| Скачать .docx |
Курсовая работа: Выборочный метод изучения взаимосвязей финансовых показателей деятельности банка
Министерство образования РФ
Всероссийский заочный финансово-экономический институт
Кафедра статистики
КУРСОВАЯ РАБОТА
по дисциплине "Статистика"
на тему
"Выборочный метод изучения взаимосвязей финансовых показателей деятельности банка"
Уфа2009
Введение
В современном обществе важную роль в механизме управления экономикой выполняет статистика. Она осуществляет сбор, научную обработку, обобщение и анализ информации, характеризующей развитие экономики страны, культуры и уровня жизни населения. В результате предоставляется возможность выявления взаимосвязей в экономике, изучения динамики ее развития, проведения международных сопоставлений и в конечном итоге - принятия эффективных управленческих решений на государственном и региональном уровнях.
Цель работы – составить общее представление о выборочном методе и о возможностях его применения в экономике. Работа содержит классификацию типов случайной и неслучайной выборки, описание каждого метода, их преимущества и недостатки. Для каждого типа случайной выборки приведены формулы расчета ошибки репрезентативности (выборочного среднего) и объема выборки.
Суть выборочного метода и его роль в экономике.
Одной из задач, которые стоят перед экономистом при проведении исследования, является сбор необходимых данных об объекте исследования. Множество элементов, составляющих объект исследования, называют генеральной совокупностью (ГС). Наиболее простым, на первый взгляд, способом сбора данных является сплошное обследование ГС. Однако применение сплошного обследования не всегда представляется возможным. В этом случае применяется выборочное обследование. Суть выборочного метода заключена в том, что обследованию подвергается только часть элементов ГС, которая называется выборочной совокупностью (ВС).
Выборочный метод имеет более широкую область применения. Широта области применения выборочного метода объясняется тем, что небольшой (по сравнению с ГС) объем выборки позволяет использовать более сложные методы обследования, включая использование различных технических средств (например, видео- и аудиоаппаратуры).
Следует различать единицы отбора и единицы наблюдения. Единицами отбора являются единицы или группы единиц ГС, отбираемые на каждом этапе формирования ВС. Единицы наблюдения – это отобранные единицы ГС, характеристики которых непосредственно измеряются. Если выборка проходит в несколько этапов (многоступенчатая выборка), то единицы отбора и единицы наблюдения могут не совпадать.
Разделяют два типа ошибок. Случайная (статистическая) ошибка – это ошибки, которые возникают вследствие случайной вариации значений, вызванной тем, что наблюдается только часть единиц, а не вся ГС. Случайные ошибки уменьшаются с увеличением объема ВС. Случайную ошибку можно измерить методами математической статистики, если при формировании ВС соблюдался принцип случайности. Принцип случайности заключается в следующем: каждый элемент ГС имеет равную и отличную от нуля вероятность попасть в ВС.
1 . Теоретическая часть
1.1 Общая характеристика выборочного метода
Теоретической основой выборочного метода является закон больших чисел. В силу этого закона при ограниченном рассеивании признака в генеральной совокупности и достаточно большой выборке с вероятностью, близкой к полной достоверности, выборочная средняя может быть сколь угодно близка к генеральной средней. Закон этот, включающий в себя группу теорем, доказан строго математически. Таким образом, средняя арифметическая, рассчитанная по выборке, может с достаточным основанием рассматриваться как показатель, характеризующий генеральную совокупность в целом.
Разумеется, не всякая выборка может быть основой для характеристики всей совокупности, к которой она принадлежит. Таким свойством обладают лишь репрезентативные (представительные) выборки, т. е. выборки, которые правильно отражают свойства генеральной совокупности. Существуют способы, позволяющие гарантировать достаточную репрезентативность выборки. Как доказано в ряде теорем математической статистики, таким способом при условии достаточно большой выборки является метод случайного отбора элементов генеральной совокупности, такого отбора, когда каждый элемент генеральной совокупности имеет равный с другими элементами шанс попасть в выборку. Выборки, полученные таким способом, называются случайными выборками. Случайность выборки является, таким образом, существенным условием применения выборочного метода.
Статистическое наблюдение можно организовать сплошное и несплошное. Сплошное наблюдение предусматривает обследование всех единиц изучаемой совокупности и связано с большими трудовыми и материальными затратами. Изучение не всех единиц совокупности, а лишь некоторой части, по которой следует судить о свойствах всей совокупности в целом, можно осуществить несплошным наблюдением. В статистической практике самым распространенным является выборочное наблюдение.
Выборочное наблюдение - это такое несплошное наблюдение, при котором отбор подлежащих обследованию единиц осуществляется в случайном порядке, отобранная часть изучается, а результаты распространяются на всю исходную совокупность. Наблюдение организуется таким образом, что эта часть отобранных единиц в уменьшенном масштабе репрезентирует (представляет) всю совокупность.
Совокупность, из которой производится отбор, называется генеральной, и все ее обобщающие показатели - генеральными.
Совокупность отобранных единиц именуют выборочной совокупностью, и все ее обобщающие показатели - выборочными.
При любых статистических исследованиях возникают ошибки двух видов: регистрации и репрезентативности.
Ошибки регистрации могут иметь случайный (непреднамеренный) и систематический (тенденциозный) характер. Случайные ошибки обычно уравновешивают друг друга, поскольку не имеют преимущественного направления в сторону преувеличения или преуменьшения значения изучаемого показателя. Систематические ошибки направлены в одну сторону вследствие преднамеренного нарушения правил отбора (предвзятые цели). Их можно избежать при правильной организации и проведении наблюдения.
Ошибки репрезентативности присущи только выборочному наблюдению и возникают в силу того, что выборочная совокупность не полностью воспроизводит генеральную. Они представляют собой расхождение между значениями показателей, полученных по выборке, и значениями показателей этих же величин, которые были бы получены при проведенном с одинаковой степенью точности сплошном наблюдении, т.е. между величинами выборных и соответствующих генеральных показателей.
По виду различают индивидуальный, групповой и комбинированный отбор. При индивидуальном отборе в выборочную совокупность отбираются отдельные единицы генеральной совокупности; при групповом отборе - качественно однородные группы или серии изучаемых единиц; комбинированный отбор предполагает сочетание первого и второго видов.
По методу отбора различают повторную и бесповторную выборки.
При повторной выборке общая численность единиц генеральной совокупности в процессе выборки остается неизменной. Ту или иную единицу, попавшую в выборку, после регистрации снова возвращают в генеральную совокупность, и она сохраняет равную возможность со всеми прочими единицами при повторном отборе единиц вновь попасть в выборку ("отбор по схеме возвращенного шара"). Повторная выборка в социально-экономической жизни встречается редко. Обычно выборку организуют по схеме бесповторной выборки.
При бесповторной выборке единица совокупности, попавшая в выборку, в генеральную совокупность не возвращается и в дальнейшем в выборке не участвует; т.е. последующую выборку делают из генеральной совокупности уже без отобранных ранее единиц ("отбор по схеме невозвращенного шара"). Таким образом, при бесповторной выборке численность единиц генеральной совокупности сокращается в процессе исследования.
1.2 Финансовые показатели
Финансовые показатели - набор показателей, использующихся для исследования эффективности деятельности компании, и измерения степени риска ее операций. Обычно выделяют четыре группы показателей: коэффициенты рентабельности, оборачиваемости, ликвидности и структуры капитала.
1.2.1 Показатели ликвидности
Ликвидность – это способность организации ответить по своим краткосрочным обязательствам. Если платежеспособность фирма низка, это говорит о ее крайне слабом финансовом здоровье и невозможности решать большинство вопросов своей деятельности, в частности такого, как привлечение новых займов, поскольку доверие кредиторов будет подорвано. Иначе ликвидность определяют как качество оборотных (текущих) активов фирмы, их способность покрывать долги фирмы.
Коэффициенты ликвидности (Liquidity Ratios) - финансовые показатели, характеризующие платежеспособность компании в краткосрочном периоде, ее способность выдерживать быстротечные изменения в рыночной конъюнктуре и бизнес-среде.
Показатели ликвидности, как правило, рассчитываются на основе данных баланса компании. Наиболее распространенные коэффициенты:
1. Коэффициент текущей ликвидности
2. Коэффициент быстрой ликвидности
3. Чистый рабочий капитал
Коэффициент текущей ликвидности (Current Ratio, CR) - финансовый коэффициент, равный отношению текущих активов и текущих обязательств компании.
Рассчитывается по данным баланса фирмы как частное от деления текущих активов на текущие обязательства и показывает достаточно ли у предприятия средств, которые могут быть использованы для погашения краткосрочных обязательств. Является одним из показателей ликвидности компании, характеризующим ее способность выдерживать быстротечные изменения в рыночной конъюнктуре и бизнес-среде, такие как задержки платежей со стороны покупателей, колебания продаж, непредвиденные расходы или требования немедленной уплаты задолженностей.
Как правило, считается, что данный коэффициент не должен быть меньше 1, однако рекомендованные значения могут существенно меняться в зависимости от отрасли, страны и других условий.
Формула расчета:
![]()
Коэффициент быстрой ликвидности (коэф. лакмусовой бумажки, Quick Ratio, Acid Test Ratio, QR) - финансовый коэффициент, равный отношению высоколиквидных текущих активов и текущих обязательств компании.
Рассчитывается по данным баланса фирмы как частное от деления суммы денежных средств, краткосрочных инвестиций и дебеторской задолженности на на текущие обязательства. Характеризует способность компании отвечать по своим текущим обязательствам с использованием наиболее ликвидных (обращаемых в деньги) активов.
Формула расчета:
![]()
Чистый оборотный капитал (Чистый рабочий капитал, Net Working Capital, NWC) - разность между величиной текущих активов и текущих обязательств.
Данный показатель характеризует величину оборотного капитала, свободного от краткосрочных (текущих) обязательств, т.е. долю оборотных средств компании, которая профинансирована из долгосрочных источников и которую не надо использовать для погашения текущего долга. Рост величины NWC означает повышение ликвидности компании и увеличение ее кредитоспособности. В то же время, слишком большие значения оборотного капитала могут сигнализировать о неэффективной финансовой политике компании, которая приводит к снижению рентабельности (например, выбор долгосрочных, но более дорогих источников финансирования; неоправданное снижение кредиторской задолженности и т.п.).
Формула расчета:
NWC = Текущие активы – Текущие обязательства
1.2.2 Показатели хозяйственной активности (оборачиваемости)
Коэффициенты оборачиваемости (Коэффициенты деловой активности, Activity Ratios) - группа финансовых показателей, характеризующих уровень деловой активности компании как в краткосрочном, так и в долгосрочном периоде.
Все коэффициенты оборачиваемости строятся на анализе соотношения объема продаж компании и тех или иных задействованных в производстве ресурсов. Чем выше показатели оборачиваемости, тем более эффективно используются ресурсы компании и тем меньше ресурсов требуется для ее работы. Тенденции в изменении показателей оборачиваемости в сравнении с аналогичными тенденциями других компаний отрасли могут использоваться для выявления потенциальных проблем в организации производства.
Наиболее распространенные показатели:
1. Коэффициент оборачиваемости дебиторской задолженности
2. Коэффициент оборачиваемости запасов
3. Коэффициент оборачиваемости кредиторской задолженности
4. Коэффициент оборачиваемости активов
Коэффициент оборачиваемости дебиторской задолженности (Receivables Turnover, RT) - финансовый показатель, рассчитываемый как отношение оборота компании к среднегодовой величине дебиторской задолженности.
Формула расчета:
![]()
RT показывает насколько эффективно компания организовала работу по сбору оплаты для свою продукцию. Снижение данного показателя может сигнализировать о росте числа неплатежеспособных клиентов и других проблемах сбыта, но может быть связан и с переходом компании к более мягкой политике взаимоотношений с клиентами, направленной на расширение доли рынка. Чем ниже оборачиваемость дебиторской задолженности, тем выше будут потребности компании в оборотном капитале для расширения объема сбыта.
Коэффициент оборачиваемости запасов (Inventory Turnover) - финансовый показатель, рассчитываемый как отношение себестоимости проданных товаров к среднегодовой величине запасов.
Формула расчета:
![]()
Чем выше оборачиваемость запасов компании, тем более эффективным является производство и тем меньше потребность в оборотном капитале для его организации.
Данный показатель рассчитывается, также, как среднее число дней, в течение которого запасы находятся на складе. В этом случае, формула выглядит следующим образом:
![]()
При использовании данных отчета о прибылях и убытках не за год, а за другой период, значение себестоимости продаж должно быть соответствующим образом скорректировано.
Коэффициент оборачиваемости кредиторской задолженности (Payables Turnover) - финансовый показатель, рассчитываемый как отношение себестоимости проданных товаров к среднегодовой величине кредиторской задолженности.
Формула расчета:
![]()
Чем выше данный показатель, тем быстрее компания рассчитывается со своими поставщиками. Снижение оборачиваемости может означать как проблемы с оплатой счетов, так и более эффективную организацию взаимоотношений с поставщиками, обеспечивающую более выгодный, отложенный график платежей и использующую кредиторскую задолженность как источник получения дешевых финансовых ресурсов.
Широко распространен еще один вариант данного показателя, выражающий оборачиваемость кредиторской задолженности как среднее число дней, в течение которых компания оплачивает свои долги. Этот вариант показателя называется Период сбора кредиторской задолженности и рассчитывается по следующей формуле:
![]()
При использовании данных отчета о прибылях и убытках не за год, а за другой период, значение себестоимости продаж должно быть соответствующим образом скорректировано.
Коэффициент оборачиваемости активов (Assets Turnover) - финансовый показатель, рассчитываемый как отношение оборота компании к среднегодовой величине суммарных активов.
Формула расчета:
![]()
Характеризует эффективность использования ресурсов, привлеченных для организации производства. Является показателем, косвенно отражающим потенциальную рентабельность работы компании.
Этот тип финансовых показателей определяет, насколько хорошо фирма использует свои ресурсы. Обычно показатели активности выражают соотношение между величиной продаж и различными элементами активов, то есть выясняют количество продаж, созданное одним рублем инвестиций в активы. Следовательно, неудовлетворительные финансовые показатели должны послужить отправной точкой не только для пересмотра финансовых планов, но и в первую очередь для переформулирования общей стратегии фирмы.
1.2.3 Показатели доходности (рентабельности)
Коэффициенты рентабельности (Profitability Ratios) - финансовые показатели, характеризующие прибыльность работы компании.
Наиболее распространенные коэффициенты:
1. Коэффициент рентабельности продаж
2. Коэффициент рентабельности активов
3. Коэффициент рентабельности собственного капитала
4. Коэффициент рентабельности инвестированного капитала
Коэффициент рентабельности продаж (Return On Sales, Net Profit Margin, ROS) - отношение чистой прибыли компании к ее обороту.
Формула расчета:
![]()
Все данные, необходимые для расчета данного показателя, берутся из отчета о прибылях и убытках. Коэффициент рентабельности продаж отражает доход компании на каждый заработанный рубль и может быть полезен как для правильной интерпретации данных об обороте, так и для экономических прогнозов в условиях ограниченного объема рынка, сдерживающего рост продаж.
Коэффициент рентабельности собственного капитала (Return On Equity, ROE) - отношение чистой прибыли компании к среднегодовой величине акционерного капитала.
Рентабельность собственного капитала характеризует доходность бизнеса для его владельцев, рассчитанную после вычета процентов по кредиту (т.е. чистая прибыль, в отличие от таких показателей, как ROA или ROIC, не корректируется на сумму процентов по кредиту).
Формула расчета:
![]()
В расчете может использоваться не чистая прибыль, а прибыль до налога.
Кроме того, иногда вместо ROE используется показатель рентабельности обыкновенного акционерного капитала (Return On Common Equity, ROCE), в этом случае формула показателя выглядит следующим образом:
![]()
Во всех случаях при расчете данного коэффициента предполагается использование данных из годовых отчетов о прибылях и убытках. Если при расчете используется квартальная или другая отчетность, то коэффициент должен быть умножен на число периодов отчетности в году.
Коэффициент рентабельности активов (Return On Assets, ROA) - отношение чистой прибыли компании без учета процентов по кредитам к ее суммарным активам.
Коэффициент рентабельности активов характеризует способность руководства компании эффективно использовать ее активы для получения прибыли. Кроме того, этот коэффициент отражает среднюю доходность, полученную на все источники капитала (собственного и заемного).
Формула расчета:
![]()
Проценты по кредитам прибавляются к чистой прибыли компании для того, чтобы исключить их учет из коэффициента. Это позволяет сделать его расчет независимым от способа финансирования деятельности и облегчает сравнение показателей рентабельности разных компаний. Поскольку в отчете о прибылях и убытках начисленные проценты не только уменьшают значение чистой прибыли, но и обеспечивают снижение налоговых выплат (на сумму равную Проценты * Ставка налога), то для правильного их учета необходимо скорректировать сумму процентов и данной формуле, для этого используется коэффициент (1- Ставка налога).
Коэффициент рентабельности инвестированного капитала (Return On Invested Capital, ROIC) - отношение чистой операционной прибыли компании к среднегодовой суммарного инвестированного капитала.
Данный коэффициент характеризует доходность, полученную на капитал, привлеченный из внешних источников. В общем виде, формула расчета показателя выглядит следующим образом:
![]()
В качестве инвестированного капитала должен учитываться только капитал, вложенный в основную деятельность компании, так же, как и рассматриваемая прибыль является прибылью от основной деятельности.
В общем виде, инвестированный капитал можно вычислить как сумму оборотных средств в основной деятельности, чистых основных средств и чистых прочих активов (за вычетом беспроцентных обязательств). Другой вариант расчета - инвестированными средствами считают сумму собственного капитала и долгосрочных обязательств. Детали определения величины инвестированного капитала будут зависеть от особенностей ведения учета и структуры бизнеса. Главное условие, которое должно быть при этом достигнуто, это то, что при анализе должен быть учтен тот и только тот капитал, который использован для получения прибыли, включенной в расчет.
Коэффициент рентабельности инвестиций (Return On Investment, ROI) - финансовый показатель, характеризующий доходность инвестиционных вложений.
ROI представляет собой обобщенную формулу анализа прибыльности произвольных инвестиций в активы. Он рассчитывается следующим образом:
![]()
При анализе финансовой отчетности компаний термином ROI часто называют либо группу финансовых показателей, характеризующих рентабельность различных составляющих капитала, либо показатель рентабельности инвестированного капитала (ROIC).
1.3 П роизводственные показатели
Основой существования и развития общества является производство материальных благ и услуг. Материальные блага и услуги, произведенные на предприятии за определенный период, составляют продукцию предприятия. Выпуск продукции - основное назначение любого предприятия и результат производственной деятельности.
Объем произведенной на предприятии продукции (в виде ее разнородности) характеризуется системой статистических показателей в натуральном, условно-натуральном, трудовом и стоимостном выражениях.
1.3.1 Показатели объема продукции
Натуральные (физические) единицы (штуки, тонны, метры, литры и т.д.) используются для учета отдельных видов продукции, т.е. определения физического объема продукции.
Натуральный метод учета продукции используется во всех отраслях экономики. На предприятии в натуральном выражении могут быть учтены, как правило, все виды выпускаемой продукции. В масштабе отраслей и всей экономики осуществляется учет лишь важнейших видов продукции; необходимых, например, для изучения уровня потребления населением отдельных видов материальных благ, для изучения обеспеченности населения отдельными товарами и т.д.
Для нескольких разновидностей одной и той же продукции применяют иногда условно-натуральные измерители продукции. При этом методе единицы одного из продуктов принимают условно за единицу измерения (эталон) и все остальные разновидности продуктов пересчитывают в эти условные единицы с помощью тех или иных коэффициентов, например, при переводе натурального топлива (угля, нефти , газа) в условное используют его теплотворную способность, калорийность. При этом за единицу условного топлива принято считать такое топливо, килограмм которого при сжигании дает 7000 ккал.
1.3.2 Трудовые показатели
Трудоемкость продукции определяется количеством труда фактически затраченного на ее производство. Она исчисляется путем суммирования затрат труда по всем операциям при изготовлении каждого изделия и по всем изделиям производственной программы. Трудоемкость измеряется или в нормо-часах (нормо-днях) работы (нормативная трудоемкость), или в фактических часах (днях), затраченных на производство продукции (фактическая трудоемкость).
Трудоемкость единицы продукции - показатель, обратный выработке; характеризует затраты труда на изготовление единицы продукции. Вычисляется по формулам:
t= Т/q
1.3.3 Стоимостные показатели
В статистике широко используется система стоимостных показателей продукции предприятия: валовая, товарная, реализованная продукция, чистая продукция; каждый из них носит определенный экономический смысл, имеет свою методику расчета в различных отраслях материального производства.
Валовая продукция предприятия — стоимость всех готовых изделий и полуфабрикатов, изготовленных в отчетном периоде из своего материала и материала заказчика, а также стоимость выполненных работ за вычетом стоимости готовых изделий и полуфабрикатов собственной выработки, потребленных в производстве. Валовая продукция предприятия характеризует конечные результаты производственной деятельности предприятия и не включает повторного счета стоимости одних и тех же изделий внутри предприятия.
Товарная продукция предприятия, или как ее называют в настоящее время, объем продукции (работ, услуг) (ОП) представляет собой показатель, характеризующий продукцию, произведенную для реализации на сторону, т.е. за пределы предприятия. Она может быть определена на основе валовой продукции путем вычитания из последней тех элементов, которые не могут быть реализованы (стоимость изменения остатков незавершенного производства и полуфабрикатов). Объем продукции (ОП) промышленного предприятия определяется по заводскому методу без стоимости внутризаводского оборота, т.е. без стоимости той части выработанных или готовых изделий и полуфабрикатов, которая используется внутри данного предприятия на собственные промышленно-производственные нужды.
Стоимость продукции (работ, услуг) определяется в отпускных ценах предприятия без налога на добавленную стоимость и акциза:
а) в фактических действующих ценах;
б) в фиксированных (сопоставимых) ценах.
Реализованная продукция (РП) - отгруженная покупателям (заказчикам) и оплаченная ими в данном периоде (предъявлены расчетные документы). В реализованную продукцию включается часть стоимости товарной продукции предшествующего периода, оплата за которую произведена в текущем периоде. Поэтому объем реализованной продукции за определенный период может быть больше или меньше объема товарной продукции за этот же период.
Чистая продукция (ЧП) представляет собой стоимость, вновь созданную трудом в той или иной сфере материального производства. В отечественной практике рассчитывается как разность между объемами валовой продукции и материальными (производительными) затратами (МЗ) (сырье, материалы, топливо, энергия, амортизационные отчисления) в ценах конечного потребления (действующих и сопоставимых):
ЧП = ВП – МЗ
В рыночной экономике для характеристик вновь созданной стоимости используется показатель "добавленная стоимость". Чистая продукция отражает вклад предприятия отрасли в создание национального дохода страны. Таким образом, чистая продукция по экономике в целом представляет национальный доход.
Готовой называется продукция, полностью законченная изготовлением в отчетном периоде в рамках данного производственного объекта, в качестве которого могут рассматриваться промышленные и непромышленные предприятия и организации, а также домашними хозяйствами. Готовая продукция, изготовленная из давальческого сырья, включает в себя объем продукции (работ, услуг) по стоимости обработки.
Полуфабрикатом называют продукт, законченный обработкой в одном из цехов промышленного предприятия и подлежащий последующей обработке в других цехах этого же предприятия. При этом общая стоимость полуфабрикатов, отпущенных в данном периоде на сторону (за пределы основной деятельности промышленного предприятия), включается в объем продукции промышленного предприятия наравне с готовыми изделиями.
1.3.4 Показатели оборачиваемости запасов
Оборачиваемость запасов предприятия означает систематическое превращение предметов труда в готовую продукцию, реализацией последней и приобретение новых запасов, необходимых для продолжения процессов производства. Чем быстрее оборачиваются ресурсы, тем меньше их требуется в запасе для обеспечения того же объема выпуска.
Для характеристики использования товарных запасов применяют следующие показатели:
1. Коэффициент оборачиваемости товарных запасов (скорости оборота числа оборотов запаса):
Коб = Р/З
Чем больше оборотов делают материальные ресурсы за отчетный период, т.е. чем выше коэффициент их оборачиваемости, тем меньше требуется ресурсов для образования среднесуточного запаса.
2. Коэффициент закрепления ресурсов:
Кзакр = З/Р
Этот коэффициент - величина, обратного пропорциональная коэффициенту оборачиваемости, а его экономический смысл в том, что он характеризует сумму среднего остатка запасов, приходящихся на один рубль выручки от реализации.
3. Средняя продолжительность оборота в днях (время обращения запасов):
Воб =Д/Коб =Д*Кзакр ,
Ускорение оборачиваемости запаса выражается в сокращении времени одного оборота или в увеличении числа оборотов ресурсов в пределах отчетного периода. В динамике его можно определить вычитанием из показателей отчетного периода соответствующих показателей базисного периода.
4. Количество, высвобожденных из оборота материальных ресурсов вследствие ускорения оборачиваемости , составляет:
Мвысв = (Bi - Во)•а
Мвысв = (Кзакр1 - КзакрО ) • Pi
Коэффициент оборота по своему экономическому содержанию схож с показателем фондоотдачи, а коэффициент закрепления - с показателем фондоемкости.
1.3.5 Показатели статистики поставок и реализации
Поставкой продукции называется отпуск или отправка продукции потребителям предприятиями-изготовителями (отпуск продукции на склады не включается) в натуральном выражении.
Реализованной называется продукция, отгруженная покупателям (заказчикам), выполненные работы и оказанные услуги (в стоимостном выражении), на которые покупателем (заказчиком) предоставлены расчетные документы. После этого продукция считается поставленной и подлежит фактическому учету.
Выполнение договорных обязательствпо поставкам продукции является одним из важнейших показателей для оценки хозяйственной деятельности предприятия. Оценка выполнения обязательств по поставкам производится по объему, срокам, ассортименту и качеству поставляемой продукции, предусмотренной хозяйственными договорами и заказами - нарядами внешнеторговых организаций.
Индекс выполнения договорных поставок по объему исчисляется по формуле:

Общий индекс выполнения договорных поставок по ассортименту будет равен:
1.3.6 Показатели равномерности и частоты поставок
Поставка сырья, материалов и топлива поставщиками производится, как правило, партиями; с интервалом во времени межу очередными поставками. Средняя продолжительность интервалов между поставками материалов за определенный период называется средней частотой поставок. Средняя частота одинаковых поставок измеряется в днях и определяется по следующей формуле:

Важнейшим условием правильной организации материально- технического обеспечения является равномерное и комплексное обеспечение необходимыми средствами производства.
Повышение качества продукции, как правило, равнозначно увеличению ее количества. Например, из поставляемой руды с повышенным содержанием металла производят больше метала и т.д. Необходимое качество продукции устанавливаются ГОСТами, ТУ и другими условиями по договорам. Средняя цена на поставленную продукцию зависит от ее качественного состава.
2 . Расчетная часть
Условие:
Имеются следующие выборочные данные по предприятиям одной из отраслей промышленности региона в отчетном году (выборка 20% - ная механическая), млн. руб.:
Таблица 1
№ предприятия п/п |
Выручка от продажи продукции | Затраты на производство и реализацию продукции |
| 1 | 36,45 | 30,255 |
| 2 | 23,4 | 20,124 |
| 3 | 46,54 | 38,163 |
| 4 | 59,752 | 47,204 |
| 5 | 41,415 | 33,546 |
| 6 | 26,86 | 22,831 |
| 7 | 79,2 | 60,984 |
| 8 | 54,72 | 43,776 |
| 9 | 40,424 | 33,148 |
| 10 | 30,21 | 25,376 |
| 11 | 42,418 | 34,359 |
| 12 | 64,575 | 51,014 |
| 13 | 51,612 | 41,806 |
| 14 | 35,42 | 29,753 |
| 15 | 14,4 | 12,528 |
| 16 | 36,936 | 31,026 |
| 17 | 53,392 | 42,714 |
| 18 | 41 | 33,62 |
| 19 | 55,68 | 43,987 |
| 20 | 18,2 | 15,652 |
| 21 | 31,8 | 26,394 |
| 22 | 39,1204 | 32,539 |
| 23 | 57,128 | 45,702 |
| 24 | 28,44 | 23,89 |
| 25 | 43,344 | 35,542 |
| 26 | 70,72 | 54,454 |
| 27 | 41,832 | 34,302 |
| 28 | 69,345 | 54,089 |
| 29 | 35,903 | 30,159 |
| 30 | 50,22 | 40,678 |
Задание 1
Признак – уровень рентабельности продукции (рассчитайте путем деления прибыли от продаж, т.е. разности между выручкой от продажи продукции и затратами на ее производство и реализацию, на затраты на производство и реализацию продукции).
Число групп – пять.
Задание 2
Связь между признаками – затраты на производство и реализацию продукции и уровень рентабельности продукции.
Задание 3
По результатам выполнения задания 1 с вероятностью 0,997 определите:
1. Ошибку выборки среднего уровня рентабельности организации и границы, в которых будет находиться средний уровень рентабельности в генеральной совокупности;
2. Ошибку выборки доли организаций с уровнем рентабельности продукции 23,9% и более и границы, в которых будет находится генеральная доля.
Задание 4
Выпуск продукции и удельный расход стали по региону, в текущем периоде характеризуется следующими данными:
Таблица 2
| Вид продукции | Фактический выпуск продукции, шт. | Расход стали на единицу продукции, кг | |
| по норме | фактически | ||
| А | 320 | 36 | 38 |
| Б | 250 | 15 | 12 |
| В | 400 | 10 | 9 |
Определите:
1. Индивидуальные индексы выполнения норм расхода стали.
2. Общий индекс выполнения норм расхода стали на весь выпуск продукции.
3. Абсолютную экономию (перерасход) стали.
Решение:
Задание 1.
1. В среде MSExcel рассчитываем уровень рентабельности по формуле, данной в условии задачи:
Уровень рентабельности =
![]()
2. Строим ранжированный ряд данных по уровню рентабельности продукции и сортируем по возрастанию.
Таблица 3
№ предприятия п/п |
Выручка от продажи продукции | Затраты на производство и реализацию продукции | Уровень рентабельности продукции |
| 15 | 14,4 | 12,528 | 14,94 |
| 2 | 23,4 | 20,124 | 16,28 |
| 20 | 18,2 | 15,652 | 16,28 |
| 6 | 26,86 | 22,831 | 17,65 |
| 24 | 28,44 | 23,89 | 19,05 |
| 29 | 35,903 | 30,159 | 19,05 |
| 14 | 35,42 | 29,753 | 19,05 |
| 16 | 36,936 | 31,026 | 19,05 |
| 10 | 30,21 | 25,376 | 19,05 |
| 22 | 39,1204 | 32,539 | 20,23 |
| 1 | 36,45 | 30,255 | 20,48 |
| 21 | 31,8 | 26,394 | 20,48 |
| 9 | 40,424 | 33,148 | 21,95 |
| 3 | 46,54 | 38,163 | 21,95 |
| 18 | 41 | 33,62 | 21,95 |
| 25 | 43,344 | 35,542 | 21,95 |
| 27 | 41,832 | 34,302 | 21,95 |
| 11 | 42,418 | 34,359 | 23,46 |
| 13 | 51,612 | 41,806 | 23,46 |
| 5 | 41,415 | 33,546 | 23,46 |
| 30 | 50,22 | 40,678 | 23,46 |
| 17 | 53,392 | 42,714 | 25,00 |
| 8 | 54,72 | 43,776 | 25,00 |
| 23 | 57,128 | 45,702 | 25,00 |
| 4 | 59,752 | 47,204 | 26,58 |
| 19 | 55,68 | 43,987 | 26,58 |
| 12 | 64,575 | 51,014 | 26,58 |
| 28 | 69,345 | 54,089 | 28,21 |
| 7 | 79,2 | 60,984 | 29,87 |
| 26 | 70,72 | 54,454 | 29,87 |
3. Определяем величину интервала:
=0,029
1 группа: от 0,149 до 0,1788
2 группа: от 0,1788 до 0,2086
3 группа: от 0,2086 до 0,2384
4 группа: от 0,2384 до 0,2682
5 группа: от 0,2682 до 0,298
Для удобства проставим номера групп в таблицу относительно уровня рентабельности.
4. Строим аналитическую таблицу
Таблица 4
| № группы | Группа предприятий | № п/п | Выручка | Затраты | рентабельность |
| 1 | 14,94-17,926 | 15 | 14,4 | 12,528 | 14,94 |
| 2 | 23,4 | 20,124 | 16,28 | ||
| 20 | 18,2 | 15,652 | 16,28 | ||
| 6 | 26,86 | 22,831 | 17,65 | ||
| Итого | 4 | 82,86 | 71,135 | 65,15 | |
| 2 | 17,926-20,912 | 24 | 28,44 | 23,89 | 19,05 |
| 29 | 35,903 | 30,159 | 19,05 | ||
| 14 | 35,42 | 29,753 | 19,05 | ||
| 16 | 36,936 | 31,026 | 19,05 | ||
| 10 | 30,21 | 25,376 | 19,05 | ||
| 22 | 39,1204 | 32,539 | 20,23 | ||
| 1 | 36,45 | 30,255 | 20,48 | ||
| 21 | 31,8 | 26,394 | 20,48 | ||
| Итого | 8 | 274,2794 | 229,392 | 156,42 | |
| 3 | 20,912-23,898 | 9 | 40,424 | 33,148 | 21,95 |
| 3 | 46,54 | 38,163 | 21,95 | ||
| 18 | 41 | 33,62 | 21,95 | ||
| 25 | 43,344 | 35,542 | 21,95 | ||
| 27 | 41,832 | 34,302 | 21,95 | ||
| 11 | 42,418 | 34,359 | 23,46 | ||
| 13 | 51,612 | 41,806 | 23,46 | ||
| 5 | 41,415 | 33,546 | 23,46 | ||
| 30 | 50,22 | 40,678 | 23,46 | ||
| Итого | 9 | 398,805 | 325,164 | 203,58 | |
| 4 | 23,898-26,884 | 17 | 53,392 | 42,714 | 25,00 |
| 8 | 54,72 | 43,776 | 25,00 | ||
| 23 | 57,128 | 45,702 | 25,00 | ||
| 4 | 59,752 | 47,204 | 26,58 | ||
| 19 | 55,68 | 43,987 | 26,58 | ||
| 12 | 64,575 | 51,014 | 26,58 | ||
| Итого | 6 | 345,247 | 274,397 | 154,75 | |
| 5 | 26,884-29,87 | 28 | 69,345 | 54,089 | 28,21 |
| 7 | 79,2 | 60,984 | 29,87 | ||
| 26 | 70,72 | 54,454 | 29,87 | ||
| Итого | 3 | 219,265 | 169,527 | 87,95 | |
| Всего | 30 | 1320,4564 | 1069,615 | 667,84 | |
5 Построим графики полученного ряда распределения. Графически определим значения моды и медианы.
1) Построим гистограмму и определим значение моды (рис.1). Первоначально по наибольшей частоте признака определим модальный интервал. Наибольшее число предприятий – 9 – затрачивают на производство и реализацию продукции сумму в интервале 20,912-23,898 млн.руб., который и является модальным. Для определения значения моды правую вершину модального прямоугольника соединим с верхним правым углом предыдущего прямоугольника, а левую вершину – с верхним левым углом предшествующего. Абсцисса точки пересечения этих прямых будет мода. Мо ≈ 21 млн.руб. – наиболее часто встречающееся значение признака.
Таблица 5
| Ряд распределения по уровню рентабельности | ||||
| № группы | группы | число предприятий | Частота | |
| в абсолютном выражении | в относительных единицах | |||
| 1 | 14,94-17,926 | 4 | 13,33 | 4 |
| 2 | 17,926-20,912 | 8 | 26,66 | 12 |
| 3 | 20,912-23,898 | 9 | 30 | 21 |
| 4 | 23,898-26,884 | 6 | 20 | 27 |
| 5 | 26,884-29,87 | 3 | 10 | 30 |
| Итого | 30 | |||
Найдем медианный интервал, т.е. интервал, накопленная частота которого впервые больше или равна половине всей сумме частот, в данном случае 15.
Интервал 20,912-23,898 является медианным, его нижняя граница равна хн =20,912, е=10,456
Me= хн +е(15+SMe-1 )/mMe Me=20,912+10,456*(15-12)/21=22,4
По полученным данным строим график

Рис. 2. Кумулята распределения предприятий по затратам на производство и реализацию продукции.
Рассчитываем характеристики интервального ряда распределения:
Для этого строим таблицу:
Таблица 6
| № группы | f | xi | xi*f | xi-xср | (xi-xср)2 | (xi-xср)2 *f |
| 1 | 4 | 16,433 | 65,732 | -5,574 | 31,068 | 124,272 |
| 2 | 8 | 19,419 | 155,352 | -2,588 | 6,697 | 53,576 |
| 3 | 9 | 22,405 | 201,645 | 0,398 | 0,159 | 1,427 |
| 4 | 6 | 25,391 | 152,346 | 3,384 | 11,452 | 68,714 |
| 5 | 3 | 28,377 | 85,131 | 6,370 | 40,579 | 121,736 |
| Итого | 30 | 660,206 | 369,725 |
Среднюю арифметическую - х = ∑х*f / ∑f=660,206/30=22%
Дисперсию –

Среднее квадратическое отклонение - s = 3,510
Коэффициент вариации
%
Т.к. V=15,95%, то вариация слабая, совокупность однородная и найденная величина 20,007 является надежной.
6. Рассчитаем среднюю арифметическую затрат на производство и реализацию продукции по исходным данным.
хср = ∑х / n= 667,84 / 30 = 22,28%
Средняя арифметическая, вычисленная по не сгруппированным данным по формуле средней арифметической простой отличается от этого же показателя, но по сгруппированным данным, так как во втором вычислении использовались не исходные данные, а серединные интервалы.
Предприятия достаточно однородны по признаку затраты на производство и реализацию продукции, так как коэффициент вариации равен 15,95%.
Задание 2
Аналитическая группировка. Установим наличие и характер связи между затратами на производство и реализацию продукции и уровнем рентабельности продукции методом аналитической группировки см. табл.4
Для установления наличия и характера связи между затратами и уровнем рентабельности по данным рабочей таблицы строим итоговую таблицу 7.
Таблица 7
| № п/п | Группы предприятий по уровню рентабельности | Число предприятий | Уровень рентабельности, % | Затраты на производство, млн.руб. | ||
| Всего | Средн. уровень рентабельности | Всего | В сред. на 1 предприятие | |||
| А | Б | 1 | 2 | 3 | 4 | 5 |
| I | 14,9-17,9 | 4 | 65,1 | 16,28 | 71,135 | 17,78 |
| II | 17,9-20,9 | 8 | 156,5 | 19,56 | 229,392 | 28,67 |
| III | 20,9-23,9 | 9 | 204,0 | 22,67 | 325,164 | 36,13 |
| IV | 23,9-26,9 | 6 | 154,8 | 25,8 | 274,397 | 45,73 |
| V | 26,9-29,9 | 3 | 88,0 | 29,33 | 169,527 | 56,51 |
| Итого | 30 | 668,4 | 22,28 | 1069,615 | 35,65 | |
Данные табл. 5 показывает, что с ростом затрат на производство, рентабельность продукции увеличивается. Следовательно, между исследуемыми признаками существует прямая корреляционная зависимость.
Рассчитаем коэффициент детерминации и эмпирического отношения.
Коэффициент детерминации рассчитывается по формуле :
,
где
- межгрупповая дисперсия;
- общая дисперсия.


Рассчитаем эмпирическое корреляционное отношение.

![]()
Таким образом, можно сказать, что связь между затратами на производство и реализацию продукции и уровнем рентабельности продукции в рассмотренном примере высокая. Вариация рентабельности продукции на 83,7% обусловлена вариацией затрат на производство и реализацию продукции, а 16,3% обусловлено вариацией других признаков.
Задание 3
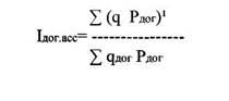
1. По заданным условиям находим ошибку выборки среднего уровня рентабельности организации и границы, в которых будет находиться средний уровень рентабельности в генеральной совокупности.
По формуле
рассчитываем:
![]()
, следовательно, ![]()
17,651≤x≤26,909
С вероятностью 0,997 можно утверждать, что средний уровень рентабельности находится в пределах 17,651≤x≤26,909
2. Находим ошибку выборки доли организаций с уровнем рентабельности продукции 23,9% и более и границы, в которых будет находиться генеральная доля.
По формуле
, где w=m/n рассчитываем:

, следовательно, 30-25,2<=p<=30+25.2
![]()
С вероятностью 0,997 можно утверждать, что генеральная доля будет находиться в пределах ![]()
Задание 4.
Дана таблица:
Таблица 10
| Вид продукции | Факт выпуск продукции, ро | Расход стали на ед. продукции | ![]() |
|
| А | 320 | 36 | 38 | 1,056 |
| Б | 250 | 15 | 12 | 0,8 |
| В | 400 | 10 | 9 | 0,9 |
1. Находим индивидуальные индексы выполнения норм расхода стали:
iq =q2 /q1
где q1 -расход стали на ед. продукции по норме, кг;
q2 -расход стали на ед. продукции фактически,кг.
для продукции А = 38/36 = 1,056;
для продукции Б = 12/15 = 0,8;
для продукции В = 9/10 = 0,9.
2. Находим общий индекс выполнения норм расхода стали на весь выпуск продукции:
![]()
Iq
= ![]()
3. Из п.2. абсолютный перерасход стали = 18760 – 19270 = – 510 кг.
Из п.3 видно, что предприятие фактически расходует на 510 кг. меньше, чем положено по норме.
3. Аналитическая часть
Задача: по данным приложения 1 была проведена 25% механическая выборка регионов по банковским вкладам, привлеченных кредитными организациями в 2008 г., в результате которой получены следующие данные, млн. руб.(таблица 1):
Таблица 1
Выборка регионов
| № | 2008 | |||
| всего | В том числе | |||
| Юридических лиц | Физических лиц | |||
| 1 | Белгородская область | 15341,6 | 1309,5 | 14032,1 |
| 2 | Воронежская область | 20364,7 | 421,4 | 19943,3 |
| 3 | Курская область | 7597,1 | 120,3 | 7476,9 |
| 4 | Рязанская область | 9304,4 | 300,1 | 9004,3. |
| 5 | Тульская область | 12961,7 | 751,6 | 12210,1 |
| 6 | Республика Коми | 13185,5 | 394,1 | 12791,4 |
| 7 | Ленинградская область | 10575,1 | 564,8 | 10010,3 |
| 8 | Кабардино-Балкарская Республика | 2348,5 | 101,0 | 2247,5 |
| 9 | Чеченская Республика | 2159,3 | - | 2159,3 |
| 10 | Волгоградская область | 17540,5 | 1011,9 | 16528.6 |
| 11 | республика Мордовия | 4555,4 | 259,6 | 4295,8 |
| 12 | Кировская область | 9440,6 | 165,5 | 9275,0 |
| 13 | Пермская область | 29798,9 | 3840,8 | 25958,1 |
| 14 | Курганская область | 3951,5 | 108,4 | 3843,1 |
| 15 | Республика Алтай | 597,3 | 25,1 | 572,2 |
| 16 | Алтайский край | 13215,3 | 202,5 | 13012,9 |
| 17 | Новосибирская область | 24017,1 | 2143,5 | 21873,5 |
| 18 | Республика Саха (Якутия) | 10578,9 | 235,6 | 10343,4 |
| 19 | Камчатская область | 5009,6 | 45,9 | 4963,7 |
| 20 | Чукотский автономный округ | 1488,8 | 6,0 | 1482,8 |
Задание:
1 Произвести группировку данных по признаку - общая величина вкладов в регионе, с количеством групп – 5.
2 Определить с вероятностью 0,95:
а) Ошибку выборки среднего размера вкладов, привлеченных кредитными организациями и границы, в которых будет находиться средний размер вкладов в генеральной совокупности.
б) Ошибку выборки доли регионов с величиной вклада менее 6437,62 млн. руб. и границы, в которых будет находиться генеральная доля.
Решение задания.
Так как механическая выборка соответствует случайной бесповторной выборке, воспользуемся формулами, приведенными в теоретической части работы.
Статистические расчеты выполнены с применением прикладных программ обработки электронных таблиц MSExcel в среде Windows.
Проведем группировку регионов по величине вкладов, в количестве 5 групп. Для вычисления величины равного интервала применим формулу:
. После вычислений:
таким образом, группировка регионов будет иметь вид (таблица 1).
Таблица 2 – Группировка регионов по величине вкладов
| № группы | Размер вкладов | Число регионов, f | ||
| I | 597,3 | - | 6437,62 | 7 |
| II | 6437,62 | - | 12277,94 | 5 |
| III | 12277,9 | - | 18118,26 | 5 |
| IV | 18118,3 | - | 23958,58 | 2 |
| V | 23958,6 | - | 29798,9 | 1 |
| ИТОГО | 20 | |||
Расположение на рабочем листе Excel исходных данных и формул
для вычисления средней арифметической и
для вычисления среднеквадратического отклонения представлены в таблице 3.
Таблица 3 - Расчет вычисления с помощью MSExcel

Таблица 4 – Результаты расчетов

Следовательно средний размер вкладов среди регионов составляет 10817,86 млн.руб.
Рассчитаем среднеквадратическое отклонение по формуле:

млн.руб. говорит о том, что в среднем величина вкладов в регионах отличается от среднего значения на 6879,442 млн. руб.
При вычисление ошибки выборки и определение границ среднего размера вкладов в генеральной совокупности воспользуемся формулами:
;
, где
при вероятности 0,95 t=1,96.
По полученным данным
=1538,29, следовательно, предельная ошибка составит
=3015,048.
Таким образом, доверительные интервалы для среднего размера вклада с вероятностью 0,95:
10817,86-3015,048
10817,86+3015,048,
7802,812
13832,908
На основании проведенного выборочного обследования с вероятностью 0,95 можно заключить что средний размер вкладов в регионах лежит в пределах от 7802 до 13832 млн. руб.
Вычисление ошибки выборки доли регионов с величиной вклада менее 6437,62 млн. руб. и границ, в которых будет находиться генеральная доля проведем по формулам:
;
, где
.
Для вероятности P=0,95 t=1,96.
По полученным данным
;![]()
=0,10665; следовательно, предельная ошибка
0,209034. Таким образом, доверительный интервал для доли регионов с вкладами меньше 6437,62
0,559034.
Таким образом, с вероятностью 0,95 можно утверждать, что доля регионов с вкладами меньше 6437,62 в общей численности вкладов находится в пределах от 14,1 % до 55,9%.
Заключение
Мы выяснили, что выборочное наблюдение – это такое несплошное наблюдение, при котором отбор подлежащих обследованию единиц осуществляется в случайном порядке, отобранная часть изучается, а результаты распространяются на всю исходную совокупность. Наблюдение организуется таким образом, что эта часть отобранных единиц в уменьшенном масштабе репрезинтирует (представляет) всю совокупность.
Совокупность из которой производится отбор, называется генеральной, а все ее обобщающие показатели – генеральными.
Совокупность отобранных единиц именуют выборочной совокупностью, и все ее обобщающие показатели – выборочными.
В нашей практической части мы сделали группировку по признаку уровень рентабельности продукции, выбрали пять групп с равными интервалами, определили связь между признаками и рассчитали ошибку выборки среднего уровня, в частности: рентабельность предприятия в генеральной совокупности будет находиться в пределах от 20,54 до 23,98 включая в себя среднюю по выборочной совокупности.
И рассчитав ошибку выборки доли организаций с уровнем рентабельности продукции 23,9% , генеральная доля с вероятностью 0,997 в пределах 0,076≤p≤0,524.
В аналитической части работы на основе статистических данных определены показатели выборочного наблюдения по регионам в зависимости от величины банковских вкладов.
Выборочный метод широко используется в статистической практике для получения экономической информации.
Список используемой литературы
1. Гусаров В.М. Теория статистики. Учебное пособие для ВУЗов: - М.: "Аудит", ЮНИТИ, 1998 – 247 с.
2. Ефимова М.Р, Петрова Е.В. Общая теория статистики: Учебник, 2-ое издание - М.: ИНФРА – М, 2002 – 416 с.
3. Иванова Ю.Н Экономическая статистика: Учебник. – М.: ИНФРА – М, 1998 – 480 с.
4. Ильенкова С.Д. Экономико-статистический анализ: Учебное пособие для ВУЗов. - М.: ЮНИТИ, 2002 – 215 с.
5. Салина В.Н. Статистика Финансов: Учебник – М.: Финансы и статистика, 2000.
6. Симчера В.М. Практикум по статистике: Учебное пособие для ВУЗов. – М.: ЗАО "Финстатинформ", 1999 – 259 с.
7. Шмойлова Р.А. Теория статистики: Учебник 3-е издание. – М.: Финансы и статистика, 2000 – 560 с.
Приложение 1
| Банковские вклады (депозиты) юридических и физических лиц в рублях, привлеченные кредитными организациями, млн. руб. | ||||||
| 2007 | 2008 | |||||
| всего | В том числе | всего | В том числе | |||
| Юридических лиц | Физических лиц | Юридических лиц | Физических лиц | |||
| Российская Федерация | 1212586,7 | 140371,3 | 1072215,3 | 1720345,8 | 240393,5 | 1479952,3 |
| Центральный федеральный округ | 506973,6 | 85612,2 | 421361,4 | 769398,3 | 161082,3 | 608316,0 |
| Белгородская область | 9220,9 | 167,0 | 9054,0 | 15341,6 | 1309,5 | 14032,1 |
| Брянская область | 5230,3 | 133,8 | 5096,5 | 7051,6 | 301,3 | 6750,2 |
| Владимирская область | 8788,3 | 391,9 | 8396,3 | 11527,5 | 235,6 | 11291 |
| Воронежская область | 15744,2 | 289,6 | 15454,6 | 20364,7 | 421,4 | 19943,3 |
| Ивановская область | 4937,0 | 117,3 | 4819,6 | 6755,0 | 160,8 | 6594,3 |
| Калужская область | 5785,5 | 108,7 | 5676,8 | 7741,9 | 80,7 | 7661,2 |
| Костромская область | 3547,6 | 123,7 | 3424,0 | 4655,6 | 133,6 | 4522,0 |
| Курская область | 5740,2 | 93,3 | 5646,9 | 7597,1 | 120,3 | 7476,9 |
| Липецкая область | 7448,2 | 778,6 | 6669,6 | 10723,0 | 1965,2 | 8757,8 |
| Московская область | 49744,0 | 1287,2 | 48456,8 | 69015,7 | 1984,6 | 67031,1 |
| Орловская область | 4061,7 | 73,8 | 3988,0 | 5228,0 | 226,4 | 5001,6 |
| Рязанская область | 6931,8 | 189,8 | 6741,9 | 9304,4 | 300,1 | 9004,3. |
| Смоленская область | 6106,4 | 1093,8 | 5012,6 | 7073,2 | 302,7 | 6770,5 |
| Тамбовская область | 5151,9 | 119,3 | 5032,7 | 6413,0 | 150,0 | 6263,0 |
| Тверская область | 6098,2 | 217,6 | 5880,6 | 7879,0 | 261,5 | 7617,4 |
| Тульская область | 9701,6 | 273,2 | 9428,5 | 12961,7 | 751,6 | 12210,1 |
| Ярославская область | 11363,6 | 1046,1 | 10317,5 | 15807,3 | 441,2 | 15366,1 |
| г. Москва | 341372 | 79107,5 | 262264,6 | 544,0 | 151935,8 | 392022,2 |
| Северо-Западный федеральный округ | 124296,3 | 15492,8 | 108803,6 | 174201,3 | 17872,7 | 156328,6 |
| Республика Карелия | 3600,5 | 88,3 | 3512,2 | 4770,5 | 104,9 | 4665,6 |
| Республика Коми | 10793,3 | 418,5 | 10374,7 | 13185,5 | 394,1 | 12791,4 |
| Архангельская область | 7810,8 | 54,4 | 7756,4 | 10825,7 | 333,3 | 10492,5 |
| Вологодская область | 12385,9 | 2601,1 | 9784,8 | 17727,7 | 4541,3 | 13186,4 |
| Калининградская область | 5903,8 | 469,1 | 5434,7 | 8441,9 | 904,0 | 7537,9 |
| Ленинградская область | 1357,4 | 245,4 | 1112,0 | 10575.1 | 564,8 | 10010,3 |
| Мурманская область | 9284,1 | 136,1 | 9148,0 | 11719,9 | 255,4 | 11464,4 |
| Новгородская область | 3046,0 | 232,2 | 2813,8 | 3983,4 | 306,4 | 3677,0 |
| Псковская область | 2792,1 | 54,8 | 2737,3 | 3527,8 | 74,8 | 3453,0 |
| г. Санкт-Петербург | 67322,4 | 11192,9 | 56129,5 | 89443,8 | 10393,8 | 79050,1 |
| Южный федеральный округ | 95438,6 | 4081,4 | 91357,1 | 126323,2 | 5752,2 | 120571,1 |
| Республика Адыгея | 1474,0 | 4,0 | 1469,9 | 1601,9 | 5,9 | 1596,0 |
| Республика Дагестан | 386,8 | 17,9 | 368,8 | 1947,8 | 157,1 | 1790,7 |
| Республика Ингушетия | 18,0 | 0,0 | 17,9 | 268,0 | - | 268,0 |
| Кабардино-Балкарская Республика | 200,8 | 15,3 | 185,4 | 2348,5 | 101,0 | 2247,5 |
| Республика Калмыкия | 81,9 | 1,5 | 80,4 | 556,4 | 8,7 | 547,6 |
| Карачаево-Черкесская Республика | 108,1 | 6,0 | 102,1 | 997,6 | 13,5 | 984,1 |
| Республика Северная Осетия - Алания | 445,0 | 112,7 | 332,3 | 4599,9 | 65,7 | 4534,3 |
| Чеченская Республика | 219,4 | - | 219,4 | 2159,3 | - | 2159,3 |
| Краснодарский край | 41231,4 | 1802,9 | 30428,5 | 41016,6 | 2564,4 | 38452,2 |
| Ставропольский край | 19760,0 | 237,3 | 19522,7 | 18361,3 | 581,4 | 17779,8 |
| Астраханская область | 5475,5 | 139,2 | 5336,3 | 7276,8 | 261,7 | 7015,0 |
| Волгоградская область | 13949,3 | 806,4 | 13142,8 | 17540,5 | 1011,9 | 16528.6 |
| Ростовская область | 21088,5 | 938,1 | 20150,4 | 27648,7 | 980,7 | 26668,0 |
| Приволжский федеральный округ | 199923,0 | 14320,9 | 185602,1 | 268004,0 | 24626,9 | 243377,1 |
| республика Башкортостан | 21157,8 | 774,1 | 20383,7 | 31683,1 | 4331,6 | 27351,5 |
| республика Марий Эл | 2188,5 | 74,0 | 2114,5 | 2921,0 | 126,4 | 2794,6 |
| республика Мордовия | 3321,0 | 110,5 | 3210,6 | 4555,4 | 259,6 | 4295,8 |
| республика Татарстан | 32020,2 | 5117,2 | 26903,0 | 43956,4 | 7604,4 | 36352,0 |
| Удмуртская Республика | 7812,7 | 224,0 | 7588,7 | 10311,1 | 134,0 | 10177,1 |
| Чувашская Республика | 5144,8 | 117,6 | 5027,2 | 6793,3 | 308,9 | 6484,4 |
| Кировская область | 7271,0 | 105,3 | 7165,7 | 9440,6 | 165,5 | 9275,0 |
| Нижегородская область | 28108,8 | 2238,6 | 25870,2 | 36643,3 | 2912,3 | 33731,0 |
| Оренбургская область | 10466,5 | 321,7 | 10144,8 | 14321,7 | 1247,2 | 13074,5 |
| Пензенская область | 6847,7 | 66,8 | 6780,9 | 8653,2 | 217,9 | 8435,3 |
| Пермская область | 22382,7 | 1965,1 | 20417,7 | 29798,9 | 3840,8 | 25958,1 |
| Самарская область | 30737,2 | 2284,5 | 28452,7 | 40999,1 | 2733,7 | 38265,4 |
| Саратовская область | 15707,4 | 818,8 | 14888,7 | 19703,0 | 626,2 | 19076,8 |
| Ульяновская область | 6756,6 | 102,8 | 6653,8 | 8224,0 | 118,3 | 8105,7 |
| Уральский федеральный округ | 119028,7 | 10837,7 | 108191,0 | 158935,7 | 14432,7 | 144503,0 |
| Курганская область | 2991,8 | 65,1 | 2926,8 | 3951,5 | 108,4 | 3843,1 |
| Свердловская область | 38790,3 | 4128,2 | 34662,1 | 52170,8 | 4965,2 | 47205,6 |
| Тюменская область | 55579,5 | 5504,9 | 50074,6 | 73186,5 | 7817,0 | 65369,4 |
| Челябинская область | 21667,1 | 1139,6 | 20527,4 | 29626,9 | 1542,1 | 28084,8 |
| Сибирский федеральный округ | 115599,1 | 6431,7 | 109167,5 | 153447,6 | 12738,1 | 140709,5 |
| Республика Алтай | 78,5 | 10,5 | 68,0 | 597,3 | 25,1 | 572,2 |
| Республика Бурятия | 3530,4 | 88,5 | 3441,9 | 4799,7 | 209,4 | 4590,3 |
| Республика Тыва | 512,2 | - | 512,2 | 613,0 | 9,3 | 603,8 |
| Республика Хакасия | 2190,7 | 170,3 | 2020,4 | 2595,0 | 86,8 | 2508,3 |
| Алтайский край | 11208,7 | 260,6 | 10948,1 | 13215,3 | 202,5 | 13012,9 |
| Красноярский край | 21398,4 | 748,6 | 20649,8 | 28357,7 | 2354,3 | 26003,4 |
| Иркутская область | 16492,5 | 923,5 | 15569,1 | 20698,9 | 1832,5 | 18866,4 |
| Кемеровская область | 16666,9 | 643,2 | 16023,7 | 25101,9 | 3678,6 | 21423,4 |
| Новосибирская область | 17624,3 | 2047,6 | 15576,7 | 24017,1 | 2143,5 | 21873,5 |
| Омская область | 12217,4 | 357,1 | 11860,2 | 15776,0 | 515,4 | 15260,6 |
| Томская область | 8775,6 | 433,8 | 8341,9 | 11351,0 | 729,4 | 10621,6 |
| Читинская область | 4903,5 | 748,1 | 4155,4 | 6324,7 | 951,4 | 5373,3 |
| Дальневосточный федеральный округ | 51327,2 | 3594,6 | 47732,6 | 70035,7 | 3888,6 | 66147,2 |
| Республика Саха (Якутия) | 8522,7 | 123,4 | 8399,3 | 10578,9 | 235,6 | 10343,4 |
| Приморский край | 15208,9 | 887,3 | 14321,7 | 16627,3 | 1247,8 | 15379,6 |
| Хабаровский край | 13707,2 | 1497,4 | 12209,8 | 18585,7 | 1490,1 | 17095,6 |
| Амурская область | 4464,1 | 401,7 | 4062,4 | 5701,5 | 331,8 | 5369,7 |
| Камчатская область | 1364,9 | 60,8 | 1304,1 | 5009,6 | 45,9 | 4963,7 |
| Магаданская область | 5787,3 | 99,8 | 5687,6 | 3321,3 | 91,9 | 3229,3 |
| Сахалинская область | 1917,0 | 516,1 | 1400,9 | 7798,5 | 431,3 | 7367,2 |
| Еврейская автономная область | 144,8 | 8,4 | 136,4 | 924,2 | 8,3 | 915,9 |
| Чукотский автономный округ | 210,3 | - | 210,3 | 1488,8 | 6,0 | 1482,8 |

