| Скачать .docx |
Курсовая работа: Финансовая оценка и управление проектами энергосбережения
Содержание
Вступление. 2
1 Описание методики финансовой оценки проектов энергоиспользования 4
1.1 Терминология – «проект». 4
1.2 Проектный анализ и цель его выполнения. 5
1.3 Основные вопросы, на которые следует ответить в процессе проведения финансового анализа (финансовой оценки) проекта. 7
1.4 Масштаб проекта. 8
1.5 Сравнительная характеристика проектов в процессе их финансовой оценки 8
1.6 Временной горизонт или время жизни проекта. 9
1.7 Представление о выгодах и затратах проекта. 9
1.8 Критерии, которые используются для принятия решения о реализации проекта или об отказе от него. 10
2 Решение задач в соответствии с вариантом № 3. 13
2.1 Задача 1. 13
2.2 Задача 2. 15
2.3 Задача 3. 16
2.4 Задача 4. 17
2.5 Задача 5. 18
3 Управление и выполнение проекта энергоиспользования «установка теплового насоса для отопления». 22
Выводы.. 30
Список использованой литературы .. 33
Вступ ление
Управление проектами является неотъемлемой частью повседневной деятельности руководителей разного уровня. Даже в организациях, ориентированных на серийное производство, реализация проектов составляет значительную часть деятельности.
Применение методов управления проектами позволяет более обоснованно определять цели инвестиций и оптимально планировать инвестиционную деятельность, более полно учитывать проектные риски, оптимизировать использование имеющихся ресурсов и контролировать исполнение составленного плана, анализировать фактические показатели и вносить своевременную коррекцию в ход работ, накапливать, анализировать и использовать в дальнейшем опыт реализованных проектов.[3]
Все организации хотят работать так, что бы их товары или услуги были предоставлены в нужное время с минимальными затратами и привели бы к максимально возможному удовлетворению потребителя (заказчика). Неудачи в достижении этих целей ведут к негативным последствиям для организации.
Таким образом, система управления проектами является одной из важнейших компонент всей системы управления организацией.[4]
Данная курсовая работа освещает вопросы управления проектами энергоиспользования. Она состоит из трех частей.
В первой части рассматриваются общие вопросы, касающиеся управления проектами, основные термины и понятия, теоретическая часть методики финансовой оценки проектов.
Во второй части курсовой работы приведены решения типовых задач финансовой оценки проектов энергоиспользования, такие как сравнение двух проектов и выбор лучшего из них, расчет внутренней нормы доходности, выбор наиболее целесообразного проекта при ограниченном бюджете, прогнозирование потребления топлива различными методами.
В третьей части рассматривается пример управления и выполнения проекта “установка теплового насоса для отопления и горячего водоснабжения”, а также проводится анализ жизнеспособности данного проекта и ожидаемого уровня доходности.
1. Описание методики финансовой оценки проектов энергоиспользования
1.1 Терминология – «проект»
Существует множество определений понятия «проект». Вот некоторые из них. Проект – «это что-либо, что задумывается или планируется, например, большое предприятие», это временное предприятие, предназначенное для создания уникальных продуктов или услуг. "Временное" означает, что у любого проекта есть начало и завершение, когда достигаются поставленные цели либо возникает понимание, что эти цели не могут быть достигнуты. "Уникальных" означает, что создаваемые продукты или услуги существенно отличаются от других аналогичных продуктов и услуг.[3]
«Проект – уникальная деятельность, предполагающая координированное выполнение взаимосвязанных действий для достижения определенных целей в условиях временных и ресурсных ограничений».
Согласно Википедии «Проект – это уникальная (в отличие от операций) деятельность, имеющая начало и конец во времени (обычно длительностью менее трёх лет), направленная на достижение определённого результата, создание определённого, уникального продукта или услуги.»[7]
Термин проект происходит от латинского слова projectus, что в переводе означает «брошенный вперед»Таким образом, в современном понимании проекты – это то, что изменяет мир: строительство дома или промышленного объекта, программа научно– исследовательских работ, разработка новой техники, создание кинофильма, развитие региона – это все проекты.1.2 Проектный анализ и цель его выполнения
Проектный анализ – это концепция, которая кладется в основу инвестиционных проектов.
В систему Проектного анализа входят:
Технический анализ, т.е. задача определить наиболее эффективные для данного инвестиционного проекта техники и технологии.
Коммерческий анализ (маркетинговый), т.е. анализ рынка сбыта продукции и услуг, которые будут производиться после реализации инвестиционного проекта.
Институциональный анализ, т.е. оценка организационно-правовой, административной, политической среды, в которой будет происходить реализация проекта, и приспособление его к этой среде, а также приспособление самой организационной структуры фирмы к проекту.[5]
Социальный (социально-культурный) анализ, т.е. исследование воздействия проекта на жизнь местных жителей.
Анализ окружающей среды, т.е. выявление и экспертная оценка ущерба, наносимого этим проектом окружающей среде, и предложение способов смягчения или предотвращения этого ущерба.
Финансовый анализ и экономический анализ, т.е. сопоставление затрат и выгод от проекта. Экономический анализ оценивает доходность проекта с точки зрения всего общества (страны). Финансовый же анализ - оценивает ее с позиции фирмы и ее кредитора.[1]
Практика проектного анализа позволяет обобщить опыт разработки проектов и перечислить типовые проекты, если проект кредитуется.
Основные типы инвестиционных проектов, которые встречаются, сводятся к следующим.
1. Замена устаревшего оборудования, как естественный процесс продолжения существующего бизнеса в неизменных масштабах. Обычно подобного рода проекты не требуют очень длительных и многосложных процедур обоснования и принятия решений. Многоальтернативность может появляться в случае, когда существует несколько типов подобного оборудования, и необходимо обосновать преимущества одного из них.
2. Замена оборудования с целью снижения текущих производственных затрат. Целью подобных проектов является использование более совершенного оборудования взамен работающего, но сравнительно менее эффективного оборудования, которое в последнее время подверглось моральному старению. Этот тип проектов предполагает очень детальный анализ выгодности каждого отдельного проекта, т.к. более совершенное в техническом смысле оборудование еще не однозначно более выгодно с финансовой точки зрения.
3. Увеличение выпуска продукции и/или расширение рынка услуг. Данный тип проектов требует очень ответственного решения, которое обычно принимается верхним уровнем управления предприятия. Наиболее детально необходимо анализировать коммерческую выполнимость проекта с аккуратным обоснованием расширения рыночной ниши, а также финансовую эффективность проекта, выясняя, приведет ли увеличение объема реализации к соответствующему росту прибыли.
4. Расширение предприятия с целью выпуска новых продуктов. Этот тип проектов является результатом новых стратегических решений и может затрагивать изменение сущности бизнеса. Все стадии анализа в одинаковой степени важны для проектов данного типа. Особенно следует подчеркнуть, что ошибка, сделанная в ходе проектов данного типа, приводит к наиболее драматическим последствиям для предприятия.
5. Проекты, имеющие экологическую нагрузку. В ходе инвестиционного проектирования экологический анализ является необходимым элементом. Проекты, имеющие экологическую нагрузку, по своей природе всегда связаны с загрязнением окружающей среды, и потому эта часть анализа является критичной. Основная дилемма, которую необходимо решить и обосновать с помощью финансовых критериев — какому из вариантов проекта следовать: (1) использовать более совершенное и дорогостоящее оборудование, увеличивая капитальные издержки, или (2) приобрести менее дорогое оборудование и увеличить текущие издержки.
6. Другие типы проектов, значимость которых в смысле ответственности за принятие решений менее важна.
1.3 Основные вопросы, на которые следует ответить в процессе проведения финансового анализа (финансовой оценки) проекта
Финансовая оценка то часть проектного анализа. Содержание финансовой оценки может быть представлено в виде следующих шести вопросов и ответов на них:
1. Какова цель проекта? Нужно четко и тщательно сформулировать цель, так как это может быть полезным при определении выгод и затрат, а также способа их оценки
2. В каком масштабе оценивать ввыгоды и затраты? При выборе масштаба мы отвечаем на вопрос, выполнять экономическую или финансовую оценку проекта. Для большинства проектов энергосбережения достаточно финансовой оценки – только для предприятия, без экономической оценки – для общества в целом.
3. Какие варианты проектов необходимо сравнивать? При финансовой оценке сравнивают 2-3 и более проектов, которые могут быть независимым, взаимоствязанными, альтернативными и т.д. В основном выполняют оценку до и после внедрения.
4. Каков временной горизонт проекта? В качестве временного горизонта проектов энергосбережения используют срок службы оборудования
5. Что представляют собой выгоды и затраты? Все затраты делят на капитальные и эксплуатационные, выгодами является уменьшение затрат на энергоресурсы. При этом нужно проанализировать, не повысится ли качество продукции, не произойдет ли повышение производительности.
6. Какие критерии могут быть использованы для принятия или отвержения проекта? Основными критериями,которые мы будем рассматривать, являются: срок окупаемости, чистая приведенная стоимость, внутренняя норма рентабельности, индекс рентабельности. [1]
1.4 Масштаб проект а
Как было указано выше, при выборе масштаба мы отвечаем на вопрос, выполнять экономическую или финансовую оценку проекта. Для большинства проектов энергосбережения достаточно финансовой оценки – только для предприятия, без экономической оценки – для общества в целом.
Если оценивать объем проекта, то их можно разделить на малые, средние и большие.
Цель проведения финансовой оценки :
1. Определение наилучших вариантов инвестиций.
2. Оптимизация выгод проекта.
3. Минимизация ринков для инвесторов.
4. Создание условий для последующего анализа результатов проекта. [1]
1.5 Сравнительная характеристика проектов в процессе их финансовой оценки
При финансовой оценке сравнивают 2-3 и более проектов, которые могут быть независимым, взаимоствязанными, альтернативными и т.д. В основном выполняют оценку до и после внедрения.
По альтернативности проекты могут быть:
Альтернативные проекты
Альтернативные по капиталу
Независимые проекты
Взаимозависимые
Взаимодополняющие. [1]
1.6 Временной горизонт или время жизни проект а
Под временем жизни проекта понимают период времени (в годах), в течении которого результаты проекта будут использованы и приносить прибыль
В качестве временного горизонта энергосберегающего проекта используют срок службы оборудования.
Согласно Википедии, жизненный цикл проекта – это последовательность фаз проекта, задаваемая исходя из потребностей управления проектом. [7]
В рамках методологии Института управления проектами (англ. Project Management Institute ) жизненный цикл проекта имеет 5 фаз:
Инициация (англ. Initiating );
Планирование (англ. Planning );
Выполнение (англ. Executing );
Контроль и мониторинг (англ. Controlling and Monitoring ).
1.7 Представление о выгодах и затратах проекта
Одной из составляющих финансовой оценки проекта является определение выгод и затрат. В первую очередь следует определить что именно следует отнеста к выгодам проекта, а что-к затратам. Также прогнозируется движение денежных средств на протяжении времени жизни проекта.
При том важно, чтобы проекты, которые рассмотриваются одновременно были бы согласованы во времени – то есть устанавливается один и тот же «момент начала» («нулевой год»)
Затраты делят на:
Капитальные – приобретение и сооружение объектов.
Эксплуатационные – которые в свою очередь делятся на постоянные и переменные (зарплата, ремонт оборудования, обслуживание, затраты на топливо)
Выгодами проектов энергосбережения является экономия затрат на энергоресурсы. [1]
1.8 Критерии, которые используются для принятия решения о реализации проекта или об отказе от него
В данной курсовой работе мы будем использовать следующие критерии:
· Простой срок окупаемости Ток (пр)
· Динамический срок окупаемости Ток (дин)
· Чистая приведенная стоимость NPV
· Внутренняя норма рентабельности IRR
· Отношение NPV к капитальным затратам
Обычный срок окупаемости-период времени, в течении которого связанный в инвестициях капитал полностью возмещается. Это удовлетворяет условию равенства:

где U – инвестиции
В – выгоды проекта
С – затраты проекта
t – время жизни проекта
Динамический срок окупаемости – период времени необходимый для возмещения инвестиционных вложений дисконтированным денежным потоком, сформированным при реализации проекта. Вычисляется по аналогичной формуле, но с учетом временной стоимости денег, для чего в расчет вводится і – ставка дисконтирования. [1]
Если период окупаемости меньше заранее установленой величины, то проект принимается. При выборе одного из нескольких проектов, принимается тот, у которого срок окупаемости меньше.
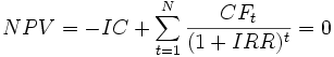
Чистая приведенная стоимость – это сумма дисконтированных значений потока платежей, приведённых к сегодняшнему дню.
, (1.2)
где i — ставка дисконтирования;
IC = − CF 0 – размер начальной инвестиции;
CFt — платёж через t лет (t = 1,...,N )
Если NPV <0, то проект отклоняется. При сравнении нескольких проектовв принимается проект с наибольшим положительным значением NPV.[2]
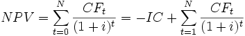
Внутренняя норма доходности — это процентная ставка, при которой чистый дисконтированный доход (NPV) равен 0. NPV рассчитывается на основании потока платежей, дисконтированного к сегодняшнему дню. Иначе говоря, для потока платежей CF , где CFt — платёж через t лет (t = 1,...,N ) и начальной инвестиции в размере IC = − CF 0 внутренняя норма доходности IRR рассчитывается из уравнения:
(1.3)
Если IRR меньше ставки дисконтирования проект отклоняется. При выборе из альернативных проектов принимается проект с наивысшей оценкой.[2]
Отношение NPV к капитальным затратам позволяет сравнивать между собой различные по масштабу проекты. С помощью этого критерия можно определить наиболее целесообразную очередность осуществления проектов на предприятии.
Приведем некоторые расчетные формулы, необходимые для расчета второй части курсовой работы:
CF=выгоды-затраты (1.4)
(1.5)
где r – ставка дисконтирования
t – номер года
IRR= i + x (%) (1.6)
Где х находится из пропорции
Финансовый анализ проекта является наиболее объемным и трудоемким. Но общая схема финансового этапа примерно такова.
Анализ финансового состояния предприятия в течение трех (лучше пяти) предыдущих лет работы.
Анализ финансового состояния предприятия в период подготовки инвестиционного проекта.
Анализ безубыточности производства основных видов продукции.
Прогноз прибылей и денежных потоков в процессе реализации инвестиционного проекта.
Оценка эффективности инвестиционного проекта.
И как итог можно сказать: оценивать новые проекты необходимо комплексно. В этом сложном деле нельзя опираться только на финансовые критерии. Ведь на практике очень часто наиболее эффективными оказываются проекты не наиболее прибыльные и наименее рискованные, а лучше всего вписывающиеся в стратегию фирмы.[4]
2 Решение задач в соответствии с вариантом № 3
2.1 Задача 1
По исходным данным из табл. 2.1, составить потоки денежных средств для двух проектов энергоиспользования. Для каждого из проектов определить:
Ток (пр.) – простой срок окупаемости;
NPV - чистую приведенную стоимость проекта;
Ток (дин.) - динамический срок окупаемости.
Оценив значения полученных критериев, принять один из альтернативных проектов.
Таблица 2.1 Исходные данные для проектов А и Б
| Проект |
Время жизни проекта, лет |
Капитальные затраты, тыс.грн |
Ежегодные эксплуатационные затраты, тыс.грн/год |
Выгоды, тыс.грн/год |
Ставка дисконта, % |
| А |
7 |
12 |
3,5 |
7 |
13 |
| Б |
9 |
18,5 |
4 |
11,5 |
13 |
Решение.
Рассмотрим каждый проект в отдельности. Для этого заполним следующие таблицы, проведя необходимы вычисления по формулам (1.1), (1.2), (1.4), (1.5) из раздела 1
Проект А:
Таблица 2.2 Планирование денежных потоков для проекта А
| Год |
Затраты,тыс. грн/год |
Выгоды,тыс. грн/год |
CF,тыс. грн/год |
Кумулятивный CF,тыс. грн/год |
Ki |
NPV |
Кумулятивный NPV,тыс. грн/год |
|||
| 0 |
12 |
0 |
-12 |
-12 |
1 |
-12 |
-12 |
|||
| 1 |
3,5 |
7,0 |
3,5 |
-8,5 |
0,885 |
3,097 |
-8,9 |
|||
| 2 |
3,5 |
7,0 |
3,5 |
-5 |
0,783 |
2,74 |
-6,16 |
|||
| 3 |
3,5 |
7,0 |
3,5 |
-1,5 |
0,693 |
2,43 |
-3,74 |
|||
| 4 |
3,5 |
7,0 |
3,5 |
2 |
0,613 |
2,15 |
-1,59 |
|||
| 5 |
3,5 |
7,0 |
3,5 |
5,5 |
0,543 |
1,9 |
0,31 |
|||
| 6 |
3,5 |
7,0 |
3,5 |
9 |
0,48 |
1,68 |
2,0 |
|||
| 7 |
3,5 |
7,0 |
3,5 |
12,5 |
0,425 |
1,49 |
3,48 |
|||
| NPVA = |
3,48 |
|||||||||
Ток (пр.) =3 года 1,5 – х мес.
3,5 – 12 мес,
откуда х= 5 мес
Ток (дин.) =4 года 1,59 – х мес.
1,9 – 12 мес,
откуда х= 10 мес
Проект В:
Таблица 2.3 Планирование денежных потоков для проекта В
| Год |
Затраты,тыс. грн/год |
Выгоды,тыс. грн/год |
CF,тыс. грн/год |
Кумулятивный CF,тыс. грн/год |
Ki |
NPV |
Кумулятивный NPV,тыс. грн/год |
| 0 |
-18,5 |
0 |
-18,5 |
-18,5 |
1 |
-18,5 |
-18,5 |
| 1 |
-4 |
11,5 |
7,5 |
-11 |
0,885 |
6,64 |
-11,86 |
| 2 |
-4 |
11,5 |
7,5 |
-3,5 |
0,783 |
5,87 |
-6 |
| 3 |
-4 |
11,5 |
7,5 |
4 |
0,693 |
5,2 |
-0,8 |
| 4 |
-4 |
11,5 |
7,5 |
11,5 |
0,613 |
4,6 |
3,81 |
| 5 |
-4 |
11,5 |
7,5 |
19 |
0,543 |
4,07 |
7,88 |
| 6 |
-4 |
11,5 |
7,5 |
26,5 |
0,48 |
3,6 |
11,48 |
| 7 |
-4 |
11,5 |
7,5 |
34 |
0,425 |
3,19 |
14,67 |
| 8 |
-4 |
11,5 |
7,5 |
41,5 |
0,376 |
2,82 |
17,5 |
| 9 |
-4 |
11,5 |
7,5 |
49 |
0,333 |
2,5 |
20,0 |
| NPVВ = |
20,0 |
Ток (пр.) =2 года 3,5 – х мес.
7,15 – 12 мес,
откуда х= 5 мес
Ток (дин.) =3 года 0,8 – х мес.
4,59 – 12 мес,
откуда х= 2 мес
Выбираем проект В, так как у него сроки окупаемости (простой и динамический) меньше, чем у проекта А, а также NPVВ больше, чем NPVA .
2.2 Задача 2
На основании потоков денежных средств выбранного в Задаче 1 проекта энергоиспользования, определить (аналитически и графически) внутреннюю норму рентабельности данного проекта. Принять решение о возможности реализации этого проекта за счет получения кредита. Если кредитная ставка равна ставке дисконта в табл. 2.1
Зададимся ставкой дисконта і2 =40%
Таблица 2.4 Чистая приведенная стоимость при новой ставке дисконтирования
| Год |
CF,тыс. грн/год |
Ki |
NPV |
| 0 |
-18,5 |
1 |
-18,5 |
| 1 |
7,5 |
0,714286 |
5,357143 |
| 2 |
7,5 |
0,510204 |
3,826531 |
| 3 |
7,5 |
0,364431 |
2,733236 |
| 4 |
7,5 |
0,260308 |
1,952312 |
| 5 |
7,5 |
0,185934 |
1,394508 |
| 6 |
7,5 |
0,13281 |
0,996077 |
| 7 |
7,5 |
0,094865 |
0,711484 |
| 8 |
7,5 |
0,06776 |
0,508203 |
| 9 |
7,5 |
0,0484 |
0,363002 |
| NPVВ2 = |
-0,6575 |

составим пропорцию:
-20,6575 – 27 %
-20 – х %
х= 26,14 %
IRR= 13 %+ 26,14 %=39,14 %
Так как внутренняя норма доходности больше кредитной ставки, проект возможно реализовать за счет кредита.
Изобразим решение графически:

Рисунок 2.1 Определение внутренней нормы рентабельности
2.3 Задача 3
Выработавшая свой ресурс энергетическая установка промышленного предприятия требует замены. Возможны два варианта замены:
· приобретение новой энергетической установки того же типа, что и существующая установка;
· приобретение более энергоэффективной установки.
С технической точки зрения оба варианта замены энергоустановки сопоставимы (одинаковы).
На основании данных, приведенных в табл. 2.5, выбрать наиболее целесообразный с финансовой точки зрения вариант замены вышедшей из строя энергоустановки предприятия.
Таблица 2.5 Исходные данные для Задачи 3
| Срок службы, лет |
Капитальные затраты, тыс.грн |
Ежегодные эксплуатационные расходы, тыс.грн/год |
Ставка дисконта, % |
|
| Установка того же типа |
14 |
82,0 |
12,0 |
13 |
| Энергоэффективная установка |
14 |
88,0 |
12,5 |
13 |
Как видно из условия, при одинаковом сроке службы и равных ставках дисконта, капитальные затраты на внедрение первой установки и ежегодные эксплуатационные затраты на нее меньше, поэтому принимаем проект внедрения новой установки того же типа, что и существующая установка.
2.4 Задача 4
После проведения энергетического аудита на промышленном предприятии были предложены для внедрения ряд независимых проектов энергосбережения, основные показатели которых приведены в таблице 2.6.
Исходя из бюджета, выделенного предприятием для решения задач энергосбережения в текущем году, который составляет 250 тыс.грн., определить возможные с финансовой точки зрения и наиболее целесообразные в этом году проекты.
Таблица 2.6 Исходные данные для Задачи 4
| Проект |
А |
B |
C |
D |
E |
| NPV, тыс. грн |
294 |
195 |
186 |
272 |
85 |
| Капитальные затраты, тыс. грн. |
52 |
79,5 |
95,5 |
97 |
59,5 |
Упорядочим проекты в порядке убывания отношения NPV к капитальным затратам, и посчитаем совокупные капитальные затраты. Результаты сведем в таблицу 2.7
Таблица 2.7 Решение Задачи 4
| Проект |
A |
D |
B |
C |
E |
| Отношение NPV к капитальным затратам |
5,65 |
4,06 |
2,45 |
1,95 |
1,43 |
| капитальные затраты |
52 |
67 |
79,5 |
95,5 |
59,5 |
| совокупные капитальные затраты |
52 |
119 |
198,5 |
294 |
353,5 |
Исходя из бюджета 250 тыс. грн., следует принять три проекта: A, D и B
2.5 Задача 5
По данным о фактическом расходе топлива, приведенном в табл.2.8, определить плановую потребность предприятия в топливе на следующий год. Если выработка тепловой энергии на предприятии в плановом (шестом) году по сравнению с предыдущим увеличится на 10%, а норма удельного расхода топлива равна 170 кг у.т./Гкал.
Задачу решить четырьмя методами:
· Нормативным методом;
· Методом планирования от достигнутого уровня (метод среднего темпа прироста показателя);
· Статическим (вероятностным) методом моделирования (планирование по среднему значению показателя);
· Методом экстерполяции с помощью построения трендовых математических моделей электропотребления.
Решение задачи каждым методом сопроводить необходимыми письменными пояснениями.
Таблица 2.7 Исходные данные для Задачи 5
| год |
1 |
2 |
3 |
4 |
5 |
| Фактический расход топлива на предприятии, т у.т./год |
13,5 |
12,9 |
14,4 |
15,3 |
16,1 |
1.Нормативный метод
Использование этого метода целесообразно в том случае, если нормы удельного расхода технически обоснованы и своевременно пересматриваются при изменении условий производства.
Величина планируемого показателя определяется на основе плана производства продукции за предыдущие года и нормы расхода соответствующих ресурсов.
Впл = Qпл ∙ bн , (2.1)
где Qпл – плановая производительность тепловой энергии, Гкал/год,
bн – норма удельного расхода топлива, кг/Гкал.
Определим выработку тепловой энергии в пятом году:
Определим выработку тепловой энергии в планируемом году(по условию задачи она увеличилась на 10%):
Рассчитаем плановую потребность предприятия в топливе в следующем году:
104,18∙0,17 = 17,71 т у.т./год
2.Метод планирования от достигнутого уровня
Определяем процент изменения расходов топлива в каждом последующем году по сравнению с предыдущим по формуле (2.2):
где Ві – расход топлива в і-том году,
Ві-1 – расход топлива в предыдуще году.
Таблица 2.8 Вычисления ∆ Ві
| ∆ В1 %, |
∆ В2, % |
∆ В3, % |
∆ В4, % |
| -4,44444 |
11,62791 |
6,25 |
5,228758 |
Средний процент изменения расхода топлива за прошедшие 5 лет определим по формуле (2.3):
(2.3)
=4,67 %
Плановый расход топлива определим по формуле (2.4):
(2.4)
![]()
3. Статический метод моделирования
Фактические значения показателя за прошлые периоды можна рассматривать как некоторую выборку случайной величины:
где k – коэффициент, величина которого определяется доверительной вероятностью. Чтобы определить величину k, нужно знать закон распределения величины. В данном случае у нас нормальный закон распределения, значит k = 3.
σв – величина среднеквадратического отклонения.
(2.6)
Вср = 14,44
σв = 1,3
Впл = 14,44±3∙1,3;
Впл
.
4. Метод экстерполяции с помощью построения трендовых математических моделей энергопотребления
Линейная трендовая модель в общем случае имеет вид:
В* = ao + a1 ∙t (2.7)
Впл = a0 + a1 ∙6 (2.8)
Решаем систему уравнений, находим значения ао и а1:
![]()
↔
![]()
Впл = 12,6+6∙0,76=16,72 т у.т./год
Фактически значение планируемого показателя рассматриваются как некоторый динамический ряд. Покажем это графически на рис.2.2

Рисунок 2.2 Линейный тренд потребления топлива
3. Управление и выполнение проекта энергоиспользования «установка теплового насоса для отопления»
Управление проектом - методология организации, планирования, руководства и координации трудовых, финансовых, материально-технических и информационных ресурсов на протяжении проектного цикла, направленная на эффективное достижение его целей путем применения современных методов, техники и технологии управления для достижения определенных в проекте результатов по составу и объему работ, стоимости, срокам, качеству.В функции УП входят: планирование, контроль, анализ, принятие решений, бюджетирование, организация осуществления проекта, мониторинг, оценка, отчетность, экспертиза, проверка и приемка, бухгалтерский и управленческий учет, администрирование.[3]![]() |
Рис.3.1 Процесс управления
Рассмотрим каждый из этих процессов в отдельности.
Планирование . Это исходный пункт в процессе управления. Эта стадия является основой всего проекта.[1] Чтобы обеспечить быстрое продвижение на последующих стадиях, прорабатываются все вопросы, связанные с планированием и организацией, определяется объем работ по проекту, компонуется организация, распределяются ресурсы, подробно планируется деятельность, определяются концепции и устанавливается техническое окружение. Стадия планирования должна быть полностью завершена перед переходом к стадии реализации.
Учитывая высокий темп роста цен на энергоносители и большую зависимость от энергоснабжающей компании, а также ненадежность поставки тепла в холодный период года, можно рассмотреть вариант отопления части помещений административного здания площадью 100 м2 с помощью теплового насоса мощностью 19,4 кВт.
Для этого было принято решение обратиться в фирму, которая занимается продажей тепловых насосов, их монтажом и обслуживанием. До начала отопительного сезона имеется 3 месяца на проведение всех необходимых работ по проектированию и внедрению проекта. За это же время планируется взять кредит в банке на выполнение проекта под 15% годовых в долларах США. А также назначен инженер, отвечающий за выполнение данного проекта.
Организация Под исполнением подразумеваются процессы реализации составленного плана. Исполнение проекта должно регулярно измеряться и анализироваться для того, чтобы выявить отклонения от намеченного плана и оценить их влияние на проект. Регулярное измерение параметров проекта и идентификация возникающих отклонений далее также относится к процессам исполнения и именуется контролем исполнения. Контроль исполнения следует проводить по всем параметрам, входящим в план проекта.
Как и в планировании, процессы исполнения можно подразделить на основные и вспомогательные.
К основным можно отнести сам процесс исполнения плана проекта.
Среди вспомогательных процессов отметим:
· учет исполнения - подготовка и распределение необходимой для участников проекта информации с требуемой периодичностью;
· подтверждение качества - регулярная оценка исполнения проекта с целью подтверждения соответствия принятым стандартам качества;
· подготовка предложений - сбор рекомендаций, отзывов, предложений, заявок и т.д.;
· выбор поставщиков - оценка предложений, выбор поставщиков и подрядчиков и заключение контрактов;
· контроль контрактов - контроль исполнения контрактов поставщиками и подрядчиками;
· развитие команды проекта - повышение квалификации участников команды проекта.
В нашем случае, на стадии планирования, мы определились с тем, что нужен поставщик, который одновременно сможет проводить монтажные и ремонтные работы, так как в этом случае работы легче организовать и легче контролировать.
Взяв кредит в банке, и заплатив поставщику предварительную плату в сумме 10% от сделки, ему предоставили доступ к помещению, где нужно установить необходимое оборудование, а также человека, который ответственный за отопление на предприятии. Остальная сумма денег будет уплачена исполнителю, когда все работы будут окончены и система будет работать отлажено.
Мотивация. Часто эту функцию называют активацией или стимулированием. Она направлена на успешное выполнение составленых планов, но в отличии от организации, путем вовлечения в работу всех необходимых исполнителей.
Для сотрудников органицации-заказчика мотивацией является то, что деньги, сэкономленные на плате за тепло, пойдут на ремонт помещения, а также то, что при успешном выполнении проекта, люди будут работать в более комфортных условиях.
Для организации-исполнителя мотивацией является получение оплаты за работу в полной мере и обеспечение себе хорошей репутации на высококонкурентном рынке поставщиков тепловых насосов.
Контроль . Заключается в сборе фактических данных о ходе работ и сравнении их с плановыми. К сожалению, в управлении проектами можно быть абсолютно уверенным в том, что отклонения между плановыми и фактическими показателями случаются всегда. Поэтому, задачей менеджера является анализ возможного влияния отклонений в выполненных объемах работ на ход реализации проекта в целом и в выработке соответствующих управленческих решений. Например, если отставание от графика выходит за приемлемый уровень отклонения, может быть принято решение об ускорении выполнения определенных критических задач, за счет выделения на них большего объема ресурсов.
Чтобы обобщить вышеизложенную информацию, можно рассмотреть таблицу, где приведены фазы жизненного цикла проекта, и указаны приблизительные цели и задачи, которые нужно решить при разработке и выполнении проекта.[5]
Таблица 3.1 Содержание фаз жизненного цикла проекта
| Прединвестиционная фаза Проекта |
Инвестиционная фаза Проекта |
|||
| Прединвестицион-ные исследования и планирование проекта |
Разработка документации и подготовка к реализации |
Проведение торгов и заключение контрактов |
Реализация проекта |
Завершение проекта |
| 1. Изучение прогнозов |
1. Разработка плана проектно-изыскательских работ |
1. Заключение контрактов |
1. Разработка плана реализации проекта |
1. Пусконаладоч- ные работы |
| 2. Анализ условий для воплощения первоначального замысла, разработка концепции проекта. |
2. Задание на разработку ТЭО и разработка ТЭО. |
2. Договор на поставку оборудования. |
2. Разработка графиков. |
2. Пуск объекта. |
| 3. Предпроектное обоснование инвестиций. |
3. Согласование, экспертиза и утверждение ТЭО. |
3. Договор на подрядные работы. |
3. Выполнение работ. |
3. Демобилизация ресурсов, анализ результатов. |
| 4. Выбор и согласование места размещения. |
4. Выдача задания на проектирование. |
4. Разработка планов. |
4. Мониторинг и контроль. |
4. Эксплуатация. |
| 5. Экологическое обоснование. |
5. Разработка, согласование и утверждение. |
5. Корректировка плана проекта. |
5. Ремонт и развитие производства. |
|
| 6. Экспертиза. |
6. Принятие окончательного решения об инвестировании. |
6. Оплата выполненных работ. |
6. Закрытие проекта, демонтаж оборудования. |
|
Теперь проведем финансовую оценку проекта.Затраты состоят из капитальных и эксплуатационных. Капитальные затраты:
ЗК =15 тыс. долл.
Это комплект оборудования, монтажные работы, настройка и запуск системы
Эксплуатационные затраты на ремонт и обслуживание:
ЗЭ =0,2 тыс. долл/год
Первые пять лет оборудование находится на гарантийном обслуживании. Затрат на заработную плату нет ни до, ни после внедрения проекта. Ежегодные амортизационные отчисления 10% от стоимости оборудования
Аморт.=1,5 тыс долл/год
Выгоды вычисляем как экономию оплаты за отопление.
При отопительном сезоне 4000 часов:
![]()
Время жизни проекта – 20 лет.
Таблица 3.2 Финансовая оценка проекта
| Год |
Затраты,тыс. долл/год |
Выгоды,тыс. долл/год |
CF,тыс. долл/год |
Кумулятивный CF,тыс. долл/год |
Ki |
NPV, тыс. долл/год |
Кумулятивный NPV,тыс. долл/год |
| 0 |
15 |
0 |
-15 |
-15 |
1 |
-15 |
-15 |
| 1 |
1,5 |
5,85 |
4,35 |
-10,65 |
0,869565 |
3,782609 |
-11,2174 |
| 2 |
1,5 |
5,85 |
4,35 |
-6,3 |
0,756144 |
3,289225 |
-7,92817 |
| 3 |
1,5 |
5,85 |
4,35 |
-1,95 |
0,657516 |
2,860196 |
-5,06797 |
| 4 |
1,5 |
5,85 |
4,35 |
2,4 |
0,571753 |
2,487127 |
-2,58084 |
| 5 |
1,5 |
5,85 |
4,35 |
6,75 |
0,497177 |
2,162719 |
-0,41813 |
| 6 |
1,7 |
5,85 |
4,15 |
10,9 |
0,432328 |
1,79416 |
1,376034 |
| 7 |
1,7 |
5,85 |
4,15 |
15,05 |
0,375937 |
1,560139 |
2,936173 |
| 8 |
1,7 |
5,85 |
4,15 |
19,2 |
0,326902 |
1,356642 |
4,292815 |
| 9 |
1,7 |
5,85 |
4,15 |
23,35 |
0,284262 |
1,179689 |
5,472504 |
| 10 |
1,7 |
5,85 |
4,15 |
27,5 |
0,247185 |
1,025817 |
6,498321 |
| 11 |
1,7 |
5,85 |
4,15 |
31,65 |
0,214943 |
0,892014 |
7,390335 |
| 12 |
1,7 |
5,85 |
4,15 |
35,8 |
0,186907 |
0,775665 |
8,166 |
| 13 |
1,7 |
5,85 |
4,15 |
39,95 |
0,162528 |
0,674491 |
8,840491 |
| 14 |
1,7 |
5,85 |
4,15 |
44,1 |
0,141329 |
0,586514 |
9,427005 |
| 15 |
1,7 |
5,85 |
4,15 |
48,25 |
0,122894 |
0,510012 |
9,937017 |
| 16 |
1,7 |
5,85 |
4,15 |
52,4 |
0,106865 |
0,443489 |
10,38051 |
| 17 |
1,7 |
5,85 |
4,15 |
56,55 |
0,092926 |
0,385642 |
10,76615 |
| 18 |
1,7 |
5,85 |
4,15 |
60,7 |
0,080805 |
0,335341 |
11,10149 |
| 19 |
1,7 |
5,85 |
4,15 |
64,85 |
0,070265 |
0,291601 |
11,39309 |
| 20 |
1,7 |
5,85 |
4,15 |
69 |
0,0611 |
0,253566 |
11,64666 |
| NPV= |
11,65 |
Далее воспользуемся формулами из раздела 1:
Ток (пр.) =3 года 1,95 – х мес.
3,95 – 12 мес,
откуда х= 5 мес
Ток (дин.) =5 лет 0,42 – х мес.
1,8 – 12 мес,
откуда х= 3 мес
Для определения внутренней нормы рентабельности примем ставку дисконта 40%.
Таблица 3.3 Расчет IRR
| Год |
CF,тыс. долл/год |
Ki |
NPV, тыс. долл/год |
Ki |
NPV, тыс. долл/год |
| 0 |
-15 |
1 |
-15 |
1 |
-15 |
| 1 |
4,35 |
0,869565 |
3,782609 |
0,714286 |
3,107143 |
| 2 |
4,35 |
0,756144 |
3,289225 |
0,510204 |
2,219388 |
| 3 |
4,35 |
0,657516 |
2,860196 |
0,364431 |
1,585277 |
| 4 |
4,35 |
0,571753 |
2,487127 |
0,260308 |
1,132341 |
| 5 |
4,35 |
0,497177 |
2,162719 |
0,185934 |
0,808815 |
| 6 |
4,15 |
0,432328 |
1,79416 |
0,13281 |
0,551163 |
| 7 |
4,15 |
0,375937 |
1,560139 |
0,094865 |
0,393688 |
| 8 |
4,15 |
0,326902 |
1,356642 |
0,06776 |
0,281206 |
| 9 |
4,15 |
0,284262 |
1,179689 |
0,0484 |
0,200861 |
| 10 |
4,15 |
0,247185 |
1,025817 |
0,034572 |
0,143472 |
| 11 |
4,15 |
0,214943 |
0,892014 |
0,024694 |
0,10248 |
| 12 |
4,15 |
0,186907 |
0,775665 |
0,017639 |
0,0732 |
| 13 |
4,15 |
0,162528 |
0,674491 |
0,012599 |
0,052286 |
| 14 |
4,15 |
0,141329 |
0,586514 |
0,008999 |
0,037347 |
| 15 |
4,15 |
0,122894 |
0,510012 |
0,006428 |
0,026676 |
| 16 |
4,15 |
0,106865 |
0,443489 |
0,004591 |
0,019055 |
| 17 |
4,15 |
0,092926 |
0,385642 |
0,00328 |
0,01361 |
| 18 |
4,15 |
0,080805 |
0,335341 |
0,002343 |
0,009722 |
| 19 |
4,15 |
0,070265 |
0,291601 |
0,001673 |
0,006944 |
| 20 |
4,15 |
0,0611 |
0,253566 |
0,001195 |
0,00496 |
| 11,64666 |
-4,23037 |
і1 =15% NPV1 =11,65 тыс. долл.
i2 =49% NPV2 =-4,23 тыс. долл.
∆i= i2 - i1 =40-15=25%
∆ NPV= NPV2 –NPV1 =-15,88 тыс.долл.
Составим пропорцию:
25% - -15,88
х% - -11,64
х=18,32%
IRR=15% + х=15 + 18,32=33,32%.
Выводы:
Проект имеет очень маленький срок окупаемости по сравнению с его жизненным циклом: простой срок окупаемости меньше четырех лет и динамический срок окупаемости меньше шести лет. NPV проекта составляет 11,69 тыс. долл. Это означает, что проект не только окупится, но и принесет прибыль. Эти показатели финансовой оценки делают данный проект привлекательным для компании и руководство примет решение выполнять проект. Что касается внутренней нормы доходности, цифра 33,32 % показывает максимальную доходность, которую может принести проект, что значит проект можно выполнить за счет любого источника финансирования, такого чтобы ставка дисконта не превышала 33,32%.
В ыводы
Целью любого предпринимателя является получение максимальной прибыли. Знания об управлении проектами и их финансовой оценке помогают осуществить ту цель на практике.
Управление проектами – это искусство руководства и координации трудовых, материальных и иных ресурсов на протяжении жизненного цикла проекта путем применения системы современных методов и техники управления для достижения определенных в проекте результатов по составу и объему работ, стоимости, времени, качеству проекта. За все время, в течение которого применяется технология управления проектами, был разработан ряд методик и инструментов, призванных помочь руководителям проекта.
Для того, чтобы справиться с ограничениями по времени используют методы построения и контроля календарных графиков работ. Для управления финансовыми ограничениями используют методы формирования финансового плана (бюджета) проекта и, по мере, выполнения работ, соблюдение бюджета отслеживается, с тем, чтобы не дать затратам выйти из под контроля. Для выполнения работ требуется их обеспечение ресурсами, и существуют специальные методы управления человеческими и материальными ресурсами.
В данной курсовой работе были рассмотрены следующие теоретические вопросы: терминология «проект», проектный анализ и цель его выполнения, ояновные вопросы, на которые нужно ответить в процессе проведения финансового анализа, масштаб оценки проекта, сравнение проектов или их вариантов между собой в процессе их финансовой оценки, временной горизонт проекта, выгоды и затраты проекта, критерии, которые используются для принятия решений по проекту.
Были решены следующие задачи: сравнение двух проектов с помощью вычисления простого и динамического срока окупаемости, NPV проектов, вычисление внутренней нормы доходности (аналитически и графически), сравнение альтернативных проектов при помощи предельных капитальных затрат и годовых выгод для вычисления денежного потока, определение наиболее целесообразных проектов для выполнения, исходя из ограниченного бюджета, прогнозирование потребления топлива на следующий год различными методами (нормативным, среднего темпа прироста показателей, вероятностным методом планирования, построение трендовой модели).
И в последней части было рассмотрено управление проектом и его выполнение на примере внедрения теплового насоса мощностью 19,4 кВт для отопления части административного здания площадью 100 квадратных метров.
А также была проведена финансовая оценка данного проекта и принято решение о его внедрении. Рассмотренный материал показал, что проект – понятие неоднозначное, а сфера его применения практически неограниченна. К тому же проектная деятельность не только положительно себя зарекомендовала, но и сегодня продолжает развиваться и распространяться довольно хорошими темпами.
Видно также, что более важным понятием является проектная деятельность, а не проект как таковой: ведь без реализации задуманного проект теряет свою ценность. С реализацией проекта связаны непосредственно такие процессы как структуризация проекта и другие действия, являющиеся частью процесса планирования (протекающего в течение всей проектной деятельности).
Среди приёмов и средств, направленных на повышение эффективности действий по достижению целей проекта выделяется и организационный инструментарий управления проектами: сетевые матрицы как более высокий уровень научной разработки сетевых графиков, матрица разделения административных задач управления, информационно-технологическая модель. Приведенный выше материал показывает эффективность применения данных видов организационного инструментария, поскольку их использование позволяет повысить результативность деятельности по достижению поставленных перед командой проекта целей.
Список использованой литератур ы
1. Конспект лекций по курсу «Управление проектами энергоиспользования» Бориченко Е. В.
2. Конспект лекций по курсу «Управленческая экономика в энергетике» Стрелков М. Т.
3. http://orags.narod.ru/manuals/html/ito/ito_51.htm4. http://projectm.narod.ru/publico12.htm5. http://www.01.kiev.ua/
6. http://www.forumhouse.ru
7.http://ru.wikipedia.org/wiki/%D0%9F%D1%80%D0%BE%D0%B5%D0%BA%D1 %82
