| Скачать .docx |
Реферат: Инвестиции предприятия
Содержание
Введение
Теоретические основы реализации инвестиционной политики предприятия
Оценка инвестиционной политики предприятия
Проблемы формирования эффективной инвестиционной политики предприятия
Заключение
Список использованной литературы
Приложение
Введение
Одним из наиболее важных факторов развития экономики являются инвестиции, то есть долгосрочные вложения капитала для создания нового или совершенствования и модернизации действующего производственного аппарата с целью получения прибыли.
Исследование проблемы инвестирования всегда находилось в центре экономической науки. Это обусловлено тем, что инвестиции затрагивают самые глубинные основы хозяйственной деятельности, определяя процесс экономического роста в целом.
Инвестиционный проект употребляется в двух смыслах:
первый - дело, деятельность, мероприятие, предполагающее осуществление комплекса действий, обеспечивающих достижение определенных результатов. Это понятие подменяется близкими по смыслу - "хозяйственное мероприятие", "комплекс работ", "проект". Это синтетический свод технико-экономических документов, в которых обосновывается новое строительство, реконструкция, техническое перевооружение или расширение действующих производственных и других объектов;
второй - система организационно-правовых и расчетно-финансовых документов, необходимых для осуществления действий или описывающих такие действия.
Объектами инвестиций являются строящиеся, реконструируемые, технически перевооружаемые и расширяемые предприятия, здания и другие основные фонды, предназначенные для производства новых видов продукции.
Объекты инвестиций различаются по масштабам проекта, его направленности - коммерческая, социальная, экономическая, связанная с государственными интересами, по характеру цикла создания продукции ресурса и его элементов (стадий) - проектно-конструкторские работы, расширение производства, утилизация отходов.
Инвестиционный процесс опирается на систему проектирования и продукцию этой системы - проекты. При обосновании инвестиционного проекта ведется поиск и отбор новейших достижений научно-технического прогресса, наиболее эффективных, способствующих подъему производства на новую ступень технического развития.
Целью курсовой работы на тему "Инвестиционная политика предприятия" является расчет экономической эффективности реальных инвестиций на техническое перевооружение предприятия, правила выбора инвестиционных проектов. Для этого нам необходимо решить следующие задачи:
изучить теоретические основы реализации инвестиционной политики предприятия;
рассмотреть основные критерии выбора инвестиционной политики предприятия;
изучить проблемы формирования эффективной инвестиционной политики.
Теоретические основы реализации инвестиционной политики предприятия
Инвестиционные процессы - важнейший элемент общественного производства. Без них немыслимо воспроизводство. Это не только замена выбывающих в процессе естественного износа средств труда, но и увеличение мощностей производства, в том числе на более высоком качественном уровне, обеспечение нормальной жизни населения. [1]
Инвестиционная деятельность - процесс, направленный на интенсификацию экономического роста. Увеличение реального капитала общества повышает производственный потенциал экономики. Инвестиции в производство, в новые технологии помогают выжить в жесткой конкурентной борьбе как на внутреннем, так и на внешнем рынке, дают возможность более гибкого регулирования цен на свою продукцию.
Инвестиции играют исключительно важную роль и на микроуровне. На этом уровне они необходимы прежде всего для достижения следующих целей:
расширения и развития производства;
недопущения чрезмерного морального и физического износа основных фондов;
повышения технического уровня производства;
повышения качества и обеспечения конкурентоспособности продукции конкретного предприятия;
осуществления природоохранных мероприятий;
приобретения ценных бумаг и вложения средств в активы других предприятий.
Главными аргументами в пользу необходимости инвестиций являются рост эффективности производства и максимизация прибыли. Инвестиционный процесс с точки зрения движения физических величин представляет собой следующую цепочку явлений:
создание инвестиционных товаров;
процесс освоения новых производственных мощностей;
эксплуатация объекта в нормальном режиме в целях производства товаров (услуг).
Инвестиционный процесс с точки зрения движения финансовых величин представляет собой вложение денежных сумм с целью получения дополнительного дохода. Участниками этого процесса являются:
собственники денег, которые хранят сбережения либо у себя, либо передавая их в доверительное пользование;
инвесторы, которые осуществляют денежные вложения в проекты либо сами, либо обращаясь к финансовым посредникам;
финансовые посредники. [2]
Инвестор принимает решение о вложении средств, исходя из целого ряда факторов. К наиболее важным из них относятся:
1) отрасль промышленности, к которой принадлежит предприятие.
2) эффективность управления компанией.
3) наличие информации о структуре собственности предприятия, его финансовом положении.
4) достаточный уровень прибыльности производственной деятельности по сравнению с торговлей и спекуляциями на финансовом рынке, которые до сего времени обеспечивали весьма быстрый и высокий доход.
При выборе критериев расширения экономической деятельности директора российских предприятий назвали в качестве главных следующие: максимизацию или повышение прибыли (31%), рост заработной платы и прибыли (24%), рост среднего уровня заработной платы (26%), рост объема выпуска продукции (51%), повышение уровня занятости (36%), рост доходов управленческого персонала (24%)), государственные субсидии (2%). [3]
В разработке прогноза, развития и размещения отраслей народного хозяйства важным является поиск наиболее эффективных вариантов удовлетворения потребностей страны или ее регионов в рассматриваемом виде продукции.
Увеличить выпуск продукции на действующих мощностях предприятий в отраслях промышленности за счет рационализации, модернизации техники и интенсификации технологических процессов и более капиталоемких форм воспроизводства - технического перевооружения, реконструкции, расширения действующих предприятий и нового строительства. Все формы имеют разные потенциалы по приросту продукции, объемам и эффективности инвестиций. Чем выше эффективность инвестиций в форму воспроизводства и короче сроки реализации мероприятий. Чем ниже эффективность инвестиций, продолжительнее сроки реализации мероприятий, тем больше прирост продукции, выше потенциал проводимых мероприятий, больше новых принципиальных решений по обновлению продукции.
Техническое перевооружение действующих предприятия требует разработки проектов и смет. Эффективность инвестиций в эти мероприятия выше, чем в новое строительство и расширение, так как пассивная часть фондов остается без изменения, и это дает значительную экономию капитальных вложений.
Расширение действующего предприятия - осуществление по утвержденному в установленном порядке новому проекту строительства, последующих очередей действующих предприятий, дополнительных производственных комплексов и новых производств, расширение существующих цехов основного производственного назначения со строительством новых действующих вспомогательных и обслуживающих производств, хозяйств, коммуникаций на территории действующего предприятия.
Существующие методы оценки эффективности инвестиций разделяют на две основные группы:
простые или статические;
методы дисконтирования.
Привлекательность инвестиционных проектов, включенных в список вариантов инвестиций, оценивается по их эффективности и финансовой состоятельности.
Расчет срока окупаемости инвестиций и вычисление простой нормы прибыли относят к методам оценки эффективности инвестиций.
Статистические методы оценки эффективности инвестиций. Срок окупаемости
Под сроком окупаемости инвестиций понимается ожидаемый период возмещения первоначальных вложений из чистых поступлений. Таким образом, исчисляется тот период времени, за который поступления от оперативной деятельности предприятия покроют затраты на инвестиции. Этот метод прост для расчетов, поэтому он иногда используется как очень грубый метод оценки риска инвестирования.
Данный метод обладает также серьезными недостатками: [4]
выбор нормативного срока окупаемости может быть субъективен;
метод не учитывает доходность проекта за пределами срока окупаемости и не может быть использован для сравнения вариантов проектов с одинаковыми периодами окупаемости, но различными сроками жизни;
метод не годится для оценки проектов, нацеленных на выпуск принципиально новой продукции;
точность расчетов по такому методу в большой степени определяется частотой разбиения срока жизни проекта на интервалы планирования;
"статичность" показателя, невозможность учета временной стоимости денег.
Простая норма прибыли
На основании сравнения инвестором расчетной величины нормы прибыли с минимальным или средним уровнем доходности делается заключение о целесообразности дальнейшего анализа данного инвестиционного проекта.
Преимущества метода простой нормы прибыли:
простота расчетов;
оценки прибыльности проекта.
Недостатки метода:
не учитывается ценность будущих поступлений;
существует большая зависимость от выбранной в качестве ставки сравнения величины чистой прибыли;
расчетная норма прибыли играет роль средней за весь период.
Дисконтированные критерии
Дисконтирование - операция, обратная начислению сложного процента, используемая для приведения будущих стоимостей к настоящему ( текущему) моменту. Позволяет определить текущую стоимость Р (т.е. реальную ценность на данный момент) будущих платежей (поступлений) Рг, осуществляемых через n лет при ставке процента, равной г,
(1)
Критерии, основывающиеся на технике расчета временной ценности денег, называются дисконтированными критериями. В расчетах критериев используется понятие ставки процента, на величину которой влияют три составляющие - инфляция, риск и альтернативная возможность использования денег, которая отражается следующим равенством:
(
2)
где:
г - ставка процента;
1R - темп инфляции;
MRR - минимальная реальная норма прибыли;
RI - коэффициент, учитывающий степень инвестиционного риска, как связанного с неустойчивостью получения дохода от конкретного капиталовложения, так и рыночной конъюнктурой.
В финансовой практике фирм в рыночной экономике для собственного капитала ставка процента (или норма дисконта) определяется исходя из депозитного процента по вкладам. В случае, когда весь капитал является заемным, ставка процента представляет собой соответствующую процентную ставку, определяемую условиями процентных выплат и погашений по займам. В качестве ее приближенного значения могут быть использованы существующие усредненные процентные ставки по долгосрочным банковским кредитам.
В практике инвестиционного проектирования в настоящее время наиболее употребимы следующие дисконтированные критерии оценки эффективности проектов:
1. Чистая текущая ценность NPV (net present value) или чистая современная стоимость.
2. Индекс рентабельности (прибыльности) PI (Profitability index).
3. Отношение выгод к затратам B/Cmti (benefit to cost ratio).
4. Внутренняя норма доходности проекта IRR (internal rate of return).
5. Период окупаемости РВР (payback period).
Введем дополнительные обозначения:
Bt - выгоды проекта в год t;
Ct - затраты проекта в год t;
t = 1,..., n - годы жизни проекта.
Рассчитаем перечисленные критерии.
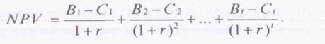
Чистая текущая ценность (NPV) - дисконтированный показатель ценности проекта, определяется как сумма дисконтированных значений нетто-поступлений, получаемых в каждом году в течение срока жизни проекта. Любой проект, дающий положительное значение NPV при выбранной ставке дисконтирования (обычно принимается равной альтернативной стоимости капитала) является приемлемым. NPV является наиболее широко используемым показателем для выбора из сравниваемых взаимоисключающих проектов.
Чистая текущая ценность: [5]
(5)
Отрицательное значение NPV свидетельствует о неэффективности использования денежных средств: норма доходности меньше необходимой.
Для расчета NPV ясно, что абсолютное значение чистой текущей ценности (NPV) зависит от двух видов параметров. Первый - характеризует инвестиционный процесс объективно, он определяется производственным процессом. Ко второму виду следует отнести параметр - ставку процента.
Например, проанализируем зависимость NPV от ставки г для случая, когда вложения осуществляются в начале процесса, а отдача - равномерная. Когда процентная ставка достигает некоторого значения г, эффект инвестиций оказывается нулевым. Любая ставка, меньше чем г*, соответствует положительному значению NPV (рис.1).
При высоком уровне ставки процента отдаленные платежи оказывают малое влияние на NPV. Поэтому различные по продолжительности периодов отдачи варианты могут оказаться равноценными по конечному экономическому эффекту. Поэтому при всех прочих равных условиях проект с более длительным периодом поступлений доходов предпочтительней.
Индекс рентабельности (прибыльности), PI показывает относительную прибыльность проекта или дисконтированную стоимость денежных поступлений от проекта в расчете на единицу вложений. Исследователи проектов используют различные подходы к его исчислению. Одни - рассчитывают PI делением чистой текущей ценности от проекта на стоимость первоначальных вложений, т.е.
(6)
где NPV - чистая текущая ценность проекта; Со - первоначальные затраты. В этом случае критерий принятия решения аналогичен решению, основанному на NPV, т.е. PI > 0.
Рис.1

Проекты с большим значением индекса прибыльности являются более устойчивыми, но очень большие значения индекс прибыльности не всегда соответствует высокому значению NPV и наоборот, т.к имеющие высокую чистую текущую ценность проекты не обязательно эффективны, и, следовательно, имеют небольшой индекс прибыльности.
Отношение выгоды/затраты или прибыли/издержки является частным от деления дисконтированного потока (суммы) выгод на дисконтированный поток затрат и рассчитывается по формуле:
(7)
Этот критерий является частным случаем критерия индекса прибыльности. Если отношение B/Cratio больше единицы, то доходность проекта выше, чем минимально требуемая, и проект считается привлекательным[6] .
Отношение (выгоды/затраты) показывает, насколько можно увеличить затраты, чтобы не превратить проект в финансово непривлекательное предприятие. Например, расчетное значение критерия, равное 1,05, показывает, что при росте затрат более чем на 5% значение критерия упадет ниже точки "безубыточности", в которой совокупные проектные доходы равны суммарным расходам (1,00).
На графике (рис.1) видно, что г есть IRR. Если капиталовложения осуществляются только за счет привлеченных средств, причем кредит получен по ставке I, то разность (г* - i) показывает эффект инвестиционной (предпринимательской) деятельности. При г* = i доход только окупает инвестиции (инвестиции бесприбыльны), при г* < I инвестиции убыточны.

Рис.3. Влияние издержек на доходы от проекта
Внутренняя норма доходности проектов, принятых для финансирования, варьируется в зависимости от отрасли экономики и от формы собственности, т.е. от того, является ли проект частным или государственным предприятием. В основе вариантности лежит, во-первых, различные степени риска, во-вторых, частные инвесторы, как правило, преследуют только свои интересы при выборе объекта для инвестирования и требуют гораздо большего уровня нормы прибыли, чем государство, решающее социальные задачи.
Внутреннюю норму прибыльности иногда рассматривают как предельный уровень доходности инвестиций, что может быть критерием целесообразности дополнительных вложений в проект.
К достоинствам этого критерия можно отнести объективность, независимость от абсолютного размера инвестиций, оценку относительной прибыльности проекта, информативность. Кроме того, он легко может быть приспособлен для сравнения проектов с различными уровнями риска: проекты с большим уровнем риска должны иметь большую внутреннюю норму доходности. Но у него есть и недостатки: сложность расчетов и возможная субъективность выбора нормативной доходности, большая зависимость от точности оценки будущих денежных потоков.
Период окупаемости - это критерий аналогичен критерию срока окупаемости, но использует дисконтированные значения затрат и выгод, т.е. под периодом окупаемости (РВР) понимается тот период времени, за который поток дисконтированных проектных доходов станет равным дисконтированному потоку затрат. Поэтому значение критерия не должно превышать срока жизни проекта[7] .
Критерии NPV, IRR и PI являются фактически разными версиями одной и той же концепции, и поэтому их результаты связаны друг с другом.
Таким образом, можно ожидать выполнения следующих математических соотношений для одного проекта:
если NPV > 0, то PI > 1, IRR > г;
если NPV < 0, то РК 1, IRR < г;
если NPV = 0, то PI = 1, IRR = г,
где г - требуемая норма доходности (альтернативная стоимость капитала).
При работе по указанным критериям у аналитиков иногда возникают некоторые проблемы, решение которых лежит вне инструментария расчетов[8] , например:
а) для вычисления NPV и РВР необходимо заранее определить размер процентной ставки;
б) знак некоторых денежных потоков может меняться более чем один раз, и тогда такой денежный поток может иметь вид графика, представленного на рис.4.
Например, для данного проекта существует несколько значений г*, при которых NPV = 0, что усложняет сравнение i*, r2 *, г3 * и т.д. с банковской учетной ставкой; в подобных случаях проектный аналитик в качестве значения критерия IRR для принятия инвестиционного решения предлагает использовать наименьшее значение из всего полученного ряда;

Рис.4. Зависимость NPV от ставки процента при значениях IRR
в) в процессе расчетов NPV для альтернативных проектов необходимо дисконтировать строго к одному и тому же моменту времени.
Кроме того, встает вопрос о необходимости "человеко-машинного" способа принятия решения в отношении альтернативных проектов. Эксперт должен четко представлять возможные последствия принимаемых им решений.
Оценка инвестиционной политики предприятия
ОАО Канашский завод "Стройтехника" предполагает производить электротехническую технику, а именно трансформаторы сварочные.
Главной целью настоящего бизнеса является получение прибыли за счет производства и реализации конкурентоспособной продукции.
Реализация бизнес-плана позволит решить следующие задачи:
Удовлетворить потребности рынка в данной электротехнической технике.
Создать новые источники получения прибыли за счет диверсификации предприятия.
Обеспечить загруженность производственных мощностей.
Результатом прогноза должно быть доказано, что выпуск необходимой продукции требует расширения производства за счет форм воспроизводства основных фондов технического перевооружения, реконструкции, которые позволят удовлетворить потребности страны региона.
Инвестиционный проект (ИП) - обоснование экономической целесообразности, объема и сроков осуществления капитальных вложений, в том числе необходимая проектно-сметная документация, разработанная в соответствии с законодательством РФ и утвержденными в установленном порядке стандартами (нормами и правилами), а также описанием практических действий по осуществлению инвестиций (бизнес-план). Это официальная трактовка, которая определяет государственное понимание термина инвестиционный проект[9] . Однако некоторые экономисты придерживаются другого мнения.
Как и любой вид анализа, анализ эффективности инвестиционного проекта имеет определенные цели и задачи. Говоря о целях анализа эффективности состоятельности, следует заметить, что основной целью анализа является принятие решения о реализации инвестиционного проекта. Кроме того, может быть выделена такая стратегическая цель анализа эффективности, как улучшение экономического состояния государства, которое выбирает для реализации наиболее эффективные проекты.
В ходе анализа эффективности инвестиционного проекта финансовой службой предприятия должны быть решены следующие задачи[10] :
1. Проведение агрегированного анализа проектных решений и создание необходимых условий для поиска инвесторов.
2. Разработка схемы финансирования проекта.
3. Обеспечение максимизации прибыли от реализации инвестиционного проекта.
Если для реализации проекта требуются заемные средства, то анализ эффективности инвестиционного проекта может быть проведен кредитными организациями и другими инвесторами. В этом случае задачами анализа инвестиционного проекта будут являться:
1) анализ соответствия объема средств, запрашиваемых предприятием, тому объему заемных средств, который реально необходим для обеспечения эффективности проекта;
2) минимизация риска, связанного с инвестированием средств в проект;
3) выбор проекта, наиболее отвечающего интересам кредитора.
Целью настоящей работы является анализ предполагаемого производства продукции и обоснование решений стратегического планирования ОАО "Стройтехника".
На рынке ощущается недостаток этой продукции.
Необходимые инвестиции для организации серийного производства электрической техники, указанного вида составляют 709.1 тыс. руб., в том числе средства инвестора в размере 222.2 тыс. руб.
Ежегодный объем прибыли после выхода на планируемый объем продаж (2008 год) составит 611.1 тыс. руб.
Инвестором является КБ "Ульяновск", который имеет непосредственные интересы в успешной деятельности ОАО "Стройтехника", так как участвует в его уставном капитале.
Инвестиционный кредит является льготным (процентная ставка составляет 11.7% годовых). Срок его погашения при работе предприятия по запланированному графику - 25 месяцев.
Источником погашения кредита и процентов по нему является прибыль от производства указанной техники, причем погашение процентов по кредиту начинается через 6 месяцев после начала инвестирования.
Участие инвестора в уставном капитале предприятия и получение процентов позволит ему получить к 2010 году доход равный 274.1 тыс. руб.
Обеспечением заемщика под предоставляемый кредит является залог имущества предприятия и прибыль, получаемая от всех направлений финансово-хозяйственной деятельности.
Канашский авторемонтный завод организован решением Чувашского Совнархоза 5 мая 1961 года на базе моторно-ремонтного цеха завода автозапчастей (в бывшей МТС) производственной площадью всех крытых зданий 2526 кв. м при наличии металлорежущего оборудования 25 единиц.
Валовой объем продукции за 1961 год составил 220 тыс. руб. Завод производил капитальный ремонт автомобилей ГАЗ-51 и ЗИС-5.
Численность промышленно-производственного персонала составляла 105 человек, средняя зарплата одного работающего - 71 руб. в месяц.
В 1963 году завод приступил к ремонту новой марки автомобилей ЗИЛ-585 и их агрегатов.
В 1964 году во исполнение Постановления Совета Министров РСФСР № 271 от 8 марта 1962 года был заложен первый кирпич по строительству главного корпуса авторемонтного цеха и начато строительство 64-х квартирного жилого дома. С 1964 года завод стал работать рентабельно.
Постановлением главы Канашской городской администрации № 340 от
19.07.1993 г. в соответствии с Указом Президента Российской Федерации "Об организационных мерах по преобразованию государственных предприятий, добровольных объединений государственных предприятий в акционерное общество от 1 июля 1992 года № 741 зарегистрировано Акционерное общество открытого типа "Стройтехника".
В соответствии с Уставом основными видами деятельности акционерного общества являются: производство прицепов, полуприцепов для перевозки строительных железобетонных изделий, сыпучих грузов, машин и механизмов; производство нестандартных металлоконструкций; капитальный ремонт автомобилей, двигателей, агрегатов ЗИЛ-130, МАЗ-555; производство товаров народного потребления: банки под краски 3-х литровые, банки под крем для обуви, оказание платных услуг населению.
Высшим органом управления обществом является собрание акционеров. На основании решения общего собрания акционеров завода "Стройтехника" и постановлением главы Канашской городской администрации 27 июня 2002 года зарегистрирован Устав открытого акционерного общества Канашский завод "Стройтехника" в новой редакции.
Документы акционерного общества открытого типа и открытого
акционерного общества "Стройтехника" подверглись научно-технической обработке в июле 1999 года.
Основной целью общества является получение прибыли.
Основными видами деятельности являются:
Производство прицепов, полуприцепов для перевозки строительных железобетонных изделий, сыпучих грузов, машин и механизмов, в том числе прицепов-тяжеловозов ИН-6006, У-4005, прицепов самосвальных С-0806, полуприцепов-панелевозов ПП-1307, полуприцепов-самосвальных ПС-1411А, производство нестандартных металлоконструкций; оказание платных услуг населению.
На заводе имеется 5 основных участков по сборке прицепов и полуприцепов:
участок по сборке прицепов и полуприцепов-тяжеловозов грузоподъемностью до 75 т;
участок по изготовлению самосвальных прицепов и полуприцепов;
участок по изготовлению полуприцепов-площадок;
участок по изготовлению полуприцепов-панелевозов;
участок по сборке осей с колесами и тормозами ЗИЛ, КАМАЗ, МАЗ.
Каждый участок кроме своей основной продукции может выпускать и другую продукцию, как фургоны, контейнера, прицепы-роспуски.
Конкурентными преимуществами продукции предприятия по отношению к аналогичной продукции других производителей является удобное географическое расположение завода, повышенная прочность, надежность (особенно ходовой части), допуски незначительных перегрузок, модифицируемость.
Географическое местоположение, занимаемое предприятием, обуславливает охват рынка практически на всей европейской части России, также Уральский и Сибирский регионы за счет новых видов продукции, шалогов которой не производят конкуренты (модернизированный автовоз нa 8 автомобилей ВАЗ, полуприцепы с гидравлическими трапами, низкорамные прицепы).
Таким образом, в 2003 году складывается благоприятная обстановка для производства электротехническую технику, а именно трансформаторы сварочные, на существующих мощностях ОАО "Стройтехника" г. Канаша без увеличения производственных фондов и при сложившемся уровне трудовых ресурсов. Этот вывод подтверждается сформированной программой производства на 2008 год и регионами потребителей продукции ОАО "Стройтехника".
Формирование рыночных отношений предполагает конкурентную борьбу между различными товаропроизводителями, победить в которой могут те из них, кто наиболее эффективно использует все виды имеющихся ресурсов.
Условия перехода к рыночной экономике побуждают трудовые коллективы к постепенному поиску резервов повышения эффективности использования всех материально-вещественных факторов производства, в том числе и основных фондов.
Более полное и рациональное использование основных фондов и производственных мощностей предприятия способствует улучшению всех eгo технико-экономических показателей: росту производительности труда, повышению фондоотдачи, увеличению выпуска продукции, снижению ее себестоимости.
Кроме основных производственных участков на заводе имеются следующие технологические производства:
Механообработки;
заготовительный;
Сварочное;
Гальваническое;
Прессовки;
Электроизмерительное;
Окраски;
Транспортный;
Сборочное.
Стоимость основных производственных фондов составляет 22327 тыс. руб., со средним износом 42%. Общее количество оборудования 257 единиц. Списочная численность рабочего и обслуживающего персонала 114 чел.
Предприятие имеет удобно расположенные железнодорожные пути, необходимые энергетические ресурсы, а также квалифицированные инженерные и рабочие кадры.
Характеристика продукции:
Однофазные, однопостовые сварочные трансформаторы предназначены для ручной дуговой сварки покрытыми металлическими электродами. Имеют падающие внешние характеристики.

ТДЭ-20-01 ТДМ-30-00/26[11] [8] ТДМ-50-02
Рис.1 Внешний вид трансформаторов сварочных.
| Тип трансформатора |
Способ регулирования тока |
Способ передвижения |
| ТДЭ-20-01 |
Электрический |
Переносной |
| ТДМ-30-00 |
Механический |
Передвижной |
| ТДМ-50-02 |
Электромеханический |
Передвижной |
Основные параметры трансформаторов
| Тип трансформатора |
Номинальный сварочный ток, А |
Номинальное рабочее напряжение, В |
Минимальный сварочный ток, А |
Минимальное рабочее напряжение. В |
Номинальный режим работы, ПН% |
| ТДЭ-20-01 |
200±10% |
28±10% |
90±10% |
22,8±10% |
Не менее 20 |
| ТДМ-30-00 |
300±10% |
42±10% |
120±10% |
22,4±10% |
60 |
| ТДМ-30-26 |
300±10% |
42±10% |
120±10% |
22,4±10% |
65 |
| ТДМ-50-02 |
500±10% |
60±10% |
250±10% |
24±10% |
60 |
ПН - перемежающийся режим работы при цикле 5 мин. без отключения первичной обмотки трансформатора от сети во время паузы.
Габаритные размеры, вес
| Тип трансформатора |
Длина, мм |
Ширина, мм |
Высота, мм |
Вес, кг |
| ТДЭ-20-01 |
390 |
230 |
500 |
50 |
| ТДМ-30-26 |
900 |
540 |
950 |
120 |
| ТДМ-30-00 |
900 |
540 |
950 |
120 |
| ТДМ-50-02 |
620 |
550 |
950 |
200 |
По сравнению с зарубежными аналогами основными преимуществами являются:
Низкая цена;
Адаптированность к российским электрическим сетям;
Надежность и простота эксплуатации.
Проведенные маркетинговые исследования по предлагаемой продукции свидетельствуют о существовании значительного объема спроса на сварочные трансформаторы.
Потенциальными потребителями являются строительные фирмы и физические лица.
Спрос на данную продукцию стабилен, так как сварка является важнейшим компонентом технологического процесса строительства.
В настоящее время ведутся переговоры и подписаны предварительные договоры на поставку этой техники строительным компаниям.
Основными конкурентами являются зарубежные поставщики из Москвы и московской области и Ростова и Ростовской области, однако, ввиду очень высокой цены на их продукцию не следует ожидать какой-либо серьезной конкурентной борьбы; а также поставщики из г. Лермонтов (завод “Микроом”), которые составляют конкуренцию.
Маркетинговой службой предприятия выявлена потенциальная потребность рынка на период до 2010г. Сегментация рынка этой электрической техники проведена по географическому признаку.
Маркетинговые исследования, проведенные по этому рынку, свидетельствуют о том, что рынок является олигополистическим, и при существующем уровне цен и качественных параметрах продукции ОАО "Стройтехника" вполне может стать лидирующим предприятием в этой области.
Перспективы развития рынка электротехнических изделий позволяют прогнозировать увеличение объемов продаж и соответствующую загрузку производственных мощностей предприятия.
Данная электрическая техника прошла этап экспериментального освоения и отработки технологии на предприятии. Трудности в освоении технологии практически отсутствуют. Сопоставление возможного объема продаж с производственными возможностями предприятия позволяет спрогнозировать объемы производства и реализации продукции на период до 2011 года.
Это состояние проиллюстрировано табл.2.
Трудоемкость изготовления электрической техники по видам работ представлена в табл.3.
Производство данной электрической техники организуется на действующих производственных площадях ОАО "Крон" с использованием существующего оборудования. Однако для серийного производства необходимы затраты на приобретение дополнительного оборудования и оборотных средств, на техническую подготовку производства и его частичную реконструкцию. Потребность в этих средствах указана в табл.4.
Потребность в материальных ресурсах, с указанием основных поставщиков представлена в табл.5.
Производство новых видов электрической техники не повлечет за собой дополнительного набора персонала и рабочих кадров и их обучения, а требуется лишь определенная перестановка работников.
Смета расходов на производство электрической техники представлена в табл.6.
Калькуляция по видам предлагаемой электрической техники представлена в табл.7.
Необходимые размеры инвестиций связаны с освоением нового производства и новых технологий. В связи с этим требуется проведение реконструкции и технического перевооружения ряда производств.
Для этого необходимо следующее:
Приобретение оборудования;
Строительно-монтажные работы, связанные с монтажом и демонтажем оборудования;
Необходимые проектно-конструкторские работы;
Технологическая подготовка производства;
Общая потребность в инвестициях составляет на период 2008-2011 г. г.709.1 тыс. руб., в том числе в 2008 г. - 271.27 тыс. руб.
Инвестором выступает КБ "Ульяновск"
Инвестиции представляются инвестиционным кредитом и участием КБ "Ульяновск" в уставном капитале ОАО "Стройтехника".
Структура инвестиционных издержек представлена в табл.8.
Наибольших вложений потребует пополнение оборотных средств, так как на предприятие испытывает недостаток собственных оборотных средств.
Источниками финансирования являются:
Средства инвестора в размере 222.22 тыс. руб. с финансированием во 2 квартале 1999 года;
Собственные средства предприятия в общей сумме
486.88 тыс. руб. (за счет реинвестирования части прибыли и амортизационных отчислений).
Общая схема финансирования представлена на табл.9.
В течение первых двух лет (2008-2009г. г) всю чистую прибыль предприятия предполагается направить на развитие производственных мощностей и пополнение оборотных средств. В 2009 г. предусматривается начало погашения кредита и выплата гарантированных дивидендов инвестору. С 2008 года начисление дивидендов предусматривается всем участникам проекта. Возвратить кредит планируется в конце 2011 года. При этом инвестор получит доход в виде процентов в сумме 48.08 тыс. руб. и гарантированный доход в виде дивидендов в сумме 101.08 тыс. руб. Кроме того, участие в прибыли 2011 года позволит получить еще 125 тыс. руб. Таким образом, инвестор получит доход в недисконтированных оценках равный 274.16 тыс. руб.
Обеспечением по кредиту являются:
Залог имущества предприятия;
Участие кредитора в уставном капитале предприятия;
Прибыль, получаемая предприятием (в том числе и от других бизнес - линий).
План маркетинговых действий включает комплекс действий, включая товарную, ценовую, сбытовую и сервисную политику и стратегию.
Товарная политика ОАО "Стройтехника" предполагает обеспечение широкого ассортимента различных модификаций предлагаемых моделей трансформаторов и гибкое приспособление к рыночным условиям.
Товарная стратегия предприятия предусматривает:
Создание различных модификаций данной электрической техники по ограниченному набору базовых моделей;
Учет требований потребителя к характеристикам предлагаемой техники;
Различную комплектацию при поставке;
Постоянное улучшение электротехнических показателей и эксплуатационных характеристик.
Ценовая политика по электрической технике увязана с общими целями предприятия и включает формирование кратко - и долгосрочных целей на базе издержек производства и спроса на продукцию, а также цен конкурентов.
Ценовая стратегия должна базироваться на товарной политике и предполагает:
Использование механизма гибких цен в зависимости от модификации и комплектации электрической техники;
Хорошее качество при ценах ниже зарубежных аналогов;
Разработку системы льгот и скидок в зависимости от условий поставки.
В основе стратегии ценообразования лежит метод средних затрат, который предусматривает установление рыночной цены исходя из издержек производства при загрузке производственных мощностей (80%) и прогнозируемом уровне прибыли, сопоставимым со средней учетной ставкой.
Сбытовая политика ОАО "Стройтехника" ориентирована на формирование и стимулирование спроса на продукцию.
Сбытовая стратегия заключается в:
Создании и регулировании коммерческих связей;
Рекламной деятельности в различных формах;
Участии в выставках и ярмарках и презентации демонстрационных образцов.
Сервисная политика предприятия предполагает пред - и после продажный сервис.
Предпродажный сервис ориентирован на постоянное изучение, анализ и учет требований заказчиков с целью совершенствования изделий.
Послепродажный сервис предусматривает комплекс работ по гарантийному и послегарантийному обслуживанию (ремонт, поставка запасных частей, обучение персонала и т.д.). Гарантийный срок на эту технику составляет 1 год, что превышает соответствующие мировые стандарты.
Потенциальные риски ОАО "Стройтехника" представлены производственными рисками, коммерческими рисками, финансовыми рисками и рисками, связанными с форс-мажорными обстоятельствами.
Производственные риски связаны с различными нарушениями в производственном процессе или в процессе поставок сырья, материалов и комплектующих изделий.
Мерами по снижению производственных рисков являются действенный контроль над ходом производственного процесса и усиление влияния на поставщиков путем их дублирования.
Коммерческие риски связаны с реализацией продукции на товарном рынке (уменьшение размеров и емкости рынка, снижение платежеспособного спроса, появление новых конкурентов и т.п.)
Мерами по снижению коммерческих рисков являются:
Систематическое изучение конъюнктуры рынка;
Создание дилерской сети
Рациональная ценовая политика
Создание сети сервисного обслуживания
Реклама и т.д.
Финансовые риски вызываются инфляционными процессами, всеобъемлющими неплатежами, колебаниями курса рубля и т.п. Они могут быть снижены путем создания системы финансового менеджмента на предприятии, работе с дилерами и потребителями на условиях предоплаты и т.д.
Риски, связанные с форс-мажорными обстоятельствами, - это риски, обусловленные непредвиденными обстоятельствами (стихийные бедствия, смена политического курса страны, забастовка и т.п.). Мерой по их снижению служит работа предприятия с достаточным запасом финансовой прочности.
Целью разработки настоящего финансового плана является определение эффективности производства данных видов электрической техники.
Общая потребность в инвестициях, которая определена составляет 709.1 тыс. руб., в том числе в 2008 г. - 271.27 тыс. руб.
Источниками финансирования являются:
Средства инвестора в размере 222.22 тыс. руб. с финансированием во 2 квартале 2008 года;
Собственные средства предприятия в общей сумме 486.89 тыс. руб., в том числе в 2008 г. - 49.05 тыс. руб. (за счет реинвестирования части прибыли и амортизационных отчислений).
План доходов и расходов и расчет чистой прибыли представлен в табл.10.
Производство электрической техники будет убыточно в течение одного квартала с момента инвестирования. Начиная со 2 квартала, планируется получение прибыли в размере 19% от объема продаж. В расчетах учтено налогообложение.
Баланс денежных расходов и поступлений представлен в табл.11, где произведена оценка поступления и расходования денежных средств в динамике.
Расчет потребности в оборотном капитале представлен в табл.12.
При этом расчет произведен исходя из планируемых нормативов оборотных средств по элементам с учетом ускорения оборачиваемости оборотных средств.
Срок окупаемости проекта - 5.5 месяцев с начала инвестирования при ставке за кредит 11.7%.
Расчет показателей прибыли произведен в табл.13.
При этом инвестор получит доход в виде процентов в сумме 48.8 тыс. руб. и гарантированный доход в виде дивидендов в сумме 101.08 тыс. руб. Кроме того, участие в прибыли 2008 года позволит получить еще 125 тыс. руб.
При дисконтировании этого дохода процентной ставко й 11.7% годовых, инвестор получит доход в размере 149.2 тыс. руб. (в номинальной оценке 274.2 тыс. руб.).
Таким образом, прибыль от реализации трансформаторов сварочных позволит осуществить финансирование развития производства, погашение кредита и процентов по нему, а также выплату дивидендов всем участникам проекта, начиная с 2009 года (в том числе инвестору, начиная с 2008 года).
График погашения инвестиционного кредита и процентов по нему указан в табл.14.
Показатель кредитного покрытия инвестиций составляет 33%, соответственно показатель самофинансирования инвестиций - 69%.
Коэффициент покрытия финансово-эксплуатационных расходов составляет 102%. Таким образом, обеспечивается полное покрытие финансово-эксплуатационных потребностей.
Расчет показателей безубыточности и финансовой прочности деятельности ОАО "Стройтехника" позволяет определить объем производства при котором предприятие не несет ни убытков и не получает прибыли.
Расчет безубыточности и финансовой прочности произведен в табл.15.
Таким образом, точка безубыточности (порог рентабельности) в 2008 году составляет 182.5 тыс. руб.; в 2011 году - 1669.72 тыс. руб. (т.е. объем выручки должен составлять не менее указанных величин соответственно).
Запас финансовой прочности составляет в 2008 году 220.28 тыс. руб.; в 2011 году - 2983.6 тыс.
Проблемы формирования эффективной инвестиционной политики предприятия
При составлении финансового плана инвестиционного проекта предприятия по новому производству электротехнической техники, а именно трансформаторов сварочных на ОАО "Стройтехника" необходимо обратить более пристальное внимание на следующие моменты:
В финансовом разделе бизнес-плана необходимо продемонстрировать следующие основные моменты:
прибыльность: позволяет оценить, является ли предприятие достаточно привлекательным для участников бизнеса, чтобы рассмотреть возможность начала их участия с учетом существующих рисков;
поток наличности: позволяет оценить, являются ли инвестиции в данный бизнес безопасными и будут ли платежи, причитающиеся участникам, осуществляться в соответствии с графиком. Очень важно понять, что не существует автоматической зависимости между промышленностью бизнеса и его способностью генерировать наличные средства. Фактически, какой-то бизнес может быть высоко прибыльным, но привести к банкротству ввиду нехватки наличных средств. Другие предприятия могут показывать убытки в бухгалтерской документации, но генерировать наличные средства в счет долгосрочной перспективы развития бизнеса.
Не существует стандартного периода планирования. Фактически, различные виды деятельности требуют различного периода планирования. Например, предложенному бизнесу в области лесного хозяйства могут потребоваться десятилетия для возврата первоначальных инвестиций, в то время, как заем на покупку удобрений на этот год мог бы доказать жизнеспособность предприятия в течение одного года.
Правило "большого пальца" состоит в том, что продолжительность периода планирования должна быть достаточной для генерирования проектом необходимых наличных средств. Это означает, что в прогнозе потока наличности поступления наличных средств постоянно превышают наличные платежи без привлечения дополнительных внешних источников финансирования.
Частота планируемого периода:
Весь планируемый период должен быть разделен на несколько временных отрезков для того, чтобы:
проиллюстрировать развитие бизнеса;
выявить любой критический период, в течение которого бизнесу возможно потребуется финансовая поддержка.
До составления финансовой отчетности необходимо сделать некоторые допущения. Чем больше вы знаете о среде, в которой ведется бизнес (смотри начальные разделы бизнес-плана), чем больше вы знаете о системе производства, которую вы хотите внедрить, тем более надежными будут ваши допущения. Следует сделать предположения относительно: расчета себестоимости единицы продукции или услуг, предположения о продажах, предположения о накладных расходах, предположения о потоке наличности, предположения об источниках финансирования плана.
Расчет себестоимости единицы продукции или услуг заключается в установлении цены на единицу продукции/услуг и выявлении переменных затрат (главным образом материалов, использованных в процессе производства) на единицу продукции/услуг. Цена должна отвечать положениям раздела маркетинга бизнес-плана, также как и переменные затраты должны соответствовать разделу плана о производстве и эксплуатации. Предположения о продажах должны соответствовать заключениям, сделанным в разделе маркетинга.
Предположения о накладных расходах. Слишком многие бизнесмены не придают значения накладным расходам. Некоторые накладные расходы являются достаточно очевидными (например, арендная плата, страховка). Другие могут быть более трудными (например, коммунальные платежи, оплата телефона, рекламы). Убедитесь, что они соответствуют разделу "Персонал" данного плана.
Для прогнозирования потока наличности используется информация, содержащаяся в счете прибылей и убытков. Но также следует принимать во внимание время поступления наличных средств и платежей.
Предположения об источниках финансирования плана, следует предусмотреть в плане использование внешних источников финансирования.
Заключение
Одним из обязательных условий успешного функционирования экономики страны в целом, а также одной из важнейших сфер деятельности любого хозяйствующего субъекта является осуществление инвестиционной деятельности. Жизнь и развитие человечества на земле связаны с потреблением какой-либо продукции, производимой людьми. Стадии развития человечества характеризуются широким использованием общественного процесса производства. Прежде чем получить прибыль, доход, необходимо произвести товар и реализовать его. Без производства товаров не может быть вновь созданной стоимости, нет источника существования экономики, жизнеобеспечения народа, людей. А чтобы произвести товар, необходимо вначале осуществить соответствующие вложения в создание предприятий, производств, пунктов сбыта и реализации выпускаемой продукции, в их развитие, техническое переоснащение.
Влияя на расширение производственных мощностей в долгосрочной перспективе, инвестиции оказывают существенное влияние на использование уже имеющихся мощностей.
Инвестиции играют исключительно важную роль и на микроуровне. На этом уровне они необходимы прежде всего для достижения следующих целей:
расширения и развития производства;
недопущения чрезмерного морального и физического износа основных фондов;
повышения технического уровня производства;
повышения качества и обеспечения конкурентоспособности продукции конкретного предприятия;
осуществления природоохранных мероприятий;
приобретения ценных бумаг и вложения средств в активы других предприятий.
Главными аргументами в пользу необходимости инвестиций являются рост эффективности производства и максимизация прибыли. В конечном итоге они необходимы для обеспечения нормального функционирования предприятия в будущем, стабильного финансового состояния и максимизации прибыли.
Существующие методы оценки эффективности инвестиций разделяют на две основные группы:
простые или статические;
методы дисконтирования.
Привлекательность инвестиционных проектов, включенных в список вариантов инвестиций, оценивается по их эффективности и финансовой состоятельности.
Список использованной литературы
1. Налоговый кодекс Российской Федерации. Части первая и вторая: с изменениями и дополнениями на 1 окт. 2007 г. - М.: Проспект, 2007. - 511 с.
2. Бюджетный кодекс Российской Федерации: с изменениями и дополнениями на 15 янв. 2003 г. - М.: Проспект, 2003. - 156 с.
3. Закон о бухгалтерском учете: федеральный закон от 21 ноября 1996 г. N 129-ФЗ. - М.: ПРИОР, 1997. - 16 с.
4. Федеральный Закон от 29.11.2001 N 156-ФЗ (ред. от 06.12.2007)"Об инвестиционных фондах" (принят ГД ФС РФ 11.10 2001) (с изм. и доп., вступающими в силу с 12.03.2008) // "Собрание законодательства РФ" - 10.12.2007.
5. Абрамов СИ. Инвестирование. М.: Экономика. 2006.
6. Борисов А.В. Большой экономический словарь. - М.: - Книжный мир, 2006.
7. Вахрин П.И. Инвестиции. М.: Дашков и К., 2006.
8. Глазьев В.Н. Устойчивый рост требует инвестиций. \\ Финансист. М., 2007, №5.
9. Игошин Н.В. Инвестиции. М.: Финансы. 2005.
10. Ильин С.С., Маренков Н.Л. Экономическая теория. М.: Икар. 2007.
11. Калашников И. Инвестиционная система: воспроизводственный аспект. М.: Экономист, 2007. № 9.
12. Малютин А.С. Резервы эффективности на предприятии: (иностранный аспект): Монография. - Чебоксары: Чуваш, изд-во, 2007.
13. Маренков Н.Л. Основы управления инвестициями. М.: УРСС, 2005.
14. Маренков Н.Л., Маренков Н.Н. Управление инвестициями российского предпринимательства.М., УРСС, 2006.
15. Маренков Н.Л. Инвестиции. Серия "Учебники МГУ". Ростов н/Д: "Феникс", 2005.
16. Мищенко В.В. Государственное регулирование экономики: Учеб. Пособие. - М.: ИНФРА-М, 2004.
17. Слипенчук М.В. Инвестиции - фактор развития экономики России. М.: Икар, 2006.
18. Слипенчук М.В. Структурные особенности источников инвестиций. Экономист-М., 2006. № 10.
19. Социально-экономические преобразования в ЧР. Материалы итоговой конференции преподавателей, докторантов, аспирантов - Чебоксары: Изд-во ЧГУ, 2006.С. - 219.
20. Шепеленко Т.Н. Экономика, организация и планирование производства на предприятии: Учеб. пособие для студентов экономических вузов.3-е изд. доп. и перераб. Серия "Экономика и управление". - Ростов н/Д: Издательский центр МарТ, 2006.
21. Экономика и управление малой фирмой: Учебное пособие. / Под ред. И.В. Мишуровой. - М.: ИКЦ "МарТ"; Ростов н/Д: Издательский центр "МарТ", 2006.
Приложение
Таблица 1. Структура бизнес - планов в соответствии с типологией по объектам бизнеса
| Раздел бизнес - плана |
По бизнес - линиям |
По предприятию |
||
| Новому |
Действующему |
|||
| Развитие |
Финансовое оздоровление |
|||
| Концепция бизнеса (резюме) |
+ |
+ |
+ |
Общая характеристика предприятия |
| Ситуация в настоящее время и краткая информация о предприятии |
+ |
+ |
+ |
Краткие сведения по плану финансового оздоровления |
| Характеристика объекта бизнеса |
+ |
+ |
+ |
Анализ финансового состояния предприятия |
| Исследование и анализ рынка (рынки и конкуренция) |
+ |
+ |
+ |
Мероприятия по восстановлению платежеспособности и поддержанию хозяйственной деятельности |
| Организационный план, в т. ч. правовое обеспечение |
- |
+ |
- |
Рынок и конкуренция |
| Персонал и управление |
+ |
+ |
+ |
Деятельность в сфере маркетинга предприятия |
| План производства |
+ |
+ |
+ |
План производства |
| План маркетинговых действий (комплекс маркетинга) |
+ |
+ |
+ |
Финансовый план |
| Потенциальные риски |
+ |
+ |
+ |
|
| Финансовый план и финансовая стратегия |
+ |
+ |
+ |
|
Таблица 2. Объемы производства и реализации электрической техники
2008-2011 гг.
| Всего выручка по годам |
ТДМ-50-02 |
ТДМ-30-26 |
ТДМ-30-00 |
ТДМ-20-01 |
Наименование продукции |
|
| - |
15277.7 |
13888.8 |
5555.5 |
4166.6 |
Цена за единицу, руб. |
|
| - |
10 |
10 |
50 |
количество |
2008г. |
|
| 402.7 |
- |
138.8 |
55.5 |
208.3 |
Сумма, тыс. руб. |
|
| 25 |
50 |
50 |
50 |
количество |
2009 г. |
|
| 1562.5 |
381.9 |
694.4 |
277.7 |
208.3 |
Сумма, тыс. руб. |
|
| 50 |
100 |
100 |
50 |
количество |
2010г. |
|
| 2916.6 |
763.8 |
1388.8 |
555.5 |
208.3 |
Сумма, тыс. руб. |
|
| 100 |
150 |
150 |
50 |
количество |
2011г. |
|
| 4708.3 |
1527.7 |
2283.3 |
833.3 |
208.3 |
Сумма, тыс. руб. |
|
Таблица 3. Структура трудоемкости производства электрической техники, %
| Вид работ |
ТДМ-20-01 |
ТДМ-30-00 |
ТДМ-30-26 |
ТДМ-50-02 |
| Раскрой металла |
7,24 |
7,24 |
3 |
3 |
| Намотка |
15,45 |
15,45 |
15,70 |
15,70 |
| Штамповка |
33,31 |
33,31 |
35, 20 |
35, 20 |
| Сварка |
27 |
27 |
25,12 |
25,12 |
| Краска |
12,5 |
12,5 |
12 |
12 |
| Электрические измерения |
2,5 |
2,5 |
4 |
4 |
| Упаковка |
2,0 |
2,0 |
4,0 |
4,0 |
| Всего |
100 |
100 |
100 |
100 |
Таблица 4. Необходимые средства для технической подготовки и развития производства
| Статья затрат |
Кол-во оборудования, ед. |
Сумма затрат, тыс. руб. |
Поставщик (города) |
| Сборочный конвейер |
1 |
14,00 |
Московская область |
| Штамповое оборудование |
27 |
5,44 |
Волгоград, Тюмень |
| обмоточное оборудование |
53 |
17,37 |
Ростов Н/Д, Псков |
| Электроизмерительные приборы |
157 |
11, 19 |
Псков, Чебоксары |
| Приобретение специнструмента |
253 |
9,17 |
|
| НИОКР |
0,89 |
||
| Технологическая подготовка |
2,33 |
||
| Затраты на реконструкцию |
60,78 |
||
| Всего |
121,18 |
Таблица 5. Потребность в материалах и комплектующих изделиях
| Наименование материалов |
2008г. |
2009 г. |
2010 г. |
2011 г. |
Поставщики (города) |
||||
| В натуральном выражении |
Сумма, тыс. руб. |
В натуральном выражении |
Сумма, тыс. руб. |
В натуральном выражении |
Сумма, тыс. руб. |
В натуральном выражении |
Сумма, тыс. руб. |
||
| Материалы - всего, в т. ч. |
58,27 |
203,12 |
370,60 |
1066,32 |
|||||
| Металлопрокат |
4,10 |
29,61 |
66,80 |
96,52 |
29,79 |
215,16 |
264,40 |
687,42 |
Челябинск, Кузбасс |
| Электрический провод |
0,02 |
1,71 |
0,05 |
3,89 |
0,09 |
6,61 |
0,12 |
16,80 |
Волгоград, Ростов Н/Д |
| Краска |
0,04 |
2,18 |
0,50 |
27,29 |
1 |
54,58 |
1,6 |
157, 20 |
Пятигорск, Краснодар, Санкт-Петербург |
| Масло трансформаторное |
50 |
0,69 |
50 |
0,69 |
50 |
0,69 |
50 |
1,25 |
Волгоград |
| Пластик полимерный |
0,01 |
0,25 |
0,05 |
1,25 |
0,07 |
1,75 |
0,12 |
5,40 |
Красноярск, Невинномысск |
| Пластмасса |
22 |
1,53 |
110 |
7,64 |
220 |
15,28 |
330 |
41,25 |
Красноярск, Невинномысск |
| Графит электротехнический |
2,75 |
14,60 |
2,75 |
49,58 |
2,75 |
49,58 |
2,75 |
89,25 |
Волгоград, Кузбасс |
| Лента изоляционная |
25 |
0,69 |
25 |
0,69 |
25 |
0,69 |
25 |
1,25 |
Красноярск, Невинномысск |
| Медь |
72 |
7,00 |
160 |
15,56 |
270 |
26,25 |
380 |
66,50 |
Ростов Н/Д |
| Покупные комплектующие изделия - всего, в т. ч. |
8,44 |
61,22 |
105,56 |
304 |
|||||
| Электродетали |
80 |
3,78 |
500 |
23,61 |
1000 |
47,22 |
1600 |
75,56 |
Псков, Чебоксары |
| Изоляторы |
80 |
3,56 |
500 |
22,22 |
1000 |
44,44 |
1600 |
71,11 |
Псков, Волгоград |
| Прочие |
80 |
1,11 |
50 |
15,39 |
1000 |
13,89 |
1600 |
22,22 |
Чебоксары Московская область |
| Всего |
66,72 |
264,34 |
476,16 |
761,29 |
|||||
Таблица 6. Затраты на производство электрической техники
| Статья затрат |
2008г. |
2009 г. |
2010 г. |
2011 г. |
| Основные материалы |
58,27 |
203,12 |
370,60 |
592,40 |
| Покупные компл. Изделия |
8,44 |
61,22 |
105,56 |
168,89 |
| Трансп. - заготов. Расходы |
3,74 |
14,29 |
26,54 |
42,50 |
| Зар. плата производственных рабочих |
38,06 |
152,10 |
284,76 |
457,01 |
| Премии производственным рабочим |
17,13 |
68,44 |
128,11 |
205,66 |
| Отчисления на соц. нужды производств. рабочих |
21,25 |
84,93 |
158,97 |
255,13 |
| Износ специнструмента |
5,52 |
22,06 |
41,29 |
66,27 |
| Общепроизводственные расходы |
101,93 |
380,28 |
626,39 |
868,47 |
| Общехозяйственные расходы |
8,43 |
30,42 |
56,94 |
91,39 |
| Производственная себестоимость |
262,77 |
1016,85 |
1799,18 |
2747,71 |
| Коммерческие расходы |
3,16 |
15,26 |
35,98 |
68,69 |
| Полная себестоимость объема производства тов. продукции |
265,92 |
1032,10 |
1835,17 |
2816,41 |
| Прибыль |
66,48 |
258,03 |
458,79 |
704,10 |
| Объем производства в оптовых ценах |
332,40 |
1290,13 |
2293,96 |
3520,51 |
| Объем производства в свободных отпускных ценах |
402,78 |
1562,50 |
2916,67 |
4652,78 |
Таблица 7. Калькуляция к проекту свободной отпускной цены на предлагаемые модели электрической техники, тыс. руб.
| Рентабельность,% |
Свободная отпускная цена |
Оптовая цена |
Прибыль |
Полная себестоимость |
Коммерческие расходы |
Производственная себестоимость |
Общепроизв. и общехоз. расходы |
Износ специнструмента |
Отчисления на социальные нужды |
Премиии производственным рабочим |
Зар. плата произв. рабочих |
Транс. - заготов. расходы |
Покупные комплектующие изделия |
Материалы основные |
Статья затрат |
|
| 25 |
4166,667 |
3438,889 |
687,7778 |
2751,111 |
32,77778 |
2718,889 |
1127,778 |
56,66667 |
217,2222 |
175 |
388,8889 |
40,55556 |
712,7778 |
ТДМ-20-01 |
2008г. |
|
| 25 |
5555,556 |
4578,889 |
916,1111 |
3663,333 |
43,33333 |
3620 |
1127,778 |
56,66667 |
217,2222 |
175 |
388,8889 |
87,77778 |
422,2222 |
1144,444 |
ТДМ-30-00 |
|
| 25 |
13888,89 |
11549,17 |
2376,389 |
9172,778 |
108,8889 |
9063,889 |
4269,444 |
213,8889 |
822,2222 |
662,7778 |
1472,222 |
83,33333 |
422,2222 |
1118,889 |
ТДМ-30-26 |
|
| 25 |
15277,78 |
13635,83 |
2727,222 |
10908,61 |
161,1111 |
10747,78 |
4593,889 |
230 |
884,4444 |
712,7778 |
1583,333 |
148,3333 |
422,2222 |
2172,778 |
ТДМ - 50 - 02 |
|
| 39 |
4166,667 |
3438,889 |
971,1111 |
2467,778 |
60,27778 |
2407,5 |
816,6667 |
56,66667 |
217,2222 |
175 |
388,8889 |
40,55556 |
712,7778 |
ТДМ-20-01 |
2011 г. |
|
| 35 |
5555,556 |
4578,889 |
1187,5 |
3391,389 |
82,77778 |
3308,611 |
816,6667 |
56,66667 |
217,2222 |
175 |
388,8889 |
87,77778 |
422,2222 |
1144,444 |
ТДМ-30-00 |
|
| 43 |
13888,89 |
11549,17 |
3465,833 |
8083,333 |
197,2222 |
7886,111 |
3091,667 |
213,8889 |
822,2222 |
662,7778 |
1472,222 |
83,33333 |
422,2222 |
1118,889 |
ТДМ-30-26 |
|
| 40 |
15277,78 |
13635,83 |
3919,167 |
9716,667 |
236,9444 |
9479,722 |
3326,111 |
230 |
884,4444 |
712,7778 |
1583,333 |
148,3333 |
422,2222 |
2172,778 |
ТДМ-50-02 |
|
Таблица 8. Потребность в инвестициях по годам планируемого периода, тыс. руб.
| Направления инвестиций |
2008г. |
2009 г. |
2010 г. |
2011 г. |
Итого инвестиций |
Структура,% |
| Общая потребность в инвестициях, всего, в т. ч. |
271,27 |
137,83 |
170,83 |
129,17 |
709,11 |
55,56 |
| Приобретение не стандартизированного оборудования |
19,44 |
0,00 |
0,00 |
0,00 |
19,44 |
1,50 |
| Приобретение оснастки и спец инструмента |
38,48 |
0,00 |
0,00 |
0,00 |
37,72 |
2,94 |
| НИОКР |
0,89 |
0,00 |
0,69 |
0,69 |
2,28 |
0,17 |
| Технологическая подготовка производства |
2,33 |
0,00 |
0,69 |
0,69 |
3,72 |
0,28 |
| Реконструкция производства |
57,44 |
0,00 |
0,00 |
0,00 |
60,78 |
4,83 |
| Пополнение оборотных средств |
146,94 |
136,25 |
166,67 |
125,00 |
574,86 |
45,06 |
| Проведение маркетинга |
1,69 |
0,83 |
1,39 |
1,39 |
5,31 |
0,39 |
| Неучтенные расходы |
1,41 |
0,75 |
1,39 |
1,39 |
4,94 |
0,39 |
Таблица 9. Источники финансирования, тыс. руб.
| Источники финансирования |
2008г. |
2009 г. |
2010 г. |
2011 г. |
Итого |
| Инвестиционный кредит |
222,22 |
0,00 |
0,00 |
0,00 |
222,22 |
| Прибыль от производства электрической техники |
33,44 |
110,03 |
149,17 |
107,50 |
400,14 |
| Амортизация |
15,61 |
21,67 |
21,67 |
21,67 |
80,61 |
| Переходящий остаток прибыли |
0,00 |
1,00 |
2,00 |
3,00 |
4,00 |
| Всего инвестиций |
271,28 |
137,83 |
170,83 |
129,17 |
709,11 |
Таблица 10. План доходов и расходов, тыс. руб.
| Чистая прибыль |
Налоги на прибыль |
Валовая прибыль |
Налоги, включаемые в себестоимость |
Затраты на производство реализованной продукции |
Выручка от реализации |
Наименование показателя |
|
| -12,4167 |
1,583333 |
-10,8333 |
1,572222 |
60,69444 |
47,36111 |
2 кв. |
2008г. |
| 19,91667 |
3,583333 |
25,16667 |
3,527778 |
91,16667 |
116,3333 |
3 кв. |
|
| 47,08333 |
5,083333 |
52,16667 |
4,977778 |
114,0278 |
166, 1944 |
4 кв. |
|
| 32,91667 |
5,166667 |
38,08333 |
5,588889 |
152,2778 |
190,3611 |
1 кв. |
2009 г. |
| 44,75 |
6,861111 |
51,61111 |
7,572222 |
206,4167 |
258,0278 |
2 кв. |
|
| 75,80556 |
10,61111 |
81, 19444 |
11,93333 |
324,75 |
405,9444 |
3 кв. |
|
| 75,80556 |
11,36111 |
87,16667 |
12,80556 |
348,6111 |
435,7778 |
4 кв. |
|
| 161,4722 |
22,05556 |
183,5278 |
26,65 |
734,0556 |
917,6111 |
1 п\г |
2010 г. |
| 242,6667 |
32,61111 |
275,2778 |
39,97222 |
1101,111 |
1376,389 |
2 п\г |
|
| 625,1667 |
78,91667 |
704,1111 |
101,3333 |
2814,222 |
3520,5 |
год |
2011 г. |
Таблица 11. Баланс денежных расходов и поступлений по производству электрической техники, тыс. руб.
| Статья затрат |
2008г. |
2009 г. |
2010 г. |
2011 г. |
||||||
| 2 кв. |
3 кв. |
4 кв. |
1 кв. |
2 кв. |
3 кв. |
4 кв. |
1 п/г |
2 п/г |
||
| 1 |
2 |
3 |
4 |
5 |
6 |
7 |
8 |
9 |
10 |
11 |
| Денежная наличность н/н периода |
0,00 |
-8,39 |
-2,72 |
4,94 |
0,39 |
0,56 |
0,17 |
0,39 |
1,17 |
87,44 |
| Приток наличности всего |
270,06 |
119,86 |
171,22 |
195,78 |
263,44 |
411,36 |
441, 19 |
928,42 |
1387,22 |
3542,17 |
| В том числе: Выручка от реализации |
49,86 |
116,33 |
166, 19 |
190,36 |
258,03 |
405,94 |
435,78 |
917,58 |
1375,28 |
3520,50 |
| Инвестиционный кредит |
222,22 |
0,00 |
0,00 |
0,00 |
0,00 |
0,00 |
0,00 |
0,00 |
0,00 |
0,00 |
| Амортизация |
3,53 |
3,53 |
5,03 |
5,42 |
5,42 |
5,42 |
5,42 |
10,83 |
10,83 |
21,67 |
| Отток наличности всего |
284,00 |
114, 19 |
163,56 |
200,33 |
263,28 |
411,75 |
440,97 |
927,64 |
1300,94 |
3088,94 |
| В том числе: Производственные издерж. |
60,69 |
91,17 |
114,03 |
152,28 |
206,42 |
324,75 |
348,61 |
734,06 |
1101,11 |
316,42 |
| Инвестиционные издержки |
122,00 |
0,00 |
0,00 |
0,00 |
0,00 |
0,00 |
0,00 |
0,00 |
0,00 |
0,00 |
| Покупка оборудования, оснастки |
57,17 |
0,00 |
0,00 |
0,00 |
0,00 |
0,00 |
0,00 |
0,00 |
0,00 |
0,00 |
| Реконструкция производства |
60,78 |
0,00 |
0,00 |
0,00 |
0,00 |
0,00 |
0,00 |
0,00 |
0,00 |
0,00 |
| Прочие инвестиционные издержки |
4,06 |
0,00 |
0,00 |
0,00 |
0,00 |
0,00 |
0,00 |
0,00 |
0,00 |
0,00 |
| Пополнение оборотного капитала |
99,72 |
19,44 |
27,78 |
30,69 |
44,44 |
33,33 |
277,78 |
69,44 |
97,22 |
125,00 |
| Проценты по инвестиционному кредиту |
0,00 |
0,00 |
16,67 |
5,56 |
5,56 |
5,56 |
4,61 |
6,81 |
3,33 |
0,00 |
| Возврат инвестиционного кредита |
0,00 |
0,00 |
0,00 |
0,00 |
0,00 |
37,50 |
48,61 |
69,44 |
66,67 |
0,00 |
| Гарантированный доход инвестора |
0,00 |
0,00 |
0,00 |
6,64 |
0,00 |
0,00 |
0,00 |
25,83 |
0,00 |
68,61 |
| Налоги из прибыли |
1,58 |
3,58 |
5,08 |
5,17 |
6,86 |
10,61 |
11,36 |
7,61 |
38,17 |
78,92 |
| Денежная наличность на конец периода |
-8,39 |
-2,72 |
4,94 |
0,39 |
0,56 |
0,17 |
0,39 |
1,17 |
87,44 |
540,67 |
Таблица 12. Потребность в оборотном капитале, тыс. руб.
| Элементы оборотного капитала |
Годы |
|||
| 2008 |
2009 |
2010 |
2011 |
|
| Текущие активы - всего , в т. ч. |
199,8611 |
433,3056 |
778,0833 |
1207,694 |
| Сырье и материалы |
8,805556 |
34,83333 |
62,83333 |
100,4722 |
| Готовая продукция |
11,08333 |
43 |
76,44444 |
117,3333 |
| Дебиторская задолженность |
132,9444 |
258,0278 |
458,7778 |
704,1111 |
| Денежные средства |
40,13889 |
71,66667 |
134,1667 |
215,3611 |
| Незавершенное производство |
6,888889 |
25,77778 |
45,86111 |
70,41667 |
| Текущие пассивы - всего , в т. ч. |
52,91667 |
150,1111 |
328,2222 |
632,8333 |
| Кредиторская задолженность |
52,91667 |
150,1111 |
328,2222 |
632,8333 |
| Оборотный капитал - всего |
146,9444 |
283, 1944 |
449,8611 |
574,8611 |
| Изменение оборотного капитала |
146,9444 |
136,25 |
166,6667 |
125 |
| Коэффициент оборачиваемости |
2,26 |
4,56 |
5,1 |
6,12 |
Таблица 13. Отчет по прибыли, тыс. руб.
| Наименование показателя |
2008г. |
2009 г. |
2010 г. |
2011 г. |
| Валовая прибыль |
66,5 |
258,0556 |
458,8056 |
704,0833 |
| Налоги из прибыли |
10,25 |
34 |
54,66667 |
78,91667 |
| Чистая прибыль |
56,25 |
224,0556 |
404,1389 |
625,1667 |
| Возврат кредита и проценты |
16,66667 |
107,3889 |
1460,139 |
0 |
| Прибыль, направленная на развитие производства |
33,43889 |
110,0278 |
149,1667 |
107,5 |
| Распределяемая прибыль |
6,144444 |
6,638889 |
108,7222 |
517,6667 |
| То же, нарастающим итогом |
0 |
6,638889 |
115,3611 |
633,0278 |
| Дивиденды - всего |
0 |
6,638889 |
86,11111 |
228,6944 |
| То же, нарастающим итогом |
0 |
6,638889 |
106,6389 |
321,4444 |
| В том числе: Дивиденды инвестору (гарантированные) |
0 |
6,638889 |
25,83333 |
68,61111 |
| То же, нарастающим итогом |
0 |
6,638889 |
32,47222 |
101,0833 |
| Остаток прибыли |
6,144444 |
0 |
22,61111 |
288,9722 |
Таблица 14. График погашения инвестиционного кредита
| Наименование показателя |
2008г. |
2009 г. |
2010 г. |
2011 г. |
Всего |
||||||
| 2кв. |
3кв. |
4 кв. |
1кв. |
2кв. |
3 кв. |
4 кв. |
1 п/г |
2 п/г |
|||
| Проценты за кредит |
0,00 |
0,00 |
16,67 |
5,56 |
5,56 |
5,56 |
4,61 |
6,81 |
3,33 |
0,00 |
38,14 |
| Возврат основного долга |
0,00 |
0,00 |
0,00 |
0,00 |
0,00 |
37,50 |
48,61 |
69,44 |
66,67 |
0,00 |
222,22 |
| Всего |
0,00 |
0,00 |
16,67 |
5,56 |
5,56 |
43,06 |
53,22 |
76,25 |
70,00 |
0,00 |
270,31 |
Таблица 15. Расчет безубыточности и запаса финансовой прочности
| Наименование показателя |
2008г. |
2011 г. |
| Объем продаж, тыс. руб. |
402,78 |
4652,78 |
| Условно - постоянные расходы, тыс. руб. |
113,53 |
1028,56 |
| Удельный вес условно - постоянных расходов в объеме продаж,% |
21,00 |
21,33 |
| Точка безубыточности, тыс. руб. |
182,50 |
1669,72 |
| Запас финансовой прочности, тыс. руб. |
220,28 |
2983,06 |
[1] Абрамов С.И. Инвестирование. М.2006.с.6-7.
[2] Орешин В.П. Государственное регулирование национальной :экономики. М., 2005. С. 141
[3] Орешин В.П. Государственное регулирование национальной :экономики. М., 2005. С. 146.
[4] Абрамов С.И. Инвестирование. М.2006.с.9.
[5] Абрамов С.И. Инвестирование. М.2006.с.13.
[6] Абрамов С.И. Инвестирование. М.2006.с.16.
[7] Абрамов С.И. Инвестирование. М.2006.С.-23.
[8] Абрамов С.И. Инвестирование. М.2006.С.-26.
[9] Орешин В.П. Государственное регулирование национальной :экономики. М., 2005. С. -149.
[10] Орешин В.П. Государственное регулирование национальной :экономики. М., 2005. С.-151.
[11] [8] Внешний вид трансформаторов ТДМ-30-00 и ТДМ-30-26 идентичен.