| Скачать .docx |
Реферат: Критерии оптимальности в эколого-математических моделях
1 Критерии оптимальности в эколого-математических моделях
1.1 Использование принципа выживания
В качестве критерия оптимальности предлагается использовать принцип выживания, полагая, что в диаде выживание – приспособленность первичным является выживание. Пусть динамику экосистемы, в которую входит рассматриваемый вид, адекватно описывает система уравнений с неизвестными численностями особей всех элементов экосистемы. В качестве параметров уравнений выступают экологические условия, а также структурно-функциональные параметры особей всех элементов экосистемы. Выделяют s
-я популяция и некоторый структурный или функциональный параметр
этой популяции. Делают предположение о том, что популяция состоит из двух подпопуляций, различающихся величиной фенотипического параметра. Пусть xs
(1)
, xs
(2)
,
,
– численности и величины фенотипического параметра двух подпопуляций.
Исследование динамической системы, в которую внесены соответствующие изменения, учитывающие различия фенотипического параметра у особей s
-ой популяции, позволяет анализировать асимптотические свойства численностей подпопуляций. Один из возможных вариантов поведения – вытеснение второй подпопуляции первой (фенотипический параметр
имеет селективное преимущество по сравнению с параметром
в заданных экологических условиях). Математически этот вариант описывается выражениями
![]()
Оптимальной с точки зрения выживания величиной фенотипического параметра
является такая величина, при которой для любого отличного от этого значения параметра
выполняются условия
![]()
Следует отметить, что эти условия верны при произвольных начальных условиях. С оптимальной величиной, удовлетворяющей критерию, следует сопоставлять среднее значение фенотипического параметра.
Также весьма важно то, что если популяция не обладает оптимальным значением параметра, то это не значит, что она элиминируется из биоценоза. Однородная популяция может стабильно существовать при любом значении структурно-функционального параметра
, относящимся к области, соответствующей условию стабильного существования популяции, в частности и при значении, не равном оптимальному
. Оптимальное же значение устанавливается в результате конкуренции особей с различными значениями рассматриваемого структурно-фенотипического параметра. Именно вследствие этой конкуренции особи с неоптимальными значениями параметра
элиминируются.
Применение общего критерия оптимальности возможно путем численного интегрирования уравнений динамики экосистемы при различных величинах рассматриваемого фенотипического параметра. Также возможно применение частных критериев оптимальности, справедливых в конкретных случаях и следующих из общего критерия. Используя критерий отбора, необходимо учитывать ограничения, вытекающие из физико-химических или биологических закономерностей процесса.
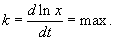
1.2 Использование максимума относительной скорости роста численности популяций
В ряде исследований в качестве критерия оптимальности выступало требование максимума относительной скорости роста численности популяции:
![]()
Этот критерий может быть применен для определения оптимальных величин структурно-функциональных параметров, если относительная скорость роста численности представлена в виде функции этих параметров. Причем, если рассматриваемый параметр не зависит от возраста особи, то задача нахождения оптимального значения сводится к отысканию параметра, соответствующего максимуму относительной скорости роста; если же рассматриваемый параметр зависит от возраста, то искомая оптимальная зависимость может быть определена путем решения соответствующей вариационной задачи.
Общий критерий оптимальности применяли к исследованию популяций лосей в лесном биоценозе. Оптимизируемыми параметрами были начальный вес новорожденных и рождаемость. Кроме того, из общего критерия оптимальности выводили требование максимума относительной скорости роста популяции, а затем на основании этого требования оптимизировали функцию роста, определяющая зависимость веса тела особи от возраста. Сравнение теоретических величин, полученных для лосей, и соответствующих биологических данных свидетельствовали об их хорошем согласии.
В теории оптимальных биологических процессов применимы более простые критерии, например, определяющие оптимальность структурно-функциональных параметров органов и систем, роль которых в организме сводится к выполнению определенных функций. Критерием оптимальности такого органа является условие минимума его потребностей при условии выполнения этим органом заданных функций
![]()
где Пор – потребности органа; Пп – потребление пищи в единицу времени, связанное с поддержанием жизненного органа, не несущего функциональную нагрузку; Пf – потребление пищи в единицу времени, связанное с осуществлением органом его функций в организме. Использование данного критерия требует учитывать условия, определяющие функции, выполняемые органом или системой.
Критерий, определяющий оптимальные функциональные параметры, имеет вид: Пf = min. Здесь необходимо сформулировать дополнительные условия, определяющие функции органа.
Если определяющей является энергетическая деятельность органа, то критерий оптимальности может быть сформулирован в виде
,
где Wi – мощность, потребляемая i -м органом.
В экспериментальных условиях было представлено применение общего критерия отбора для определения оптимального в эволюционном смысле начального веса новорожденных (на примере данных биологических исследований для популяции лосей); энергетического критерия оптимальности для определения функционального состояния системы транспорта кислорода при физической нагрузке и при ее отсутствии, а так же для нахождения энергетически оптимальной концентрации эритроцитов в крови, парциального давления в артериальной и венозной крови, определения оптимальных функциональных параметров системы внешнего дыхания и др.
2 Принцип минимального воздействия в эколого-математических моделях
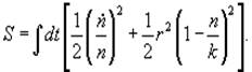
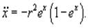
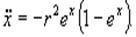
Один из способов применения целевой функции состоит в формулировании общего утверждения относительно поведения системы. Хорошо известные экстремальные принципы относятся к этому случаю. Самый известный из них – принцип Гамильтона, согласно которому, каждая механическая система ведет себя так, чтобы действие (интеграл по времени от функции Лагранжа) было минимальным. В экологии предпринимались попытки использования этого подхода для получения уравнения роста популяции, точнее, рассматривалась обратная задача: записать действие, которое приведет к специальному уравнению роста. Одна из наиболее удачных попыток разрешить эту задачу, предложенная М.Гатто с соавторами, представлена в работе Дж.Вебба.
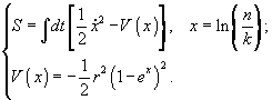
В качестве функционала действия, который приведет к логистическому уравнению роста популяции численности n , было рассмотрено следующее выражение

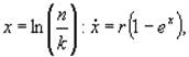
Для упрощения вычисления была сделана замена переменных

Согласно вариационному принципу, уравнение эволюции x (t ) задается требованием экстремальности действия, т.е. dS = 0. После необходимых вычислений было получено динамическое уравнение
![]()
![]()
Чтобы сравнить этот результат с логистическим уравнением
![]()
его переписали в переменных

и продифференцировали:
![]()
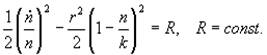
Полученное совпадение показывает, что любое решение логистического уравнения является решением динамического уравнения, выведенного из функционала действия. Однако, не любое решение уравнения является решением логистического уравнения. Для выявления взаимосвязи между данными уравнениями было проведено исследование полученного уравнения эволюции. После некоторых преобразований и интегрирования было получено выражение

Уравнение эволюции характеризуется константой R : при R > 0 популяция неограниченно растет, при R < 0 популяция достигает максимального значения, а затем уменьшается до 0. Значение R = 0 приводит к логистическому уравнению, тем самым, показывая, что логистический рост – это особый случай равновесия между неограниченным ростом и затуханием.
В работе также был рассмотрен вопрос об интерпретации введенного таким образом “биологического” действия. Описание в терминах кинетической и потенциальной энергии неприемлемо, поскольку ведет к неизменности общей энергии системы (экологические системы обычно подразумеваются открытыми). По аналогии с физикой, где действие разделено на свободное движение и взаимодействие, предлагалось рассматривать действие как сумму члена, описывающего популяцию, которая не подвержена помехам в росте, и члена V (x ), описывающего внешнее влияние среды на популяцию. Однако, подобная интерпретация хорошо описывает лишь случай V (x ) = 0, когда применение вариационного принципа приводит к уравнению экспоненциального роста. Сам М.Гатто и его соавторы описывали действие как цену роста.
По мнению Дж.Вебба, применение вариационного принципа позволяет сместить акцент с поведения системы на факторы, которые его определяют, а также делает возможным разделение внутреннего поведения популяции и эффектов внешней среды.
3 Модели случайных стационарных процессов и принципы, на которых они основываются
Модели случайных стационарных процессов рассматривают систему как совокупность взаимодействующих элементов со случайными свойствами. В модель вводиться функция распределения показателей состояния и глобальная характеристика взаимодействия компонентов (энтропия, энергия или вещественый результат). Область применения рассматриваемых моделей ограничивается описанием неструктурированных гомогенных систем, когда необходимо оценить воздействие многих факторов на результирующий признак
Статистические модели строятся при допущении, что исследуемый процесс случаен и может быть изучен с помощью статистических методов анализа систем. Они включают: эмпирические- и динамические статистические модели, корреляционный и факторный анализ, многомерное шкалирование, анализ временных рядов. Для снижения размерности статистических моделей используется ряд методов, например выделение главных компонент в регрессионных уравнениях и гармонических рядах.
3.1 Эргодичность стационарного случайного процесса
Для некоторых процессов вдостаточно длинных реализациях случайного процесса содержатся все его значения. Следовательно, помимо статистическихсредних характеристик процесса, определяемых путем усреднения по ансамблю возможных значений процесса, имеется возможность определить временныесредние характеристики путем усреднения по времени достаточно длинной реализации процесса.
Случайные процессы, у которых статистические и временные средние характеристики совпадают, называются э р г о д и ч е с к и м и. Далеко не все случайные процессы удовлетворяют условию эргодичности. Однако многие стационарные процессы этому условию удовлетворяют и для них (несмотря на флюктуации временных средних характеристик от одной реализации к другой) с вероятностью, равной единице, временные средние совпадают со статистическими средними:
где
- реализации процесса, сдвинутые на
.
Можно показать (теорема Винера – Хинчина), что функция корреляции стационарного случайного процесса является Фурье-преобразованием некоторой функции частоты
:
()
Физический смысл
следует из условия
, при котором
- средняя мощность процесса, а следовательно
- его спектральная плотность мощности (спектр мощности).
Иначе говоря, функция корреляции содержит полную информацию о распределении энергии процесса по частоте, но не может дать сведений о частотном распределении амплитуд и фаз спектральных составляющих реализаций процесса.
Многие распространенные случайныепроцессы приближенно можно описать корреляционной функцией вида
и соответствующей ей спектральной плотностью
.
Итак, спектр мощности и функция корреляции не являются независимыми характеристиками случайного процесса. Обе эти характеристики определяют степень вероятностной связи между значениями сигнала в различные моменты времени или, как иногда говорят, степеньпоследействияпроцесса. Процесс считается не имеющим последствия, если вероятность наступления последующих значений процесса не зависит от того, какими были предыдущие значения. В процессах с последействием, наоборот, предыдущее значение процесса влияет на вероятность наступления последующего или ряда последующих значений процесса. Чем сильнее выражено последействие процесса, тем больше максимальный интервал времени
, в течение которого данное значение процесса еще влияет на следующие за ним значения.
Функция корреляции характеризует степень влияния одного значения процесса на последующие в зависимости от интервала времени
, разделяющего эти значения. Как правило, функция корреляции уменьшается с ростом
.
Интервал
, на котором функция корреляции имеет еще заметную величину, называется интерваломкорреляции.Чем больше интервал корреляции, тем более удаленные значения процесса имеют еще вероятностные взаимосвязи.
Аналогично этому за ширинуспектра мощности принимают интервал частот
для которого значения
имеют еще заметную величину.
Можно показать, что интервал корреляции и ширина спектра мощности связаны обратной зависимостью:
где
- постоянная величина ( база сигнала).
Так как наиболее полным описанием случайной последовательности является функция распределения вероятностей ее значений, то задача тестирования в общем случае сводится к получению эмпирических вероятностных характеристик по доступным выборочным данным и проверке гипотез об их соответствии некоторым стандартным характеристикам, определяющим различные классы случайных последовательностей и отдельные их свойства. Часто в качестве стандартной случайной последовательности (СП)
выступает стандартная случайная последовательность, например, с нормальным распределением
и числовыми характеристиками:
- математическое ожидание и
- дисперсия случайной последовательности.
Общий алгоритм тестирования случайной последовательности с учетом вводимой стандартной случайной последовательности может включать следующие этапы.
1. Определение эмпирических вероятностных характеристик тестируемой случайной последовательности (математического ожидания, дисперсии, корреляционного момента, вероятностей событий и функции распределения вероятностей). Важно, чтобы качество полученных эмпирических оценок соответствовало выдвигаемым априорно требованиям к допустимому отклонению от истинных значений характеристик (доверительному интервалу и доверительной вероятности), а также определялось требуемым для этого размером выборки. На основе полученных характеристик могут быть установлены свойства симметрии распределения (совпадение значений среднего, моды и медианы, либо равенство значений вероятностей превышения и не превышения среднего значения) и близости его формы к некоторому стандартному, например, к нормальному.
2. Построение гистограммы вероятностей и восстановление эмпирического распределения случайной последовательности на основе полученных вероятностных характеристик и выдвижение гипотезы о виде распределения СП.
3. Проверка верности выдвинутой гипотезы по критериям соответствия (согласия) эмпирических и аналитических вероятностных характеристик, а также определение класса и основных свойств случайной последовательности с оценкой показателей качества оценок и решений.
Рассмотрим основные этапы тестирования случайных последовательностей в предположении выполнения условий стационарности и эргодичности выборочных данных.
Вероятностной характеристикой
случайной величины
,определяемой непосредственно путем эксперимента, является некоторое число - математическое ожидание, дисперсия, вероятность события
.
Символ
означает истинное значение характеристики. Путем обработки результатов экспериментального исследования X получают экспериментальное значение характеристики, статистическую характеристику или оценку
характеристики
.
Экспериментальное исследование случайной величины X
с целью определения
-
оценки (приближенного значения)
,
заключается в проведении N
опытов (испытаний, наблюдений) и получении (путем соответствующих измерений) ряда значений
—
реализаций X
.
В результате обработки экспериментальных данных определяется
как функция эксперимента.
Если провести еще одну серию из N
опытов, то будет получен ряд других реализаций
случайной величины Xи другое значение
оценки искомой характеристики
.
Значение
случайной величины X
,полученное в результате
- ого опыта в серии, можно рассматривать как значение случайной величины
а оценку
-
как реализацию более общей случайной величины
, (1)
являющейся функцией независимых случайных величин
,все вероятностные характеристики которых совпадают с характеристиками X
.
Вероятностными характеристиками системы двух случайных величин (X,Y),определяемыми непосредственно на основании эксперимента, являются математические ожидания, дисперсии, корреляционный момент, вероятность события
. Эксперимент заключается в проведении N опытов и получении ряда значений
реализаций случайных величин X
,Y
.
В результате обработки экспериментальных данных получается оценка
,
как реализация случайной функции
, (2)
аналогичной (1).
Погрешность приближения оценки
равная
, (3)
является, как и
, случайной величиной.
Функцию
желательно выбирать так, чтобы выполнялось три условия
1. Математическое ожидание
равно нулю:
(4)
2.
Дисперсия
стремится к нулю с увеличением N
(5)
3 Дисперсия
при данной
должна быть наименьшей.
При выполнении условия (4) оценка
называется несмещенной,
условий (4), (5) - состоятельной,
всех трех условий - эффективной.
Вследствие случайного характера погрешности (3) для характеристики точности приближенного равенства
необходимо располагать вероятностью рд
того, что абсолютное значение погрешности не превзойдет некоторого предела
(6)
Интервал от
до
,в котором с вероятностью рд
находится истинное значение
, называется доверительным интервалом,
его границы - доверительными границами,
авероятность рд
- доверительной вероятностью.
Если число экспериментальных данных N достаточно велико, то
погрешность (3) состоятельной оценки
можно практически считать
распределенной нормально с математическим ожиданием (4), дисперсией
и средним квадратическим отклонением
При этом выражение (6) имеет вид:

(7)
где
- функция Лапласа,
.
С помощью этой формулы решается задача определения доверительной вероятности рд
по известным данным
.
Функция Лапласа
выражает зависимость
от
.Обратная
выражает зависимость
от
. При
,
имеем
(8)
С помощью формулы (8) и обратной функции Лапласа решается задача определения доверительного интервала
по известным рд
и
и необходимого числа испытаний по известным рд
и
.
При решении первой задачи согласно (8) определяется
.При решении второй задачи согласно (8) определяется
, а затем N.
Для проведения тестирования СП обычно приводят к стандартному виду. Для случая двоичной ноль - единичной последовательности это достигается перекодировкой исходной последовательности в симметричную -1,1- ю последовательность в соответствии с правилом
.
Здесь
- элементы стандартной и исходной последовательностей соответственно.
3.2Определение математического ожидания
Оценка математического ожидания
как экспериментальное (выборочное) значение первого начального момента случайной величины X
равна
,
В тоже время оценка среднего всей генеральной совокупности значений случайной величины определяется из выражения
, (9)
где
- независимые случайные величины с одинаковыми
, т.е. с числовыми характеристиками, равными истинным, но неизвестным априори, их значениям.
Математическое ожидание погрешности оценки среднего равно
. (10)
Дисперсия погрешности оценки среднего равна
. (11)
Среднее квадратическое отклонение оценки математического ожидания
. (12)
Как видно из (10,11) оценка (9) – несмещенная , состоятельная и эффективная.
Выражения (8-12) могут быть положены в основу определения требуемого размера выборки для обеспечения заданных значений доверительного интервала погрешности и доверительной вероятности. Так, имея требования к величине доверительного интервала
и доверительной вероятности
и принимая гипотезу о гауссовом характере распределения погрешности оценивания
, т.е. возможности определения доверительной вероятности в виде
, из выражения (8) определяем требуемое значение среднего квадратического отклонения погрешности оценки
. Вместе с тем из выражения (12) следует, что среднее квадратическое значение погрешности
оценки среднего случайной величины связано со значениями СКО
и объемом выборки N следующей зависимостью:
,
откуда, приравнивая правые части последних равенств, окончательно определяем выражение для расчета требуемого объема выборки
.
Здесь значение СКО случайной величины
может задаваться априорно, либо определяться экспериментально по выборке меньшего чем N объема.
Определение оценки дисперсии и ее среднего квадратического отклонения
Оценка дисперсии
как экспериментальное значение второго центрального момента случайной величины X
может быть вычислена по формуле
.
Так как значение
априори неизвестно, то принимают
и тогда
. (13)
Математическое ожидание погрешности оценки равно
, (14)
что означает, что оценка (14) является смещенной.
Смещение пропорционально Dx и обратно пропорционально N. Это означает, что оценка Dx ,полученная согласно (14), - состоятельная.
Смещение устраняется с переходом к
.
При этом вместо (13) имеем
. (15)
При больших значениях N результаты расчета по формулам (13)и (15)практически будут одинаковыми.
Выражение для дисперсии оценки (15), равной дисперсии погрешности
, при нормальном виде закона распределения X
(для худшего случая) можно получить следующее [1-3]:
. (16)
Зависимость среднего квадратического отклонения
от его точного значения
определяется выражением
.
3.3Определение корреляционного момента и коэффициента корреляции
Экспериментальное значение корреляционного момента Rxy как оценка смешанного центрального момента m 11 системы двух случайных величин равно
Так как значения Мх
, Му
неизвестны, то принимают
,
и тогда
ИЛИ
.
(17)
Погрешность оценки
(18)
Математическое ожидание погрешности (18)
Это означает, что оценка (17) - смещена и равна
. (19)
Можно показать, что она является и состоятельной.
Смещение устраняется с переходом от
к
. При
этом вместо (17) имеем
. (20)
Для дисперсии оценки (17), равной дисперсии
погрешности (18), можно получить [1-3]
, (21)
где
-
четвертый смешанный центральный момент системы (X
Y
).
При Y
=
X
выражения (20) и (21) превращаются в (15), (16). Если система (
X
Y
)
распределена нормально, то
и согласно (21)
Так как значения Rxy , Dx , Dy неизвестны, то практически используется приближение
. (22)
Среднее квадратическое значение погрешности (18) равно среднему квадратическому отклонению оценки (20):
. (23)
Оценка коэффициента корреляции определяется согласно
. (24)
Если оценки
,
получены в результате одной серии наблюдений, а оценка
–
врезультате другой, то их погрешности
,
–
независимые случайные величины, являющиеся аргументами линейной функции:
. (25)
Значение
рассчитывается согласно (15), доверительный интервал
– по формуле (8).
3.4 Определение вероятности события
Экспериментальное значение вероятности Р некоторого события - это частость [1-3]
,(26)
причем число п появлений события в серии из N испытаний можно рассматривать как сумму N независимых случайных слагаемых:
,(27)
каждое из которых может принимать только два значения 1 и 0 с вероятностями P и 1 – P .
Математическое ожидание и дисперсия случайной величины Xi :
.
(28)
Погрешность оценки (26) равна
.
(29)
Математическое ожидание погрешности и ее дисперсия:
.
(30)
Таким образом, оценка (26) - несмещенная и состоятельная. Среднее квадратическое отклонение оценки (26)
.
На практике принимают
.
(31)
3.5 Определение законов распределения случайной величины
Экспериментальное определение законов распределения случайных величин сводится к определению оценок вероятностей, математических ожиданий, дисперсий и средних квадратических отклонений [1-3].
Если случайная величина X
-
дискретная, то определяются
,
и оценки
значений функции вероятности
или оценки
значений функции распределения
.
Если случайная величина X - непрерывная, то определяются Мх , Dх и оценки fx ( x ), Fx ( x ) плотности вероятности fx ( x ) и функции распределения Fx ( x ).
При оценивании законов распределения непрерывной случайной величины процесс обработки экспериментальных данных - реализаций х ,...,xN ,, начинается с выбора границ а и b > а интервала, заключающего возможные значения X , и деления этого интервала на k равных элементарных промежутков с = (b - a )/ k .
При расчете с значения а и b следует для удобства округлять,
принимая, например, вместо b = 3,341,а = -2,63 значения 3,4 и -2,7. Во всех случаях округление производится в сторону увеличения разности b- а. Значение k выбирается в пределах от 8 до 20. Удобно принять k = 10.
После этого определяют границы
всех элементарных промежутков и составляют таблицу (табл.1), в которой х'0
=а,
x
'
k
=
b
.
Значение
- это число реализаций X
,оказавшихся в пределах j-ого интервала от
, до
. Значения
и
:
(32)
. (33)
При группировке реализаций Xпо отдельным интервалам может оказаться что некоторые из них придутся точно на границу двух смежных промежутков. В этих случаях необходимо прибавить к числам
и
смежных интервалов по 1/2.
Таблица 1
![]()
![]()
![]()
… ![]()
![]()
![]()
![]()
…
![]()
…
![]()
…
По данным таблицы могут быть построены эмпирические гистограмма и график функции распределения.
Затем возникает весьма сложная задача подбора аналитического закона распределения, достаточно хорошо согласующегося с результатами эксперимента.
Основанием для выбора аналитического выражения плотности вероятности fx
(
x
)
могут служить соображения о том, чтобы простейшие числовые характеристики теоретической случайной величины были равны экспериментальным значениям этих характеристик. Если, например, теоретический закон определяется двумя параметрами, то их выбирают так, чтобы совпали два момента (
).
3.6 Критерий интервальных оценок
Располагая результатами эксперимента согласно (31) рассчитывают средние квадратические отклонения:
;
.
(34)
Согласно (8) рассчитываются доверительные интервалы
и границы изменения ВВХ
, (35)
соответствующие доверительной вероятности
и
.
Располагая выбранным аналитическим выражением плотности вероятности fx ( x ), рассчитываются теоретические значения:
(36)
Критерием согласия теоретического и экспериментального распределения является соблюдение неравенств:
(37)
Критерий
Рассчитав
согласно (35), находят значения
(38)
и рассчитывают
. (39)
Если расхождение между экспериментальным и теоретическим распределением несущественно, то распределение случайной величины (39) близко к нормальному с математическим ожиданием
и
средним квадратическим отклонением
, где s
-
так называемое число степеней свободы
и согласно (8) с доверительной вероятностью рд
=
0,997 справедливо неравенство
. (40)
Число степеней свободы
s
=
k
- и -
это разность между числом интервалов k
, выбираемых произвольно, и числом условий и,
которым должно удовлетворять эмпирическое распределение случайной величины. Этих условий обычно три: сумма всех
равна единице, математическое ожидание равно
дисперсия равна
3.7 Сравнение математических ожиданий и дисперсий
Особой задачей, возникающей при экспериментальном исследовании случайных величин, является сравнение экспериментальных математических ожиданий
и дисперсий
, полученных в результате N1
, и N2
независимых измерений случайных величин X1
и X2
.
Для проверки гипотезы
или, что то же самое
, рассчитывается критерий [1-3]
. (41)
Если
, гипотезу можно признать справедливой с доверительной вероятностью
= 0,9972 .
3.8 Использование модели случайных стационарных процессов для анализа динамики численности птиц
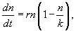
Для анализа ряда многолетних наблюдений динамики численности птиц были применены методы стационарных случайных процессов.
Численность (плотность) птиц рассчитывалась на объединенную площадь лесов и на объединенную площадь всех исследованных местообитаний.
С помощью метода автокорреляции были получены коррелограммы процессов изменения численности птиц за 12-летний период на объединенных площадях и площадях всех лесов. Подсчитаны коэффициенты автокорреляции и частной автокорреляции (наибольший коэффициент автокорреляции R1=0,63; частной автокорреляции Rpar 1=0,63). При исследовании коррелограмм не обнаружились характеристические свойства моделей скользящей средней и авторегрессионной модели, т.е. конечная протяженность автокорреляционной функции и частной автокорреляционной функции. Поэтому была выбрана смешанная модель авторегрессии-скользящей средней (АРСС).
Экологический смысл авторегрессионных параметров заключается в отражении периодичности изменения численности птиц в сезонном и многолетнем рассмотрении. Использование скользящей средней можно обосновать, ссылаясь на известное высказывание о том, что одним из простейших методов, позволяющих элиминировать случайные колебания эмпирической линии регрессии, является метод выравнивания способом скользящей средней (Биоиндикация…, 1994).
Подобранная модель имеет вид:
xt = xt-1+at - θat-1,
где x – прогнозирующая переменная авторегрессии,
а – скользящей средней,
θ – параметры смешанной модели.
Проверка адекватности модели, точнее, ее прогнозных качеств, производилась на усеченных рядах данных (10-летних). Прогноз рассчитывался на два года вперед и сравнивался с эмпирическими данными. Подсчет коэффициентов корреляции между опытными данными и прогнозом показал сильную связь для лесных местообитаний (непараметрический коэффициент корреляции Спирмена R=0,81) и меньшую связь для объединенных площадей (R=0,53). Ряды остатков подобранных моделей не обнаруживают какой-либо остаточной структуры, судя по полученным коррелограммам остатков. Заниженные прогнозные значения модели процесса не противоречат полученному нами ранее тренду небольшого многолетнего уменьшения численности птиц.
Построенная модель может служить для анализа и прогноза численности птиц.
Литература
1. Потемкин В.Г. МАТЛАБ. Справочное пособие, Изд-во «Диалог МИФИ», 1998 г.
2. Барабашева Ю.М., Девяткова Г.Н., Тутубалин В.Н., Угер Е.Г. Некоторые модели динамики численностей взаимодействующих видов с точки зрения математической статистики // Журнал общей биологии. – 1996. 57, N.2. – С.123 – 139.
3. Боголюбов А.Г. Математические модели эколого-генетических процессов конкуренции видов. Автореферат диссертации на соискание ученой степени доктора физико-математических наук. С.-Пб. 1995. – 34 с.
4. Болсуновский А.Я. Эколого-биофизические механизмы доминирования микроводорослей в культуре и водоеме. Автореферат диссертации на соискание ученой степени доктора биологических наук. Красноярск. 1999. – 48 с.
5. Гаузе Г.Ф. Исследования над борьбой за существование в смешанных популяциях // Зоол. журн. – 1935. 14, N.4. – С.243 – 270.
6. Замолодчиков Д.Г., Левич А.П., Рыбакова С.Ю. Исследование адекватности теоретико-категорной модели фитопланктонных сообществ // Проблемы экологического мониторинга и моделирования экосистем. Т.15. Л.: Гидрометеоиздат. 1993. – С.234 – 246.
7. Зотин А.И., Зотин А.А. Направление, скорость и механизмы прогрессивной эволюции: Термодинамические и экспериментальные основы. М.: Наука. 1999. – 320 с.
8. Крупаткина Д.К. Особенности роста фитопланктона в связи с содержанием биогенных элементов в клетках // Биология моря. – 1978. Вып.47. – С.18 – 25.
9. Кучай Л.А. Использование концепции клеточной квоты в моделях динамики фитопланктона. ДЕП 8567-В85. ВИНИТИ. 1985. – 35 с.
10. Левич А.П. Структура экологических сообществ. М.: Изд-во Моск. ун-та. 1980. – 181 с.
11. Левич А.П., Булгаков Н.Г., Замолодчиков Д.Г. Оптимизация структуры кормовых фитопланктонных сообществ. Под редакцией проф. В.Н.Максимова. М.: Товарищество научных издателей КМК. 1996б. – 136 с.
12. Минкевич И.Г., Андреев С.В., Ерошин В.К. Влияние органического и минерального субстратов на величину затрат клеток на поддержание // Микробиология. – 1998. 67, N.2. – С.176 – 181.
13. Печуркин Н.С. Энергетические аспекты развития надорганизменных систем. Новосибирск: Наука. 1982. – 112 c.
14. Приц А.К. Принцип стационарных состояний открытых систем и динамика популяций. Калининград. 1974. – 123 c.
15. Ризниченко Г.Ю., Рубин А.Б. Математические модели биологических продукционных процессов. Учебное пособие. М.: Изд-во Моск. ун-та. 1993. – 302 c.
16. Розен Р. Принцип оптимальности в биологии. М.: Мир. 1969. – 215 c.
17. Свирежев Ю.М. Феноменологическая термодинамика взаимодействующих популяций // Журнал общей биологии. – 1991. 52, N.6. – С.840 – 853.
18. Свирежев Ю.М., Логофет Д.О. Устойчивость биологических сообществ. М.: Наука. 1978. – 352 с.
19. Силкин В.А., Хайлов К.М. Биоэкологические механизмы управления в аквакультуре. Л.: Наука. 1988. – 230 c.
20. Страшкраба М., Гнаук А. Пресноводные экосистемы. Математическое моделирование. М.: Мир. 1989. – 376 c.