний на объем выручки.
15. Понятие взаимозаменяемых и взаимодополняемых товаров. Перекрестная эластичность спроса.
Перекрестная эластичность спроса по цене характеризует относительное изменение спроса на 1 товар (х) в зависимости от изменения цены на другой товар (у).
Еху=
=![]()
Е (коэффициент перекрестной эластичности) может иметь +,- и 0ое значения.
1.Е>0 для взаимозаменяемых товаров, т.к. возрастает цена на (у), значит возрастает спрос на (х). Чем выше коэффициент эластичности, тем выше степень взаимозаменяемости 2х товаров.
2.Если Е<0,то товары будут взаимодополняемыми. Разнонаправленные
Qd и
Р. Чем отрицательней величина коэффициента Е
, тем больше степень взаимодополняемости.
3.Е=0 если
Р товара (у) не вызывает
Qd на товар (х). Товары независимые.
Перекрестность Е
может быть ассиметричной. Коэффициент перекрестности Е позволяет установить принадлежность продукции к определенному типу. Также позволяет доказать отсутствие монополизации рынка.
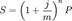
16.Эластичность спроса по доходу и ее использование в экономическом анализе.
Существует эластичность Qd по доходу, характеризует чувствительность Qd потребителя и изменению дохода I, соответственно коэффициент Е
показывает насколько % изменился Qd при изменении
I на 1%
Е
=![]()
Коэффициент эластичности может быть как положительным, так и отрицательным.
Отрицательный, если с ростом I(доходы покупателя), рост товаров понижается. Эти товары называются нестандартными или некачественными.
Положительные, с ростом I, спрос на товары будет расти. Эти товары называются стандартными-1 группа - товары первой необходимости 0< Е
<1 спрос на товары повышается, но медленнее повышения доходов; 2 группа – предметы роскоши Е
>1. Рост спроса опережает рост дохода; 3 группа – товары второй необходимости Е
=1. Спрос увеличивается в таких же пропорциях, как и доход.
Практическое значение Е
: перспективы развития отраслей экономики (чем больше Е
, тем активнее развивается отрасль). Также в экономике используется понятие эластичности(Qs) - степень изменения количества предлагаемых товаров и услуг в ответ на изменение их цены.
Р и
Q выражается в процентах
Е
=![]()
Особенность: Е
всегда положительна, в отличие от Е
. Классифицируется аналогично эластичности спроса. Е
в отличие от Е
зависит от фактора времени, а также от длительности хранения товаров и потенциала расширения производства.
В мгновенном периоде, когда факторы невозможно изменить, Е
=0, т.е. предложение не будет абсолютно неэластичным. С течением времени предложение будет более эластичным, т.е. может реагировать на изменение цены.
17.Рыночное равновесие. Излишек потребителя и производителя.
Равновесие на рынках
– это такая ситуация, при которой продавцы и покупатели удовлетворены текущим сочетанием цен и объёмом продаж или покупок. Если по каким–то причинам цена равновесия не установилась, то на рынке возникают силы, направленные на установление такой цены.
Нарушение рыночного равновесия может произойти в 2х случаях: если отклоняется рыночная цена от равновесной; если изменяются функции спроса и предложения.
Величины между спросом и предложением называется излишком товара на рынке. В случае повышения цены до уровня Р1, объем спроса будет значительно ниже равновесного, объем предложения значительно вырастет до значения Qs. Превышение объема предложений над объемом спроса ведет к затовариванию рынка. Чтобы избавиться от излишка продавцы понижают цену, а производители сокращают производство. По мере снижения цены спрос начинает расти. Это продолжается до тех пор, пока не установится равновесие.
Если рыночная цена стала ниже равновесной Р2, на рынке образуется дефицит. Желающих купить товар будет больше, чем производители будут производить товар. Повышают цены. Объем производства возрастает, спрос уменьшается. В результате устанавливается равновесие на рынке.
Иными словами, встроенный механизм рыночной координации позволяет самостоятельно, без вмешательства посторонних сил, справляться с перепроизводством или недостачей товара на рынке.
С понятием рыночного равновесия связано и такое важное явление, как излишек (рента) покупателя или продавца. Они возникают в силу того, что весь равновесный объем товара покупается по равновесной цене. Рента покупателя(продавца) выступает как разность между той ценой, которую потребитель готов уплатить за данное количество товара (а производитель готов получить), и ценой фактической покупки(продажи).
18. Механизм рыночной координации при изменении ценового фактора.
На рынке присутствует ценовой фактор, если изменяются любые факторы, кроме цены.

Допустим, что изображен рынок зимней обуви при равновесной цене Ре и объеме Qе . При наступлении зимнего сезона, спрос вырастет. Кривая спроса сместится вправо. В ближайшем следствии такого товарного спроса будет временный товарный дефицит, который равен Qe1-Qe . На эту ситуацию рынок реагирует повышением цен до уровня P1. По этой цене обувь продаваться с товарным запасом, поскольку производство не успело приспособиться к спросу. Высокие цены символизируют, что дополнительное производство выгодно. Если спрос продержится долго, то в эту отрасль вложатся и капитал, и ресурсы. Появятся новые фирмы и производители. В результате изменений получим новую функцию предложения S1(Qs1), ее объемы вырастут до Qe2. Усиление конкуренции приведет к снижению цен до прежнего уровня и новая равновесная цена установится в точке Е2.
Вывод: благодаря рыночному равновесию, потребители получили большее количество товара по прежней цене (тр-к ЕЕ1Е2).
19.Механизм рыночной координации при изменении неценового фактора.
Если не учитывать, какие шаги предпринимают потребители и производители для достижения равновесия на рынке, можно сформулировать 4 правила изменения спроса и предложения под воздействием неценовых факторов.
1)Увеличение спроса вызывает рост как равновесной цены, так и рост равновесного объема продаж.
2)Уменьшение спроса приводит к падению цены и снижению равновесного объема продаж.
3)Рост предложения товара приводит к снижению равновесной цены и увеличению объема продаж.
4) Сокращение предложений приводит к увеличению равновесной цены и сокращению равновесного объема продаж.
20. Последствия регулирования цен государством.
Рассмотрим ситуацию, когда государство вводит так называемый потолок цен, т.е. не разрешает товаропроизводителям реализовать свой товар по ценам, превышающим эту установленную границу. Цель: защитить покупателя от высоких рыночных цен и улучшить их благосостояние за счет товаропроизводителя.
50000 – потолок цены за единицу товара
=>1)Выигрыш покупателей =>50000 за каждый товар. Выигрыш всех покупателей. –выигрыш покупателей.
2)в краткосрочном периоде возникает дефицит, т.к. объем спроса при низкой цене будет активно повышаться. Qдеф.1=Qd1-Qe
3)В долгосрочном периоде: сокращение цены приводит к сокращению объема производства и соответственно объема продаж до уровня Qs1. В долгосрочном периоде установится равновесие в точке 1’, Qдеф. Возрастет и будет равно Qd1-Qs1.
4)Между потребителями возникает конкуренция на приобретение товара. Фактически они готовы заплатить большую цену за приобретение товара, вынуждены давать взятки, очереди ит.д. Если суммировать все потери, которые реально несет потребитель, фактическая цена 150000. Однако, дополнительные затраты считаются мертвыми затратами, поскольку не возвращаются в производство, а оседают в руках спекулянтов.
21.Налоги и дотации. Их влияние на равновесие потребителя и товаропроизводителя.
Рассмотрим влияние косвенных налогов на рыночное равновесие.
Косвенные налоги – это налоги, которые взимаются через надбавки к цене товара (НДС, акцизные сборы и проч.)
Пусть государство вводит налог в размере Т рублей на каждую единицу продукции. Е – ситуация на рынке до введения налога. Налоги влияют на спрос и предложение товара После введения налога равновесие сдвинется влево вверх на величину налога. Товаропроизводитель готов рассмотреть тот же объем производства товара, если цена возрастет на Т рублей.
После введения налога предложение падает, значит должно появиться новое равновесие: новая цена равна Р2/Р1>P2>Pe и объем продаж падает, значит потребитель приобрел меньшее количества товара по более высокой цене, а производитель после погашения налога сформировал меньшую выручку. Площадь заштрих. Прямоугольника – это доход предприятия после выплаты налога TR=PQ
Налог, который поступает в казну государства, выплачивается фирмой (предприятием), однако формируется за счет как потребителя, так и производителя.
Площадь прямоугольника Ре2Е2НР3 – величина налога, который взяло государство (поступило в его казну), причем часть налога формируется потребителем.
Прямоугольник РеХНР3 показывает часть налога, который формируется производителем.
Распределение налоговой нагрузки между производителем и потребителем зависит от эластичности спроса и предложения.
Дотация выступает как налог наоборот. Потоварная дотация также устанавливается также либо в определенном проценте к цене товара, либо в абсолютной сумме в расчете на единицу товара. Потоварные дотации обычно получают производители, хотя и не редки случаи, когда их получают непосредственно и потребители (как компенсацию за повышение цен на отдельные товары: хлеб, детские товары и проч.)
Как и налог, дотация распределяется между производителем и потребителем. Как повлияет дотация на снижение уровня цен и повышение объема продаж, зависит от эластичности спроса и предложения. Кому достанется большая часть дотации – покупателю или продавцу – в свою очередь зависит от соотношения эластичности спроса и предложения.
22. Понятие производства. Материальное и нематериальное производство. Производительные силы и производственные отношения.
Производство – это процесс воздействия человека на вещество природы с целью создания материальных благ и услуг, необходимых обществу. Производство разделяют на 2 типа материальное ( связано с производством материальных благ и оказанием услуг – отрасли промышленности, сельское хозяйство, коммунальное хозяйство и др.) и нематериальное( связано с оказание нематериальных услуг и созданием каких-либо духовных ценностей – здравоохранение, образование проч.) Эти 2 вида связаны, один не может существовать без другого, и их взаимосвязь обеспечивает гармоничное существование и развитие общества.
Производительные силы — средства производства и люди, обладающие определенным производственным опытом, навыками к труду и приводящие эти средства производства в действие. Таким образом, люди — основной элемент производительных сил общества. Производительные силы выступают в качестве ведущей стороны общественного производства. Уровень развития производительных сил характеризуется степенью общественного разделения труда и развитием средств труда, прежде всего техники, а также степенью развития производственных навыков и научных знаний.
Производительные силы существуют лишь как общественные производительные силы: вступая в активное взаимодействие с природой, люди одновременно вступают в общественные отношения между собой. Производительные силы в совокупности с производственными отношениями представляют собой способ производства.
Производственные отношения - отношения между людьми, складывающиеся в процессе производства и обусловленные определенным уровнем развития производительных сил и формой собственности. В свою очередь производственные отношения обуславливают классовую структуру общества.
23. Товарное производство. Товар и его свойства.
Товарное производство – такая форма организации экономики, при которой:
- продукты производятся не для личного потребления, а для продажи или обмена;
- существует экономическая обособленность товаропроизводителей, каждый из которых специализируется на производстве 1 продукта;
- экономические отношения или связи между производителем и потребителем опосредованы деньгами.
Товар – это вещь или услуга, созданная трудом, обладающая общественной ценностью и служащая для обмена или продажи на рынке. В товаре одновременно существует стоимость и потребительская стоимость.
Стоимость – затраты труда на производство товара;
Потребительская стоимость – прежде всего полезность. Эти 2 категории связаны друг с другом и влияют друг на друга. Цена товара – денежное выражение стоимости товара.
24. Деньги. Эволюция денег. Функции денег.
До начала 20 в. доказывалось, что товары обмениваются на всеобщий товар – золото или на его представители – кредитные знаки золота. До золота в качестве денег выступали различные товары, потом эти функции закрепились за метал. монетами, а по мере увеличения общего богатства – за драг. металлами. Золотой стандарт предполагал использование золота в монетах и слитках в качестве денежного товара. Золотомонетный стандарт означает свободное обращение золотых монет, при котором все расчеты происходят в золоте и осуществлялся обмен кредитных денежных. знаков на золотые монеты. В начале 20 в. золото начало утрачивать функцию денег. Проявлением данного процесса стали: отрыв ценообразования от золотой основы, что выражалось в постоянном росте цен; изъятие золотых монет из обращения; отмена всех форм платежей в золоте на внутреннем рынке. Во 2 половине 20 в. обмен товаров на золото даже в местах его добычи прекратился. Золото утратило функцию посредника как во внутренней торговле, так и в международной. В современных условиях цены на товары формируются без участия золота. Деньги – всеобщий эквивалент, выполняющий функции меры стоимости, средства обращения, накопления и платежа. Деньги являются основой денежно-кредитной системы государства. Денежная система – форма организации денежного обращения. Ее основы закрепляются обычно национальным законодательством. Деньги – всеобщий эквивалент, выполняющий функции меры стоимости, средства обращения, накопления и платежа, мировые деньги. Деньги как мера стоимости используются для измерения, сравнения стоимостей различных товаров и услуг. В соотв. с этой функцией, каждая страна устанавливает свой масштаб цен, т.е. национальную меру стоимости (в РФ – руб.). Масштаб цен – весовое кол-во денежного металла, принятое в данной стране за денежную единицу, служащее для измерения цен др. товаров. Деньги в качестве меры стоимости однородны и это позволяет легко сопоставлять стоимость различных товаров. Как мера стоимости деньги выступают идеально, т.е. для оценки товара не нужно иметь самих денег. Деньги как средство обращения выступают, когда деньги используются для покупки товаров. Являясь всеобщим эквивалентом, деньги позволяют производить куплю-продажу различных товаров, они принимаются каждым продавцом и обеспечивают всеобщую покупательскую способность. Благодаря этой функции денег владелец может выбирать продавцов, время, место и ассортимент приобретаемых товаров. Функция денег как средства платежа проявляется в том, что деньги используются для погашения различных обязательств. Платеж производится путем передачи одним участником экономического оборота другому денег. Благодаря использованию денег как самостоятельной формы стоимости, осуществляется распределение и перераспределение доходов и накоплений и тем самым обеспечивается распределение общественного продукта. Деньги выступают в качестве средства накопления. Она состоит в сохранении стоимости, образовавшейся после реализации товаров и услуг, для совершения покупок в будущем. В форме накоплений могут быть представлены не только деньги, но и драгметаллы, но деньги являются более ликвидными. Деньги широко используются во внешнеэкономических отношениях. Здесь они функционируют как мировые деньги.
25. Эффективность производства. Общий подход.
Эффективность производства - соотношение между полученными результатами производства - продукцией и услугами, с одной стороны, и затратами труда и средств производства - с другой. В самом общем виде может быть представлена формулой:
Эп = Конечный результат производства/Затраты факторов производства
Является важнейшим качественным показателем экономики, ее технического оснащения и квалификации труда. Сопоставление затрат и результатов используется в практике управления фирмами, предприятиями и другими хозяйствующими субъектами. Основными показателями эффективности производства являются: производительность труда; капиталоемкость единицы ВВП или конкретных видов продукции; фондоотдача единицы основных фондов; материалоемкость единицы ВВП или конкретных видов продукции; соотношение экстенсивных и интенсивных факторов в приросте ВВП; конкурентоспособность выпускаемой продукции; срок окупаемости затрат и др.
К факторам, способствующим росту эффективности производства, относятся; ускорение научно-технического прогресса, использование в производстве достижений науки и передовых технологий; структурная перестройка хозяйства; освоение современного менеджмента; развитие специализации и кооперации; использование выгод международного разделения труда.
Эффективность производства складывается как сумма эффективностей всей совокупности действующих в экономике предприятий. На общий уровень эффективности большое влияние оказывает государство через ценовую, бюджетную, налоговую и таможенную политику, через госзаказы и различные формы поддержки предприятий.
26. Факторы производства. Классификация факторов. Производственная функция.
Ресурсы, которые вовлекаются в процесс производства можно назвать факторами производства. Для каждого производства существует свой набор факторов, однако их можно объединить в большие группы. В настоящее время выделяют 4 группы факторов производства: труд, капитал, земля, предпринимательская способность.
Труд – представляет физическую или интеллектуальную деятельность человека, направленную на изготовление благ или оказание услуг. Совокупность всех способностей человека обусловливается навыками, здоровьем человека, образуют человеческий капитал. Доход владельца труда называют заработной платой. Чем квалифицированней труд человека, чем выше его человеческий капитал, тем выше его доходы, уровень заработной платы. Инвестиционные вложения в человеческий капитал в настоящее время считаются самыми доходными.
Капитал – совокупность благ, используемых в производстве и служащих для повышения производительности труда человека. Физический капитал: помещения, здания и сооружения, транспортные коммуникации, средства связи, т.е. все, что помогает человеку создавать продукт.
Земля: мы рассматриваем естественный фактор производства, к которому можно относить не только землю, но и различные природные ресурсы, использующиеся в процессе производства (водные, лесные, проч.) Данный фактор не является результатом человеческой деятельности.
Предпринимательская способность – особый вид человеческого капитала, связанный с осуществление деятельности по организации производства, по комбинированию всех факторов производства, с координирующей деятельности всех подразделений производства. Данный фактор связан с возможностью использования инициативы, смекалки в производственном процессе. Предпринимательская деятельность сопоставима с трудом высокой квалификации.
Помимо перечисленных факторов производства в современном обществе выделяют, прежде всего, информационный фактор, экологический и энергетический.
Отношение между любым набором факторов производства и максимально возможным объемом продукции производства из этого набора факторов характеризует производственную функцию, Q=f (F1,F2,F3). Каждая фирма имеет свою производственную функцию, отличную от производных других фирм. Можно вывести общую функцию Q=f (L(труд), N (земля), K(капитал),…). Производственная функция описывает множество технически эффективных способов производства или технологий. Каждая технология характеризуется определенной комбинацией ресурсов, необходимых для получения единицы продукции.
Свойства производственной функции:
1)предел увеличения объема производства, который может быть достигнут увеличением затрат 1 ресурса при прочих равных условиях.
2)Существует определенное взаимодополнение факторов и определенное взаимозаменение факторов производства.
3)Способ производства А считается технически более эффективным по сравнению со способом В, если он предлагает использование 1 ресурса в меньшем, а всех остальных не в большем количестве, чем способ В.
4)Если способ А предлагает использование одних ресурсов в большем, а других м меньшем количестве, чем способ В, эти способы несравнимы по своей технической эффективности. Выбор между ними зависит от цены на ресурсы, т.е. идет оценка экономической эффективности.
27.Постоянные и переменные факторы производства. Закон убывающей производительности.
Постоянный фактор - фактор производства, объем использования которого не изменяется в течение сравнительно короткого периода: здания, оборудование и пр.
Переменный фактор - фактор производства, изменяющийся в силу производственной необходимости в течение короткого времени: сырье, труд, энергоресурсы.
Процесс производства можно рассмотреть в 3х периодах:
1-мгновенный (когда все факторы производства неизменны)
2-краткосрочный (хотя бы 1 фактор остается неизменным)
3-долгосрочный (все факторы производства изменяемы)
В краткосрочном периоде действует закон убывающей производительности, переменных факторов производства: при увеличении затрат 1 вида и постоянной величине прочих затрат наступает период, когда дополнительное количество затрат этого вида будет приносить уменьшение вклада в промышленный совокупный продукт.
![]() |
Данный закон действует при 2х условиях:
1)если зафиксирован хотя бы 1 фактор производства;
2)если отсутствует НТП (в краткосрочном периоде).
28.Метод изоквант - изокост и равновесие товаропроизводителя.
Изокванта - кривая, демонстрирующая различные варианты комбинаций факторов производства, которые могут быть использованы для выпуска данного объема продукта. Изокванты иначе называют кривыми равных продуктов, или линиями равного выпуска.
Наклон изокванты выражает зависимость одного фактора от другого в производственном процессе. При этом увеличение одного фактора и уменьшение другого не вызывает изменений в объеме выпускаемой продукции. Данная зависимость изображена на рис. 21.1.

Рис. 21.1. Изокванта
Положительный наклон изокванты означает, что увеличение применения одного фактора потребует увеличения применения другого фактора, чтобы не сократить выпуск продукции. Отрицательный наклон изокванты показывает, что сокращение одного фактора (при определенном объеме производства) всегда будет вызывать увеличение другого фактора. Изокванты выпуклы в направлении начала координат, поскольку хотя факторы могут быть заменяемы один другим, однако они не являются абсолютными заменителями. Кривизна изокванты иллюстрирует эластичность замещения факторов при выпуске заданного объема продукта и отражает то, насколько легко один фактор может быть заменен другим. В том случае, когда изокванта похожа на прямой угол, вероятность замещения одного фактора другим крайне невелика. Если же изокванта имеет вид прямой линии с наклоном вниз, то вероятность замены одного фактора другим значительна. Изокванты схожи с кривыми безразличия с той лишь разницей, что кривые безразличия выражают положение в сфере потребления, а изокванты - в сфере производства. Другими словами, кривые безразличия характеризуют замену одного блага другим (MRS), а изокванты - замену одного фактора другим (MRTS).
Чем дальше от начала координат расположена изокванта, тем больший объем выпуска она представляет. Крутизна наклона изокванты выражает предельную норму технического замещения (MRTS), которая измеряется соотношением изменения объема выпуска продукции. Предельная норма технического замещения трудом капитала (MRTSLK) определяется величиной капитала, которую может заменить каждая единица труда, не вызывая изменения объема выпуска продукции. Предельная норма технического замещения в любой точке изокванты равна наклону касательной в этой точке, умноженному на -1: MRTSLK dK/dL | Q = const. Изокванты могут иметь различную конфигурацию: линейную, жесткой дополняемости, непрерывной замещаемости, ломаной изокванты. Здесь выделим две первые.
Линейная изокванта - изокванта, выражающая совершенную замещаемость факторов производства (MRTSLK = const) (рис. 21.2).
Жесткая дополняемость факторов производства представляет такую ситуацию, при которой труд и капитал сочетаются в единственно возможном соотношении, когда предельная норма технического замещения равна нулю (MRTSLK
= 0), так называемая изокванта леонтьевского типа (рис. 21.3).
Рис. 21.3. Жесткая изокванта
Карта изоквант представляет собой набор изоквант, каждая из которых иллюстрирует максимально допустимый объем производства продукции при любом данном наборе факторов производства. Карта изоквант является альтернативным способом изображения производственной функции. Смысл карты изоквант аналогичен смыслу карты кривых безразличия для потребителей. Карта изоквант схожа с контурной картой горы: все большие высоты показаны посредством кривых (рис. 21.4).
Карта изоквант может быть использована для того, чтобы показать возможности выбора среди множества вариантов организации производства в рамках короткого периода, когда, например, капитал является постоянным фактором, а труд - переменным фактором.

Изокоста - линия, демонстрирующая комбинации факторов производства, которые можно купить за одинаковую общую сумму денег. Изокосту иначе называют линией равных издержек. Изокосты являются параллельными прямыми, поскольку допускается, что фирма может приобрести любое желаемое количество факторов производства по неизменным ценам. Наклон изокосты выражает относительные цены факторов производства (рис. 21.5). На рис. 21.5 каждая точка на линии изокосты характеризуется одними и теми же общими издержками. Эти линии прямые, поскольку факторные цены имеют отрицательный наклон и параллельны. Совместив изокванты и изокосты, можно определить оптимальную позицию фирмы (равновесие производителя). Точка, в которой изокванта касается (но не пересекает) изокосты, означает наиболее дешевую по стоимости комбинацию факторов, необходимых для выпуска определенного объема продукта (рис. 21.5). На рис. 21.5 показан метод определения точки, в которой минимизируются издержки производства заданного объема производства продукта. Эта точка расположена на самой нижней изокосте, где изокванта соприкасается с ней.

Рис. 21.5. Изокоста и изокванта
Следовательно, равновесие производителя достигается тогда, когда образуется равенство отношений предельных продуктов (Предельный продукт - дополнительный выпуск продукции, полученный в результате добавления одной единицы данного фактора (ресурса) при неизменной величине остальных факторов производства) факторов к ценам на эти факторы производства.
29. Фирма как рыночный агент. Организационно-правовые формы.
Рынок – совокупность интересов и действий, существующих и потенциальных покупателей и продавцов, а также условий, характеризующих состояние и движение таких интересов и действий. Рынок - это механизм взаимодействия покупателей и продавцов, реализующийся через рыночные цены, взаимное соотношение спроса и предложения. Предприятие в рыночной экономике выступает на различных рынках: производственных ресурсов и готовой продукции; ориентируется на локальный, национальный или даже международный рынок. Предприятие в рыночном механизме выступает агентом спроса и агентом предложения, предлагает свои цены потребителям и поставщикам и одновременно учитывает сложившийся на рынке уровень цен, реализует свои интересы и предложения и учитывает (в той или иной степени) предложения других рыночных агентов, строит свою рыночную стратегию и тактику в соответствии с существующим типом рыночной структуры и текущей ситуацией. Фирма – организация, которая владеет 1 или несколькими предприятиями и использует ресурсы для производства товаров и услуг с целью получения прибыли. Фирма является основным экономическим агентом рыночной экономики. Фирма обязательно имеет организационно-правовую форму. Правовая форма – это комплекс правовых норм, определяющих отношение участников фирмы со всем окружающим миром. Эти нормы задает государство. Гражданским кодексом РФ предусмотрены следующие организационно – правовые формы:
1.госудавстрвенное предприятие
2.муниципальное предприятие
3.акционерное общество (ОАО и ЗАО)
4.товарищества (полное и на вере)
5.ООО и ОДО и некоторые другие формы.
Рассмотрим характеристики организационно- правовых форм, наиболее распространенных в мировом хозяйстве:
1.индивидуальное или частное предпринимательство
2.товарищество или партнерство
3.АО или корпорации
1.Индивидуальное предпринимательство – бизнес, которым владеет 1 человек. Владелец такой фирмы выполняет функции менеджера и владельца. Несет неограниченную имущественную ответственность по своим обязательствам.
2.Товарищество или партнерство – бизнес, которым владеют 2 и более человека. Фирма подобна частно - предпринимательской, за исключением того, что здесь несколько собственников. Все партнеры несут неограниченную ответственность в размере вложенной доли в капитал предприятия.
3.АО и корпорации – предприятия с правом юридического лица, созданное в разрешительном порядке, обладающее установленным капиталом, разделенное на определенное число равных долей или акций. АО существуют независимо от его собственников и ответственность членов АО (акционеров) ограничивается номинальной стоимостью приобретенных акций.
30. Фирма в системе рыночных отношений. Размер фирмы. Трансакционные издержки .
Рассмотрим характеристики организационно- правовых форм, наиболее распространенных в мировом хозяйстве:
1.индивидуальное или частное предпринимательство
2.товарищество или партнерство
3.АО или корпорации
1.Индивидуальное предпринимательство – бизнес, которым владеет 1 человек. Владелец такой фирмы выполняет функции менеджера и владельца. Несет неограниченную имущественную ответственность по своим обязательствам.
Достоинства простота организации, свобода действий владельца, возможность использования льготного налогообложения (владелец – физическое лицо, значит он не регистрирует свою фирму и платит только подоходный налог(12%), сильная экономическая мотивация.
Недостатки: ограниченность финансовых и материальных ресурсов, отсутствие развитой системы внутренней специализации производственных и управленческих функций, неограниченная ответственность по всем обязательствам.
2.Товарищество или партнерство – бизнес, которым владеют 2 и более человека. Фирма подобна частно - предпринимательской, за исключением того, что здесь несколько собственников. Все партнеры несут неограниченную ответственность в размере вложенной доли в капитал предприятия. Преимущества и недостатки те же, но имеются и дополнительные:
Достоинства: возможность привлечения дополнительных финансовых средств за счет привлечения дополнительных партнеров или товарищей, вкладчиков; за счет привлечения новых партнеров поступают новые идеи для развития бизнеса; возможна небольшая специализация управленческой функции.
Недостатки: сложность в прочесе принятия решений, риск, что партнер по бизнесу подставит. В РФ товарищество работает с образованием юридического лица.
3.АО и корпорации – предприятия с правом юридического лица, созданное в разрешительном порядке, обладающее установленным капиталом, разделенное на определенное число равных долей или акций. АО существуют независимо от его собственников и ответственность членов АО (акционеров) ограничивается номинальной стоимостью приобретенных акций.
Преимущества: ограниченная ответственность; акционеры имеют право на долю дохода АО. Часть прибыли, выплаченная владельцу акций, называется дивидендом. Та часть прибыли, которая не идет на дивиденды называется нераспространенной прибылью; акционеры имеют право передавать или продавать свои акции; неограниченная возможность привлечения денежного капитала. АО привлекает профессиональных специалистов для выполнения управленческих функций.
Недостатки: двойное налогообложение – выплачивается налог с прибыли и с дивидендов; более сложная процедура оформления; благоприятные возможности для экономических злоупотреблении, возможен выпуск акций, не имеющих реальной стоимости.
С точки зрения величины фирмы бывают: мелкие, средние, крупные.
1)Малое производство. Преимущества: позволяет без существенных капиталовложений расширить производство потребительских товаров и услуг, особенно для малоимущего населения; позволяет выровнять условия жизни в различных регионах; позволяет вовлекать в процесс производства материальные и финансовые ресурсы населения; позволяет трудоустроить работников, высвобожденных из крупных предприятий: малый бизнес достаточно мобилен (быстро приспосабливается к изменяющимся условиям)
2)Среднее производство. Играет менее заметную роль в экономике, не прочно , поскольку ему приходится конкурировать с мелкими, более мобильными компаниями. Либо становится крупным, либо исчезает. Исключение составляют фирмы, являющиеся монополистами в выпуске специфичной продукции.
3)Крупный бизнес: отличается большей прочностью, чем мелкий и средний; занимает монопольное положение на рынке; большие объемы производства позволяют дешевую и массовую продукцию, просчитанную на более широкий круг потребителей.
Трансакционные затраты. Если мы возьмем все затраты, связанные с обеспечением юридических услуг и многим другим, то мы получим производственные затраты – затраты, сопутствующие совершению сделки. Трансакционные издержки бывают:
издержки сбора и обработки информации,
издержки проведения переговоров и принятия решений,
издержки контроля
издержки юридической защиты выполнения контракта пользованием рынка.
Трансакционные издержки являются следствием сложности окружающего мира и ограниченной рациональности экономических субъектов и зависят от того, в какой координационной системе проводятся экономические операции. Слишком высокие трансакционные издержки могут помешать осуществлению экономического действия. Социальные и государственные институты (например, биржа) позволяют снизить эти издержки при помощи формальных правил и неформальных норм.
31. Понятие издержек. Классификация издержек.
Издержки - затраты, связанные с пр-вом данного товара или услуги (экономического блага). Сущность - без них нельзя обойтись; необходимо снижать издержки для получения большей прибыли. Различают следующие виды издержек Постоянные - затраты, которые не зависят от объема продукции, (арендная плата, амортизация оборудования, жалование служащих, налог на землю, имущество)
C
Q Fixed cost (FC) ( прямая )
Переменные - затраты на пр-во, зависящие от объема выпускаемой продукции или услуг (затраты на приобретение сырья, топливо, Эл. энергиюз/пл. рабочих, НДС, налог с продаж) VC
Общие валовые или суммарные (совокупные) – сумма пост. и переменных издержек ТС
Понятие трансакционных издержек было введено в экономическую теорию Р. Коузом в статье "Природа фирмы" (1937). Они включают расходы, связанные с поиском информации, затраты на ведение переговоров, работу по измерению свойств товара (услуги), издержки по спецификации и защите прав собственности.
32. Общие, средние, предельные издержки фирмы. Постоянные и переменные издержки.
Средние издержки рис.2
А)средние общие издержки – затраты, связанные с производством ед.продукции
АТС=ТС/Q АТС=AFC+AVC
Б)средние переменные – затраты переменных ресурсов, приходящиеся на ед.продукции AVC=VC\Q
В) средние постоянные – затраты пост. ресурсов, приходящиеся на ед.продукции
AFC=FC/Q
Предельные издержки – доп. издержки, связанные с производством доп. Ед. продукции. Отражают изменения в издержках, которое повлечет за собой увеличение или сокращение произв-ва на 1 ед.(МС)рис.3
МС=дельта ТС/дельта Q=дельта VC\дельтаQ
Кривые демонстрируют, что:
Кривая МС пересекает АТС в той точке, где средние издержки имеют мин. значение.
Слева от этой точки ср.издержки и ср.затраты с ростом объема выпуска убывают. Справа от этой точки АС < MC и ср.затраты начинают возрастать.

Рис. 3. Взаимосвязь средних издержек с предельными издержками Рис. 2. Кривые средних издержек (общих, переменных, постоянных)
33.Деятельности фирмы в долгосрочном периоде. Эффект масштаба производства.

ATC1, ATC2, ATC3 - это кривые средних валовых издержек в краткосрочном периоде. Они отражают минимальные издержки при максимальном объеме каждой отдельной фирмы. АТС1 снижается до 1000 единиц продукции. Дальнейшее увеличение объема производства не возможно, т.к. приводит к росту издержек, поэтому оптимальным является объем 1000 единиц продукции, такие же ситуации во второй и третьей фирмы. Для второй фирмы оптимальный объем 2000 единиц, для третей - 3000. Для выбора оптимального объема производства является ситуация на третей фирме, т.к. издержки С3 немного больше С2, но при этом выпускается на 50% продукции большие и издержки С3 меньше издержек С1. Кривая AC - это кривая средних издержек в долгосрочном периоде. Положение этой кривой объясняется эффектом масштаба, который отражает зависимость изменения издержек от изменения объема производства. Положительный эффект масштаба - это увеличение размеров предприятия и уменьшение издержек, вызывается следующим: по мере роста размера фирмы увеличиваются возможности использования преимущества специализации в производстве и управлении, на более крупных фирмах применяется высокопроизводительное и дорогостоящее оборудование - т.е. имеется больше возможностей для развития побочных производств и безотходных технологий.
Отрицательный эффект масштаба - это увеличение размеров фирмы и рост издержек производства - происходит в результате следующих процессов:
снижается эффективность взаимодействия между отдельными подразделениями фирмы, которая становится неповоротливой и теряет гибкость;
затрудняется контроль за реализацией решений, принимаемых руководством фирмы;
в отдельных подразделениях фирмы возникают локальные интересы, противоречащие интересам фирмы в целом;
с ростом размеров фирмы увеличиваются издержки на передачу и обработку информации, необходимой для принятия решений.
34Прибыль фирмы. Условие максимизации прибыли. Общий подход.
Произведение объема проданной продукции на ее цену называют общей выручкой TR - (total revenue). Разность между общей выручкой и общими затратами есть прибыль.
Цель конкурентной фирмы - получить максимум прибыли. Если у фирмы разность между выручкой и затратами будет меньше, чем у конкурентов, то со временем ее вытеснят с рынка. Поэтому конкурентная фирма производит и предлагает на рынке такой объем продукции, который максимизирует ее прибыль.
TR=PQ
П=TR-TC (П-прибыль)
От 1 до 2 – зона полной прибыли
1, 2=>П=0 – безубыточное производство
От Q1 до Q2 – величина изменяется возрастает, достигает максимума, понижается с ростом объема производства.
MR=МC - условие максимизации прибыли для рынка любой конкуренции
35. Понятие конкуренции. Основные типы рыночных структур.
В экономике говорят о деловой конкуренции хозяйствующих субъектов, каждый из которых своими действиями ограничивает возможность конкурента односторонне воздействовать на условия обращения товаров на рынке, то есть о степени зависимости рыночных условий от поведения отдельных участников рынка. С экономической точки зрения, конкуренция рассматривается в 3 основных аспектах: 1). Как степень состязательности на рынке; 2). Как саморегулирующий элемент рыночного механизма; 3). Как критерий, по которому определяется тип отраслевого рынка.
Под типом рыночной структуры понимается совокупность условий, в которых протекает рыночная конкуренция.
Выделяют 4 основных типа рыночных структур: совершенная конкуренция, монополистическая конкуренция, олигополия и монополия.
Для диагностики типа рыночной структуры обычно анализируются четыре фактора, определяющие степень конкуренции на рынке:
- число и размер фирм на рынке;
- характеристика товара (и в первую очередь степень его однородности у различных фирм);
- наличие барьеров на входе в отрасль и выходе из нее;
- степень доступности рыночной информации, необходимой для нормального функционирования фирмы.
Совершенная конкуренция — состояние рынка, на котором имеется большое число покупателей и продавцов (производителей), каждый из которых занимает относительно малую долю на рынке и не может диктовать условия продажи и покупки товаров. Предполагается наличие необходимой и доступной информации о ценах, их динамике, продавцах и покупателях не только в данном месте, но и в других регионах и городах. Рынок совершенной конкуренции предполагает отсутствие власти производителя над рынком и установление цены не производителем, а через функцию спроса и предложения.
Черты совершенной конкуренции не присущи ни одной из отраслей в полной мере. Все они могут лишь приближаться к модели.
Монополистическая конкуренция осуществляется тогда, когда много продавцов конкурируют, чтобы продать дифференцированный продукт на рынке, где возможно появление новых продавцов.
Монополия — исключительное право на что-либо. Применительно к экономике - исключительное право на производство, покупку, продажу, принадлежащее одному лицу, определенной группе лиц или государству. Возникает на основе высокой концентрации и централизации капитала и производства. Цель — извлечение сверхвысокой прибыли. Обеспечивается посредством установления монопольно высоких или монопольно низких цен. Подавляет конкурентный потенциал рыночной экономики, ведет к росту цен и диспропорциям.
Олигополия — тип рынка, когда в каждой отрасли хозяйства господствует не одна, а несколько фирм. Иными словами, в олигополистической отрасли производителей больше, чем в условиях монополии, но значительно меньше, чем в условиях совершенной конкуренции. Как правило, насчитывается от 3 и более участников. Частным случаем олигополии выступает дуополия (рыночная структура, при которой два продавца, защищенные от появления дополнительных продавцов, являются единственными производителями стандартизированной продукции, не имеющей близких заменителей.) . Но это довольно редкое явление. В современных условиях во многих странах с развитым рынком преобладает именно олигополистический тип конкуренции.
36.Особенности хозяйственной деятельности конкурентной фирмы. Равновесие конкурентной фирмы в краткосрочном и долгосрочном периоде.
37.Фирма-монополист. Условия существования монополии. Равновесие фирмы – монополиста.
Фирма-монополист обычно имеет высокую прибыль, что, естественно, привлекает в отрасль других производителей. В случае чистой монополии, препятствия для вступления в отрасль достаточно велики, и это практически блокирует проникновение конкурентов на монополизированный рынок. Вот реально значимые преграды на пути возможных конкурентов монополий: Эффект масштаба.
Высокоэффективное производство с низкими издержками достигается в условиях крупнейшего из возможных производства, обусловленного монополизацией рынка. Такую монополию обычно называют "естественной монополией". т.е. отраслью, в которой долгосрочные средние издержки минимальны, если только одна фирма обслуживает весь рынок. (пример - добыча и распределение природного газа: необходимо освоение месторождений, строительство магистральных газопроводов, местных распределительных сетей и т.д.) Новым конкурентам чрезвычайно трудно войти в такую отрасль, так как это требует крупных капиталовложений. Доминирующая фирма, имея более низкие издержки производства в состоянии на время снизить цену продукции, чтобы уничтожить конкурента.
Вообще любая монополия может существовать лишь при несовершенной конкуренции. Рынок монополии предполагает, что данный продукт производится только одной фирмой ( отрасль состоит из одной фирмы) и она обладает очень высоким контролем над ценами.
Равновесие фирмы – монополиста:
В отличие от совершенной конкуренции монополист может определять цены на товар. При этом выбирает объем производства и сознательно его ограничивает и формирует ценовую стратегию.
P > MC=MR Монопольная цена обеспечивает сверхприбыль (она стабильна). Она будет существовать, пока монополия ограничивает вход в отрасль, пока существенно не изменится спрос. С точки зрения общества потребитель получает меньше продукции, чем при совершенной конкуренции; цена за единицу продукции возрастает; факторов производства вовлекается меньше (не полное использование ресурсов); уменьшен излишек потребителя, увеличен излишек товаропроизводителя.
38.Понятие монопольной власти. Ценовая дискриминация.
Монопольная власть — способность фирмы-монополиста влиять на цену продукта (или услуги) и устанавливать ее выше предельных издержек, тогда как на конкурентном рынке цена равна предельным издержкам. Степень монопольной власти определяется коэффициентом Лернера (показатель монопольной власти, предложенный экономистом А. Лернером в 1934 г. Исходит из того, что измерителем монопольной власти является величина, на которую цена, максимизирующая прибыль, превышает предельные издержки. Исчисляется:
![]()
где P — цена; MC — предельные издержки.
Коэффициент Лернера имеет численное значение от нуля до единицы. Чем больше L, тем больше монопольная власть данной фирмы в своем секторе рынка. Сама по себе монопольная власть не гарантирует высокие прибыли, поскольку прибыль зависит от отношения средних издержек к цене. Фирма А может обладать большей монопольной властью, чем фирма В, но получать меньшую прибыль, если у нее существенно выше средние
Монопольная власть должна рассматриваться в динамике, поскольку высокие краткосрочные прибыли монополии могут соблазнить некоторые новые фирмы вступить в данный рынок и тем самым ограничить возможности монополии (снизить ее монопольную власть на долговременном этапе).
Ценовая дискриминация - монополистическая практика продажи блага данного качества при данных затратах по различным ценам разным покупателям.
Ценовую дискриминацию могут осуществлять только монополии, ибо они устанавливают и контролируют цены. В условиях совершенной конкуренции образуется единая цена на благо и фирма не контролирует цену, а принимает ее как данную, поэтому ценовая дискриминация не возникает.
Монополисты занимаются ценовой дискриминацией в том случае, если посредством ее увеличивают свою прибыль. Дискриминационные цены могут использоваться для расширения производства, обеспечивая тем самым экономию от масштаба производства.
Наиболее благоприятные условия для проведения ценовой дискриминации имеются в сфере услуг, поскольку они, как правило, не могут перепродаваться (например, медицинские услуги: если вам сделали операцию по поводу аппендицита, то вы не можете перепродать ее своему другу по более высокой цене).
Чтобы фирма-монополист могла проводить ценовую дискриминацию, рынок должен отвечать следующим условиям:
продавец должен быть в состоянии разделить покупателей на группы исходя из учета эластичности спроса на блага. Тем покупателям, спрос которых имеет высокую неэластичность, будет установлена высокая цена, а тем, чей спрос эластичен, - более низкая;
блага не могут перепродаваться покупателями (или продавцами) одного рынка покупателям (или продавцам) другого рынка, поскольку свободное передвижение благ с "дешевого" рынка на "дорогой" приведет к возникновению единой цены, что обусловит невозможность ценовой дискриминации;
покупатели (для монополии) или продавцы (для монопсонии) должны быть идентифицируемы (отождествлены, быть одинаковыми), иначе разделение рынка невозможно.
Ценовая дискриминация может возникать на базе разделения рынка по формам собственности, отраслевой принадлежности фирм-производителей или потребителей, а также в зависимости от того, предметом потребления или средством производства является покупаемое благо.
Существует три степени ценовой дискриминации. Ценовая дискриминация первой степени (совершенная дискриминация) наблюдается в том случае, когда на каждую единицу блага устанавливается цена, равная его цене спроса, поэтому цены продажи блага для всех покупателей различны. Данный вид ценовой дискриминации допускает персональное и межличностное различение цен спроса. Исходя из этого, ее нередко называют совершенной ценовой дискриминацией.
Ценовая дискриминация второй степени имеет место, когда цены блага одинаковы для всех покупателей, однако различаются в зависимости от объема покупок. Следовательно, связь между общей выручкой монополиста (расходами покупателей) принимают нелинейный характер, а цены называются нелинейным, или многоставочным тарифом.
При этом виде ценовой дискриминации блага группируются в определенные партии, на каждую из которой устанавливаются различные цены. На практике этот вид ценовой дискриминации проводится в форме скидок и надбавок на цены благ.
Ценовая дискриминация второй степени нередко выступает в форме ценового дисконта, или скидок (на объем поставок; кумулятивные скидки - сезонный билет на железной дороге; дискриминация во времени - различные цены на утренние, дневные, вечерние сеансы в кино; взимание абонементной платы в сочетании с пропорциональной оплатой объема купленного блага).
Ценовая дискриминация третьей степени предполагает, что разным лицам благо продается по разным ценам, но каждая единица блага, приобретаемая конкретным покупателем, оплачивается им по одинаковой цене.
Если при ценовой дискриминации первых двух степеней предполагалось разделение благ на группы, то в основе ценовой дискриминации третьей степени предполагается разделение самих покупателей на группы или рынки, где устанавливаются свои цены продажи.
39.Роль государства в регулировании хозяйственной жизни. Антимонопольное регулирование.
В обеспечении нормального функционирования любой современной экономической системы важная роль принадлежит государству. Государство на протяжении всей истории своего существования наряду с задачами поддержания порядка, законности, организации национальной обороны, выполняло определенные функции в сфере экономики. Государственное регулирование экономики имеет долгую историю - даже в период раннего капитализма в Европе существовал централизованный контроль над ценами, качеством товаров и услуг, процентными ставками и внешней торговлей. В современных условиях любое государство осуществляет регулирование национальной экономики, с различной степенью государственного вмешательства в экономику. Антимонопольное регулирование - комплекс экономических, административных и законодательных мер, осуществляемых государством и направленных на то, чтобы обеспечить условия для рыночной конкуренции и не допустить чрезмерной монополизации рынка, угрожающей нормальному функционированию рыночного механизма. Антимонопольное регулирование включает регулирование уровня концентрации и монополизации производства, стратегии и тактики предприятий, внешнеэкономической деятельности, ценовое и налоговое регулирование. Антимонопольное законодательство представляет собой совокупность законов и правовых норм, направленных на поддержание конкуренции между производителями и обеспечения нормального функционирования рынка. Основными направлениями антимонопольного регулирования являются недопущение: монополизации рынка; антиконкурентных слияний фирм; сговора о ценах; ценовой дискриминации и др.нарушений торговой практики.
Естественные монополии. Большинство чисто монополистических отраслей являются естественными монополиями. Это те отрасли, в которых экономия, обусловленная ростом масштабов производства, столь велика, что продукт может быть произведен одной фирмой при более низких средних издержках, чем если бы его производством занималась не одна, а несколько фирм. Производство товаров и оказание услуг сосредотачивается в одном предприятии в силу объективных причин и это выгодно обществу.: транспортировка нефи и нефтепрод. По трубопроводам; газа по трубопр.; услуги по передаче тепл.и электр.энергии;ж\д перевозки и др.К ним применяются методы гос.регулирования – поределение цен (тарифив на услуги) или их предельного уровня и определение потребителей,подлежащих обязательному обслуживанию.
40.Олигополия. Стратегическое планирование фирм - олигополистов.
Олигополия э то тип рынка несовершенной конкуренции, характеризующийся присутствием на рынке товара нескольких производителей; что-то среднее м/у чистой монополией и МК(монополистическая конкуренция). Олигополия возникает там, где число фирм в отрасли настолько мало, что каждая из них при формировании своей эк. политики должна учитывать реакцию со стороны конкурентов. Неопределенность в поведении соперников толкает фирмы олигополистического рынка на сговор, они стремятся договориться о поддержке общей цены и ограничении выпуска. В целях достижения рыночной власти, установления контроля над производством и ценами крупные фирмы идут на слияние. Образуются мощные корпорации. Но при этом возникает новое явление: всеобщая зависимость. Это феномен рынка, присущий только олигополистической модели. Цены при олигополии имеют тенденцию быть негибкими, жесткими. В условиях олигополии конкурентное взаимодействие фирм затрагивает все сферы конкуренции - цену, объем продаж, долю рынка, дифференциацию продукции, стратегию стимулирования сбыта, инновационную деятельность, услуги. В зависимости от ситуации фирмы могут избирать разные конкурентные стратегии. Поэтому для олигополистических рынков единой точки равновесия, к которой стремятся фирмы, нет, а фирмы одной отрасли могут взаимодействовать и как монополисты, и как конкурентные фирмы.
41. Рынки факторов производства. Особенности их функционирования.
Рынок факторов производства - сфера товарного обращения ресурсов хозяйственной деятельности: земли, сырья и труда.
Расходы, которые несут фирмы при приобретении ресурсов, выступают в общем виде как доходы их владельцев (зарплата, рента, прибыль, процент). Если цены на готовую продукцию регулируют ее поступление покупателям, то цены на ресурсы способствуют распределению последних между отраслями и фирмами. Чтобы получить максимум прибыли, фирмы должны производить наиболее выгодную продукцию при наиболее эффективном сочетании ресурсов. В конечном итоге именно цены на ресурсы определяют то количество земли, труда, капитала, предпринимательских способностей, которые будут использованы в производственном процессе. Различная «ценность» ресурсов прямо влияет на распределение национального дохода между социальными группами, обладающими разными ресурсами. При определенном сходстве с рынками готовой продукции ресурсные рынки обладают рядом специфических особенностей.
Прежде всего следует отметить, что спрос на ресурсы носит производный характер. Он расширяется или сокращается в зависимости от того, растет или падает спрос на готовую продукцию, производимую с помощью данных ресурсов.
Другая особенность спроса на факторы производства заключается в том, что их потребление взаимосвязано. Они не используются по отдельности и не могут функционировать изолированно друг от друга. Количество произведенного товара определяется наличием всех факторов, необходимых для организации производственного процесса.
Еще одна особенность ресурсного рынка связана с личностным характером такого фактора, как труд, спецификой его воспроизведения и продажи. При этом в отличие от капитализма XVIII-XIX вв., рабочая сила (труд) должна рассматриваться как объект вложения капитала. Если учесть, что и земля больше не выступает как дар природы, то следует признать, что традиционное деление факторов производства устаревает, поскольку принципиальные различия между ними стираются. Труд, землю и прочие средства производства вполне можно рассматривать как разные формы капитала.
Приступая к изучению проблемы ценообразования на рынке ресурсов, следует иметь в виду, что все факторы производства (кроме труда), помимо текущей цены, позволяющей судить об эффективности использования ресурса в течение какого-то времени (зарплата, рента, процент), имеют еще капитальную оценку. Это связано с различием капитала (ресурса) как источника постоянного дохода и дохода как результата производительного использования капитала (ресурса). Текущая цена – это цена услуг данного фактора в течение определенного времени (аренда), а капитальная – цена его окончательной продажи (смена собственника).
Мы знаем, что производственные ресурсы взаимозаменяемы в определенных границах. Каждый ресурс по мере увеличения его использования приносит дополнительный продукт, причем во все уменьшающемся размере (закон убывающей производительности). Однако эффективность использования того или иного ресурса зависит не только от абсолютной величины приносимого им дополнительного продукта, но и от цены за единицу ресурса, т.е. от стоимости ресурса. Как оказалось при анализе сравнительной эффективности ресурсов, труд в среднем в 3 раза производительней затрат на прирост средств производства.
Условием минимизации общих затрат фирмы при заданном объеме производства и неизменных ценах на ресурсы является равенство предельных производительностей всех используемых ресурсов, приходящихся на одну денежную единицу:
МРa/Рa=МРb/Рb=…=МРz/Рz
Где МРa…. МРz – предельные продукты всех используемых ресурсов от a до z, Ра…Рz – цены на эти ресурсы.
Если же цена на какой-то ресурс изменится, например, снизится (то есть вырастет его удельная производительность), то фирма станет перераспределять свои затраты в пользу данного более эффективного ресурса (за счет сокращения использования других ресурсов) до тех пор, пока указанное равенство опять не будет выполняться.
42.Равновесие фирмы на рынках факторов производства и условия его достижения.
Факторы производства в известном смысле взаимозаменяемы. Фирма может использовать различные комбинации факторов производства. Каким же принципом нужно руководствоваться?
Критерий отбора комбинирования факторов производства — наименьшие издержки производства,
Практически задача выбора наилучшего сочетания факторов производства решается путем сравнения:
а) рыночной цены фактора производства;
б) предельного, дополнительного продукта, который производится с помощью дополнительной единицы этого фактора производства.
Предельный продукт фактора производства — это прирост физического объема продукта при том, что затраченный на его производство дополнительный фактор производства возрос на какую-то минимальную величину (одну единицу).
Почему для сравнения берется не весь произведенный продукт, а только его прирост (предельный продукт)? Это связано с тем, что для определения стратегии и тактики поседения фирмы на рынке факторов производства важно знать изменяющуюся часть (прирост) продукта, а также за счет чего этот прирост можно обеспечивать, на чем можно сэкономить деньги.
Тем самым сравнение величины предельных продуктов, полученных от использования дополнительных единиц различных факторов производства, позволяет предпринимателям добиваться оптимальной организации производства. Если один фактор дороже, его заменяют другим, происходит как бы конкуренция между дополнительными факторами производства за предельный продукт.
В результате такой конкуренции образуется равновесие факторов производства, т. е. их более или менее устойчивое сочетание.
Процесс замещения одного фактора другим прекращается по достижении состояния равновесия, когда на 1 рубль любого фактора производства получается равный предельный продукт и равный доход после его продажи.
Любое предприятие (фирма) на рынке выступает в двух ролях: как продавец созданного товара и как покупатель факторов производства (земли, труда и капитала).
Факторы производства представляют собой совокупность, взаимосвязанную систему использования экономических ресурсов в производственном процессе.
Как продавец своей продукции фирма выходит на рынок товаров; как покупатель ресурсов — на рынок факторов производства. Каковы поведенческие особенности фирмы как продавца? Его главный интерес в соответствии с законом предложения — продать больше продукции по более дорогой цене. При высокой цене продукции фирмы увеличивают свое производство и предложение на рынке.
На рынке факторов производства предприятия выступают как носители спроса и стратегии покупки необходимых ресурсов как можно дешевле. Поведение фирмы как покупателя в целом описывается уже известным законом спроса; больше покупок ресурсов по более низким ценам.
Купив факторы производства и организовав процесс изготовления товара, предприниматель впоследствии получит доход от продажи готовых изделий. Доход этот распределяется в определенной зависимости от того, сколько и каких факторов использовано. Величина заработной платы зависит от количества вложенного труда (рабочей силы); рента — от величины стоимости используемого земельного участка; процент и прибыль — от величины приведенного в действие капитала.
Именно производство (величина издержек производства) определяет и структуру покупок факторов производства.
43.Структура и роль рынков капитала.
В хозяйстве существует еще один рынок, функционирование которого мы не рассматривали, - это рынок капитала, на котором даются и берутся напрокат деньги. Поскольку деньги берутся в долг в основном для приобретения капитальных благ, этот рынок и называют рынком капитала.
Отдача денег в долг называется предоставлением ссуды или кредита (от лат. creditum - "ссуда"). Соответственно, тех, кто дает деньги в долг, называют кредиторами, а тех, кто берет деньги в долг, называют заемщиками.
На рынке капитала существует цена, которая показывает, сколько нужно заплатить за прокат денег. Поскольку и цена, и количество на этом рынке измеряются в одних и тех же единицах - деньгах, для измерения цены используют относительные величины - проценты.
Ставкой процента называется цена, которую нужно уплатить за использование денег в течение некоторого промежутка времени, выраженная в процентах. Например, ставка 5% в год означает, что за использование 1000 рублей в течение года нужно заплатить 50 рублей.
На рынке капитала существуют спрос и предложение, которые определяют равновесную ставку процента (цену) и количество отданных напрокат денег.
Одной из главных особенностей рынка капитала является то, что любая фирма и любой потребитель может выступить на этом рынке как в качестве кредитора, так и в качестве заемщика. Во-первых, все фирмы и потребители используют этот "ресурс" в своей деятельности (и поэтому могут нуждаться в нем). Во-вторых, этот "ресурс" не требует производства (поэтому любая фирма или потребитель может обладать деньгами независимо от рода своей деятельности).
44.Доход владельцев капитала (процент) и его экономическая природа.
Процентная ставка - это сумма, указанная в процентном выражении к сумме кредита, которую платит получатель кредита за пользование им в расчете на определенный период (месяц, квартал, год).
С позиции теории денег, процентная ставка — это цена денег как средства сбережения.
Простые, сложные и непрерывно начисляемые проценты
При многократном начислении простых процентов начисление делается по отношению к исходной сумме и представляет собой каждый раз одну и ту же величину. Иначе говоря,
,
где
P — исходная сумма
S — наращенная сумма (исходная сумма вместе с начисленными процентами)
i — процентная ставка, выраженная в долях
n — число периодов начисления
В этом случае говорят о простой процентной ставке.
При многократном начислении сложных процентов начисление каждый раз делается по отношению к сумме с уже начисленными ранее процентами. Иначе говоря,
S = (1 + i)n P
(при тех же обозначениях).
В этом случае говорят о сложной процентной ставке.
Часто рассматривается следующая ситуация. Годовая процентная ставка составляет j, а проценты начисляются m раз в году по сложной процентной ставке равной j / m (например, поквартально, тогда m = 4 или ежемесячно, тогда m = 12). Тогда формула для наращенной суммы будет выглядеть:
![]()
В этом случае говорят о номинальной процентной ставке.
Наконец, иногда рассматривают ситуацию так называемых непрерывно начисляемых процентов, то есть годовое число периодов начисления m устремляют к бесконечности. Процентную ставку обозначают δ, а формула для наращенной суммы:
S = eδn P.
В этом случае номинальную процентную ставку δ называют сила роста.
Р еальная и номинальная ставка
Различают номинальную и реальную процентную ставку.
Реальная процентная ставка — это процентная ставка, очищенная от инфляции.
Взаимосвязь реальной, номинальной ставки и инфляции в общем случае описывается следующей (приближённой) формулой:
ir = in − π
где:
in — номинальная процентная ставка
ir — реальная процентная ставка
π — ожидаемый или планируемый уровень инфляции.
Ирвинг Фишер предложил более точную модель взаимосвязи реальной, номинальной ставок и инфляции, выражаемую названной в его честь формулой Фишера:
![]()
Легко видеть, что при небольших значениях уровня инфляции π результаты мало отличаются, но если инфляция велика, то следует применять формулу Фишера.
Согласно Фишеру, реальная процентная ставка численно должна быть равна предельной производительности капитала.
45.Основной и оборотный капитал. Особенности обращения стоимости.
Оборотный капитал - капитал, участвующий и полностью расходуемый в течение одного производственного цикла. Основной капитал включает основные средства, а также незавершенные долгосрочные инвестиции, нематериальные активы и новые долгосрочные финансовые инвестиции (вложения).
Основные средства, арендованные с правом последующего выкупа или в конце аренды по условиям договора, переходящие в собственность арендатора, учитываются также , как собственные основные средства.
В состав капитала также включаются затраты на незавершенные капитальные вложения в основные средства и на приобретение оборудования.
Эта часть затрат на приобретение и строительство основных средств, которая еще не превратилась в основные средства, не может участвовать в процессе хозяйственной деятельности, а поэтому не должна подвергаться амортизации. В основной капитал эти затраты включаются по той причине, что они уже изъяты из оборотного капитала.
Основной капитал - та часть производительного капитала, которая многократно принимает участие в производстве товара, переносит свою стоимость на новый продукт по частям, постепенно, в том числе капитал, вложенный в постройку и приобретение зданий, сооружений, в покупку машин, оборудования, инструментов, имущества4 финансовые вложения в ценные бумаги, нематериальные активы (лицензии, товарные знаки, проекты). К.о. по частям возвращается в денежной форме. К.о. подвергается физическому и моральному износу.
46.Физический и моральный износ основных фондов. Амортизация.
Износ основных фондов - утрата основными фондами потребительских свойств и стоимости в процессе эксплуатации.
Интенсивность износа зависит от вида основных фондов, особенностей их конструкции, качества изготовления, характера и условий эксплуатации, состояния обслуживания и других факторов.
Моральный износ основных фондов - частичная утрата основными фондами потребительной стоимости в связи с удешевлением их воспроизводства или в связи с более низкой производительностью по сравнению с новыми. Причиной морального износа является изменение общественных условий производства. Он имеет место и у бездействующих машин, физические свойства которых не меняются, если абстрагироваться от воздействия окружающей среды. Изменение условий общественного производства приводит к относительному изменению эффективности всех применяемых машин. Сходство физического и морального износа состоит в том, что результатом их действия является все большая утрата с течением времени первоначальной способности средства труда экономить труд. В то же время причины, их вызывающие, имеют разную природу.
Физический износ основных фондов - частичная или полная утрата основными фондами первоначальных или номинальных технико-эксплуатационных свойств и качеств.
В бухгалтерской отчетности величина физического износа отражается суммой накопленных отчислений на полное восстановление (реновацию) основных фондов, по которым начисляется амортизация. Физический износ обуславливается двумя факторами. Первым из них является функционирование средств труда, в ходе которого происходит механический износ трущихся деталей, деформация отдельных конструкций в результате динамических нагрузок и т.п. Это так называемый производственный износ. Вторым фактором физического износа является влияние естественных сил природы, которое выражается в коррозии металлов, выветривании и т. д. Это так называемый естественный износ.
Амортиза́ция — процесс перенесения по частям стоимости основных средств и нематериальных активов по мере их физического или морального износа на стоимость производимого продукта.
Данный термин употребляется в аналогичном значении и в российском налоговом учёте применительно к амортизируемому имуществу. В отличие от международной практики в российском бухгалтерском учёте амортизация носит довольно формальный характер, т.к. характеризует не столько реальный износ, сколько законодательно установленные лимиты амортизационных отчислений, позволяющие сократить налогооблагаемую базу налога на прибыль. Также одним из отличий положений российского бухгалтерского учета от положений МСФО (Международных стандартов финансовой отчетности) является невозможность для целей российского бухучета проводить амортизацию деловой репутации (так называемой «goodwill»).
47.Фактор времени в экономике. Дисконтирование доходов и затрат.
48.Особенности рынка земли. Понятие земельной ренты.
Земля – фактор производства или производственные ресурсы, данные самой природой, т. е. все естественные ресурсы (земли, леса, воды, месторождения). Этот вид ресурса приносит собственнику доход в виде ренты.
Рента – это цена за использование земли и других природных ресурсов, предложение которых ограничено по причине их невоспроизводимости.
Заметим, что если экономисты-классики на рубеже XVIII в. понятие ренты сводили лишь к ренте земельных участков и рудников, то сегодня, в зависимости от вида природных ресурсов, выделяют ренту: земельную (в том числе дифференцированную), в добывающей промышленности, на строительные участки, монопольную, на человеческий капитал. Сегодня признано, что рента в той или иной мере присутствует в доходе любого фактора производства.
Экономической рентой называют платежи владельцам факторов производства, превышающие альтернативную стоимость этих факторов. Если фактор производства не имеет альтернативных вариантов использования, его альтернативная стоимость равна нулю, а весь доход от его применения выступает в форме ренты.
На рынках факторов производства земля, ее ресурсы и недвижимость включены в товарный оборот как ресурсы, не имеющие альтернатив замещения во многих сферах хозяйствования. Экономическую ренту они приносят потому, что их предложение на рынках неэластично или недостаточно эластично.
Если изобразить на графике кривую предложения земли, то она будет абсолютно вертикальной линией (рис. 21.1). Можно повысить производительность земли, улучшить ее качество, повысить рыночный уровень ренты как платы за землю или снизить его до минимума, но количество совокупного предложения этого фактора в каждый фиксированный момент времени увеличить невозможно. Чистая экономическая рента определяется соотношением спроса и предложения на рынках.
Главной особенностью рынка земли является то, что рыночный спрос выступает единственным фактором, определяющим цену земли или ренту.
Дифференциальная земельная рента связана с различиями в естественном плодородии участков земли, что обуславливает их различную предельную производительность, а следовательно, и получение более высокого дохода при одинаковых затратах.
Предположим, что имеются два участка земли – лучший и худший (рис. 21.2). Их различная предельная производительность отражена кривыми спроса D1 и D2 . На лучшем участке, предельная производительность которого в денежном выражении выше в силу лучшего плодородия данного участка, будет получена рента – R1 . На втором участке по причине низкой предельной производительности дифференциальной ренты не возникнет.
Экономическую ренту необходимо отличать от квазиренты. Выплаты владельцам факторов производства, предложение которых в краткосрочном периоде фиксировано, называются квазирентой, представляющей собой остаточный платеж. Квазирента в долгосрочном периоде, когда все факторы производства становятся переменными, исчезает. Экономическая же рента сохраняется и в долгосрочном периоде.

. Спрос и предложение земли:
S – неэластичное предложение;
D1
– потенциальный спрос на землю;
D2
– спрос на землю в условиях, когда земля не приносит ренту;
Е – точка равновесия
2. Дифференциальная рента
Существует два типа рынка земли.
1. Купля-продажа земли во временное пользование, т.е. аренда услуг земли, при которой собственность на данный экономический ресурс не отчуждается от владельца. При этом составляется арендный договор, в соответствии с которым арендодатель передает землю во временное пользование арендатору по определенной цене, которая называется арендной платой.
2. Купля-продажа земли как актива в полную собственность, при которой она отчуждается от владельца. При этом цена земли определяется как дисконтированная стоимость, рассчитанная за бесконечный период времени, поскольку земля приносит доход бесконечно долго:
,
где R – размер ежегодной ренты; i – годовая процентная ставка.
Цена земли выступает как капитализированная рента, экономический смысл которой заключается в том, что она обеспечивает землевладельцу такую сумму денег, которая, будучи положена в банк, приносила бы доход не меньше, чем ежегодная рента.
49.Рынок труда и его атрибуты. Равновесие на рынке труда.
Рынок труда - сфера формирования спроса и предложения на рабочую силу. Через рынок труда осуществляется продажа рабочей силы на определенный срок.
Основными компонентами рынка труда являются:
- спрос на рабочую силу и предложение рабочей силы;
- стоимость рабочей силы;
- цена рабочей силы;
- конкуренция между работодателями и работополучателями, работодателями и наемными работниками.
Субъектами рынка труда выступают:
- работодатели и их представители (союзы);
- работники и их представители (профсоюзы);
- государство и его органы: министерство труда и социальной защиты населения, департаменты, комитеты и департаменты по труду и занятости и т.д.
Различают внешние и внутренние, открытые и скрытые рынки труда.
Внешний рынок труда
Внешний рынок труда - рынок, ориентирующийся на географическое или профессиональное перемещение рабочей силы. В рамках внешнего рынка труда организации комплектуются кадрами со стороны, выбирая уже подготовленных вне организации работников нужной профессии и квалификации.
Внутренний рынок труда - рынок труда, основанный на движении персонала внутри предприятия:
- либо по горизонтали, когда работник переходит на новое рабочее место, сходное прежнему по выполняемым функциям и характеру работы;
- либо по вертикали - на более высокий разряд или должность.
Открытый рынок труда - экономически активное население, фактически ищущее работу и нуждающиеся в профориентации, подготовке и переподготовке, а также все вакантные рабочие и ученические места во всех секторах экономики. Различают официальную и неофициальную части рынка труда.
скрытый рынок труда - это лица, которые формально заняты в экономике, но в то же время в связи с сокращением производства или же с изменением его структуры могут быть высвобождены.
Рынок труда имеет ряд важных особенностей, накладывающих отпечаток на его функционирование:
Неотделимость прав собственности на товар (труд) от его владельца. Труд представляет собой процесс расходования рабочей силы от своего носителя, в процессе купли-продажи труда возникают особые отношения.
Большая продолжительность контакта продавца и покупателя. Сделка, совершаемая на рынке труда, предполагает начало длительных отношений между продавцом и покупателем.
Наличие и действие неденежных аспектов сделки. Это прежде всего условия труда, микроклимат в коллективе, перспективы продвижения по службе и профессионального роста.
Наличие большого числа институциональных структур особого рода. К их числу относятся:
система трудового законодательства;
различные учреждения и службы регулирования занятости, государственные программы в области труда и занятости и т.д.
Высокая степень индивидуализации сделок. Они отличаются огромным разнообразием, поскольку каждый работник в своем роде уникален, а каждое рабочее место в той или иной мере отличается от другого и предъявляет к претендентам свои специфические требования.
Равновесие на рынке труда существует тогда, когда количество запрашиваемого труда равняется количеству предлагаемого.
Согласно неоклассической концепции оно достигается за счет мгновенной реакции ставки заработной платы на соотношение спроса и предложения на рынке труда. Благодаря гибкости зарплаты рыночный механизм обеспечивает полную и эффективную занятость. Полная занятость в данном случае означает, что каждый желающий продать определенное количество труда по сложившейся в данный момент цене может осуществить свое желание. Проиллюстрируем понятие полной и эффективной занятости с помощью рис. 7.5. Рис. 7.5. Равновесие на рынке труда при полной занятости
При ставке реальной заработной платы w0 предложение труда полностью соответствует спросу на него. Но это не значит, что исчерпаны все имеющиеся в данный момент трудовые ресурсы. Если бы ставка зарплаты поднялась до w1 , то предложение труда возросло бы до N1 . Тем не менее в ситуации, представленной на рис. 7.5, нет безработицы: трудоспособные, им соответствует отрезок N0N1, не желают наниматься на работу при ставке w0 .
Занятость на уровне N0 является эффективной потому, что каждая дополнительная единица труда дает меньший прирост выпуска, чем требуется средств для ее оплаты. Это следует из того, что кривая спроса на труд ND в условиях совершенной конкуренции одновременно представляет кривую предельной производительности труда. При использовании, например, дополнительно ( N1 - N0 ) единиц труда возникают потери, представленные на рис. 7.5 площадью заштрихованного треугольника.
Когда в стране с низкой производительностью труда (кривая ND сдвинута влево вниз) рабочие предлагают труд по относительно высокой цене (кривая NS сдвинута влево вверх), тогда полная занятость может сочетаться с большими объемами неиспользуемых трудовых ресурсов (отрезок N1 N0 будет большим). В современной экономической теории такая ситуация на рынке труда интерпретируется как безработица, обусловленная недостатком капитала. Увеличение капиталовооруженности труда повысит его предельную производительность (сместит кривую ND вправо вверх), и уровень полной занятости в неоклассическом понимании возрастет.
Согласно неоклассической концепции равновесие на рынке труда устойчиво. Если ставка реальной зарплаты окажется равной w1 , то, во-первых, работу начнут искать трудоспособные, им соответствует отрезок N0 N1 ; во-вторых, спрос на труд сократится до N2 . В результате возникает безработица в размере (N1 - N2 ). Конкуренция за рабочие места заставит ищущих работу согласиться на более низкую оплату труда, и ставка номинальной зарплаты будет снижаться до тех пор, пока ставка реальной зарплаты не примет значение w0 .
Согласно кейнсианской концепции рынок труда может стабилизироваться при наличии безработицы. На рис. 7.6 совмещены графики кейнсианских функций спроса на труд и его предложения.
безработице Спрос предпринимателей на труд в размере N0 определился в соответствии с величиной эффективного спроса, как это было показано на рис. 7.3. Если предприниматели установят ставку номинальной зарплаты на максимально допустимом для них уровне W0 , то предложение труда будет равно N2 и на рынке труда образуется избыток в размере (N2 - N0 ). Несмотря на то что в рассматриваемой ситуации ищущие работу согласны на более низкую оплату труда, уменьшение ставки зарплаты ниже W0 не увеличит спрос на труд.
С позиций классической школы в данном случае цена труда завышена на величину (W0
- W1
). Но даже при снижении ее до W1
сохранится безработица в размере (N1
- N0
), которая не устраняется в ходе стихийного взаимодействия спроса и предложения на рынке труда. В данном случае рынок труда стабилизируется при неэффективном уровне занятости, так как предельная производительность труда превышает предельные издержки на него. Площадь заштрихованного треугольника на рис. 7.6 представляет чистый выигрыш от увеличения
Рис. 7.6. Равновесие на рынке труда при безработице
50.Цена и субъективная полезность. Общая и предельная полезность блага.
Цена — экономическое понятие. Цена – результат оценки. Цена есть денежная оценка. В основе оценки могут лежать как объективные, так и субъективные критерии. Цена – денежная характеристика блага. ПОЛЕЗНОСТЬ - субъективная оценка свойств блага данным индивидом. Тесно связана с понятием «стоимость» (ценность). Разные школы по-разному трактуют эту связь. Например, физиократы связывали ценность с объективно существующей полезностью вещи. Ими был сформулирован принцип: имеет ценность все, что полезно, что позволяет удовлетворять определенные потребности, и чем выше полезность вещи, тем большую ценность она имеет. Классик политической экономии А. Смит придерживался иного мнения (вода жизненно полезна, но имеет небольшую ценность, тогда как алмаз имеет ограниченное использование, не является предметом первой жизненной необходимости, но цена на него чрезвычайно высока). Парадокс воды и алмаза пытались объяснить марксисты на основе теории трудовой стоимости: алмаз стоит дороже потому, что на его изготовление затрачивается больше труда. Однако это не объясняет поведения потребителя, поскольку он, покупая товар, интересуется не затратами труда на его производство, а его потребительскими свойствами. Следовательно, цена не всегда способна отразить полезность вещи. Проблему эту пытались решить австрийский исследователи. В конце XIX в. они выдвинули идею предельной полезности. Суть теории в следующем. Потребность людей обладает способностью насыщаться. Голодный человек, например, может съесть много хлеба, но, когда он утолит голод, каждый дополнительный кусок будет иметь для него все меньшую ценность. Полезность последней единицы (в нашем примере - хлеб) называется предельной (или наименьшей). Эту зависимость в экономической науке называют законом убывающей предельной полезности. В последующем теория претерпела значительные изменения, особенно в части приложения математического аппарата к определению полезности вещи и поведению покупателя на рынке. Современные теории не дают надежных критериев для определения полезности применительно к отдельно взятому человеку, ибо у каждого своя школа ценностей и предпочтений.
Различают общую (совокупную) и предельную полезность.
Общая (совокупная) полезность - это удовлетворение, которое получают потребители от потребления конкретного набора благ.
Предельная полезность- это приращение степени удовлетворения (полезности) при потреблении или использовании дополнительной единицы блага за определенный период времени. Предельной полезностью называют полезность, равную приращению, увеличению общей полезности вследствие покупки дополнительной единицы данного блага.
Между общей и предельной полезностью существуют зависимости. Общая полезность равна сумме всех предельных полезностей, добавленных с самого начала. Общая полезность увеличивается с ростом потребления, но уменьшающимся темпом, означающим убывание предельной полезности по мере насыщения потребности в данном благе.
Например, если индивид, съев две порции мороженого, ест третью, то общая полезность увеличится, а если он съест и четвертую, то она будет продолжать расти. Однако предельная (приростная) полезность четвертой порции мороженого не будет столь же велика, как предельная полезность от потребления третьей порции.
Этот пример можно проиллюстрировать на графиках общей и предельной полезности (рис. 20.1, 20.2).
Заштрихованные прямоугольники показывают дополнительную полезность, полученную при потреблении каждой последующей единицы блага. На рис. 20.1 видно, что темп роста общей полезности убывает, ибо величина предельной полезности понижается. Главная функция предельной полезности (рис. 20.2) будет задавать наклон главной кривой общей полезности (рис. 20.1).
Впервые понятие "полезность" ввел в науку швейцарский математик Даниэль Бернулли (1700-1782). Понятие полезности в контексте социальных наук первым употребил Иеремия Бентам (1748-1832).


Рис. 20.1. Общая полезность
Рис. 20.2. Предельная полезность
В развитие теории полезности значительный вклад внес неоклассик Уильям Стенли Джевонс (1835-1882). Многие утилитаристы XIX в. полагали, что полезность представляет собой психическое явление, которое может быть измерено количественно так же, как, например, расстояние или температура. Таковы вкратце метаморфозы в теории полезности.
51.Основы теории потребительского поведения. Качественная (ординалистская) концепция.
Возможность количественного измерения полезности, оценка которой носит субъективный характер, подвергалась критике. В противовес кардиналистической теории некоторые экономисты выдвинули порядковую (ординалистическую) теорию потребительского поведения, согласно которой субъективная полезность измеряется с помощью относительной шкалы, показывающей предпочтительность того или иного набора товаров для потребителя. В соответствии с представлениями сторонников этой теории потребитель делает выбор, исходя из предпочтительности того или иного набора товаров.
При анализе поведения потребителя ординалистическая теория предполагает ряд допущений:
1.Множественность видов потребностей. Каждый потребитель желает потреблять множество разнообразных товаров.
2.Ненасыщенность. Потребитель стремится иметь большее количество любых товаров и услуг и не пресыщен ими.
3.Транзитивность - постоянство и согласованность вкусов потребителя. Если человек предпочитает товар А (йогурт) товару В (кефир), а товар В (кефир) товару С (молоко), то он должен предпочитать товар А (йогурт) товару С (молоко).
4.Взаимозаменяемость. Потребитель согласен отказаться от небольшого количества одного товара, если ему предложат взамен большее количество товара-заменителя.
5.Убывание предельной полезности по мере увеличения количества потребляемого блага
Допустим, что потребитель ежемесячно потребляет определенное количество товара
(одежда) и товара
(продукты питания). Удовлетворить свои потребности потребитель может за счет разных наборов, состоящих из разного количества товаров
и
.
![]()
Обозначив на вертикальной оси товар
, а на горизонтальной оси - товар
и найдя координаты, приведенных выше, различных наборов двух товаров, можем построить кривую, которая называется кривой безразличия.
Кривая безразличия (U) представляет собой совокупность потребительских наборов, каждый из которых имеет одинаковую полезность для потребителя (рис 7.3).
Рис. 7.3. Кривая безразличия

Любая точка на кривой безразличия (A, B, C, D) характеризует набор товаров х и у, имеющих одинаковое значение (приносящих одинаковую совокупную полезность), и потому потребителю безразлично, какой набор приобрести. Так как ни один из наборов не имеет предпочтения, то блага, входящие в набор, взаимозаменяемы.
Кривая безразличия выпукла к началу координат. Это означает, что увеличение потребления одного товара (х) сопровождается сокращением потребления другого товара (у), т.е. товар хзаменяется товаром у. Степень взаимозаменяемости двух товаров для потребителя измеряется предельной нормой замещения.
Предельная норма замещения (
) показывает, насколько можно сократить благо У при увеличении потребления блага хна единицу, не изменяя при этом степень удовлетворения потребностей.
![]()
По мере движения вдоль кривой безразличия абсолютное значение
уменьшается.
В нашем примере при переходе от набора А к набору В
= (40-25): (4-2) = 15:2 = 7,5;
при переходе от набора В к набору C
= (25-20): (5-4) = 5:1 = 5;
при переходе от набора C к набору D
= (20-15): (8-5) = 5:3 = 1,7.
Описать предпочтения по всем наборам разных товаров (х и у) можно с помощью карты кривых безразличия (см. рис.7.4). Карта кривых безразличия - это множество кривых безразличия, каждая из которых представляет собой различный уровень полезности.
Рис. 7.4. Карта кривых безразличия

Каждая кривая безразличия, входящая в карту кривых безразличия, характеризует набор товаров, к которому потребитель относится одинаково, но сами кривые безразличия ранжируются по уровню удовлетворения потребностей. Чем кривая безразличия дальше от начала координат, тем выше степень удовлетворения потребностей и, следовательно, полезность набора товаров. Кривая безразличия U3 характеризует наибольшую степень удовлетворения потребностей, кривые U1 и U2 соответствуют более низкому уровню удовлетворения потребностей и, следовательно, наборы, описываемые этими кривыми, обладают для потребителя меньшей полезностью.
Таким образом, карта кривых безразличия позволяет выявить потребительские предпочтения, однако она не отвечает на вопрос, какой именно набор выберет потребитель. Чтобы ответить на этот вопрос, надо проанализировать покупательную способность потребителя - его бюджетное ограничение, т.е. учесть доход потребителя и цены товаров.
Алгебраически бюджетное ограничение может быть представлено следующим образом:
,
![]()
где
и
- цена товара
и товара
;
и
- количество товаров
и
, которое может быть куплено на доход потребителя;
- доход потребителя.
Совокупность вариантов выбора, открывающихся перед потребителем, исходя из его бюджетного ограничения, может быть представлена в виде графика бюджетной линии.
52.Основы теории потребительского поведения. Количественная (кардиналистская) концепция.
Количественная (кардиналистическая) теория потребительского поведения опирается непосредственно на понятие полезности и исходит из того, что полезность измерима. Для теоретических измерений полезности была введена даже единица полезности - "утиль" (от англ. - utility - полезность).
Согласно этой теории, рациональный потребитель максимизирует совокупную полезность в том случае, если отношения предельной полезности товара к цене товара равны для всех товаров, приобретаемых потребителем (правило максимизации полезности). В этом случае достигается состояние равновесия.
Потребительское равновесие - это ситуация, при которой потребитель не может увеличить совокупную полезность, получаемую при данном бюджетном ограничении, увеличивая или уменьшая покупку одного или другого товара.
Алгебраически правило максимизации полезности, или условие потребительского равновесия, может быть выражено следующими образом:
![]()
где
- предельная полезность благ a, b, c;
- цена благ a, b, c.
Предположим, что потребитель приобретает три товара А, В и С (табл. 7.1). Цены этих товаров и предельная полезность каждого из них приведены в левой части таблицы.
Таблица 7.1

Из приведенных данных следует, что первоначально доход распределен нерационально, так как в расчете на денежную единицу наибольшую предельную полезность приносит товар В (20 утилей), а наименьшую - товар А (10 утилей). Совокупная полезность приобретения трех товаров равна 225 утилям (100 + 80 + 45).
Если потребитель откажется от единицы товара А, он сэкономит 10 денежных единиц, на которые можно приобрести 2,5 единицы товара В. Тогда, по мере уменьшения количества товара А, его предельная полезность будет расти, а увеличение количества товара В приведет к снижению его предельной полезности (закон убывающей предельной полезности).
Перераспределяя доход таким образом, потребитель постепенно создаст такие условия, при которых предельная полезность всех товаров по отношению к их ценам будет равна. Допустим, это соотношение составит 15. При таком распределении дохода совокупная полезность возрастет и достигнет 255 утилей (150 + 60 + 45).
Если никакое перераспределение дохода не позволит увеличить совокупную полезность, это означает, что достигнуто состояние равновесия.

