| Скачать .docx |
Курсовая работа: Выборочный метод изучения производственных и финансовых показателей
Федеральное агентство по образованию
Всероссийский заочный финансово – экономический институт
Кафедра статистики
КУРСОВАЯ РАБОТА
по дисциплине "Статистика"
на тему
"Выборочный метод изучения производственных и финансовых показателей"
Оглавление
Введение
Теоретическая часть
Расчетная часть
Аналитическая часть
Заключение
Список используемой литературы
Введение
Цель работы – составить общее представление о выборочном методе и о возможностях его применения в экономике. Работа содержит классификацию типов случайной и неслучайной выборки, описание каждого метода, их преимущества и недостатки. Для каждого типа случайной выборки приведены формулы расчета ошибки репрезентативности (выборочного среднего) и объема выборки.
Суть выборочного метода и его роль в экономике.
Одной из задач, которые стоят перед экономистом при проведении исследования, является сбор необходимых данных об объекте исследования. Множество элементов, составляющих объект исследования, называют генеральной совокупностью (ГС). Наиболее простым, на первый взгляд, способом сбора данных является сплошное обследование ГС. Однако применение сплошного обследования не всегда представляется возможным. В этом случае применяется выборочное обследование. Суть выборочного метода заключена в том, что обследованию подвергается только часть элементов ГС, которая называется выборочной совокупностью (ВС).
Выборочный метод имеет более широкую область применения. Широта области применения выборочного метода объясняется тем, что небольшой (по сравнению с ГС) объем выборки позволяет использовать более сложные методы обследования, включая использование различных технических средств (например, видео- и аудиоаппаратуры).
Следует различать единицы отбора и единицы наблюдения. Единицами отбора являются единицы или группы единиц ГС, отбираемые на каждом этапе формирования ВС. Единицы наблюдения – это отобранные единицы ГС, характеристики которых непосредственно измеряются. Если выборка проходит в несколько этапов (многоступенчатая выборка), то единицы отбора и единицы наблюдения могут не совпадать.
Разделяют два типа ошибок. Случайная (статистическая) ошибка – это ошибки, которые возникают вследствие случайной вариации значений, вызванной тем, что наблюдается только часть единиц, а не вся ГС. Случайные ошибки уменьшаются с увеличением объема ВС. Случайную ошибку можно измерить методами математической статистики, если при формировании ВС соблюдался принцип случайности. Принцип случайности заключается в следующем: каждый элемент ГС имеет равную и отличную от нуля вероятность попасть в ВС.
Теоретическая часть
Общая характеристика выборочного метода
Теоретической основой выборочного метода является закон больших чисел. В силу этого закона при ограниченном рассеивании признака в генеральной совокупности и достаточно большой выборке с вероятностью, близкой к полной достоверности, выборочная средняя может быть сколь угодно близка к генеральной средней. Закон этот, включающий в себя группу теорем, доказан строго математически. Таким образом, средняя арифметическая, рассчитанная по выборке, может с достаточным основанием рассматриваться как показатель, характеризующий генеральную совокупность в целом.
Разумеется, не всякая выборка может быть основой для характеристики всей совокупности, к которой она принадлежит. Таким свойством обладают лишь репрезентативные (представительные) выборки, т. е. выборки, которые правильно отражают свойства генеральной совокупности. Существуют способы, позволяющие гарантировать достаточную репрезентативность выборки. Как доказано в ряде теорем математической статистики, таким способом при условии достаточно большой выборки является метод случайного отбора элементов генеральной совокупности, такого отбора, когда каждый элемент генеральной совокупности имеет равный с другими элементами шанс попасть в выборку. Выборки, полученные таким способом, называются случайными выборками. Случайность выборки является, таким образом, существенным условием применения выборочного метода.
Статистическое наблюдение можно организовать сплошное и несплошное. Сплошное наблюдение предусматривает обследование всех единиц изучаемой совокупности и связано с большими трудовыми и материальными затратами. Изучение не всех единиц совокупности, а лишь некоторой части, по которой следует судить о свойствах всей совокупности в целом, можно осуществить несплошным наблюдением. В статистической практике самым распространенным является выборочное наблюдение.
Выборочное наблюдение - это такое несплошное наблюдение, при котором отбор подлежащих обследованию единиц осуществляется в случайном порядке, отобранная часть изучается, а результаты распространяются на всю исходную совокупность. Наблюдение организуется таким образом, что эта часть отобранных единиц в уменьшенном масштабе репрезентирует (представляет) всю совокупность.
Совокупность, из которой производится отбор, называется генеральной, и все ее обобщающие показатели - генеральными.
Совокупность отобранных единиц именуют выборочной совокупностью, и все ее обобщающие показатели - выборочными.
При любых статистических исследованиях возникают ошибки двух видов: регистрации и репрезентативности.
Ошибки регистрации могут иметь случайный (непреднамеренный) и систематический (тенденциозный) характер. Случайные ошибки обычно уравновешивают друг друга, поскольку не имеют преимущественного направления в сторону преувеличения или преуменьшения значения изучаемого показателя. Систематические ошибки направлены в одну сторону вследствие преднамеренного нарушения правил отбора (предвзятые цели). Их можно избежать при правильной организации и проведении наблюдения.
Ошибки репрезентативности присущи только выборочному наблюдению и возникают в силу того, что выборочная совокупность не полностью воспроизводит генеральную. Они представляют собой расхождение между значениями показателей, полученных по выборке, и значениями показателей этих же величин, которые были бы получены при проведенном с одинаковой степенью точности сплошном наблюдении, т.е. между величинами выборных и соответствующих генеральных показателей.
По виду различают индивидуальный, групповой и комбинированный отбор. При индивидуальном отборе в выборочную совокупность отбираются отдельные единицы генеральной совокупности; при групповом отборе - качественно однородные группы или серии изучаемых единиц; комбинированный отбор предполагает сочетание первого и второго видов.
По методу отбора различают повторную и бесповторную выборки.
При повторной выборке общая численность единиц генеральной совокупности в процессе выборки остается неизменной. Ту или иную единицу, попавшую в выборку, после регистрации снова возвращают в генеральную совокупность, и она сохраняет равную возможность со всеми прочими единицами при повторном отборе единиц вновь попасть в выборку ("отбор по схеме возвращенного шара"). Повторная выборка в социально-экономической жизни встречается редко. Обычно выборку организуют по схеме бесповторной выборки.
При бесповторной выборке единица совокупности, попавшая в выборку, в генеральную совокупность не возвращается и в дальнейшем в выборке не участвует; т.е. последующую выборку делают из генеральной совокупности уже без отобранных ранее единиц ("отбор по схеме невозвращенного шара"). Таким образом, при бесповторной выборке численность единиц генеральной совокупности сокращается в процессе исследования.
Виды выборочного изучения
В зависимости от того, как осуществляется отбор элементов совокупности в выборку, различают несколько видов выборочного обследования. Отбор может быть случайным, механическим, типическим и серийным.
Основные характеристики параметров генеральной и выборочной совокупностей обозначаются символами:
N - объем генеральной совокупности (число входящих в нее единиц);
n - объем выборки (число обследованных единиц);
- генеральная средняя (среднее значение признака в генеральной совокупности);
- выборочная средняя;
р - генеральная доля (доля единиц, обладающих данным значением признака в общем числе единиц генеральной совокупности);
w- выборочная доля;
s2 - генеральная дисперсия (дисперсия признака в генеральной совокупности);
S2 - выборочная дисперсия того же признака;
s - среднее квадратическое отклонение в генеральной совокупности;
S- среднее квадратическое отклонение в выборке.
1. Собственно случайная выборка.
Выборка называется собственно случайной, если при извлечении выборки объема n все возможные комбинации из n элементов, которые могут быть получены из генеральной совокупности объема N, имеют равную вероятность быть извлеченными.
По определению, при собственно случайной выборке выполняется принцип случайности.
Примером собственно-случайного отбора могут служить тиражи выигрышей: из общего количества выпущенных билетов наугад отбирается определенная часть номеров, на которые приходятся выигрыши. Причем всем номерам обеспечивается равная возможность попадания в выборку. При этом количество отобранных в выборочную совокупность единиц обычно определяется исходя из принятой доли выборки.
Доля выборки есть отношение числа единиц выборочной совокупности к числу единиц генеральной совокупности:
(1)
При правильной научной организации выборки ошибки репрезентативности можно свести к минимальным значениям, в результате - выборочное наблюдение становится достаточно точным.
а) При отборе способом жеребьевки все элементы генеральной совокупности предварительно нумеруются и номера их наносятся на карточки. После тщательной перетасовки из пачки любым способом (подряд или в любом другом порядке) выбирается нужное число карточек, соответствующее объему выборки. При этом можно либо откладывать отобранные карточки в сторону (тем самым осуществляется так называемый бесповторный отбор), либо, вытащив карточку, записать ее номер и возвратить в пачку, тем самым, давая ей возможность появиться в выборке еще раз (повторный отбор). При повторном отборе всякий раз после возвращения карточки пачка должна быть тщательно перетасована.
б) Принцип таблицы случайных чисел. Начиная с любого места таблицы, берем четыре следующих друг за другом числа. Эти числа и будут номерами людей в списке, которых следует отобрать в выборку (числа, превышающие численность генеральной совокупности, опускаются). Для очень больших совокупностей отбор с помощью таблицы случайных чисел становится трудно осуществимым, так как сложно перенумеровать всю совокупность. Здесь лучше применить механический отбор.
Различают повторную и бесповторную выборку. При повторном отборе каждый выбранный элемент возвращается в ГС. При бесповторном отборе выбранный элемент не возвращается в ГС.
2. Механическая выборка требует список характеристик респондентов (фамилии, адреса, телефоны и т.д.). Из этого списка через равные промежутки люди отбираются в выборку. Этот промежуток называется шагом выборки. Механический отбор производится следующим образом. Если формируется 10%-ная выборка, т. е. из каждых десяти элементов должен быть отобран один, то вся совокупность условно разбивается на равные части по 10 элементов. Затем из первой десятки выбирается случайным образом элемент. Например, жеребьевка указала девятый номер. Отбор остальных элементов выборки полностью определяется указанной пропорцией отбора номером первого отобранного элемента. В рассматриваемом случае выборка будет состоять из элементов 9, 19, 29 и т. д.
3. Типический отбор
Следует отличать типический отбор от отбора типичных объектов. Отбор типичных объектов применялся при бюджетных обследованиях. При этом отбор "типичных селений" или "типичных хозяйств" производился по некоторым экономическим признакам, например по размерам землевладения на двор, по роду занятий жителей и т. п. Отбор такого рода не может быть основой для применения выборочного метода, так как здесь не выполнено основное его требование - случайность отбора.
При собственно типическом отборе в выборочном методе совокупность разбивается на группы, однородные в качественном отношении, а затем уже внутри каждой группы производится случайный отбор. Типический отбор организовать сложнее, чем собственно случайный, так как необходимы определенные знания о составе и свойствах генеральной совокупности, но зато он дает более точные результаты.
4. Серийный отбор. При серийном отборе вся совокупность разбивается на группы (серии). Затем путем случайного или механического отбора выделяют определенную часть этих серий и производят их сплошную обработку. По сути дела, серийный отбор представляет собой случайный или механический отбор, осуществленный для укрупненных элементов исходной совокупности.
Кроме описанных выше классических способов отбора в практике выборочного метода используются и другие способы.
Изучаемая совокупность может иметь многоступенчатую структуру, она может состоять из единиц первой ступени, которые, в свою очередь, состоят из единиц второй ступени, и т. д.
К таким совокупностям можно применять многоступенчатый отбор, т. е. последовательно осуществлять отбор на каждой ступени.
Примером двухступенчатого механического отбора может служить давно практикуемый отбор бюджетов рабочих. На первой ступени механически выбираются предприятия, на второй - рабочие, бюджет которых обследуется.
Ошибки выборки
Рассмотрим некоторые вопросы теории выборочного метода. Применяя выборочный метод в статистике, обычно используют два основных вида обобщающих показателей: среднюю величину количественного признака и относительную величину альтернативного признака (долю или удельный вес единиц в, статистической совокупности, которые отличаются от всех других единиц этой совокупности только наличием изучаемого признака).
Выборочная доля w, или частость, определяется отношением числа единиц, обладающих изучаемым признаком m, к общему числу единиц выборочной совокупности n:
w = m/n.(2)
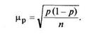
Для характеристики надежности выборочных показателей различают среднюю и предельную ошибки выборки.
Ошибка выборки e или, иначе говоря, ошибка репрезентативности представляет собой разность соответствующих выборочных и генеральных характеристик:
для средней количественного признака
(3)
для доли (альтернативного признака)
(4)
Ошибка выборки свойственна только выборочным наблюдениям. Чем больше значение этой ошибки, тем в большей степени выборочные показатели отличаются от соответствующих генеральных показателей.
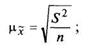
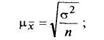
Выборочная средняя и выборочная доля по своей сути являются случайными величинами, которые могут принимать различные значения в зависимости от того, какие единицы совокупности попали в выборку. Следовательно, ошибки выборки также являются случайными величинами и могут принимать различные значения. Поэтому определяют среднюю из возможных ошибок - среднюю ошибку выборки m.
Средняя ошибка выборки также зависит от степени варьирования изучаемого признака. Степень варьирования, как известно, характеризуется дисперсией s2 или w(l-w) - для альтернативного признака. Чем меньше вариация признака, а следовательно, и дисперсия, тем меньше средняя ошибка выборки, и наоборот. При нулевой дисперсии (признак не варьирует) средняя ошибка выборки равна нулю, т.е. любая единица генеральной совокупности будет совершенно точно характеризовать всю совокупность по этому признаку.
Зависимость средней ошибки выборки от ее объема и степени варьирования признака отражена в формулах, с помощью которых можно рассчитать среднюю ошибку выборки в условиях выборочного наблюдения, когда генеральные характеристики (
, р) неизвестны, и следовательно, не представляется возможным нахождение реальной ошибки выборки непосредственно по формулам (3), (4).
При случайном повторном отборе средние ошибки теоретически рассчитывают по следующим формулам:
для средней количественного признака
(5)
для доли (альтернативного признака)
(6)
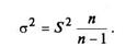
Поскольку практически дисперсия признака в генеральной совокупности s2 точно неизвестна, на практике пользуются значением дисперсии S2 , рассчитанным для выборочной совокупности на основании закона больших чисел, согласно которому выборочная совокупность при достаточно большом объеме выборки достаточно точно воспроизводит характеристики генеральной совокупности.
Таким образом, расчетные формулы средней ошибки выборки при случайном повторном отборе будут следующие:
для средней количественного признака
(7)
для доли (альтернативного признака)
(8)
Однако дисперсия выборочной совокупности не равна дисперсии генеральной совокупности, и следовательно, средние ошибки выборки, рассчитанные по формулам (7) и (8), будут приближенными. Но в теории вероятностей доказано, что генеральная дисперсия выражается через выборную следующим соотношением:
(9)
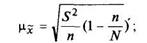
Так как n / (n - 1) при достаточно больших n величина, близкая к единице, то можно принять, что s2 »S2 , а следовательно, в практических расчетах средних ошибок выборки можно использовать формулы (7) и (8). И только в случаях малой выборки (когда объем выборки не превышает 30) необходимо учитывать коэффициент n / (n - 1) и исчислять среднюю ошибку малой выборки по формуле:
(10)
При случайном бесповторном отборе в приведенные выше формулы расчета средних ошибок выборки необходимо подкоренное выражение умножить на 1-(n / N), поскольку в процессе бесповторной выборки сокращается численность единиц генеральной совокупности. Следовательно, для бесповторной выборки расчетные формулы средней ошибки выборки примут такой вид:
для средней количественного признака
(11)
для доли (альтернативного признака)
(12)
Механическая выборка состоит в том, что отбор единиц в выборочную совокупность из генеральной, разбитой по нейтральному признаку на равные интервалы (группы), производится таким образом, что из каждой такой группы в выборку отбирается лишь одна единица. Чтобы избежать систематической ошибки, отбираться должна единица, которая находится в середине каждой группы.
При организации механического отбора единицы совокупности предварительно располагают (обычно в списке) в определенном порядке (например, по алфавиту, местоположению, в порядке возрастания или убывания значений какого-либо показателя, не связанного с изучаемым свойством, и т.д.), после чего отбирают заданное число единиц механически, через определенный интервал. При этом размер интервала в генеральной совокупности равен обратному значению доли выборки. Так, при 2 %-ной выборке отбирается и проверяется каждая 50-я единица (1:0,02), при 5 %-ной выборке - каждая 20-я единица (1:0,05), например, сходящая со станка деталь.
При достаточно большой совокупности механический отбор по точности результатов близок к собственно-случайному. Поэтому для определения средней ошибки механической выборки используют формулы собственно-случайной бесповторной выборки (11), (12).
Для отбора единиц из неоднородной совокупности применяется так называемая типическая выборка.
Типическая выборка используется в тех случаях, когда все единицы генеральной совокупности можно разбить на несколько качественно однородных, однотипных групп по признакам, от которых зависят изучаемые показатели.
При обследовании предприятий такими группами могут быть, например, отрасль и подотрасль, формы собственности. Затем из каждой типической группы собственно-случайной или механической выборкой производится индивидуальный отбор единиц в выборочную совокупность.
Типическая выборка обычно применяется при изучении сложных статистических совокупностей. Например, при выборочном обследовании семейных бюджетов рабочих и служащих в отдельных отраслях экономики, производительности труда рабочих предприятия, представленных отдельными группами по квалификации.
Типическая выборка дает более точные результаты по сравнению с другими способами отбора единиц в выборочную совокупность. Типизация генеральной совокупности обеспечивает репрезентативность такой выборки, представительство в ней каждой типологической группы, что позволяет исключить влияние межгрупповой дисперсии на среднюю ошибку выборки. Поэтому при определении средней ошибки типической выборки в качестве показателя вариации выступает средняя из внутригрупповых дисперсий.
Среднюю ошибку выборки находят по формулам:
для средней количественного признака
(13,14)
для доли (альтернативного признака)
(15,16)
где
- средняя из внутригрупповых дисперсий по выборочной совокупности;
- средняя из внутригрупповых дисперсий доли (альтернативного признака) по выборочной совокупности.
Серийная выборка предполагает случайный отбор из генеральной совокупности не отдельных единиц, а их равновеликих групп (гнезд, серий) с тем, чтобы в таких группах подвергать наблюдению все без исключения единицы.
Применение серийной выборки обусловлено тем, что многие товары для их транспортировки, хранения и продажи упаковываются в пачки, ящики и т.п. Поэтому при контроле качества упакованного товара рациональнее проверить несколько упаковок (серий), чем из всех упаковок отбирать необходимое количество товара.
Поскольку внутри групп (серий) обследуются все без исключения единицы, средняя ошибка выборки (при отборе равновеликих серий) зависит только от межгрупповой (межсерийной) дисперсии.
Среднюю ошибку выборки для средней количественного признака при серийном отборе находят по формулам:
(17,18)
где r- число отобранных серий; R - общее число серий.
Межгрупповую дисперсию серийной выборки вычисляют следующим образом:
(19)
где
- средняя i - й серии;
- общая средняя по всей выборочной совокупности.
Средняя ошибка выборки для доли (альтернативного признака) при серийном отборе:
(20,21)
Межгрупповую (межсерийную) дисперсию доли серийной выборки определяют по формуле:
(22)
где wi
- доля признака в i - й серии;
- общая доля признака во всей выборочной совокупности.
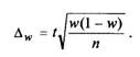
Предельную ошибку выборки для средней (
) при повторном отборе можно рассчитать по формуле:
(23)
где t - нормированное отклонение - "коэффициент доверия", зависящий от вероятности, с которой гарантируется предельная ошибка выборки;
- средняя ошибка выборки.
Аналогичным образом может быть записана формула предельной ошибки выборки для доли Δw при повторном отборе:
(24)
При случайном бесповторном отборе в формулах расчета предельных ошибок выборки (23) и (24) необходимо умножить подкоренное выражение на 1 - (n / N).
Предельная ошибка выборки позволяет определить предельные значения характеристик генеральной совокупности и их доверительные интервалы:
(25.26)
Это означает, что с заданной вероятностью можно утверждать, что значение генеральной средней следует ожидать в пределах от
до
.
Наряду с абсолютным значением предельной ошибки выборки рассчитывается и предельная относительная ошибка выборки, которая определяется как процентное отношение предельной ошибки выборки к соответствующей характеристике выборочной совокупности:
(27,28)
Расчетная часть
Условие:
Имеются следующие выборочные данные по предприятиям одной из отраслей промышленности региона в отчетном году (выборка 20% - ная механическая), млн. руб.:
Таблица 1
№ предприятия п/п |
Выручка от продажи продукции | Затраты на производство и реализацию продукции |
| 1 | 36,45 | 30,255 |
| 2 | 23,4 | 20,124 |
| 3 | 46,54 | 38,163 |
| 4 | 59,752 | 47,204 |
| 5 | 41,415 | 33,546 |
| 6 | 26,86 | 22,831 |
| 7 | 79,2 | 60,984 |
| 8 | 54,72 | 43,776 |
| 9 | 40,424 | 33,148 |
| 10 | 30,21 | 25,376 |
| 11 | 42,418 | 34,359 |
| 12 | 64,575 | 51,014 |
| 13 | 51,612 | 41,806 |
| 14 | 35,42 | 29,753 |
| 15 | 14,4 | 12,528 |
| 16 | 36,936 | 31,026 |
| 17 | 53,392 | 42,714 |
| 18 | 41 | 33,62 |
| 19 | 55,68 | 43,987 |
| 20 | 18,2 | 15,652 |
| 21 | 31,8 | 26,394 |
| 22 | 39,1204 | 32,539 |
| 23 | 57,128 | 45,702 |
| 24 | 28,44 | 23,89 |
| 25 | 43,344 | 35,542 |
| 26 | 70,72 | 54,454 |
| 27 | 41,832 | 34,302 |
| 28 | 69,345 | 54,089 |
| 29 | 35,903 | 30,159 |
| 30 | 50,22 | 40,678 |
Задание 1
Признак – уровень рентабельности продукции (рассчитайте путем деления прибыли от продаж, т.е. разности между выручкой от продажи продукции и затратами на ее производство и реализацию, на затраты на производство и реализацию продукции).
Число групп – пять.
Задание 2
Связь между признаками – затраты на производство и реализацию продукции и уровень рентабельности продукции.
Задание 3
По результатам выполнения задания 1 с вероятностью 0,997 определите:
1. Ошибку выборки среднего уровня рентабельности организации и границы, в которых будет находиться средний уровень рентабельности в генеральной совокупности;
2. Ошибку выборки доли организаций с уровнем рентабельности продукции 23,9% и более и границы, в которых будет находится генеральная доля.
Задание 4
Выпуск продукции и удельный расход стали по региону, в текущем периоде характеризуется следующими данными:
Таблица 2
| Вид продукции | Фактический выпуск продукции, шт. | Расход стали на единицу продукции, кг | |
| по норме | фактически | ||
| А | 320 | 36 | 38 |
| Б | 250 | 15 | 12 |
| В | 400 | 10 | 9 |
Определите:
1. Индивидуальные индексы выполнения норм расхода стали.
2. Общий индекс выполнения норм расхода стали на весь выпуск продукции.
3. Абсолютную экономию (перерасход) стали.
Решение:
Задание 1.
1. В среде MSExcel рассчитываем уровень рентабельности по формуле, данной в условии задачи:
Уровень рентабельности =
![]()
Таблица 3
№ предприятия п/п |
Выручка от продажи продукции | Затраты на производство и реализацию продукции | Уровень рентабельности продукции |
| 1 | 36,45 | 30,255 | 0,2048 |
| 2 | 23,4 | 20,124 | 0,1628 |
| 3 | 46,54 | 38,163 | 0,2195 |
| 4 | 59,752 | 47,204 | 0,2658 |
| 5 | 41,415 | 33,546 | 0,2346 |
| 6 | 26,86 | 22,831 | 0,1765 |
| 7 | 79,2 | 60,984 | 0,2987 |
| 8 | 54,72 | 43,776 | 0,2500 |
| 9 | 40,424 | 33,148 | 0,2195 |
| 10 | 30,21 | 25,376 | 0,1905 |
| 11 | 42,418 | 34,359 | 0,2346 |
| 12 | 64,575 | 51,014 | 0,2658 |
| 13 | 51,612 | 41,806 | 0,2346 |
| 14 | 35,42 | 29,753 | 0,1905 |
| 15 | 14,4 | 12,528 | 0,1494 |
| 16 | 36,936 | 31,026 | 0,1905 |
| 17 | 53,392 | 42,714 | 0,2500 |
| 18 | 41 | 33,62 | 0,2195 |
| 19 | 55,68 | 43,987 | 0,2658 |
| 20 | 18,2 | 15,652 | 0,1628 |
| 21 | 31,8 | 26,394 | 0,2048 |
| 22 | 39,1204 | 32,539 | 0,2023 |
| 23 | 57,128 | 45,702 | 0,2500 |
| 24 | 28,44 | 23,89 | 0,1905 |
| 25 | 43,344 | 35,542 | 0,2195 |
| 26 | 70,72 | 54,454 | 0,2987 |
| 27 | 41,832 | 34,302 | 0,2195 |
| 28 | 69,345 | 54,089 | 0,2821 |
| 29 | 35,903 | 30,159 | 0,1905 |
| 30 | 50,22 | 40,678 | 0,2346 |
2. Строим ранжированный ряд данных по уровню рентабельности продукции и сортируем по возрастанию.
Таблица 4
№ предприятия п/п |
Выручка от продажи продукции | Затраты на производство и реализацию продукции | Уровень рентабельности продукции |
| 15 | 14,4 | 12,528 | 14,94 |
| 2 | 23,4 | 20,124 | 16,28 |
| 20 | 18,2 | 15,652 | 16,28 |
| 6 | 26,86 | 22,831 | 17,65 |
| 24 | 28,44 | 23,89 | 19,05 |
| 29 | 35,903 | 30,159 | 19,05 |
| 14 | 35,42 | 29,753 | 19,05 |
| 16 | 36,936 | 31,026 | 19,05 |
| 10 | 30,21 | 25,376 | 19,05 |
| 22 | 39,1204 | 32,539 | 20,23 |
| 1 | 36,45 | 30,255 | 20,48 |
| 21 | 31,8 | 26,394 | 20,48 |
| 9 | 40,424 | 33,148 | 21,95 |
| 3 | 46,54 | 38,163 | 21,95 |
| 18 | 41 | 33,62 | 21,95 |
| 25 | 43,344 | 35,542 | 21,95 |
| 27 | 41,832 | 34,302 | 21,95 |
| 11 | 42,418 | 34,359 | 23,46 |
| 13 | 51,612 | 41,806 | 23,46 |
| 5 | 41,415 | 33,546 | 23,46 |
| 30 | 50,22 | 40,678 | 23,46 |
| 17 | 53,392 | 42,714 | 25,00 |
| 8 | 54,72 | 43,776 | 25,00 |
| 23 | 57,128 | 45,702 | 25,00 |
| 4 | 59,752 | 47,204 | 26,58 |
| 19 | 55,68 | 43,987 | 26,58 |
| 12 | 64,575 | 51,014 | 26,58 |
| 28 | 69,345 | 54,089 | 28,21 |
| 7 | 79,2 | 60,984 | 29,87 |
| 26 | 70,72 | 54,454 | 29,87 |
3. Определяем величину интервала:
=0,029
1 группа: от 0,149 до 0,1788
2 группа: от 0,1788 до 0,2086
3 группа: от 0,2086 до 0,2384
4 группа: от 0,2384 до 0,2682
5 группа: от 0,2682 до 0,298
Для удобства проставим номера групп в таблицу относительно уровня рентабельности.
Таблица 5
№ предприятия п/п |
Выручка от продажи продукции | Затраты на производство и реализацию продукции | Уровень рентабельности продукции | № групп |
| 15 | 14,4 | 12,528 | 14,94 | 1 |
| 2 | 23,4 | 20,124 | 16,28 | 1 |
| 20 | 18,2 | 15,652 | 16,28 | 1 |
| 6 | 26,86 | 22,831 | 17,65 | 1 |
| 24 | 28,44 | 23,89 | 19,05 | 2 |
| 29 | 35,903 | 30,159 | 19,05 | 2 |
| 14 | 35,42 | 29,753 | 19,05 | 2 |
| 16 | 36,936 | 31,026 | 19,05 | 2 |
| 10 | 30,21 | 25,376 | 19,05 | 2 |
| 22 | 39,1204 | 32,539 | 20,23 | 2 |
| 1 | 36,45 | 30,255 | 20,48 | 2 |
| 21 | 31,8 | 26,394 | 20,48 | 2 |
| 9 | 40,424 | 33,148 | 21,95 | 3 |
| 3 | 46,54 | 38,163 | 21,95 | 3 |
| 18 | 41 | 33,62 | 21,95 | 3 |
| 25 | 43,344 | 35,542 | 21,95 | 3 |
| 27 | 41,832 | 34,302 | 21,95 | 3 |
| 11 | 42,418 | 34,359 | 23,46 | 3 |
| 13 | 51,612 | 41,806 | 23,46 | 3 |
| 5 | 41,415 | 33,546 | 23,46 | 3 |
| 30 | 50,22 | 40,678 | 23,46 | 3 |
| 17 | 53,392 | 42,714 | 25,00 | 4 |
| 8 | 54,72 | 43,776 | 25,00 | 4 |
| 23 | 57,128 | 45,702 | 25,00 | 4 |
| 4 | 59,752 | 47,204 | 26,58 | 4 |
| 19 | 55,68 | 43,987 | 26,58 | 4 |
| 12 | 64,575 | 51,014 | 26,58 | 4 |
| 28 | 69,345 | 54,089 | 28,21 | 5 |
| 7 | 79,2 | 60,984 | 29,87 | 5 |
| 26 | 70,72 | 54,454 | 29,87 | 5 |
4. Строим аналитическую таблицу
Таблица 6
| № группы | Группа предприятий | № п/п | Выручка | Затраты | рентабельность |
| 1 | 14,94-17,926 | 15 | 14,4 | 12,528 | 14,94 |
| 2 | 23,4 | 20,124 | 16,28 | ||
| 20 | 18,2 | 15,652 | 16,28 | ||
| 6 | 26,86 | 22,831 | 17,65 | ||
| Итого | 4 | 82,86 | 71,135 | 65,15 | |
| 2 | 17,926-20,912 | 24 | 28,44 | 23,89 | 19,05 |
| 29 | 35,903 | 30,159 | 19,05 | ||
| 14 | 35,42 | 29,753 | 19,05 | ||
| 16 | 36,936 | 31,026 | 19,05 | ||
| 10 | 30,21 | 25,376 | 19,05 | ||
| 22 | 39,1204 | 32,539 | 20,23 | ||
| 1 | 36,45 | 30,255 | 20,48 | ||
| 21 | 31,8 | 26,394 | 20,48 | ||
| Итого | 8 | 274,2794 | 229,392 | 156,42 | |
| 3 | 20,912-23,898 | 9 | 40,424 | 33,148 | 21,95 |
| 3 | 46,54 | 38,163 | 21,95 | ||
| 18 | 41 | 33,62 | 21,95 | ||
| 25 | 43,344 | 35,542 | 21,95 | ||
| 27 | 41,832 | 34,302 | 21,95 | ||
| 11 | 42,418 | 34,359 | 23,46 | ||
| 13 | 51,612 | 41,806 | 23,46 | ||
| 5 | 41,415 | 33,546 | 23,46 | ||
| 30 | 50,22 | 40,678 | 23,46 | ||
| Итого | 9 | 398,805 | 325,164 | 203,58 | |
| 4 | 23,898-26,884 | 17 | 53,392 | 42,714 | 25,00 |
| 8 | 54,72 | 43,776 | 25,00 | ||
| 23 | 57,128 | 45,702 | 25,00 | ||
| 4 | 59,752 | 47,204 | 26,58 | ||
| 19 | 55,68 | 43,987 | 26,58 | ||
| 12 | 64,575 | 51,014 | 26,58 | ||
| Итого | 6 | 345,247 | 274,397 | 154,75 | |
| 5 | 26,884-29,87 | 28 | 69,345 | 54,089 | 28,21 |
| 7 | 79,2 | 60,984 | 29,87 | ||
| 26 | 70,72 | 54,454 | 29,87 | ||
| Итого | 3 | 219,265 | 169,527 | 87,95 | |
| Всего | 30 | 1320,4564 | 1069,615 | 667,84 | |
5. Строим график полученного ряда распределения, на котором графически определяем моду и медиану. Для построения графика используем таблицу 7.
Таблица 7
| Ряд распределения по уровню рентабельности | ||||
| № группы | группы | число предприятий | Частота | |
| в абсолютном выражении | в относительных единицах | |||
| 1 | 14,94-17,926 | 4 | 13,33 | 4 |
| 2 | 17,926-20,912 | 8 | 26,66 | 12 |
| 3 | 20,912-23,898 | 9 | 30 | 21 |
| 4 | 23,898-26,884 | 6 | 20 | 27 |
| 5 | 26,884-29,87 | 3 | 10 | 30 |
| Итого | 30 | |||
По полученным данным строим график
Рисунок 1.

Рассчитываем характеристики интервального ряда распределения:
Для этого строим таблицу:
Таблица 8
| № группы | f | xi | xi*f | xi-xср | (xi-xср)2 | (xi-xср)2 *f |
| 1 | 4 | 16,433 | 65,732 | -5,574 | 31,068 | 124,272 |
| 2 | 8 | 19,419 | 155,352 | -2,588 | 6,697 | 53,576 |
| 3 | 9 | 22,405 | 201,645 | 0,398 | 0,159 | 1,427 |
| 4 | 6 | 25,391 | 152,346 | 3,384 | 11,452 | 68,714 |
| 5 | 3 | 28,377 | 85,131 | 6,370 | 40,579 | 121,736 |
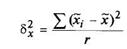
| Итого | 30 | 660,206 | 369,725 |
Среднюю арифметическую

Дисперсию

Среднее квадратическое отклонение - s = 3,510
Коэффициент вариации
%
Т.к. V=15,95%, то вариация слабая, совокупность однородная и найденная величина 20,007 является надежной.
Задание 2
Строим расчетную таблицу для установления характера связи между затратами и рентабельностью.
Таблица 9
| № п/п | Затраты(х) | Рентабельность(у) | х2 | у2 | ху |
| 15 | 12,528 | 14,94 | 156,951 | 223,204 | 187,168 |
| 20 | 15,652 | 16,28 | 244,985 | 265,038 | 254,815 |
| 2 | 20,124 | 16,28 | 404,975 | 265,038 | 327,619 |
| 6 | 22,831 | 17,65 | 521,255 | 311,523 | 402,967 |
| 24 | 23,890 | 19,05 | 570,732 | 362,903 | 455,105 |
| 10 | 25,376 | 19,05 | 643,941 | 362,903 | 483,413 |
| 21 | 26,394 | 20,48 | 696,643 | 419,430 | 540,549 |
| 14 | 29,753 | 19,05 | 885,241 | 362,903 | 566,795 |
| 29 | 30,159 | 19,05 | 909,565 | 362,903 | 574,529 |
| 1 | 30,255 | 20,48 | 915,365 | 419,430 | 619,622 |
| 16 | 31,026 | 19,05 | 962,613 | 362,903 | 591,045 |
| 22 | 32,539 | 20,23 | 1058,787 | 409,253 | 658,264 |
| 9 | 33,148 | 21,95 | 1098,790 | 481,803 | 727,599 |
| 18 | 33,620 | 23,46 | 1130,304 | 550,372 | 788,725 |
| 5 | 33,546 | 21,95 | 1125,334 | 481,803 | 736,335 |
| 27 | 34,302 | 21,95 | 1176,627 | 481,803 | 752,929 |
| 11 | 34,359 | 23,46 | 1180,541 | 550,372 | 806,062 |
| 25 | 35,542 | 21,95 | 1263,234 | 481,803 | 780,147 |
| 3 | 38,163 | 21,95 | 1456,415 | 481,803 | 837,678 |
| 30 | 40,678 | 23,46 | 1654,700 | 550,372 | 954,306 |
| 13 | 41,806 | 23,46 | 1747,742 | 550,372 | 980,769 |
| 17 | 42,714 | 25 | 1824,486 | 625,000 | 1067,850 |
| 8 | 43,776 | 25 | 1916,338 | 625,000 | 1094,400 |
| 19 | 43,987 | 26,58 | 1934,856 | 706,496 | 1169,174 |
| 23 | 45,702 | 25 | 2088,673 | 625,000 | 1142,550 |
| 4 | 47,204 | 26,58 | 2228,218 | 706,496 | 1254,682 |
| 12 | 51,014 | 26,58 | 2602,428 | 706,496 | 1355,952 |
| 28 | 54,089 | 28,21 | 2925,620 | 795,804 | 1525,851 |
| 26 | 54,454 | 29,87 | 2965,238 | 892,217 | 1626,541 |
| 7 | 60,984 | 29,87 | 3719,048 | 892,217 | 1821,592 |
| Итого | 1069,615 | 667,87 | 42009,644 | 15312,655 | 25085,032 |
Определяем значения а0 и а1 :


Рассчитываем линейный коэффициент корреляции:

Т.к. r=0,989, она близка к 1, а, следовательно, связь тесная.
Задание 3
1. По заданным условиям находим ошибку выборки среднего уровня рентабельности организации и границы, в которых будет находиться средний уровень рентабельности в генеральной совокупности.
По формуле
![]()
рассчитываем:
,
, следовательно, 22,262-1,719≤1,719≤22,262+1,719
20,543≤1,719≤23,981.
С вероятностью 0,997 можно утверждать, что средний уровень рентабельности находится в пределах 20,543≤1,719≤23,981.
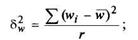
2. Находим ошибку выборки доли организаций с уровнем рентабельности продукции 23,9% и более и границы, в которых будет находиться генеральная доля.
По формуле
, где w=m/nрассчитываем:
,
, следовательно, 9-0,225≤9≤9+0,225
8,775≤9≤9,225
С вероятностью 0,997 можно утверждать, что генеральная доля будет находиться в пределах 8,775≤9≤9,225.
Задание 4.
Дана таблица:
Таблица 10
| Вид продукции | Фактический выпуск продукции, шт. | Расход стали на единицу продукции, кг | |
| по норме | фактически | ||
| А | 320 | 36 | 38 |
| Б | 250 | 15 | 12 |
| В | 400 | 10 | 9 |
1. Находим индивидуальные индексы выполнения норм расхода стали:
для продукции А = 38/36 = 1,056;
для продукции Б = 12/15 = 0,8;
для продукции В = 9/10 = 0,9.
2. Находим общий индекс выполнения норм расхода стали на весь выпуск продукции:
Iн.р. = ![]()
3. Из п.2. абсолютный перерасход стали = 18760 – 19270 = – 510 кг.
Из п.3 видно, что предприятие фактически расходует на 510 кг. меньше, чем положено по норме.
Аналитическая часть
В этой части работы мы рассмотрим задачу, составленную по данным предприятия ООО НПП "Курай".
Имеются выборочные данные о стаже работников.
| Стаж, лет | Среднесписочная численность работников, чел. |
| До 3 | 7 |
| 3-5 | 15 |
| 5-7 | 10 |
| 7-9 | 22 |
| Свыше 9 | 46 |
| Итого | 100 |
Нужно определить:
1) средний стаж работников;
2) дисперсию;
3) среднее квадратическое отклонение;
4) коэффициент вариации.
Решение:
1. Находим средний стаж работников. Для этого необходимо построить таблицу, в которой находим середину интервала.
| Стаж, лет | Среднесписочная численность работников, чел. | xi | xi f |
| От 1 до 3 | 7 | 2 | 14 |
| От 3 до 5 | 15 | 4 | 60 |
| От 5 до 7 | 10 | 6 | 60 |
| От 7 до 9 | 22 | 8 | 176 |
| Свыше 9 | 46 | 10 | 460 |
| Итого | 100 | 770 |
1. Средний стаж работников хср
=
лет.
Для нахождения других признаков, мы достраиваем таблицу до следующего вида:
| Стаж, лет | Среднесписочная численность работников, чел. | xi | xi f | xi-хср | (xi-хср)2 | (xi-хср)2*f |
| от 1 до 3 | 7 | 2 | 14 | -5,7 | 32,49 | 227,43 |
| от 3 до 5 | 15 | 4 | 60 | -3,7 | 13,69 | 205,35 |
| от 5 до 7 | 10 | 6 | 60 | -1,7 | 2,89 | 28,9 |
| от 7 до 9 | 22 | 8 | 176 | 0,3 | 0,09 | 1,98 |
| Свыше 9 | 46 | 10 | 460 | 2,3 | 5,29 | 243,34 |
| Итого | 100 | 770 | 707 |
Теперь находим:
2. Дисперсию:![]()
3. Среднее квадратическое отклонение: ![]()
4. Коэффициент вариации:
%.
Заключение
Важно учитывать, что при помощи выборочного метода никогда нельзя получить абсолютно точную оценку наблюдаемого признака, всегда существует вероятность ошибки, но, если вероятность ошибки мала, то она скорее всего не произойдет.
Имеется ряд причин, в силу которых, во многих случаях выборочному наблюдению отдается предпочтение перед сплошным. Наиболее существенны из них следующие:
- экономия времени и средств в результате сокращения объема работы;
- сведение к минимуму порчи или уничтожения исследуемых объектов (определение прочности пряжи при разрыве, испытание электрических лампочек на продолжительность горения, проверка консервов на доброкачественность);
- необходимость детального исследования каждой единицы наблюдения при невозможности охвата всех единиц (при изучении бюджета семей);
- достижение большой точности результатов обследования благодаря сокращению ошибок, происходящих при регистрации.
Список используемой литературы
1. Кожевникова Г.П. Статистика: Методические указания по выполнению курсовой работы для студентов 3 курса, обучающихся по специальности "Финансы и кредит". – М.: Вузовский учебник, 2005.–81 с.
2. Гусаров В.М. Тоерия статистики: Учебн. пособие для вузов.–М.: Аудит, ЮНИТИ, 1998. – 247 с.
3. Елисеева И.И. Статистика: Учебник. – Мю: ТК Велби, Проспект, 2002.
4. Спирин А.А. Общая теория статистики: Учебн. пособие. – М.: Финансы и статистика, 1996. 296 с.
5. Данные о сотрудниках фирмы ООО НПП "Курай".
6. Internet