| Скачать .docx |
Реферат: Показатели качества элементарных звеньев
Министерство образования и науки Российской Федерации
Отчет
по лабораторной работе № 1
«Показатели качества элементарных звеньев»
Вариант-2
Преподаватель
Студент гр.
Екатеринбург, 2008
2. Апериодическое звено (Инерционное звено)
3. Реальное дифференцирующее звено
6. Неустойчивое звено первого порядка
7. Неустойчивое звено второго порядка
8. Интегро-диффиренцирующее звено
Установочные данные:
| K | 1; 6 |
| T | 0,5; 5 |
| ξ | 1,1 |
| 0,6 | |
| 0,1 | |
| 0 | |
| -0,1 |

Вычисление показателей качества:
Безынерционное звено
Уравнение динамики -> ![]()
Передаточная функция W(s) -> ![]()
a) k=1

Рис.1.а. Безынерционное звено (при k=1)
Значение показателей качества:
Время регулирования:
![]()
![]()
0
Перерегулирование:
![]()
0
Время нарастания [tн – время достижения в первый раз установившегося значения]: 0
Количество колебаний N за время регулирования tр:0
Статическая точность, установившаяся ошибка: 0
б) k=6

Рис.1.b. Безынерционное звено (при k=6)
Значение показателей качества:
Время регулирования:
![]()
![]()
0
Перерегулирование:
![]()
0
Время нарастания [tн – время достижения в первый раз установившегося значения]: 0
Количество колебаний N за время регулирования tр: 0
Статическая точность, установившаяся ошибка: 5
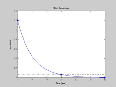
Апериодическое звено (Инерционное звено)
Уравнение динамики -> ![]()
Передаточная функция W(s) -> ![]()
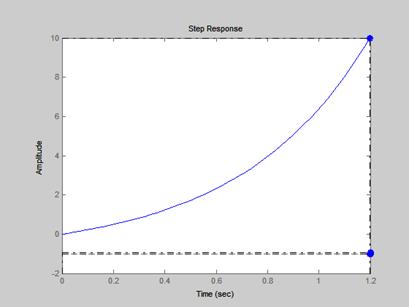
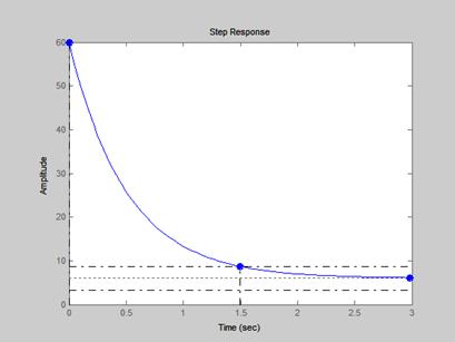
a) k=1, T=0.5

Рис.2.а. Апериодическое звено (при k=1, T=0.5)
Значение показателей качества:
Время регулирования:
![]()
![]()
1.5
Перерегулирование:
![]()
0
Время нарастания tн – время достижения в первый раз установившегося значения: 1.5
Количество колебаний N за время регулирования tр: 0
Статическая точность, установившаяся ошибка: 0.5
б) k=6, T=5

Рис.2.b. Апериодическое звено (при k=6, T=5)
Значение показателей качества:
Время регулирования:
![]()
![]()
15
Перерегулирование:
![]()
0
Время нарастания tн – время достижения в первый раз установившегося значения: 15
Количество колебаний N за время регулирования tр: 0
Статическая точность, установившаяся ошибка: 5
с) k=6, T=0.5

Рис.2.с. Апериодическое звено (при k=6, T=0.5)
Значение показателей качества:
Время регулирования:
![]()
![]()
1.5
Перерегулирование:
![]()
0
Время нарастания tн – время достижения в первый раз установившегося значения: 1.5
Количество колебаний N за время регулирования tр: 0
Статическая точность, установившаяся ошибка: 5
d) k=1, T=5

Рис.2.d. Апериодическое звено (при k=6, T=0.5)
Значение показателей качества:
Время регулирования:
![]()
![]()
15
Перерегулирование:
![]()
0
Время нарастания tн – время достижения в первый раз установившегося значения: 15
Количество колебаний N за время регулирования tр: 0
Статическая точность, установившаяся ошибка: 0
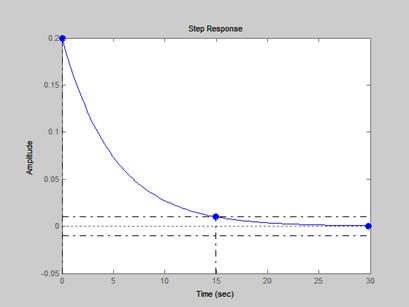
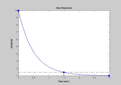
3 .Реальное дифференцирующее звено
Уравнение динамики -> ![]()
Передаточная функция W(s) -> ![]()
a) k=1, T=0.5

Рис.3.a. Реально дифференцирующее звено (при k=1, T=0.5)
Значение показателей качества:
Время регулирования:
![]()
![]()
1.5
Перерегулирование:
![]()
lnf
Время нарастания tн – время достижения в первый раз установившегося значения: 1.5
Количество колебаний N за время регулирования tр: 0
Статическая точность, установившаяся ошибка: -1
b) k=1, T=5

Рис.3.b. Реально дифференцирующее звено (при k=1, T=5)
Значение показателей качества:
Время регулирования:
![]()
![]()
1.5
Перерегулирование:
![]()
-7.21e+017
Время нарастания tн – время достижения в первый раз установившегося значения: 15
Количество колебаний N за время регулирования tр: 0
Статическая точность, установившаяся ошибка: (-2.78e-017)-1
c) k=6, T=0.5

Рис.3.c. Реально дифференцирующее звено (при k=6, T=0.5)
Значение показателей качества:
Время регулирования:
![]()
![]()
1.5
Перерегулирование:
![]()
lnf
Время нарастания tн – время достижения в первый раз установившегося значения: 1.5
Количество колебаний N за время регулирования tр: 0
Статическая точность, установившаяся ошибка: -1
d) k=6, T=5

Рис.3.d. Реально дифференцирующее звено (при k=6, T=5)
Значение показателей качества:
Время регулирования:
![]()
![]()
15
Перерегулирование:
![]()
lnf
Время нарастания tн – время достижения в первый раз установившегося значения: 15
Количество колебаний N за время регулирования tр: 0
Статическая точность, установившаяся ошибка: -1
Уравнение динамики -> ![]()
Передаточная функция W(s) -> ![]()
a) k=1, T=0.5, ![]()
Значение показателей качества
Время регулирования:
![]()
![]()
2.75

Рис.4.a. Колебательное звено (при k=1, T=0.5
)
Перерегулирование:
![]()
0
Время нарастания tн – время достижения в первый раз установившегося значения: 2.75
Количество колебаний N за время регулирования tр: 0
Статическая точность, установившаяся ошибка: 0
b) k=1, T=0.5, ![]()
Значение показателей качества
Время регулирования:
![]()
![]()
2.61

Рис.4.b. Колебательное звено (при k=1, T=0.5,
)
Перерегулирование:
![]()
9.47
Время нарастания tн – время достижения в первый раз установившегося значения: 1.27
Количество колебаний N за время регулирования tр: 0
Статическая точность, установившаяся ошибка: 0
c) k=1, T=0.5, ![]()
Значение показателей качества
Время регулирования:
![]()
![]()
14.5

Рис.4.c. Колебательное звено (при k=1, T=0.5,
)
Перерегулирование:
![]()
72.9
Время нарастания tн – время достижения в первый раз установившегося значения: 0.81
Количество колебаний N за время регулирования tр: 4
Статическая точность, установившаяся ошибка: 0
d) k=1, T=0.5, ![]()
Значение показателей качества
Время регулирования:
![]()
>25
Перерегулирование:
![]()
100

Рис.4.d. Колебательное звено (при k=1, T=0.5,
)
Время нарастания tн – время достижения в первый раз установившегося значения: 0.761
Количество колебаний N за время регулирования tр:
Установившийся режим не наступает
Статическая точность, установившаяся ошибка: 0
e) k=1, T=0.5, ![]()
Значение показателей качества
Время регулирования:
![]()
>12

Рис.4.e. Колебательное звено (при k=1, T=0.5,
)
Перерегулирование:
![]()
912
Время нарастания tн – время достижения в первый раз установившегося значения: 0.717
Количество колебаний N за время регулирования tр:
Установившийся режим не наступает
Статическая точность, установившаяся ошибка: 0
f) k=1, T=5, ![]()
Значение показателей качества
Время регулирования:
![]()
![]()
27.5

Рис.4.f. Колебательное звено (при k=1, T=5,
)
Перерегулирование:
![]()
0
Время нарастания tн – время достижения в первый раз установившегося значения: 27.5
Количество колебаний N за время регулирования tр: 0
Статическая точность, установившаяся ошибка: 0
g) k=1, T=5, ![]()
Значение показателей качества
Время регулирования:
![]()
![]()
26.1

Рис.4.g. Колебательное звено (при k=1, T=5,
)
Перерегулирование:
![]()
9.47
Время нарастания tн – время достижения в первый раз установившегося значения: 12.7
Количество колебаний N за время регулирования tр: 0
Статическая точность, установившаяся ошибка: 0
h) k=1, T=5, ![]()
Значение показателей качества
Время регулирования:
![]()
![]()
145
Перерегулирование:
![]()
72.9

Рис.4.h. Колебательное звено (при k=1, T=5,
)
Время нарастания tн – время достижения в первый раз установившегося значения: 8.1
Количество колебаний N за время регулирования tр: 4
Статическая точность, установившаяся ошибка: 0
i) k=1, T=5, ![]()
Значение показателей качества
Время регулирования:
![]()
>70

Рис.4.h. Колебательное звено (при k=1, T=5,
)
Перерегулирование:
![]()
100
Время нарастания tн – время достижения в первый раз установившегося значения: 7.6
Количество колебаний N за время регулирования tр:
Установившийся режим не наступает
Статическая точность, установившаяся ошибка: 0
j) k=1, T=5, ![]()
Значение показателей качества
Время регулирования:
![]()
>120

Рис.4.j. Колебательное звено (при k=1, T=5,
)
Перерегулирование:
![]()
912
Время нарастания tн – время достижения в первый раз установившегося значения: 7.17
Количество колебаний N за время регулирования tр: Установившийся режим не наступает
Статическая точность, установившаяся ошибка: 0
k) k=6, T=0.5, ![]()
Значение показателей качества
Время регулирования:
![]()
![]()
2.75

Рис.4.k. Колебательное звено (при k=6, T=0.5,
)
Перерегулирование:
![]()
0
Время нарастания tн – время достижения в первый раз установившегося значения: 2.75
Количество колебаний N за время регулирования tр: 0
Статическая точность, установившаяся ошибка: 5
l) k=6, T=0.5, ![]()
Значение показателей качества
Время регулирования:
![]()
![]()
2.61
Перерегулирование:
![]()
9.47
Время нарастания tн – время достижения в первый раз установившегося значения: 1.27
Количество колебаний N за время регулирования tр:0
Статическая точность, установившаяся ошибка: 5

Рис.4.l. Колебательное звено (при k=6, T=0.5,
)
m) k=6, T=0.5, ![]()

Рис.4.m. Колебательное звено (при k=6, T=0.5,
)
Значение показателей качества
Время регулирования:
![]()
![]()
14.5
Перерегулирование:
![]()
72.9
Время нарастания tн – время достижения в первый раз установившегося значения: 0.81
Количество колебаний N за время регулирования tр: 4
Статическая точность, установившаяся ошибка: 5
n) k=6, T=0.5, ![]()

Рис.4.n. Колебательное звено (при k=6, T=0.5,
)
Значение показателей качества
Время регулирования:
![]()
>25
Перерегулирование:
![]()
100
Время нарастания tн – время достижения в первый раз установившегося значения: 0.761
Количество колебаний N за время регулирования tр:
Установившийся режим не наступает
Статическая точность, установившаяся ошибка: 5
o) k=6, T=0.5, ![]()

Рис.4.o. Колебательное звено (при k=6, T=0.5,
)
Значение показателей качества
Время регулирования:
![]()
>12
Перерегулирование:
![]()
912
Время нарастания tн – время достижения в первый раз установившегося значения: 0.717
Количество колебаний N за время регулирования tр:
Установившийся режим не наступает
Статическая точность, установившаяся ошибка: 5
p) k=6, T=5, ![]()

Рис.4.p. Колебательное звено (при k=6, T=5,
)
Значение показателей качества
Время регулирования:
![]()
![]()
27.5
Перерегулирование:
![]()
0
Время нарастания tн – время достижения в первый раз установившегося значения: 27.5
Количество колебаний N за время регулирования tр: 0
Статическая точность, установившаяся ошибка: 5
q) k=6, T=5, ![]()

Рис.4.q. Колебательное звено (при k=6, T=5,
)
Значение показателей качества
Время регулирования:
![]()
![]()
26.1
Перерегулирование:
![]()
9.47
Время нарастания tн – время достижения в первый раз установившегося значения: 12.7
Количество колебаний N за время регулирования tр: 0
Статическая точность, установившаяся ошибка: 5
r) k=6, T=5, ![]()

Рис.4.r. Колебательное звено (при k=6, T=5,
)
Значение показателей качества
Время регулирования:
![]()
![]()
145
Перерегулирование:
![]()
72.9
Время нарастания tн – время достижения в первый раз установившегося значения: 12.7
Количество колебаний N за время регулирования tр: 4
Статическая точность, установившаяся ошибка: 5
s) k=6, T=5, ![]()

Рис.4.s. Колебательное звено (при k=6, T=5,
)
Значение показателей качества
Время регулирования:
![]()
>70
Перерегулирование:
![]()
100
Время нарастания tн – время достижения в первый раз установившегося значения: 7.6
Количество колебаний N за время регулирования tр:
Установившийся режим не наступает
Статическая точность, установившаяся ошибка: 5
t) k=6, T=5, ![]()

Рис.4.t. Колебательное звено (при k=6, T=5,
)
Значение показателей качества
Время регулирования:
![]()
>120
Перерегулирование:
![]()
912
Время нарастания tн – время достижения в первый раз установившегося значения: 7.17
Количество колебаний N за время регулирования tр:
Установившийся режим не наступает
Статическая точность, установившаяся ошибка: 5
Уравнение динамики -> ![]()
Передаточная функция W(s) -> ![]()
a) k=1

Рис.5.a. Интегрирующее звено (при k=1)
Значение показателей качества:
Время регулирования:
![]()
![]()
0
Перерегулирование:
![]()
Lnf(unstable)
Время нарастания tн – время достижения в первый раз установившегося значения: 0
Количество колебаний N за время регулирования tр: 0
Статическая точность, установившаяся ошибка: 0
b) k=6

Рис.5.b. Интегрирующее звено (при k=6)
Значение показателей качества:
Время регулирования:
![]()
![]()
0
Перерегулирование:
![]()
Lnf(unstable)
Время нарастания tн – время достижения в первый раз установившегося значения: 0
Количество колебаний N за время регулирования tр:0
Статическая точность, установившаяся ошибка: 0
Неустойчивое звено первого порядка
Уравнение динамики -> ![]()
Передаточная функция W(s) -> ![]()
a) k=1, T=0.5

Рис.6.a. Неустойчивое звено первого порядка (при k=1, T=0.5)
Значение показателей качества:
Время регулирования:
![]()
>1.2
Перерегулирование:
![]()
-1.1e+003
Время нарастания tн – время достижения в первый раз установившегося значения: >1.2
Количество колебаний N за время регулирования tр: 0
Статическая точность, установившаяся ошибка: -2
b) k=1, T=5

Рис.6.b. Неустойчивое звено первого порядка (при k=1, T=5)
Значение показателей качества:
Время регулирования:
![]()
>12
Перерегулирование:
![]()
-1.1e+003
Время нарастания tн – время достижения в первый раз установившегося значения: >12
Количество колебаний N за время регулирования tр: 0
Статическая точность, установившаяся ошибка: -2
c) k=6, T=0.5

Рис.6.c. Неустойчивое звено первого порядка (при k=6, T=0.5)
Значение показателей качества:
Время регулирования:
![]()
>1.2
Перерегулирование:
![]()
-1.1e+003
Время нарастания tн – время достижения в первый раз установившегося значения: >1.2
Количество колебаний N за время регулирования tр: 0
Статическая точность, установившаяся ошибка: -7
d) k=6, T=5

Рис.6.d. Неустойчивое звено первого порядка (при k=6, T=5)
Значение показателей качества:
Время регулирования:
![]()
>12
Перерегулирование:
![]()
-1.1e+003
Время нарастания tн – время достижения в первый раз установившегося значения: >12
Количество колебаний N за время регулирования tр: 0
Статическая точность, установившаяся ошибка: -7
Неустойчивое звено второго порядка
Уравнение динамики -> ![]()
Передаточная функция W(s) -> ![]()
a) k=1, T=0.5, ![]()

Рис.7.a. Неустойчивое звено второго порядка (при k=1, T=0.5
)
Значение показателей качества
Время регулирования:
![]()
![]()
0.475
Перерегулирование:
![]()
368
Время нарастания tн – время достижения в первый раз установившегося значения: 0.475
Количество колебаний N за время регулирования tр: 0
Статическая точность, установившаяся ошибка: 0
b) k=1, T=0.5, ![]()

Рис.7.b. Неустойчивое звено второго порядка (при k=1, T=0.5,
)
Значение показателей качества
Время регулирования:
![]()
![]()
2.61
Перерегулирование:
![]()
1.05e+003
Время нарастания tн – время достижения в первый раз установившегося значения: 0.567
Количество колебаний N за время регулирования tр: 0
Статическая точность, установившаяся ошибка: 0
c) k=1, T=0.5, ![]()

Рис.7.c. Неустойчивое звено второго порядка (при k=1, T=0.5,
)
Значение показателей качества
Время регулирования:
![]()
>12
Перерегулирование:
![]()
912
Время нарастания tн – время достижения в первый раз установившегося значения: 0.717
Количество колебаний N за время регулирования tр:
Установившийся режим не наступает.
Статическая точность, установившаяся ошибка:0
d) k=1, T=0.5, ![]()

Рис.7.d. Неустойчивое звено второго порядка (при k=1, T=0.5,
)
Значение показателей качества
Время регулирования:
![]()
>25
Перерегулирование:
![]()
100
Время нарастания tн – время достижения в первый раз установившегося значения: 0.761
Количество колебаний N за время регулирования tр:
Установившийся режим не наступает.
Статическая точность, установившаяся ошибка: 0
e) k=1, T=0.5, ![]()

Рис.7.e. Неустойчивое звено второго порядка (при k=1, T=0.5,
)
Значение показателей качества
Время регулирования:
![]()
![]()
14.5
Перерегулирование:
![]()
72.9
Время нарастания tн – время достижения в первый раз установившегося значения: 0.81
Количество колебаний N за время регулирования tр: 4
Статическая точность, установившаяся ошибка: 0
f) k=1, T=5, ![]()

Рис.7.f. Неустойчивое звено второго порядка (при k=1, T=5,
)
Значение показателей качества
Время регулирования:
![]()
>8
Перерегулирование:
![]()
368
Время нарастания tн – время достижения в первый раз установившегося значения: 4.75
Количество колебаний N за время регулирования tр:
Установившийся режим не наступает.
Статическая точность, установившаяся ошибка: 0
g) k=1, T=5, ![]()

Рис.7.g. Неустойчивое звено второго порядка (при k=1, T=5,
)
Значение показателей качества
Время регулирования:
![]()
>20
Перерегулирование:
![]()
1.05e+003
Время нарастания tн – время достижения в первый раз установившегося значения: 5.67
Количество колебаний N за время регулирования tр:
Установившийся режим не наступает.
Статическая точность, установившаяся ошибка: 0
h) k=1, T=5, ![]()

Рис.7.h. Неустойчивое звено второго порядка (при k=1, T=5,
)
Значение показателей качества
Время регулирования:
![]()
>120
Перерегулирование:
![]()
912
Время нарастания tн – время достижения в первый раз установившегося значения: 7.17
Количество колебаний N за время регулирования tр:
Установившийся режим не наступает.
Статическая точность, установившаяся ошибка: 0
i) k=1, T=5, ![]()

Рис.7.i. Неустойчивое звено второго порядка (при k=1, T=5,
)
Значение показателей качества
Время регулирования:
![]()
>70
Перерегулирование:
![]()
100
Время нарастания tн – время достижения в первый раз установившегося значения: 7.6
Количество колебаний N за время регулирования tр:
Установившийся режим не наступает.
Статическая точность, установившаяся ошибка: 0
j) k=1, T=5, ![]()

Рис.7.j. Неустойчивое звено второго порядка (при k=1, T=5,
)
Значение показателей качества
Время регулирования:
![]()
![]()
145
Перерегулирование:
![]()
72.9
Время нарастания tн – время достижения в первый раз установившегося значения: 8.1
Количество колебаний N за время регулирования tр: 4
Статическая точность, установившаяся ошибка: 0
k) k=6, T=0.5, ![]()

Рис.7.k. Неустойчивое звено второго порядка (при k=6, T=0.5,
)
Значение показателей качества
Время регулирования:
![]()
>0.8
Перерегулирование:
![]()
368
Время нарастания tн – время достижения в первый раз установившегося значения: 0.475
Количество колебаний N за время регулирования tр:
Установившийся режим не наступает.
Статическая точность, установившаяся ошибка:5
l) k=6, T=0.5, ![]()

Рис.7.l. Неустойчивое звено второго порядка звено (при k=6, T=0.5,
)
Значение показателей качества
Время регулирования:
![]()
>2
Перерегулирование:
![]()
1.05e+003
Время нарастания tн – время достижения в первый раз установившегося значения: 0.567
Количество колебаний N за время регулирования tр:
Установившийся режим не наступает.
Статическая точность, установившаяся ошибка: 5
m) k=6, T=0.5, ![]()

Рис.7.m. Неустойчивое звено второго порядка (при k=6, T=0.5,
)
Значение показателей качества
Время регулирования:
![]()
>12
Перерегулирование:
![]()
912
Время нарастания tн – время достижения в первый раз установившегося значения: 0.717
Количество колебаний N за время регулирования tр:
Установившийся режим не наступает.
Статическая точность, установившаяся ошибка: 5
n) k=6, T=0.5, ![]()

Рис.7.n. Неустойчивое звено второго порядка (при k=6, T=0.5,
)
Значение показателей качества
Время регулирования:
![]()
>25
Перерегулирование:
![]()
100
Время нарастания tн – время достижения в первый раз установившегося значения: 0.761
Количество колебаний N за время регулирования tр:
Установившийся режим не наступает.
Статическая точность, установившаяся ошибка: 5
o) k=6, T=0.5, ![]()

Рис.7.o. Неустойчивое звено второго порядка (при k=6, T=0.5,
)
Значение показателей качества
Время регулирования:
![]()
![]()
14.5
Перерегулирование:
![]()
72.9
Время нарастания tн – время достижения в первый раз установившегося значения: 0.81
Количество колебаний N за время регулирования tр: 4
Статическая точность, установившаяся ошибка: 5
p) k=6, T=5, ![]()

Рис.7.p. Неустойчивое звено второго порядка (при k=6, T=5,
)
Значение показателей качества
Время регулирования:
![]()
>8
Перерегулирование:
![]()
368
Время нарастания tн – время достижения в первый раз установившегося значения: 4.75
Количество колебаний N за время регулирования tр:
Установившийся режим не наступает.
Статическая точность, установившаяся ошибка: 5
q) k=6, T=5, ![]()

Рис.7.q. Неустойчивое звено второго порядка (при k=6, T=5,
)
Значение показателей качества
Время регулирования:
![]()
>20
Перерегулирование:
![]()
1.05e+003
Время нарастания tн – время достижения в первый раз установившегося значения: 5.67
Количество колебаний N за время регулирования tр:
Установившийся режим не наступает.
Статическая точность, установившаяся ошибка: 5
r) k=6, T=5, ![]()

Рис.7.r. Неустойчивое звено второго порядка (при k=6, T=5,
)
Значение показателей качества
Время регулирования:
![]()
>120
Перерегулирование:
![]()
912
Время нарастания tн – время достижения в первый раз установившегося значения: 7.17
Количество колебаний N за время регулирования tр:
Установившийся режим не наступает.
Статическая точность, установившаяся ошибка: 5
s) k=6, T=5, ![]()

Рис.7.s. Неустойчивое звено второго порядка (при k=6, T=5,
)
Значение показателей качества
Время регулирования:
![]()
>70
Перерегулирование:
![]()
100
Время нарастания tн – время достижения в первый раз установившегося значения: 7.6
Количество колебаний N за время регулирования tр:
Установившийся режим не наступает.
Статическая точность, установившаяся ошибка: 5
t) k=6, T=5, ![]()

Рис.7.t. Неустойчивое звено второго порядка (при k=6, T=5,
)
Значение показателей качества
Время регулирования:
![]()
![]()
145
Перерегулирование:
![]()
72.9
Время нарастания tн – время достижения в первый раз установившегося значения: 8.1
Количество колебаний N за время регулирования tр: 4
Статическая точность, установившаяся ошибка: 5
Уравнение динамики -> ![]()
Передаточная функция W(s) -> ![]()
a) T1=0.5; T2=5; k=1

Рис.8.a. Неустойчивое звено второго порядка (при T1=0.5; T2=5; k=1)
Значение показателей качества:
Время регулирования:
![]()
![]()
1.5
Перерегулирование:
![]()
900
Время нарастания tн – время достижения в первый раз установившегося значения: 1.5
Количество колебаний N за время регулирования tр: 0
Статическая точность, установившаяся ошибка: 0
b) T1=0.5; T2=5; k=6

Рис.8.b. Неустойчивое звено второго порядка (при T1=0.5; T2=5; k=6)
Значение показателей качества:
Время регулирования:
![]()
![]()
1.5
Перерегулирование:
![]()
900
Время нарастания tн – время достижения в первый раз установившегося значения: 1.5
Количество колебаний N за время регулирования tр: 0
Статическая точность, установившаяся ошибка: 5
c) T1=5; T2=0.5; k=1

Рис.8.c. Неустойчивое звено второго порядка (при T1=5; T2=0.5; k=1)
Значение показателей качества:
Время регулирования:
![]()
![]()
15
Перерегулирование:
![]()
0
Время нарастания tн – время достижения в первый раз установившегося значения: 15
Количество колебаний N за время регулирования tр: 0
Статическая точность, установившаяся ошибка: 0
d) T1=5; T2=0.5; k=6

Рис.8.d. Неустойчивое звено второго порядка (при T1=5; T2=0.5; k=6)
Значение показателей качества:
Время регулирования:
![]()
![]()
15
Перерегулирование:
![]()
0
Время нарастания tн – время достижения в первый раз установившегося значения: 15
Количество колебаний N за время регулирования tр: 0
Статическая точность, установившаяся ошибка: 5
Итоговая таблица:
| Значения коэффициентов\показатели качества | Время регулирования, tp (сек) | Перерегулирование, σ (%) | Время нарастания, tн (сек) | Количество колебаний N за время регулирования tр | Установившаяся ошибка |
| Безынерционное звено | |||||
| k=1 | 0 | 0 | 0 | 0 | 0 |
| k=6 | 0 | 0 | 0 | 0 | 5 |
| Вывод: С увеличением коэффициента передачи (k) возрастает установившаяся ошибка. | |||||
| Апериодическое звено (Инерционное звено) | |||||
| k=1, T=0.5 | 1.5 | 0 | 1.5 | 0 | 0.5 |
| k=1, T=5 | 15 | 0 | 15 | 0 | 0 |
| k=6, T=0.5 | 1.5 | 0 | 1.5 | 0 | 5 |
| k=6, T=5 | 15 | 0 | 15 | 0 | 5 |
| Вывод: С увеличением коэффициента передачи (k) увеличивается установившаяся ошибка. С ростом постоянной времени (Т) возрастает время регулирования, время нарастания. | |||||
| Реальное дифференцирующее звено | |||||
| k=1, T=0.5 | 1.5 | 1.5 | 0 | -1 | |
| k=1, T=5 | 1.5 | (-7.21e+017) | 15 | 0 | (-2.78e-017)-1 |
| k=6, T=0.5 | 1.5 | 1.5 | 0 | -1 | |
| k=6, T=5 | 15 | 15 | 0 | -1 | |
| Вывод: Увеличение коэффициента передачи (k) и постоянной времени влияет на: 1. время регулирования (при k=1 и k=6 при Т=0.5 – остается неизменным; при k=1 и k=6 при Т=5 – увеличивается). 2. время нарастания (при k=1 и k=6 при Т=0.5 – остается неизменным; при k=1 и k=6 при Т=5 – не изменяется). 3. перерегулирование изменяется при увеличение постоянной времени. 4. установившаяся ошибка постоянна, за исключением значений k=1 и Т=5. | |||||
| Колебательное звено | |||||
| k=1, T=0.5 |
2.75 | 0 | 2.75 | 0 | 0 |
| k=1, T=0.5 |
2.61 | 947 | 1.27 | 0 | 0 |
| k=1, T=0.5 |
14.5 | 72.9 | 0.81 | 4 | 0 |
| k=1, T=0.5 |
>25 | 100 | 0.761 | ∞ | 0 |
| k=1, T=0.5 |
>12 | 912 | 0.717 | ∞ | 0 |
| k=1, T=5 |
27.5 | 0 | 27.5 | 0 | 0 |
| k=1, T=5 |
26.1 | 9.47 | 12.7 | 0 | 0 |
| k=1, T=5 |
145 | 72.9 | 8.1 | 4 | 0 |
| k=1, T=5 |
>70 | 100 | 7.6 | ∞ | 0 |
| k=1, T=5 |
>120 | 912 | 7.17 | ∞ | 0 |
| k=6, T=0.5 |
2.75 | 0 | 2.75 | 0 | 5 |
| k=6, T=0.5 |
2.61 | 9.47 | 1.27 | 0 | 5 |
| k=6, T=0.5 |
14.5 | 72.9 | 0.81 | 4 | 5 |
| k=6, T=0.5 |
>25 | 100 | 0.761 | ∞ | 5 |
| k=6, T=0.5 |
>12 | 912 | 0.717 | ∞ | 5 |
| k=6, T=5 |
27.5 | 0 | 27.5 | 0 | 5 |
| k=6, T=5 |
26.1 | 9.47 | 12.7 | 0 | 5 |
| k=6, T=5 |
145 | 72.9 | 12.7 | 4 | 5 |
| k=6, T=5 |
>70 | 100 | 7.6 | ∞ | 5 |
| k=6, T=5 |
>120 | 912 | 7.17 | ∞ | 5 |
Вывод: В случае, когда k=1, Т=0.5, а k=1, Т=5, а k=6, T=0.5 и k=6, T=5 и При увеличении коэффициента передачи увеличивается установившаяся ошибка, время нарастания и перерегулирование остается неизменным. При увеличении постоянной времени увеличивается время нарастания, время регулирования, колебания остаются неизменными. |
|||||
| Интегрирующее звено | |||||
| k=1 | 0 | Lnf(unstable) | 0 | 0 | 0 |
| k=6 | 0 | Lnf(unstable) | 0 | 0 | 0 |
| Вывод: При увеличении коэффициента передачи все значения показателей качества остаются неизменными. | |||||
| Неустойчивое звено первого порядка | |||||
| k=1, T=0.5 | >1.2 | -1.1e+003 | >1.2 | 0 | -2 |
| k=1, T=5 | >12 | -1.1e+003 | >12 | 0 | -2 |
| k=6, T=0.5 | >1.2 | -1.1e+003 | >1.2 | 0 | -7 |
| k=6, T=5 | >12 | -1.1e+003 | >12 | 0 | -7 |
Вывод: При увеличении постоянной времени (Т) увеличивается время регулирования, время нарастания и перерегулирование остается постоянным. Увеличение коэффициента передачи влияет на количество колебаний пропорционально, остальные показатели качества остаются неизменными. |
|||||
| Неустойчивое звено второго порядка | |||||
| k=1, T=0.5 |
0.475 | 368 | 0.475 | 0 | 0 |
| k=1, T=0.5 |
2.61 | 1.05e+003 | 0.567 | 0 | 0 |
| k=1, T=0.5 |
>12 | 912 | 0.717 | ∞ | 0 |
| k=1, T=0.5 |
>25 | 100 | 0.761 | ∞ | 0 |
| k=1, T=0.5 |
14.5 | 72.9 | 0.81 | 4 | 0 |
| k=1, T=5 |
>8 | 368 | 4.75 | ∞ | 0 |
| k=1, T=5 |
>20 | 1.05e+003 | 5.67 | ∞ | 0 |
| k=1, T=5 |
>120 | 912 | 7.17 | ∞ | 0 |
| k=1, T=5 |
>70 | 100 | 7.6 | ∞ | 0 |
| k=1, T=5 |
145 | 72.9 | 8.1 | 4 | 0 |
| k=6, T=0.5 |
>0.8 | 368 | 0.475 | ∞ | 5 |
| k=6, T=0.5 |
>2 | 1.05e+003 | 0.567 | ∞ | 5 |
| k=6, T=0.5 |
>12 | 912 | 0.717 | ∞ | 5 |
| k=6, T=0.5 |
>25 | 100 | 0.761 | ∞ | 5 |
| k=6, T=0.5 |
14.5 | 72.9 | 0.81 | 4 | 5 |
| k=6, T=5 |
>8 | 368 | 4.75 | ∞ | 5 |
| k=6, T=5 |
>20 | 1.05e+003 | 5.67 | ∞ | 5 |
| k=6, T=5 |
>120 | 912 | 7.17 | ∞ | 5 |
| k=6, T=5 |
>70 | 100 | 7.6 | ∞ | 5 |
| k=6, T=5 |
145 | 72.9 | 8.1 | 4 | 5 |
| Вывод: | |||||
| Интегро-диффиренцирующее звено | |||||
| T1=0.5; T2=5; k=1 | 1.5 | 900 | 1.5 | 0 | 0 |
| T1=0.5; T2=5; k=6 | 1.5 | 900 | 1.5 | 0 | 5 |
| T1=5; T2=0.5; k=1 | 15 | 0 | 15 | 0 | 0 |
| T1=5; T2=0.5; k=6 | 15 | 0 | 15 | 0 | 5 |
| Вывод: | |||||