| Скачать .docx |
Реферат: Математические методы и модели в экономике
ФЕДЕРАЛЬНОЕ АГЕНТСТВО ПО ОБРАЗОВАНИЮ
ГОСУДАРСТВЕННОЕ ОБРАЗОВАТЕЛЬНОЕ УЧРЕЖДЕНИЕ ВЫСШЕГО ПРОФЕССИОНАЛЬНОГО ОБРАЗОВАНИЯ
КАМСКАЯ ГОСУДАРСТВЕННАЯ ИНЖЕНЕРНО-ЭКОНОМИЧЕСКАЯ АКАДЕМИЯ
КАФЕДРА ЭОУП
КОНТРОЛЬНАЯ РАБОТА
по дисциплине "Математические методы и модели в экономике"
Выполнил: студент гр. 4381-С
Кустовский Р.Г.
Проверил: доцент
Коврижных О.Е.
г. Набережные Челны
2010
ЗАДАНИЕ 1
Построить одноиндексную математическую модель задачи линейного программирования. В модели надо указать единицы измерения всех переменных, целевой функции и каждого ограничения
Цех мебельного комбината выпускает трельяжи, трюмо и тумбочки под телевизоры. Норма расхода материала в расчете на одно изделие, плановая себестоимость, оптовая цена предприятия, плановый ассортимент и трудоемкость единицы продукции приведены в таблице. При этом, запас древесно-стружечных плит, досок еловых и березовых 92, 33 и 17 куб.м. соответственно. Плановый фонд рабочего времени 19100 человеко-часов.
Исходя из необходимости выполнения плана по ассортименту и возможности его перевыполнения по отдельным (и даже всем) показателям, постройте модель, на основе которой можно найти план производства, максимизирующий прибыль.
| Показатели |
Изделия |
||
| трельяж |
трюмо |
тумбочка |
|
| Норма расхода материала, куб.м.: |
|||
| древесно-стружечные плиты |
0,042 |
0,037 |
0,028 |
| доски еловые |
0,024 |
0,018 |
0,081 |
| доски березовые |
0,007 |
0,008 |
0,005 |
| Трудоемкость, чел.-ч. |
7,5 |
10,2 |
6,7 |
| Плановая себестоимость, ден.ед. |
98,81 |
65,78 |
39,42 |
| Оптовая цена предприятия, ден.ед. |
97,10 |
68,20 |
31,70 |
| Плановый ассортимент, шт. |
450 |
1200 |
290 |
Решение:
В условии задачи сформулирована цель получение максимальной прибыли при необходимости выполнения плана по ассортименту и возможности его перевыполнения. Поэтому, искомыми величинами, а значит, и переменными задачи являются количество произведенной продукции:
Х1 - количество изготовленных трельяжей.
Х2 - количество изготовленных трюмо.
Х3 - количество изготовленных тумбочек.
Поэтому целевой функцией будет математическое выражение, в которой суммируется прибыль от изготовления каждой продукции. Прибыль является разность между себестоимостью и оптовой ценой продукции.
L = (97,10 – 98,81) *Х1 + (68,2 – 65,78)* Х2 +(31,7 – 39,42)* Х3 =
= –1,71 * Х1 + 2,42 * Х2 – 7,72 * Х3 -max
Условием является то, что сумма расхода материалов не должно быть больше имеющихся материалов, а так же обязательное условие - выполнение плана. Таким образом, математическая модель задачи будет иметь вид:

ЗАДАНИЕ 2
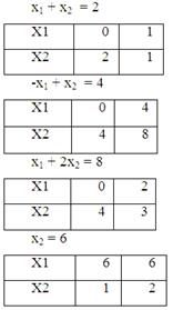
Решить одноиндексную задачу линейного программирования графическим методом.

Построим следующие прямые:
х1 + х2 = 2 (1)
-х1 + х2 = 4 (2)
х1 + 2х2 = 8 (3)
х1 = 6 (4)
Для этого вычислим координаты прямых:

Заштрихуем полуплоскости, определяемые и разрешаемые каждым из ограничений неравенств. Определим область допустимых решений , многоугольник АВCDEF.
Построим целевую функцию по уравнению

Нижняя точка пересечения целевой функции и многоугольника – это точка минимума целевой функции.
Найдем координаты точки D ( 2; 0 ).
Минимальное значение целевой функции
L(Х) = L(D) = 1*2 + 3*0 = 2
ЗАДАНИЕ 3
Задача сетевого планирования
По данным варианта необходимо:
1) построить сетевую модель, рассчитать временные параметры событий (на рисунке) и работ (в таблице);
2) определить критические пути модели;
3) оптимизировать сетевую модель по критерию "минимум исполнителей" (указать какие работы надо сдвигать и на сколько дней, внесенные изменения показать на графиках привязки и загрузки пунктирной линией).
| Название работы |
Нормальная длительность |
Количество исполнителей |
Вариант 2 (N=11 человек)1. D - исходная работа проекта; 2. Работа E следует за D; 3. Работы A, G и C следуют за E; 4. Работа B следует за A; 5. Работа H следует за G; 6. Работа F следует за C; Работа I начинается после завершения B, H, и F |
| A |
3 |
5 |
|
| B |
4 |
7 |
|
| C |
1 |
1 |
|
| D |
4 |
3 |
|
| E |
5 |
2 |
|
| F |
7 |
3 |
|
| G |
6 |
6 |
|
| H |
5 |
1 |
|
| I |
8 |
5 |
1. Построим сетевую модель, рассчитаем временные параметры событий ( на рисунке) и работ ( в таблице).
Сетевой график

| Код |
Название работы |
t |
Трн |
Тро |
Тпн |
Тпо |
Rп |
Rс |
| 1-2 |
D |
4 |
0 |
4 |
0 |
4 |
0 |
0 |
| 2-3 |
E |
5 |
4 |
9 |
4 |
9 |
0 |
0 |
| 3-5 |
A |
3 |
9 |
12 |
13 |
16 |
4 |
0 |
| 3-6 |
G |
6 |
9 |
15 |
9 |
15 |
0 |
0 |
| 3-4 |
C |
1 |
9 |
10 |
12 |
13 |
3 |
0 |
| 5-7 |
B |
4 |
12 |
16 |
16 |
20 |
4 |
4 |
| 6-7 |
H |
5 |
15 |
20 |
15 |
20 |
0 |
0 |
| 4-7 |
F |
7 |
10 |
17 |
13 |
20 |
3 |
3 |
| 7-8 |
I |
8 |
20 |
28 |
20 |
28 |
0 |
0 |
В таблице использованы следующие сокращения:
t - длительность работы
Трн - ранний срок начала работы
Тро - ранний срок окончания работы
Тпн - поздний срок начала работы
Тпо - ранний срок окончания работы
Rп - полный резерв времени
Rс - свободный резерв времени
2. Определим критические пути модели
Критический путь – 1,2,3,6,7,8 = 28 суток - максимальный по продолжительности полный путь.
3. Оптимизируем сетевую модель по критерию "минимум исполнителей" (укажем какие работы надо сдвигать и на сколько дней, внесенные изменения показать на графиках привязки и загрузки пунктирной линией).
Построим график привязки для следующих исходных данных.
| Название работы |
|
|
Количество исполнителей |
| D |
1-2 |
4 |
3 |
| E |
2-3 |
5 |
2 |
| A |
3-5 |
3 |
5 |
| G |
3-6 |
6 |
6 |
| C |
3-4 |
1 |
1 |
| B |
5-7 |
4 |
7 |
| H |
6-7 |
5 |
1 |
| F |
4-7 |
7 |
3 |
| I |
7-8 |
8 |
5 |
При оптимизации использования ресурса рабочей силы сетевые работы чаще всего стремятся организовать таким образом, чтобы:
· количество одновременно занятых исполнителей было минимальным;
· выровнять потребность в людских ресурсах на протяжении срока выполнения проекта.
Проведенная оптимизация была основана на использовании свободных и полных резервов работ.
Для этого необходимо чуть дальше сдвинуть указанные работы, а именно: работу (3,5) сдвинуть на 1 дней, работу (5,7) - на 3 дня, и работу (4,7) на 3 дня.
В результате оптимизации количество одновременно занятых исполнителей снизили с 16 человек до 11.
ЗАДАНИЕ 4
Решить задачу управления запасами.
Завод радиоэлектронной аппаратуры производит 860 радиоприемников в сутки. Микросхемы для радиоприемников (по 1 шт. на приемник) производятся на этом же заводе с интенсивностью 3420 тыс. шт. в сутки. Затраты на подготовку производства партии микросхем составляют 81 руб. (числа в задаче условные), себестоимость производства 1 тыс. шт. микросхем равна 25 руб. Хранение микросхем на складе обходится заводу в 1,5 руб. за каждую тысячу в сутки. У завода появилась возможность закупать микросхемы в другом месте по цене 25 руб. за 1 тыс. шт. Стоимость доставки равна 32 руб.
Выясните, стоит ли заводу закупать микросхемы вместо того, чтобы их производить. Для более выгодного режима работы завода (производство или закупка) определите периодичность подачи заказа, и затраты на управление запасами в месяц (22 рабочих дня).
1. Для моделирования процессов производства продукции применим модель планирования экономичного размера партии.
Размер партии микросхем, производимых на заводе:
Q* = Ö (2К1 *n*l)/(S(l-n)
Q* = Ö (2*81*0,86*3420) /(1,5*(3420 – 0,86) = 9,639 тыс. шт.
Частота запуска микросхем в производство:
t1 =(Q*/n)*q
t1 = (9,639/0,86)*22 = 246,6 часов ~ 4,1 ~ 4 рабочих дней
Общие затраты на управление запасами:
L1 = К1 *(n/Q*) + S*( Q*(l - n))/(2l) + Сi n
L1 = 81*(0,860/9,639) + 1,5* (9,639*(3420 – 0,86))/(2*3420) + 25*0,86 = 36 руб/сут.
L1 = 36 *22 = 792 руб/мес.
2. Моделирование процесса закупки произведем с помощью модели Уилсона.
Размер партии заказа:
Qw = Ö2*К2 n/S
Qw = Ö2*32*0,86/1,5= 6,057 тыс. шт
Подача каждого нового заказа должна производиться через:
t2 = (Qw /n)*q
t2 = (6,057/0,86)*22 = 154,946 часов ~ 5,16 ~ 5 раб. дней
Затраты на управление запасами:
L2 = К2 *(n/Q) + S*(Q/2) + С2 n
L2 = 32*(0,86/6,057) + 1,5*(6,057/2) + 25*0,86 = 30,6 руб./сут
L2 = 30,6 *22 = 672,9 руб./мес.
Ответ: таким образом, можно сделать вывод, что заводу выгодно покупать микросхемы у внешнего источника, чем производить их самим, расходы в этом случае меньше.