| Похожие рефераты | Скачать .docx |
Реферат: Основы теории подобия (метод обобщенных переменных)
Тема:
Основы теории подобия (метод обобщенных переменных)
План
Методы исследования технологических процессов
Теория подобия. Виды подобия
Основные положения теории подобия (теоремы подобия)
Критерии подобия
Методы исследования технологических процессов
Исследования процессов, протекающих в технологических установках, установление закономерностей их протекания, нахождение зависимостей, необходимых для их анализа и расчета, можно проводить разными методами: теоретическим, экспериментальным, подобия.
Теоретический метод основан на составлении и решении системы дифференциальных уравнений, описывающих процесс. Дифференциальные уравнения описывают целый класс однородных по своей сущности явлений (процессов), поэтому для выделения конкретного явления необходимо ввести определенные ограничения, которые однозначно будут характеризовать данное явление. Эти дополнительные условия называются условиями однозначности. Условия однозначности включают в себя: геометрическую форму и размеры системы, т.е. аппарата, канала и т.д.; физические свойства веществ, участвующих в процессе; начальные условия (начальную температуру, начальную скорость и т.д.); граничные условия, например скорость жидкости у стенок канала, равную нулю.
Однако многие процессы химической технологии так сложны, что удается лишь составить систему дифференциальных уравнений и установить условия однозначности. Решить эти уравнения известными в математике методами не представляется возможным.
Экспериментальный метод позволяет на основе опытных данных получить эмпирические уравнения, описывающие данный процесс. Сложности экспериментального метода заключаются в необходимости проведения большого количества опытов на реальных технологических установках. Это связано с большими затратами средств и времени. Вместе с тем результаты проведенных экспериментов будут справедливы только для тех условий, для которых они получены, и не могут быть с достаточной надежностью перенесены на процессы, аналогичные изученным, но протекающие в других аппаратах.
Метод теории подобия позволяет с достаточной для практики точностью изучать сложные процессы на более простых моделях, обобщать результаты опытов и получать закономерности, справедливые не только для данного процесса, но и для всей группы подобных процессов. При моделировании процессов можно вместо дорогостоящих трудоемких опытов на промышленных установках проводить исследования на моделях значительно меньших размеров, а вместо зачастую опасных и вредных веществ использовать безопасные модельные вещества, опыты проводить в условиях, отличных от производственных. Кроме того, материальную модель можно заменить физической схемой (моделью), отражающей существенные особенности данного процесса. Поэтому в данном учебном пособии наиболее подробно будет рассмотрена теория подобия.
Теория подобия. Виды подобия
Метод обобщенных переменных составляет основу теории подобия. Одним из основных принципов теории подобия является выделение из класса явлений (процессов), описываемых общим законом (процессы движения жидкостей, диффузии, теплопроводности и т.п.), группы подобных явлений.
Подобными называются такие явления, для которых отношения сходственных и характеризующих их величин постоянны.
Различают следующие виды подобия: геометрическое; временное; физических величин; начальных и граничных условий.
Геометрическое подобие соблюдается при равенстве отношений всех сходственных линейных размеров натуры и модели. Например, при изучении движения жидкости в канале длиной L , диаметром D . В модели сходственные размеры равныl и d . Тогда
L/l =D/d= ... = соnst= kl (0)
Безразмерная величина k (а в Дытнерском), называется константой геометрического подобия , или масштабным (переходным) множителем . Константы подобия характеризуют отношение однородных сходственных величин в подобных системах и позволяют перейти от размеров одной системы (модели) к другой (натуре).
Временное подобие предполагает, что сходственные частицы в геометрически подобных системах, двигаясь по геометрически подобным траекториям, проходят геометрически подобные пути за промежутки времени, отношение которых является константой подобия kх , т.е.
(1)
На рис.1. изображен канал (натура) с размерами L и D и модель с размерами l и d . Некая частица в точке А (натура) находится в момент времени τА , в точке В — в момент времени τв . В геометрически подобной модели сходственная частица находится в подобной точке а в момент времени τа , в точке b— в момент времени τ b .

Рис. 1. Условия подобия в натуре (a) и в модели (б)
теория подобие переменная обобщенный
При соблюдении геометрического и временного подобия константа подобия скоростей kυ определяется из соотношений
(2)
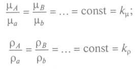
Подобие физических величин предполагает, что для двух любых сходственных точек натуры и модели, размещенных подобно в пространстве и во времени, соотношение физических величин (μ,ρи т.д.) является величиной постоянной:
(3)
и т.д.
Подобие начальных и граничных условий заключается в том, что для начальных и граничных условий должно соблюдаться геометрическое, временное и физическое подобие так же, как и для других сходственных точек натуры и модели.
Рассмотренные константы подобия постоянны для различных сходственных точек подобных систем, но могут изменяться в зависимости от соотношения размеров натуры и модели, т. е. если имеется другая модель, подобная натуре, константы подобия будут другими.
Если подобные величины выразить в относительных единицах, т.е. в виде отношений сходственных величин в пределах одной системы (натуры или модели), то получим инварианты подобия:
(4)
и т.д.
Инварианты подобия не зависят от соотношения размеров натуры и модели, т.е. для всех моделей, подобных натуре, они будут одни и те же. Инварианты подобия, представляющие собой отношение однородных величин, называются симплексами, или параметрическими критериями , например отношение L / D - геометрический симплекс.
Инварианты подобия, выраженные отношением разнородных величин, называются критериями подобия. Критерии подобия обозначаются начальными буквами имен ученых, которые внесли большой вклад в развитие данной области знаний.
Критерии подобия безразмерны, их значения для разных точек системы могут быть различными, но для сходственных точек подобных систем они одинаковые и не зависят от относительных размеров натуры и модели.
Критерии подобия имеют физический смысл, являясь мерами соотношения между какими-то двумя эффектами, силами и т.п., оказывающими влияние на протекание данного процесса.
Критерии подобия могут быть получены для любого процесса, если известны уравнения, описывающие этот процесс.
Основные положения теории подобия (теоремы подобия)
Основные положения теории подобия заключены в теоремах подобия, которые лежат в основе практического применения теории подобия.
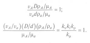
Первая теорема подобия( теорема Ньютон-Бертрана): подобные явления характеризуются численно равными критериями подобия .
Теорема была сформулирована Ньютоном. Она устанавливает, что единственным количественным условием подобия процессов является равенство критериев подобия натуры и модели.
Отсюда очевидно, что отношение критериев одной системы (натуры) к критериям другой подобной ей системы (модели) всегда равно 1. Например,

Если отношение констант подобия равно 1, оно носит название индикатора подобия и указывает на равенство критериев подобия.
Следовательно, у подобных явлений индикаторы подобия равны 1.
Первая теорема подобия указывает, какие величины следует измерять при проведении опытов, результаты которых требуется обобщить: надо измерять те величины, которые входят в критерии подобия.
Вторая теорема подобия (теорема Бэкингем-Федермана): решение любого дифференциального уравнения, связывающего между собой переменные, влияющие на процесс, может быть представлено в виде зависимости между критериями К подобия. Такие уравнения называются уравнениями обобщенных переменных , или критериальными уравнениями , например
f(К1, К2 ,К3 ,...) = 0, (5)
где К1, К2 , К3 — критерии подобия.
Обычно критериальное уравнение записывается в виде зависимости определяемого критерия подобия от определяющих критериев подобия:
К1 =f(К2 ,К3 ,...), (6)
Например,
К1 =АКm 2 Кn 3 (7)
где А, т, п — эмпирические показатели.
Определяемым критерием является тот критерий, в который входит определяемая величина. Критерии, в которые входят величины, определяющие ход процесса (v ,μ,ρ, d э и т.д.), называются определяющими .
Если какой-либо эффект в исследуемом процессе мало влияет на его протекание, то критерии подобия, характеризующие интенсивность данного эффекта, могут не учитываться. В этом случае процесс по отношению к этому эффекту и к критерию подобия становится автомодельным , т.е. независимым. В соответствии с этой теоремой результаты эксперимента, проведенного на модели, можно представлять в виде критериальных уравнений.
Третья теорема подобия (теорема Киринчен-Гухмана): явления подобны, если их определяющие критерии равны.
Следствием равенства определяющих критериев подобия является равенство и определяемых критериев для натуры и модели, поэтому полученная на модели в результате опытов критериальная зависимость будет справедлива для всех подобных процессов, в том числе и для протекающих в промышленной установке. При этом следует учитывать, что полученные уравнения надежно можно использовать только в тех интервалах изменения переменных, которые были использованы при проведении опытов.
Таким образом, для исследования технологических процессов методом подобия необходимо:
1. выбрать дифференциальное уравнение и условия однозначности, описывающие данный процесс; затем путем преобразования найти критерии подобия;
2. опытным путем с помощью моделей установить зависимость между критериями подобия; полученное обобщенное уравнение будет справедливым для всех подобных процессов в пределах изменения определяющих критериев подобия.
Преобразование дифференциальных уравнений методом теории подобия проводится в следующем порядке:
1. каждый из членов дифференциального уравнения умножается на соответствующие константы подобия кτ , кv , кl ит.д.;
2. полученные коэффициенты перед членами уравнения для соблюдения тождественности приравниваются;
3. в полученных индикаторах подобия константы подобия заменяются соответствующими отношениями величин, и полученные комплексы являются критериями подобия.
В табл. 1 приведены основные критерии гидродинамического подобия, которые будут равны для сходственных точек натуры и модели, если они подобны.
Таблица 1 - Основные критерии гидродинамического подобия
| Критерий | Выражение критерия | Характеристика критериев | Единицы измерения входящих в критерии подобия величин |
| Кинематический (критерий Рейнольдса) | Rе=υl/ν= υlρ/μ | Характеризует меру соотношения сил инерции и сил трения | υ - скорость, м/с; l - определяющий размер, м; ρ - плотность, кг/м3 ; μ - динамическая вязкость, Па-с; ν - кинематическая вязкость, м2 /с; g - ускорение свободного падения, м/с2 ; р - давление, Па; τ-время, с |
| Гравитационный (критерий Фруда) | Fr =υ2 /gl | Характеризует меру соотношения сил инерции и сил тяжести | |
| Гидравлического сопротивления (критерий Эйлера) | Еu =∆p/ρ υ2 | Характеризует меру соотношения сил гидростатического давления и сил инерции | |
| Гомохронности | Но =υ τ/l | Характеризует неустановившееся движение жидкости |
Таким образом, дифференциальное уравнение Навье - Стокса, описывающее движение вязкой жидкости, может быть представлено в виде критериального уравнения:
f (Rе, Но, Fr, Еu) = 0 (8)
Уравнение (8) является обобщенным критериальным уравнением гидродинамики. Все критерии уравнения (8), кроме критерия Ей, являются определяющими, так как они составлены из величин, входящих в условия однозначности. Критерий Эйлера, в который входит величина ∆р, являющаяся целью расчета, будет определяемым критерием.
Тогда
Еu = f (Rе, Но, Fr) или
Еu = AНос Rет Frп , (9)
где А,c,т,п- эмпирические показатели.
В ряде случаев уравнение (19) дополняют геометрическим симплексом l / d :
Еu = AНос Rет Frп (l / d )b , (10)
где b- эмпирический показатель.
При установившемся движении критерий Но исключается из критериального уравнения:
Еu = ARет Frп (l / d )b . (11)
В случае, если скорость движения жидкости не определена, в расчеты вводят производные или модифицированные критерии подобия, составленные из основных критериев. В этих критериях подобия неизвестная величина υ заменяется другими величинами, которые сравнительно легко определяются экспериментально или аналитически.
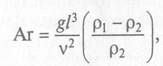
Возьмем отношение критериев Rе и Fr:
(12)
Полученный безразмерный комплекс величин называется критерием Галилея. Если умножить этот критерий на отношение ( ρ 1 - ρ 2 )/ ρ 2 , то получается новый критерий подобия — критерий Архимеда
(13)
где ρ 1 , ρ 2 — плотности жидкости в разных точках, кг/м3 .
Похожие рефераты:
Основы проектирования и конструирования
Самостоятельная работа как средство обучения решению уравнений в 5-9 классах
Методы решения уравнений, содержащих параметр
Высшая математика для менеджеров
Шпаргалки по геометрии, алгебре, педагогике, методике математики (ИГПИ)
Дифференциальные уравнения I и II порядка
Способы решения систем линейных уравнений
Использование компьютерных технологий в изучении наглядной геометрии
Классификации гиперболических дифференциальных уравнений в частных производных
Элективный курс по алгебре для 9-го класса на тему "Квадратные уравнения и неравенства с параметром"
Основы теории и технологии контактной точечной сварки