| Скачать .zip |
Реферат: Аналіз фінансового стану УМГ Прикарпаттрансгаз
Міністерство освіти України
Івано-Франківський державний технічний університет нафти і газу
кафедра економіки підприємства
КУРСОВА РОБОТА
з курсу “ АНАЛІЗ ВИРОБНИЧО-ГОСПОДАРСЬКОЇ
ДІЯЛЬНОСТІ ПІДПРИЄМСТВА ”
Аналіз фінансового стану
УМГ «Прикарпаттрансгаз»
Виконала :
ст. гр. ЕКНз-95-1
Хлібкевич О.В.
Перевірив:
Данилюк М.О.
Івано-Франківськ 2000р.
ЗМІСТ
ВСТУП 4
1. ТЕОРЕТИЧНІ ТА МЕТОДИЧНІ ОСНОВИ ВИКОНАННЯ РОБОТИ 5
1.1. ФІНАНСОВИЙ МЕНЕДЖМЕНТ ТА ЙОГО СКЛАДОВІ ЧАСТИНИ 6
1.2. ОСНОВНІ ЗАВДАННЯ І ДЖЕРЕЛА АНАЛІЗУ ФІНАНСОВОГО
СТАНУ ПІДПРИЄМСТВА 9
1.3. загальна модель І система показників аналізу
фінансового стану 11
1.4. основні напрямки аналізу балансу 19
1.5. методика аналізу балансового прибутку 25
1.6. ліквідність і платоспроможність підприємства 28
2. АНАЛІЗ ПОКАЗНИКІВ ФІНАНСОВОГО СТАНУ ПІДПРИЄМСТВА 37
2.1. ЗАГАЛЬНА ХАРАКТЕРИСТИКА ПІДПРИЄМСТВА 37
2.2. АНАЛІЗ БАЛАНСУ ПІДПРИЄМСТВА 41
2.3. АНАЛІЗ ЗВІТУ ПРО ФІНАНСОВІ РЕЗУЛЬТАТИ 47
2.4. АНАЛІЗ ЛІЛКВІДНОСТІ ТА ПЛАТОСПРОМОЖНОСТІ
ПІДПРИЄМСТВА 51
3. НАПРЯМКИ І РЕЗЕРВИ ПОКРАЩЕННЯ ФІНАНСОВОГО СТАНУ
ПІДПРИЄМСТВА 58
ВИСНОВКИ І ПРОПОЗИЦІЇ 62
СПИСОК ВИКОРИСТАНОЇ ЛІТЕРАТУРИ 64
ДОДАТКИ 65
Вступ
В умовах ринкової економіки підприємство здійснює свою виробничо-торговельну діяльність самостійно, але конкуренція, що полягає в змаганні підприємств за споживача їх продукції, змушує продавця (виробника) враховувати їх інтереси і запити і виробляти ту продукцію, яка потрібна покупцеві. Підприємство, що програло в цій боротьбі, звичайно стає банкрутом, а відтак не може оплатити вартість товару, робіт і послуг, розраховуватися з бюджетом по обов'язкових платежах та платежах до позабюджетних фондів, якщо зобов'язання по платежах перевищує вартість його майна. Отже, щоб не стати банкрутом, підприємство мусить постійно стежити за ситуацією на ринку і забезпечити високу конкурентоздатність своєї продукції.
Одним з інструментів з'ясування конкурентоздатності є аналіз фінансового стану підприємства, або фінансовий аналіз. Аналізувати фінансовий стан будь-якого підприємства є нагальною необхідністю, бо не можна вести господарство без міри ваги і рахунку, не добиваючись перевищення доходів над видатками. Це завжди було важливо, тим більше - зараз, коли на зміну безгосподарності і безвідповідальності приходить підприємництво, сувора дисципліна і ощадливість.
Аналіз фінансового стану підприємства є важливим елементом фінансового менеджменту і аудиту. Користувачі фінансових звітів підприємств і фірм використовують методи аналізу для прийняття управлінських рішень, спрямованих на подальше збільшення прибутковості, виявлення причин збитковості, а також забезпечення стабільного фінансового стану.
Введення нового плану рахунків бухгалтерського обліку, приведення форм бухгалтерського обліку в більшу відповідність з вимогами міжнародних стандартів зумовлюють необхідність розробки методики фінансового аналізу, яка б відповідала сучасним вимогам ринкової економіки.
Метою даної курсової роботи є комплексний фінансовий аналіз виробництва на підприємстві УМГ "Прикарпаттрансгаз". Ціллю роботи є пошук резервів і напрямків по покращенню фінансового стану підприємства, їх економічне обгрунтування і визначення їх впливу на показники, що характеризують фінансовий стан на даному підприємстві.
1.Теоретичні та методичні основи виконання роботи.
1.1. Фінансовий менеджмент та його складові частини.
Фінансовий менеджмент пов'язаний з сукупністю рішень, які приймаються у зв'язку з формуванням і підтриманням оптимальної структури фінансових коштів фірми в умовах ринку, забезпеченням доходів власників і утримувачів акцій.
Фінансовий менеджмент має справу з одного боку з загальним доходом фірми, з основними джерелами грошових нагромаджень і надходжень, з довгостроковими і короткостроковими кредитами і використанням прибутків, аналізом і зберіганням фінансової стійкості і ліквідності, а з другого боку - з одержанням максимально можливих прибутків, дивідендів по акціях і ризиком збитків.
Виходячи з цілі максимізації прибутку фірма повинна приймати тільки такі рішення, в результаті яких можна очікувати одержання нею всіх видів прибутку.
Тому при наявності альтернативи необхідно приймати ті рішення, що ведуть до підвищення прибутку, курсу акцій і до збільшення виплачуваного дивіденду.
Однак на практиці такі дії пов'язані з ризиком втрати частини капіталу, втратою її володарями майбутніх доходів, знеціненням ділового іміджу і навіть крахом фірми. Крім того, існує ряд техніко-технологічних, ресурсних, екологічних, політичних обмежень, на які фірма не в змозі вплинути і які зменшують прибуток фірми.
Прибуток і ризик впливають на ціну акції протилежним чином. Більш високий прибуток фірми викликає зростання дивідендів, збільшення ризику веде до зменшення ціни, а це веде до скидання цих акцій їх власниками на фондових біржах і до ще більшого ускладнення фінансового становища фірми.
Прибуток і ризик - ключові моменти фінансового менеджменту. З ними пов'язані три види фінансової діяльності:
збільшення прибутку;
зберігання фінансової стійкості;
забезпечення ліквідності (платоспроможності), тобто здатності підтримувати свої фінансові зобов'язання на всіх рівнях.
Фінансовий менеджмент постійно розв'язує протиріччя, яке виникає між цілями фірми і її фінансовими можливостями.
Структура фінансового менеджменту наведена на рис. 1.1.1. Вона складається з трьох структурних блоків, з яких блок III має визначальне значення.

Рис 1.1.1 - Структура фінансового менеджменту фірми
Блок І - фінанси фірми. Він характеризує усі можливі економічні відносини фірми на всіх рівнях.
Блок II — блок аналізу фінансів фірми по показниках фінансової стійкості і за критерієм достатності доходів і прибутку в ситуації фінансового ризику.
Блок III - управління балансами фірми, альтернативні рішення і дії щодо виправлення фінансового становища фірми в сферах кредитних відносин фірми з кредитними установами, розрахунків у фінансових відносинах з іншими фірмами, в спілкуванні з фінансовими структурами і установами, фондовими біржами за допомогою вибору оптимальних кредитних відносин, видів розрахунків, лізингу, факторингу, гри курсами цінних паперів, що належать фірмі, на фондовій біржі.
Фінансами фірми називаються будь-які складні економічні відносини, які виникають з приводу формування і розподілу грошових коштів для забезпечення збалансування доходів і витрат, фінансової стійкості і платоспроможності фірми за критерієм одержання прибутків і одночасної підтримки благополуччя акціонерів на різних рівнях відносин: з державою - з приводу платежів і отримання бюджетних асигнувань; зі страховими компаніями - по страхових внесках і страхуванню ризиків та майна; з інвестиційними інститутами: інвестиційними фондами, холдингами, консорціумами — з приводу підтримки інноваційних програм та інвестицій; з банками - з приводу кредитів, сплати позичкових процентів і депозитів; на власній фірмі - з приводу продажу акцій і забезпечення дивідендів акціонерам.
1.2. Основні завдання і джерела аналізу фінансового стану підприємства.
Основними джерелами фінансового стану є :
форма 1 річної та квартальної звітності "Баланс підприємства" (додаток А);
форма 2 річної та квартальної звітності "Звіт про фінансові результати і їхнє використання" (додаток Б);
форма 3 річної та квартальної звітності "Звіт про фінансово-майновий стан підприємства".
Ця бухгалтерська звітність орієнтована на ринкові відносини і значною мірою наближена до вимог Міжнародних стандартів бухгалтерського обліку і фінансової звітності.
Баланс став більш наочним і пристосованим для вирішення завдань, поставлених перед аналізом фінансового стану в умовах ринку.
З метою аналізу фінансового стану може використовуватися і інша інформація - дані бухгалтерського і оперативного обліку, поточної звітності підприємства, необлікована інформація.
Слід зазначити, що за доступністю інформацію поділяють на відкриту і закриту (секретну), що є комерційною таємницею, тому і аналіз фінансового стану, як було сказано вище, може бути двох видів: внутрішній і зовнішній.
Внутрішній аналіз здійснюється фінансистами підприємства на основі нормативів, що застосовуються на підприємстві і є комерційною таємницею; виконується він шляхом порівняння їх з плановими параметрами фінансової діяльності підприємства.
Зовнішній аналіз здійснюється за даними бухгалтерської звітності зацікавленими організаціями - податковою інспекцією, банком, іншими структурами. Бухгалтерська звітність, яка застосовується при цьому, містить обмежену інформацію про діяльність підприємства, однак дозволяє досить об'єктивно оцінити фінансовий стан підприємства, не користуючись при цьому інформацією, яка є комерційною таємницею.
Існуюча бухгалтерська звітність відрізняється від тієї, яка застосовувалася раніше (2-3 роки тому), отже, відповідно змінилася і методика аналізу.
Так, у балансі вже не наводяться показники наявності власних оборотних коштів, стійкі пасиви, зникли такі розділи колишньої методики, як аналіз надлишку або нестачі оборотних коштів, нормованих запасів і ціла низка інших.
Водночас ринкова економіка висунула вимоги до аналізу цілої системи нових показників, які раніше в нашій практиці не використовувались, наприклад, аналіз ліквідності фінансової тривалості, розрахунок і аналіз коефіцієнтів цих показників. Інформація про фінансовий стан підприємства повинна достовірно відображати фінансовий стан підприємства і його модифікації, що відбувалися за звітний період. Щоб упорались із цим, необхідно передусім вивчити аудиторський звіт про точність фінансових звітів, що його складає незалежний аудитор. Це дуже важливо нині, коли коло користувачів цієї інформації значно розширилося.
Основні користувачі інформації про фінансовий стан такі:
Керівництво підприємства — для керівника підприємства ця інформація необхідна для ефективного керування підприємством, для прийняття ефективних управлінських та планових рішень;
Акціонери підприємства, тобто його власники. Вони оцінюють, наскільки ефективно адміністрація виконує свої функції;
Податкове управління. Йому необхідно мати інформацію про фінансовий стан підприємства (зокрема про суму прибутку) для визначення сум податків, що їх зобов'язане сплатити підприємство.
1.3. Загальна модель і система показників аналізу фінансового стану.
Аналіз фінансового стану підприємств проводиться з метою виявлення вразливих місць і визначення шляхів їх усунення. Дані аналізу відіграють вирішальну роль при визначенні напрямів конкурентної політики підприємства, вони використовуються при оцінці виконання поставлених перед ним завдань і для розробки програм розвитку на перспективу.
Традиційна практика аналізу фінансового стану підприємства опрацювала певні прийоми й методи його здійснення.
Можна назвати шість основних прийомів аналізу:
горизонтальний (часовий) аналіз - порівняння кожної позиції звітності з попереднім періодом;
вертикальний (структурний) аналіз - визначення структури фінансових показників з оцінкою впливу різних факторів на кінцевий результат;
трендовий аналіз - порівняння кожної позиції звітності з рядом попередніх періодів та визначення тренду, тобто основної тенденції динаміки показників, очищеної від впливу індивідуальних особливостей окремих періодів (за допомогою тренду здійснюється екстраполяція найважливіших фінансових показників на перспективний період, тобто перспективний прогнозний аналіз фінансового стану);
аналіз відносних показників (коефіцієнтів) - розрахунок відношень між окремими позиціями звіту або позиціями різних форм звітності, визначення взаємозв'язків показників;
порівняльний аналіз — внутрішньогосподарський аналіз зведених показників звітності за окремими показниками самого підприємства та його дочірніх підприємств (філій), а також міжгосподарський аналіз показників даної фірми порівняно з показниками конкурентів або із середньо-галузевими та середніми показниками;
факторний аналіз - визначення впливу окремих факторів (причин) на результативний показник детермінованих (розділених у часі) або стохастичних (що не мають певного порядку) прийомів дослідження. При цьому факторний аналіз може бути як прямим (власне аналіз), коли результативний показник розділяють на окремі складові, так і зворотним (синтез), коли його окремі елементи з'єднують у загальний результативний показник.
Предметом фінансового аналізу підприємства є фінансові ресурси підприємства, їх формування та використання. Для досягнення основної мети аналізу фінансового стану підприємства - об'єктивної його оцінки та виявлення на цій основі потенційних можливостей підвищення ефективності формування й використання фінансових ресурсів — можуть застосовуватися різні методи аналізу.
Методи фінансового аналізу — це комплекс науково-методичних інструментів та принципів дослідження фінансового стану підприємства.
В економічній теорії та практиці існують різні класифікації методів економічного аналізу взагалі та фінансового аналізу зокрема.
Перший рівень класифікації виокремлює неформалізовані та формалізовані методи аналізу.
Неформалізовані методи аналізу грунтуються на описуванні аналітичних процедур на логічному рівні, а не на жорстких аналітичних взаємозв'язках та залежностях. До неформалізованих належать такі методи:
експертних оцінок і сценаріїв;
психологічні;
морфологічні;
порівняльні;
побудови системи показників;
побудови системи аналітичних таблиць.
Ці методи характеризуються певним суб'єктивізмом, оскільки в них велике значення мають інтуїція, досвід та знання аналітика.
До формалізованих методів фінансового аналізу належать ті, в основу яких покладено жорстко формалізовані аналітичні залежності, тобто методи:
ланцюгових підстановок;
арифметичних різниць;
балансовий;
виокремлення ізольованого впливу факторів;
відсоткових чисел;
диференційний;
логарифмічний;
інтегральний;
простих і складних відсотків;
дисконтування.
У процесі фінансового аналізу широко застосовуються і традиційні методи економічної статистики (середніх та відносних величин, групування, графічний, індексний, елементарні методи обробки рядів динаміки), а також математико-статистичні методи (кореляційний аналіз, дисперсійний аналіз, факторний аналіз, метод головних компонентів).
Для отримання необхідної аналітичної інформації розв'язують групу аналітичних задач, яку можна зобразити як загальну модель. В економіці існує дуже багато таких моделей. На мою думку, найбільш вдалою є модель, котру запропонував Мних Є.В. у своєму навчальному посібнику (рис 1.3.1.)

Рис 1.3.1 - Загальна модель аналізу фінансового стану підприємства.
Вихідним етапом аналізу фінансового стану підприємств є аналіз майна підприємства. Він передбачає загальну оцінку майна з виділенням оборотних мобільних коштів і позаоборотних (іммобілізованих). Відомості про розміщення наявного в розпорядженні підприємства майна містяться в активі балансу.
У структурі балансу особлива роль належить найбільшим засобам, до складу яких входять: наявні гроші, цінні папери, дебіторська заборгованість, матеріально-виробничі запаси. До позаоборотних активів відносять: реальні основні засоби, довготермінові інвестиції і нематеріальні активи.
Завданням аналітика є оцінка структури найбільших та іммобілізованих засобів, а також зміни їх наявності за аналізований період.
В ході аналізу майна підприємства визначають також джерела його утворення. При цьому дається оцінка структури власних і позичених засобів. До власних коштів, за рахунок яких відбувається придбання, надходження і створення майна, відносять статутний фонд і прибуток. У склад власних джерел можуть ввійти також засоби, отримані від держави, орендодавців, інших підприємств, окремих осіб, зацікавлених у розвитку підприємства.
Основним джерелом фінансування мобільних активів є власні оборотні кошти, якими підприємство розпоряджається в момент його заснування. Спрямовуючи фінансові результати в основні й оборотні кошти, виходять з економічної доцільності: розмір власних оборотних коштів повинен забезпечувати мінімальну потребу протягом одного виробничого циклу у виробничих запасах, заділах незавершеного виробництва, залишках готової продукції. Єдиним джерелом збільшення власних оборотних коштів є прибуток підприємства.
До позичених засобів належать отримані в кредит від державних, комерційних і кооперативних банків та інших підприємств. Позичені кошти поділяються на кошти тривалого використання і кошти короткотермінового використання. В процесі аналізу позичених коштів оцінюється ефективність їх використання та можливість своєчасного повернення.
Важливими показниками, які характеризують ефективність використання своїх коштів, є показники оборотності оборотних коштів. Оборотність оборотних коштів характеризується такими показниками, як оборотність у днях, кількість обертів, коефіцієнт закріплення оборотних коштів.
Аналіз оборотності оборотних коштів передбачає виявлення ступеня прискорення (або сповільнення) оборотності і суми коштів, додатково залучених в оборот (вилучених з обороту).
Аналіз фінансової сталості підприємства передбачає визначення ступеня фінансової незалежності від зовнішніх позичених джерел. Одним з важливих показників, які характеризують фінансову сталість підприємства, є показник питомої ваги всієї суми зобов'язань по залучених (позичених) коштах у вкладеннях в активи власних коштів. Цей показник отримав назву "коефіцієнт автономії". Він показує, наскільки підприємство є незалежним від позичених коштів.
На основі коефіцієнта довгострокового залучення позичених коштів судять про стабільність тієї частини коштів, яка утворюється за рахунок довготермінових кредитів.
Важливим показником фінансової сталості підприємства є коефіцієнт маневрування. Цей показник дає змогу оцінити структуру розподілу власних засобів шляхом визначення питомої ваги власних оборотних коштів у загальнійсумі джерел власних коштів. Коефіцієнт маневрування дає відповідь на питання, яка частина власних коштів підприємства не закріплена в цінностях іммобілізованого характеру і перебуває в стані, який дає змогу більш або менш вільно маневрувати цими коштами.
Аналіз платоспроможності дає змогу визначити здатність підприємства до швидкого погашення своїх короткотермінових зобов'язань. При цьому прискіплива увага приділяється такому показнику платоспроможності, як загальний коефіцієнт покриття, що характеризує відношення мобільних засобів до короткотермінової заборгованості. Коефіцієнт покриття дає змогу з'ясувати, чи достатньо у підприємства коштів, які можуть бути використані ним для погашення своїх короткотермінових зобов'язань.
Частковим показником загального коефіцієнта покриття є коефіцієнт абсолютної ліквідності, який характеризує відношення найбільш ліквідної частини оборотних засобів (грошових коштів та цінних паперів) до поточних зобов'язань. Цей коефіцієнт дає відповідь на запитання, яка сума короткотермінових зобов'язань підприємства на звітну дату може бути погашена негайно.
Певну аналітичну цінність має проміжний коефіцієнт покриття. Він визначається як відношення суми грошових засобів, цінних паперів і дебіторської заборгованості разом взятих до короткотермінових зобов'язань підприємства. Таке співвідношення показує, чи достатньо цієї суми для погашення короткотермінових боргів. Оцінюючи цей показник, слід врахувати тривалість короткотермінового кредиту при закупівлі товарно-матеріальних цінностей і продажу продукції підприємства.
Для оцінки загальної ефективності господарської діяльності підприємства визначені показники рентабельності. Вони показують, наскільки прибутковою є діяльність підприємства.
Аналіз показників рентабельності передбачає оцінку рівнів рентабельності, визначення динаміки рентабельності, причин і факторів, які впливають на її зміну, і ступеня їх впливу на цю зміну. Заключним етапом аналізу рентабельності є розробка заходів щодо мобілізації резервів підвищення рентабельності.
Виділяють такі основні показники рентабельності: рентабельність капіталу (майна), рентабельність фондів (рентабельність виробництва), рентабельність продукції.
Завершальним етапом аналізу фінансового стану підприємства є розробка заходів щодо зміцнення фінансового стану. У кожного підприємства завжди є резерви поліпшення фінансового стану. З'ясувавши в ході аналізу причини фінансових труднощів, їх слід згрупувати за основними напрямами.
Головними з них є виробничі фактори: обсяги виробництва, якість та асортимент продукції, що випускається, відповідність термінів її поставки термінам, передбаченим договорами. Важливу роль відіграють також фактори, пов'язані зі стабільністю матеріально-технічного постачання, наявністю ринків збуту і загальногосподарські.
Можна говорити і про власні фінансові фактори. Це насамперед рівень рентабельності, який багато в чому визначається рівнем цін на продукцію підприємства. Якщо рівень цін не забезпечує підприємству необхідного для його нормального розвитку рівня рентабельності, то слід подумати про перехід на випуск більш вигідної продукції, а також про пошук таких покупців (в тому числі на нових ринках збуту), які можуть придбати продукцію за вищою ціною.
Другою важливою об'єктивною причиною фінансових труднощів може бути погана забезпеченість виробничого процесу фінансовими ресурсами. У цьому випадку слід потурбуватися про реалізацію понаднормативних запасів товарно-матеріальних цінностей, ліквідацію надлишкових і маловикористовуваних основних фондів, реалізацію наявних у підприємства цінних паперів. Серед інших засобів збільшення фінансових результатів мобілізація наявних у підприємства засобів спеціальних фондів, в тому числі резервного, створюваного спеціально з такою метою. Необхідно вивчити можливість отримання кредитів у банках, постачальників, покупців.
Вирішальним способом підвищення ефективності може стати зміна форми господарювання або форми власності.
Аналіз фінансового стану підприємства завершується складанням конкретного плану його зміцнення, який містить виробничі, технологічні та організаційні заходи.
1.4. Основні напрямки аналізу балансу.
Основним джерелом інформації для аналізу фінансового стану служить бухгалтерський баланс підприємства. Його значення настільки велике, що аналіз фінансового стану нерідко називають аналізом балансу.
В балансі відображаються ресурси і вимоги на ці ресурси або ж частка участі в них, він служить також індикатором "фінансового здоров'я" підприємства. Відповідно до загальноприйнятих стандартів обліку, баланс розкриває зміст понять активу і пасиву. Активи підприємства відображені в балансі як вартість майна і боргових прав, якими розпоряджається і які контролює підприємство на звітну дату. Пасиви - це зобов'язання підприємства за позиками і кредиторською заборгованістю або джерела утворення господарських засобів, а також власний капітал. Перевищення вартості активів над пасивами становить вартість власних активів підприємства, в тому числі його прибуток.
Актив балансу характеризує засоби підприємства за складом і напрямами використання. За міжнародною термінологією обліку активи, або засоби підприємства, - це господарські ресурси, які "повинні" принести вигоду підприємству. Активи характеризуються трьома основними ознаками, тобто вони повинні: забезпечити економічні вигоди; контролюватися підприємством; бути результатом попередніх подій або операцій.
Активи мають грошову оцінку або можуть бути перетворені в гроші; крім того, активи включають відстрочені платежі, які не є господарськими ресурсами.
Активи балансу поділяються на оборотні й позаоборотні. Оборотні активи - це засоби, використані, продані або спожиті протягом звітного періоду, який, як правило, становить один рік. Позаоборотні активи - це засоби, які використовуються понад один звітний період (рік), вони придбані з метою використання в господарській діяльності і не призначені для продажу протягом року.
Активи включають будівлі, споруди та обладнання, фінансовий лізинг, інвестиції в інші підприємства, довготермінову дебіторську заборгованість; вартість патентів, авторських прав, ноу-хау, тортові знаки та інші нематеріальні активи; ліквідні цінні папери; поточну дебіторську (або комерційну) заборгованість; товарно-матеріальні запаси; наявні кошти і кошти на банківських рахунках, авансові витрати.
Пасив балансу має три основні розділи: "Джерела власних коштів", "Довгострокові пасиви", "Розрахунки та інші пасиви". В першому розділі пасиву балансу представлена інформація про джерела власних активів підприємства. Тут містяться відомості про розміри статутного фонду, спеціальних фондів і цільового фінансування, амортизаційного і ремонтного фондів, доходів майбутніх періодів і балансового прибутку, кредиторської заборгованості по розрахунках за майно і фінансування капітальних вкладень. В цьому розділі наводяться нагромаджені суми спрацювання основних засобів (і нематеріальних активів), МШП, резерву на покриття передбачених витрат і платежів, торгової націнки на нереалізовані товари.
У другому розділі пасиву балансу міститься інформація про довготермінові кредити банків та інші позичені засоби, отримані в певному порядку. У цьому ж розділі показують суму заборгованості банкам за всіма видами прострочених позик.
У третьому розділі пасиву відображаються дані про заборгованості короткотермінового характеру, терміни погашення яких настають протягом року з дня виникнення. У цьому ж розділі показують позики під векселі, видані зі строками платежів, які не перевищують одного року з моменту складання балансу. Заборгованість, оформлену векселями з більшими строками, відносять до довготермінових позичених коштів.
Отже, якщо актив балансу характеризує склад господарських засобів підприємства, то пасив показує, з яких джерел вони утворені. Ці засоби поділяються на власні та залучені. Основними видами залучених джерел є кредити банку і кредиторська заборгованість.
Пасив балансу - це сума зобов'язань підприємства. Наприклад, статутний фонд є зобов'язанням перед власником щодо виділених підприємству основних і оборотних засобів. Кредити банку є зобов'язаннями підприємства перед банком щодо отриманих кредитів на різні цілі.
Кредиторська заборгованість є зобов'язанням перед контрагентами: постачальниками - за отримані товарно-матеріальні цінності та надані послуги, робітниками і службовцями - щодо оплати праці, бюджетом - щодо відрахувань з прибутку та інших платежів. Різного роду фонди і резерви - це зобов'язання адміністрації перед колективом підприємства загалом щодо виробничого і соціального розвитку.
У процесі господарської діяльності засоби підприємства або зростають (на суму отриманого прибутку), або зменшуються (на суму отриманих збитків). Врівноваження активу і пасиву балансу здійснюється шляхом введення в пасив статті "Прибуток" або в актив статті "Збитки". Отже, прибуток можна трактувати як суму власних засобів підприємства, що зростають, а збитки - як суму власних засобів, які "проїли".
З короткого аналізу структури балансу можна зробити висновок, що баланс став більш наочним, і - що особливо - пристосованим для вирішення тих завдань, які постали перед аналізом фінансового стану в ринкових умовах. При колишній методиці аналізу вирішальну роль відігравали порівняння значень статей і розділів балансу з їх нормативними величинами, виявлення причин відхилень від нормативу, виявлення впливу цін на стійкість фінансового стану підприємства. Однією із найважливіших особливостей фінансової звітності, застосовуваної нині, є відсутність у ній планових показників та нормативів. В умовах ринку планування втрачає риси централізованого адміністративного керівництва підприємством, а служить передусім виробленню гнучкої стратегії і тактики господарської поведінки підприємства, що прагне зміцнити своє становище при швидкій мінливості ринкової кон'юнктури.
Аналіз фінансового стану за звітний період починається з його загальної оцінки за даними балансу. Для того, щоб аналізувати всі перелічені вище моменти, необхідним етапом, що передує проведенню аналізу, є приведення звітного балансу в таку форму, що, з одного боку робить можливим об'єктивний аналіз, а з другого боку, є максимально зручним для проведення аналітичних розрахунків. Згідно з діючими нормативними документами, баланс зараз складається з оцінки нетто, він уже позбавлений основних регулюючих статей. Для сучасного аналізу можна користуватися одним із трьох засобів:
Провести аналіз безпосередньо за балансом без попередньої модифікації балансових статей;
Побудувати згрупований аналітичний баланс (таблиця 1.4.1.), поєднавши однорідні за складом елементи балансових статей. Таке перегрупування балансу можна виконати різноманітними засобами, навіть об'єднанням статей різних розділів;
Провести додаткову чистку балансу від наявних у ньому регулятивів з наступним об'єднанням статей в необхідному розрізі.
В таблиці 1.4.1. наведено один із варіантів побудови згрупованого балансу – нетто, за яким можна визначити загальну суму фінансових ресурсів підприємства (підсумок активу балансу на кінець звітного періоду). По цьому балансу необхідно уточнити також оцінку майна підприємства (підсумок активу балансу /Бн/, для чого необхідно здійснити такий розрахунок: підсумок балансу /Бн/ = підсумок балансу - резерв по сумнівних боргах - резерв майбутніх платежів - доходи майбутніх періодів - збитки минулих років - збитки звітного року).
Таблиця 1.4.1 - Згрупований баланс нетто.
| № п/п | АКТИВ | на початок року | на кінець року |
| 1 | Основні засоби, необоротні активи. | ||
| основні засоби і нематеріальні активи | |||
| капітальні та фінансові вкладення | |||
| Всього за розділом 1 | |||
| 2 | Запаси і затрати | ||
| виробничі запаси та незавершене вир-во | |||
| готова продукція | |||
| товар за собівартістю | |||
| інші запаси і витрати | |||
| Всього за розділом 2 | |||
| 3 | Грошові кошти, розрахунки, інші активи | ||
| грошові кошти | |||
| короткострокові фінансові вкладення | |||
| розрахунки з дебіторами | |||
| інші активи | |||
| Всього за розділом 3 | |||
| БАЛАНС | |||
| № п/п | ПАСИВ | на початок року | на кінець року |
| 1 | Джерела власних засобів | ||
| статутний фонд | |||
| спеціальні фонди і цільове фінансування | |||
| нерозподілений прибуток | |||
| інші джерела | |||
| Всього за розділом 1 | |||
| 2 | Довгострокові пасиви | ||
| довгострокові пасиви банку | |||
| довгострокові позики | |||
| Всього за розділом 2 | |||
| 3 | Розрахунки та інші пасиви | ||
| короткострокові позички та позики | |||
| розрахунки з кредиторами | |||
| інші пасиви | |||
| Всього за розділом 3 | |||
| БАЛАНС | |||
Отриманий результат показує реальну вартість майна підприємства. Реальна оцінка активів і пасивів балансу необхідна передусім банку для впевненості в кредитоспроможності підприємства, якому він пропонує кредит, а також підприємствам, що вступають в економічні відносини.
Для аналізу наступних питань фінансового стану необхідно продовжити перегрупування статей балансу з тим, щоб одержані результати були зручні для проведення аналітичних розрахунків.
Перегрупування статей балансу в активі проводиться за ступенем зменшення ліквідності активів, а пасивів - за ступенем зростання термінів погашення зобов'язань.
1.5. Методика аналізу балансового прибутку.
Аналізуючи "Звіт про фінансові результати" підприємства необхідно велику увагу звернути на аналіз балансового прибутку підприємства. Балансовий прибуток характеризує фінансовий результат усіх видів господарської діяльності підприємства. Аналіз балансового прибутку проводиться шляхом зіставлення фактично одержаного балансового прибутку за звітний період із даним за минулий рік. При цьому детально аналізуються складові частини балансового прибутку, вивчаються напрямки їх розвитку за звітний період, аналізується структура прибутку за звітний рік
Після загальної оцінки стану балансового прибутку на підприємстві необхідно перейти до факторного аналізу прибутку. Як було зазначено вище, на зміну балансового прибутку впливає зміна складових частин балансового прибутку, які одночасно є і факторами.
На зміну балансового прибутку впливають такі фактори:
Зміна прибутку від р
еалізації
продукції.
Алгоритм розрахунку
такий:
(1.5.1)
де
-
результат від
реалізації
відповідно
у звітному і
базовому році.
В свою чергу прибуток від реалізації продукції можна розбити на ряд додаткових факторів:
1.1. Зміна обсягу реалізованої продукції:
(1.5.2)
де ПСпер і ПСб – повна собівартість перерахована та базового рокувідповідно;
1.2. Зміна структури реалізованої продукції:
(1.5.3)
де
- перерахований
результат від
реалізації
продукції.
1.3. Зміна повної собівартості реалізованої продукції:
(1.5.4)
де ПС3 - повна собівартість звітного року.
1.4. Зміна цін на реалізовану продукцію:
(1.5.5)
де Вз, Впер - виручка від реалізації за відрахуванням ПДВ, акцизів та інших податків у звітному році та перерахованої величини.
Зміна прибутку від іншої реалізації продукції, робіт, послуг. Необхідно взяти суму фактичного прибутку (збитків) від іншої реалізації;
Зміна позареалізаційних результатів. Необхідно взяти окремо за звітний період суму позареалізаційних доходів і окремо суму збитків: різниця між ними покаже розмір збільшення (зменшення) балансового прибутку.
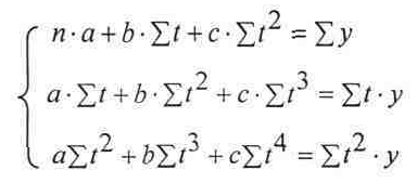
Також важливим моментом аналізу балансового прибутку є його прогнозування на наступний період. Для цього необхідно провести екстраполяцію балансового прибутку. Суть екстраполяції полягає у наступному: спочатку робиться вирівнювання значень прибутку по прямій і по параболі; потім знаходиться середньо-квадратичне відхилення значень по прямій і по параболі. Якщо середньо-квадратичне відхилення по параболі менше за середньо-квадратичне відхилення по прямій, то в якості рівняння, по якому буде здійснюватись екстраполяція буде рівняння параболи.
Рівняння прямої виглядає так: y=a+b*t (1.5.6)
Рівняння параболи виглядає так: y=a+b*t+c*t2 (1.5.7)
де а,b,с- коефіцієнти рівняння.
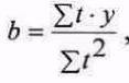
Значення а, b для рівняння прямої визначаються вирішенням наступної системи рівнянь:
(1.5.7)
Коефіцієнти
рівняння визначаються
так:
(1.5.8)
де y – це фактичне значення балансового прибутку;
n — кількість фактичних значень балансового прибутку;
Значення а, b, с для рівняння параболи визначаються вирішенням наступної системи рівнянь:
(1.5.9)
де
, а всі решта
значень (тобто
а, с) визначаються
складанням
нової системи
рівнянь, але
в якій вже буде
визначене
значення b.
Після цього необхідно визначити середньоквадратичне відхилення (дисперсію):
(1.5.10)
де Уфакт і Урозр - фактичне і розрахункове значення балансового прибутку.
Після даних розрахунків доцільно графічно показати зміну балансового прибутку за аналізований період, а також вирівняні значення балансового прибутку по прямій і по параболі.
1.6. Ліквідність і платоспроможність підприємства.
Фінансовий стан підприємств можна оцінювати з точки зору його короткострокової і довгострокової перспектив. У короткостроковій перспективі критерієм оцінки фінансового стану підприємства є його ліквідність і платоспроможність, тобто спроможність своєчасно і в повному обсязі розрахуватися по короткострокових зобов'язаннях. Термін "ліквідний" передбачає безперешкодне перетворення майна в гроші. Ліквідність підприємства — це його спроможність перетворювати свої активи в гроші для покриття всіх необхідних платежів у міру настання їх строку.
Найліквіднішою є готівка (або сальдо балансового рахунку). Наступним за ступенем ліквідності активом є короткострокові інвестиції (цінні папери), оскільки на випадок необхідності вони можуть бути швидко реалізовані в гроші.
Дебіторська заборгованість - теж ліквідний актив, оскільки передбачається, що дебітори оплатять рахунок у найближчому майбутньому.
Найменш ліквідним поточним активом є запаси, тому що для перетворення їх в гроші спочатку необхідно їх продати. Отже, під ліквідністю будь-якого активу слід розуміти можливість перетворення його в гроші, а ступінь ліквідності визначається тривалістю тимчасового періоду, протягом якого відбувається це перетворення. Чим коротший цей період, тим вищою є ліквідність даного виду активів.
Короткострокові зобов'язання — це борги, строк погашення яких не перевищує одного року. Коли настає строк платежу, в наявності у підприємства повинно бути достатньо грошей для сплати. Аналіз ліквідності балансу полягає в порівнянні коштів по активу, згрупованих за ступенем їх ліквідності і розташованих у порядку зменшення ліквідності з зобов'язаннями по пасиву, об'єднаними за строками їх погашення і в порядку зростання цих строків. Залежно від ступеня ліквідності, тобто швидкості перетворення в гроші, активи підприємства, як було зазначено вище, поділяються на групи:
найбільш ліквідні активи;
активи, що швидко реалізуються;
активи, що реалізуються повільно;
важкореалізовувані активи.
Пасиви групуються за ступенем строку їх оплати у три групи:
короткострокові пасиви;
довгострокові пасиви;
постійні пасиви.
Інформація, що характеризує величину поточних активів, наведена в II і III розділах активу балансу.
Відомості про короткострокові зобов'язання підприємства містяться в ІІІ розділі пасиву балансу.
Ліквідність підприємства можна оперативно визначити за допомогою коефіцієнтів ліквідності.
Ними є:
загальний коефіцієнт покриття (або поточний коефіцієнт).
коефіцієнт швидкої ліквідності.
коефіцієнт абсолютної ліквідності.
Загальний коефіцієнт визначається:
(1.6.1)
де: ПА – поточні активи (підсумок II розділу активу + підсумок ІІІ розділу активу);
ПЗ - поточні зобов'язання (підсумок III розділу пасиву).
За цим коефіцієнтом одержують загальну оцінку ліквідності активів. Він показує, скільки гривень поточних активів підприємства припадає на одну гривню поточних зобов'язань. Логіка даного показника полягає в тому, що підприємство погашає короткострокові зобов'язання в основному за рахунок поточних активів, отже, якщо поточні активи перевищують по величині поточні зобов'язання, підприємство вважається ліквідним. Розмір перевищення задається коефіцієнтом покриття. Значення цього показника залежить і від галузі і від виду діяльності. В західній обліково-аналітичній практиці наводиться критичне нижнє значення цього показника. Визнано, що поточні активи повинні вдвічі перевищувати короткострокові зобов'язання.
Якщо ж на підприємстві відношення поточних активів і короткострокових зобов'язань нижче, ніж 1 : 1, це говорить про високий фінансовий ризик, оскільки підприємство не в змозі оплатити свої рахунки. Співвідношення 1 : 1 припускає рівність поточних активів і короткострокових зобов'язань. Але, зважаючи на різний ступінь ліквідності активів, можна припустити, що не всі активи будуть негайно реалізовані, а тому виникає загроза для фінансової стабільності підприємства. Якщо ж значення коефіцієнта покриття значно перевищує співвідношення 1 : 1, то можна зробити висновок про те, що підприємство володіє значним обсягом вільних ресурсів, які сформувалися завдяки власним джерелам. З позиції кредиторів підприємства такий варіант формування оборотних коштів є найбільш прийнятним. Водночас, з точки зору менеджера, значне накопичення запасів на підприємстві, відтягування грошей у дебіторську заборгованість може бути пов'язане з невмілим управлінням активами. Скорочення величини коефіцієнта покриття може статися під впливом двох факторів:
Збільшення поточних активів.
Значного зростання короткострокових зобов'язань.Для з'ясування причин модифікації цього показника необхідно проаналізувати зміни в складі джерел коштів і їх розміщенні в порівнянні з початком року.
Коефіцієнт швидкої ліквідності визначається так:
(1.6.2)
де ГК – грошові кошти, розрахунки та інші активи (підсумок III розділу активу).
Цей коефіцієнт за смисловим значенням аналогічний коефіцієнту покриття, тільки він обчислюється по вужчому колу поточних активів, коли з розрахунку виключена найменш ліквідна їх частина — виробничі запаси.
Виключаються матеріальні запаси не тільки через те, що вони менш ліквідні, а в основному через те, що грошові кошти, які можна одержати у випадку вимушеної реалізації виробничих запасів, можуть бути істотно нижчими за затрати на їх закупку. В умовах ринкової економіки типовою є ситуація, коли при ліквідації підприємства одержують 40% і менше від облікової вартості запасів. "Розумним" коефіцієнтом швидкої ліквідності є співвідношення 1:1.
На практиці багато підприємств мають більш низький коефіцієнт швидкої ліквідності (наприклад, 0,5 : 1), тому для оцінки їх ліквідності необхідно проаналізувати тенденції зміни цього показника за певний період часу. Так, якщо зростання коефіцієнта швидкої ліквідності було пов'язане в основному зі зростанням невиправданої дебіторської заборгованості, то це свідчитиме про серйозні фінансові проблеми підприємства. В західній економічній літературі цей коефіцієнт називають коефіцієнтом миттєвої оцінки.
Коефіцієнт абсолютної ліквідності визначається так:
(1.6.3)
де ГК— грошові кошти (каса + роз. рах. + вал. рах. + інші кошти) Цей коефіцієнт показує, що частина короткострокових позикових зобов'язань може бути при необхідності погашена негайно. Теоретично достатнім значенням для коефіцієнта абсолютної ліквідності є співвідношення 0,2 :1. В практиці фактичні середні значення коефіцієнтів ліквідності бувають значно нижчими, і за цими показниками не можна робити відразу негативні висновки щодо можливості підприємства негайно погасити свої борги, бо малоймовірно, щоб усі кредитори підприємства водночас пред'являли йому свої боргові вимоги.
Для оцінки ліквідності окрім коефіцієнтів застосовуються й інші показники.
Величина власних оборотних коштів, яка розраховується: власний капітал + довгострокові кредити банків + довгострокові позики -підсумок розділу І активу балансу.
Говорячи про поточні активи, слід мати на увазі, що в складі III розділу активу є окремі статті: "Резерв по сумнівних боргах", "Резерви наступних платежів", які не мають відношення до позикових коштів підприємства. Так, джерелом утворення резерву по сумнівних боргах є балансовий прибуток підприємства.
Резерви наступних витрат платежів формуються за рахунок собівартості продукції. Отже, для одержання обґрунтованої інформації про величину поточних зобов'язань підприємства при оцінці ліквідності ці статті балансу слід виключити із загального підсумку III розділу пасиву. Величина власних оборотних коштів характеризує ту частину власного капіталу підприємства, яка є джерелом покриття поточних активів підприємства (тобто активів, які мають оборотність менш одного року). Це розрахунковий показник, що залежить від структури активів і від структури джерел засобів. Аналіз цього показника здійснюється в динаміці, його зростання розглядається як позитивна тенденція.
Основним і постійним джерелом збільшення власних оборотних коштів є прибуток.
Слід розрізняти поняття "оборотні кошти" і "власні оборотні кошти". Оборотні кошти - це кошти, які здійснюють оборот (гроші —> кошти —> гроші) протягом року чи одного виробничого циклу. Вони складаються в двох частин: а) постійного оборотного капіталу. Це та частина поточних активів, необхідність у якій відносно постійна протягом усього операційного циклу. b) змінного оборотного капіталу (синонім — варіююча (змінна) частина поточних активів). Необхідність у цій частині виникає лише в пікові моменти виробничого циклу.
Оборотні кошти характеризують активи підприємства (II і ІІІ розділи активу балансу). Власні оборотні кошти - це джерела коштів, а саме - частина власного капіталу підприємства, що розглядається як джерело покриття поточних активів. Величина власних оборотних коштів дорівнює перевищенню поточних активів над поточними зобов'язаннями. Інколи складається і зворотна ситуація, коли поточні зобов'язання перевищують поточні активи. Тоді одним із джерел покриття основних коштів і позаобігових активів є короткострокова
кредиторська заборгованість. Фінансовий стан підприємства вважається в цьому випадку нестійким. Потрібно вживати негайних заходів щодо його поліпшення.
Ліквідність підприємств характеризує також показник маневреності власного капіталу (капіталу, що функціонує). Він визначається:
(1.6.4)
де ВК - власні кошти (підсумок II розділу активу + підсумок III розділу активу)
К- капітал, що функціонує (підсумок І розділу пасиву).
Цей показник показує, яка частина власного капіталу використовується для фінансування поточної діяльності, тобто характеризує ту частину власних обігових коштів, які знаходяться в формі грошових коштів, що мають абсолютну ліквідність.
Для підприємства, що нормально функціонує, цей показник повинен знаходитись в межах 0,4-0,6. Прийнятне орієнтовне значення показника встановлюється підприємством самостійно і залежить, наприклад від того, наскільки висока щоденна потреба підприємства у вільних грошових ресурсах.
Таким чином, можна зробити висновок, що ліквідність — це спроможність, будь-якого з активів трансформуватися в грошові кошти, а ступінь ліквідності визначається тривалістю періоду, впродовж якого ця трансформація може бути здійснена. Чим коротший цей період, тим вища ліквідність.
З цією метою визначається індекс ліквідності, що показує кількість днів, необхідних для перетворення поточних активів у готівку.
Слід наголосити, що, говорячи про ліквідність підприємства, часто ототожнюють це поняття з платоспроможністю. Однак ці поняття не тотожні. Так, коефіцієнти ліквідності можуть характеризувати фінансовий стан як задовільний, однак по суті ця оцінка помилкова, якщо в поточних активах значна питома вага припадає на неліквідні і короткострокову дебіторську заборгованість.
Платоспроможність означає наявність у підприємства грошових коштів і еквівалентів, достатніх для розрахунків по кредиторській заборгованості, що вимагає негайного погашення.
Ознаками платоспроможності є:
наявність грошей у касі, на розрахунковому рахунку.
відсутність простроченої кредиторської заборгованості.
Причому наявність незначних залишків грошей на розрахунковому рахунку ще не означає, що підприємство неплатоспроможне, бо кошти на розрахунковий рахунок можуть надійти впродовж кількох днів.
Для оцінки платоспроможності на підприємстві складається платіжний баланс (календар). Він складається на будь-яку дату. Макет платіжного балансу зображений в таблиці 1.6.1.
Таблиця 1.6.1 - Платіжний баланс (календар підприємства).
|
АКТИВ |
ПАСИВ |
||||
|
Наявні кошти для покриття заборгованості |
на поч. року |
на кін. року |
Негайні та інші платежі |
на поч. року |
на кін. року |
|
1 . Грошові кошти на розрах. рахунку, в касі і інших рахунках |
1 . Заборгованість по позичці |
||||
|
2. Розрахунки з дебіторами |
2. Заборгованість кредиторів |
||||
|
Всього: |
Всього: |
||||
|
Сальдо |
Сальдо |
||||
|
БАЛАНС |
БАЛАНС |
||||
Якщо сальдо в активі платіжного балансу, то це означає: підприємство неплатоспроможне. Відомо, що оцінка рівня платоспроможності дається за даними балансу на основі характеристики ліквідності оборотних коштів, тобто з урахуванням часу, необхідного для перетворення їх у готівку. Отже, є три рівні платоспроможності підприємства, оцінку яких проводять за допомогою трьох коефіцієнтів:
грошова платоспроможність;
розрахункова платоспроможність;
ліквідна платоспроможність.
Підвищення рівня платоспроможності підприємства залежить від поліпшення результатів його виробничої і комерційної діяльності. Разом з цим надійний фінансовий стан залежить також від раціональної організації використання фінансових ресурсів. Тому в умовах ринкової економіки здійснюється не тільки оцінка активів і пасивів балансу, а також і поглиблений щоденний аналіз стану і використання господарських засобів. Інформаційною базою для такого аналізу є дані управлінського обліку.
Як відомо, для встановлення платоспроможності підприємства перш за все вивчається структура балансу. Вона може бути визнана незадовільною, а підприємство неплатоспроможним, якщо:
загальний коефіцієнт ліквідності на кінець звітного періоду має значення нижче нормативного (1,5);
коефіцієнт забезпеченості власними оборотними коштами на кінець звітного періоду має значення нижче нормативного (0,3).
Загальний коефіцієнт ліквідності розраховується за формулою:
(1.6.5)
де ПА - поточні активи;
Р - витрати майбутніх періодів;
ПП - поточні пасиви;
Д - доходи майбутніх періодів.
Коефіцієнт забезпеченості власними коштами розраховується за формулою:
(1.6.6)
У процесі аналізу цих показників може стати наявною фінансова ситуація, яку необхідно оцінити.
По-перше, коефіцієнт ліквідності і коефіцієнт забезпеченості власними оборотними коштами може бути нижчим за нормативний, проте виявляється тенденція до зростання цих показників на підприємстві. В таких випадках розраховується коефіцієнт відновлення платоспроможності:
(1.6.7)
де Кл1, Кл0 - фактичне значення коефіцієнта ліквідності на початок і кінець звітного періоду;
КЛ(норм)-нормативне значення коефіцієнта;
Ч - звітний період.
Значення одержаних розрахунків:
якщо К В.П >1 - то у підприємства є реальна можливість відновлення платоспроможності;
якщо КВ.П. <1 - то у підприємства найближчим часом немає такої можливості.
По-друге, можлива і така ситуація, коли Кл і Кз рівнозначні нормативному значенню на кінець звітного періоду, або вище цього рівня, але намітилась загальна тенденція до зниження. Тоді доцільно розрахувати коефіцієнт втрати платоспроможності, який вказує на період збереження, або навпаки, платоспроможності (наприклад, цей період рівний 3 місяцям), тоді цей коефіцієнт розраховується за формулою:
(1.6.8)
Якщо Ку.п.>1, то підприємство має реальну можливість зберегти свою платоспроможність протягом 3-х місяців, і навпаки.
Таким чином, висновки щодо незадовільної структури балансу і визнання підприємства неплатоспроможним можна зробити, якщо у підприємства Кд і Кз нижче нормативних можливостей і відновити свою платоспроможність підприємство не може.
Але якщо у підприємства ці коефіцієнти нижче нормативних, проте є реальна можливість відновити свою платоспроможність у встановлені строки, може бути прийнято рішення щодо відстрочки визнання підприємства неплатоспроможним протягом 6 місяців.
2. Аналіз показників фінансового стану підприємства.
2.1. Загальна характеристика підприємства.
Більш ніж 25 років минуло з того часу, як було створено Івано-Франківське управління по видобутку і транспорту газу, відоме тепер як "Прикарпаттрансгаз".
Сьогодні "Прикарпаттрансгаз" — багатогалузеве підприємство, головний предмет діяльності якого — транспорт газу. Через газопроводи "Прикарпаттрансгазу" транспортується російський газ на експорт в європейські країни, а також у західні області України.
Підприємство "Прикарпаттрансгаз" - одне з найстаріших підприємств газової промисловості України. Вперше записи природного газу на території області виявлені в 1910 році в районі Калуша, випадково, АТ "Калі" при пошуковому бурінні на калійні солі. Природний газ спочатку використовували, як правило, для котлів і для опалення будинків в м.Калуші. промислова евакуація Калуського газового родовища розпочалась в 1933 році.
Перший магістральний газопровід природного газу на території Івано-Франківської області Дашава-Моршин-Болехів-Долина-Вигода ДУ125мм був побудований до 1939 року акціонерним товариством теперішнього Вигодського хімкомбінату.
На території Івано-Франківської області розвідування газових родовищ розпочалось в 1949 році в районі Косова і Калуша, для чого були створені дві контори буріння, підпорядковані об'єднанню "Укргаз", яке знаходилось у місті Львові. В результаті широкого застосування сейсморозвідки і розширення фронту бурових робіт були відкриті і введені в експлуатацію нові газові родовища: Битків, Кадобно, Косів. Видобуток газу значно зріс.
В 1959 році розпочато будівництво магістральних газопроводів Угерсько-Івано-Франківськ-Чернівці ДУ529мм загальною довжиною 250км, Пасічна-Тисмениця ДУ 325мм довжиною 49км, а також Долинського газобензинового заводу. Дані об'єкти були закінчені в 1962 році.
В 1960 році був організований Станіславський газопромисел з місцем знаходження спочатку в м.Калуші, а відтак в Тисмениці. В 1964 році на базі Станіславського газопромислу було організовано Надвірнянське газопромислове управління, яке в тому ж році видобуло 3,3 млрд.м3 газу.
У зв'язку із зростанням довжини газопроводів в лютому 1966 року на базі Тисменицького цеху по транспорту газу Надвірнянського ГПУ створено Івано-Франківське управління газопроводів.
В 1967 році введено в експлуатацію магістральний газопровід Долина-Ужгород-Державний кордон ДУ820мм, також газопровід Пукеничі-Долина ДУ 720мм. В 1969-1970 рр. введено в експлуатацію газопроводи Пасічна-Тисмениця ДУ 529мм та Богородчани-Івано-Франківськ ДУ325мм. Довжина усіх газопроводів у 1970 році склала 880км.
У цьому ж році Надвірнянське газопромислове управління перебазовується до обласного центру і, у зв'язку із знаходженням двох управлінь в м.Івано-Франківську Міністерство газової промисловості наказом від 7 липня 1970 року реорганізувало два управління в одне - Івано-Франківське управління по видобутку і транспорту газу, в подальшому іменоване "Прикарпаттрансгаз".
"Прикарпаттрансгаз" здійснював експлуатацію чотирьох газових та газоконденсатних родовищ (Битківське, Гринівське, Косівське, Кадобнянське). Для очистки та осушки на цих родовищах були побудовані та введені в експлуатацію 15 установок низькотемпературної сепарації і пунктів очистки газу, дожимна компресорна станція в Пасічній.
Розширюється і газотранспортна система, обсяги експортних поставок збільшуються і в 1994 році досягай 96,6 млрд.м3, а у 1995 році перевершили 100-мільярдний рубіж.
Для виконання такої транспортної роботи в розпорядженні підприємства знаходяться великі виробничі потужності, а саме: біля 5000 км магістральних газопроводів діаметром від 150 до 1420 мм, 18 компресорних станцій з встановленою потужністю більше 1000 мегават, дві установки підготовки газу потужністю понад 100 млрд.м3 у рік, третя готується до пуску в районі Орловки на 21 млрд.м3 у рік.
Крім експорту газу в європейські країни підприємство транспортує також газ для Молдови, Одеської, Чернівецької, Івано-Франківської, Закарпатської та частково Тернопільської областей через 164 ГРС. "Прикарпаттрансгаз" займається також підземним зберіганням газу (активна потужність 2,3 млрд.м ), заправкою автомобілів стисненим газом (5 діючих АГНКС і 3 в стадії завершення будівництва) та іншою діяльністю. Загальна проектна потужність експортних газопроводів складає 140 млрд.м3 на рік. Експортні газопроводи в сторону Західної Європи побудовані: "Братерство"-1967р., Долина-Ужгород-
Держкордон 1420 мм - 1974р., "Союз"-1978р., Уренгой-Ужгород - 1982р., "Прогрес"-1988р.
В січні 1994 року з метою підвищення ефективності функціонування і розвитку системи газопостачання України в умовах приватизації державної власності та впровадження ринкових відносин на базі виробничого об'єднання "Укргазпром" створено одноіменне акціонерне товариство, а УМГ "Прикарпаттрансгаз" реорганізоване в дочірнє підприємство "Прикарпаттрансгаз". Проте у 1999 році ДП "Прикарпаттрансгаз" реорганізовано (що привело до втрати статусу юридичної особи з всіма наслідками, які витікають звідси), тепер воно займається всім тим, чим займалось на протязі багатьох років, окрім видобутку газу. Тепер ДП "Прикарпаттрансгаз" називається, як і раніше управління магістральних газопроводів "Прикарпаттрансгаз" (УМГ "Прикарпаттрансгаз"), у складі якого зараз є такі основні підрозділи:
1. Долинське лінійно-виробниче управління магістральних газопроводів (ДЛВУМГ), створене в 1966 році;
2. Закарпатське лінійно-виробниче управління магістральних газопроводів (ЗЛВУМГ), створене в 1967 році;
3. Хустське лінійно-виробниче управління магістральних газопроводів (ХЛВУМГ), створене в 1978 році;
4. Богородчанське лінійно-виробниче управління магістральних газопроводів (БЛВУМГ), створене в 1985 році;
5. Одеське лінійно-виробниче управління магістральних газопроводів (ОЛВУМГ), створене в 1994 році;
6. Богородчанське управління підземного зберігання газу (БУПЗГ), створене у 1984 році;
7. Пересувна механізована колона (ПМК), створена у 1976 році;
8. Богородчанське тепличне господарство, створене у 1993 році.
Крім об'єктів виробничого призначення, підприємство має солідну соціально-побутову інфраструктуру, таку як: цілий ряд житлових будинків, бази відпочинку у м.Яремчі та на Чорному морі, медико-санітарну частину, об'єкти торгівлі та громадського харчування, що в значній мірі сприяє виконанню виробничих завдань, поставлених перед колективом УМГ "Прикарпаттрансгаз".
2.2. Аналіз балансу підприємства.
Для аналізу
балансу доцільно
побудувати
згрупований
баланс нетто,
який
зображений
в таблиці 2.2.1.
Таблиця 2.2.1 - Згрупований баланс нетто активу (тис.грн.).
№ |
АКТИВ |
1998 |
1999 |
||
| на поч. року |
на кін.року |
на поч. року | на кінець року | ||
|
1 |
Основні засоби, необоротні активи. |
||||
|
основні засоби і нематеріальні активи |
1428110,4 |
1407019,3 |
1407019,3 |
1429438 |
|
|
капітальні та фінансові вкладення |
81101,1 |
97012,5 |
97012.5 |
135014.1 |
|
|
Всього за розділом 1 |
1509211,5 |
1504031,8 |
1504031,8 |
1564452,1 |
|
|
2 |
Запаси і затрати |
||||
|
виробничі запаси та незав. вир-во |
21416,9 |
30008,2 |
30008,2 |
57770,9 |
|
|
готова продукція |
2,2 |
2,3 |
2,3 |
2,3 | |
|
товар за собівартістю |
37803,3 |
35484,5 |
35484,5 |
33457,1 |
|
|
інші запаси і витрати |
2014,8 |
3863,5 |
3863,5 |
3376,3 |
|
|
Всього за розділом 2 |
61237,2 |
69358,5 |
69358,5 |
94606,6 |
|
|
3 |
Грошові кошти, розрахунки, інші активи |
||||
|
грошові кошти |
440,4 |
942 |
942 |
855,9 |
|
|
короткострокові фінансові вкладення |
|||||
|
розрахунки з дебіторами |
274064,1 |
233403,8 |
233403,8 |
548384,5 |
|
|
інші активи |
261118,5 |
200776,3 |
200776,3 |
97004 |
|
|
Всього за розділом 3 |
535623 |
435122,1 |
435122,1 |
646244,4 |
|
|
БАЛАНС |
2106071,7 |
2008512,4 |
2008512,4 |
2305302,5 |
|
Аналізуючи дані активу балансу нетто за 1998р. можна зробити такі висновки: вартість основних засобів на кінець року зменшилась у порівнянні з початком на 210911,1 тис.грн., проте збільшився розділ капітальні та фінансові вкладення (з 81101,1 до 97012,5 тис.грн.). Зменшення вартості основних засобів спричинило зменшення І розділу активу балансу (із 1509211,5 тис.грн. до 1504031,8 тис.грн.). Обернена ситуація склалась з II розділом активу "Запаси і затрати". Стрімкий ріст виробничих запасів та інших запасів і витрат привів до значного росту даного розділу на 8121,3 тис.грн. (з 61237,2 до 69358,5 тис.грн.). Негативним моментом є зменшення III розділу активу балансу "Грошові кошти, розрахунки, та інші активи" (особливо наявних грошових коштів на підприємстві) із 535623 до 435122,1 тис.грн. (на 100500,9 тис.грн.). В основному даній ситуації сприяло зменшення дебіторської заборгованості на 250720,3 тис.грн. В загальному по підсумку 3-х розділів можна сказати, що загальна сума активів підприємства скоротилась на 97559,3 тис.грн. (з 2106071,7 до 2008512,4 тис.грн.).
Якщо ж аналізувати дані 1999 року, то намітилась позитивна тенденція росту балансу підприємства (із 2008512,4 до 2305302,5 тис.грн.). Збільшилась вартість основних засобів і нематеріальних активів. Також зросла кількість фінансових і капітальних вкладень на 60420,3 тис.грн. Проте збільшилась дебіторська заборгованість підприємству на 314980,7тис.грн. (з 233403,8 до 548384,5 тис.грн). Цей момент діяльності підприємства можна розглядати двояко: з одного боку, це добре, що загальна сума балансу підприємства зросла, а з другого це, в основному, відбулось під впливом таких показників, як збільшення вартості основних засобів та зростання дебіторської заборгованості перед підприємством. Зростання заборгованості перед підприємством не є позитивним моментом, з точки зору економіки країни, оскільки це означає, що підприємства за надані послуги, виконані роботи не можуть з нами розрахуватись. Це не характеризує діяльність з позитивної точки зору, на мою думку.
Для більш детального аналізу активу балансу нетто можна скористатись визначенням структури активу підприємства, яка дана в наступній таблиці 2.2.
Аналізуючи результати розрахунків в дані таблиці можна зробити такі висновки: у 1998 році з загальній сумі балансу найбільше "місця" займає І розділ "Основні засоби, необоротні активи" - 74,88%, "Грошові кошти, розрахунки, інші активи" - 21,66%. Якщо аналізувати структуру по кожному розділі окремо, то маємо наступну ситуацію:
по І розділу можна сказати, що найбільшу вартість в цьому розділі займає вартість основних засобів і нематеріальних активів (93,55%);
по II розділі наступна ситуація: вартість виробничих запасів та товару за собівартістю в основному складають цей розділ (94,43%);
по III розділі маємо наступну ситуацію: вартість грошових коштів, які знаходиться на розрахунковому рахунку, касі і інших рахунках дуже мала (0,22 %); в наступних розділах цей розділ буде аналізуватись конкретніше; досить великий відсоток в цьому розділі займає дебіторська заборгованість -(53,64%).
Таблиця 2.2.2 - Структура активу балансу нетто (тис.грн.).
| № | АКТИВ | 1998 | 1999 | 1998 | 1999 | ||
|
Стр. заг- на |
Стр. розділів |
Стр. заг- на |
Стр. розділів |
||||
| на кінець року | на кінець року | ||||||
|
1 |
Основні засоби, необоротні активи. |
||||||
| основні засоби і немат. активи | 1407019,3 | 1429438 | 93,55 | 91,37 | |||
| капітальні та фінансові вкладення | 97012,5 | 135014,1 | 6,45 | 8,63 | |||
| Всього за розділом 1 |
1504031,8 |
1564452,1 |
74,88 |
100,00 |
67,86 |
100,00 |
|
|
2 |
Запаси і затрати |
||||||
| виробничі запаси та нез-не вир-во | 30008,2 | 57770,9 | 43,27 | 61,06 | |||
|
готова продукція |
2,3 |
2,3 |
0,00 |
0,00 |
|||
|
товар за собівартістю |
35484.5 |
33457,1 |
51,16 |
35,36 |
|||
|
інші запаси і витрати |
3863.5 |
3376,3 |
5,57 |
3,57 |
|||
|
Всього за розділом 2 |
69358,5 |
94606,6 |
3,45 |
100,00 |
4,10 |
100,00 |
|
|
3 |
Грошові кошти, розрахунки, інші активи |
||||||
|
грошові кошти |
942 |
855,9 |
0,22 |
0,13 |
|||
|
короткострокові фін. вкладення |
|||||||
|
розрахунки з дебіторами |
233403,8 |
548384,5 |
53,64 |
84,86 |
|||
|
інші активи |
200776.3 |
97004 |
46,14 |
15,01 |
|||
|
Всього за розділом 3 |
435122,1 |
646244,4 |
21,66 |
100,00 |
28,03 |
100,00 |
|
БАЛАНС |
2008512,4 |
2305302,5 |
100,00 |
100,00 |
|||
Аналізуючи структуру 1999р. ми бачимо наступну ситуацію: як і в 1998р., найбільший відсоток суми в загальному балансі займає вартість основних засобів і нематеріальних активів - 91,37%, проте ця сума в порівнянні із структурою попереднього року зменшилась на 2,18%; по другому розділі ситуація склалася аналогічно попередньому року, тобто найбільшу питому вагу в цьому розділі займають наступні розділи: виробничі запаси та незавершене виробництво -61,06% та вартість товару за собівартістю - 35,36%. Проте в структурі розділу їх вартість у 1999р і порівнянні із попереднім зменшилась. Аналізуючи останній розділ активу балансу нетто (тобто III) бачимо наступну ситуацію: кількість наявних грошових коштів на підприємстві зменшилась, і в структурі III розділу активу 1999р. склала 0,13% проти 0,22% попереднього року. Негативним моментом є збільшення дебіторської заборгованості на підприємстві за останні два роки, яка в структурі балансу 1999р. склала 84,86% проти 53,64% і попередньому році.
Проаналізувавши актив балансу нетто необхідно проаналізувати і пасив балансу нетто, який зображений в таблиці 2.2.3.
Таблиця 2.2.3 - Згрупований баланс нетто пасиву (тис.грн.)
| № | ПАСИВ |
1998 |
1999 |
||
| на поч. року | на кін. року | на поч. року | на кін. року | ||
|
1 |
Джерела власних засобів |
||||
|
статутний фонд |
1182,5 |
1182,5 |
1182,5 |
1182,5' |
|
|
спеціальні фонди і цільове фін-ня |
36713,2 |
11202,6 |
11202,6 |
10720,2 |
|
|
нерозприділений прибуток |
|||||
|
інші джерела |
1568356,2 |
1758720,8 |
1758720,8 |
1856556,5 |
|
|
Всього за розділом 1 |
1606251,9 |
1771105,9 |
1771105,9 |
1868459,2 |
|
|
2 |
Довгострокові пасиви |
||||
|
довгострокові пасиви банку |
|||||
|
довгострокові позики |
|||||
|
Всього за розділом 2 |
6017,2 |
45011,9 |
45011,9 |
40433,9 |
|
|
3 |
Розрахунки та інші пасиви |
||||
|
короткостр-ві позички та позики |
470 |
600 |
600 |
1800 |
|
|
розрахунки з кредиторами |
499232,2 |
191327,8 |
191327,8 |
394180,5 |
|
|
інші пасиви |
117,6 |
466,8 |
466,8 |
428,9 |
|
|
Всього за розділом 3 |
499819,8 |
192394,6 |
192394,6 |
396409,4 |
|
БАЛАНС |
2106071,7 |
2008512,4 |
2008512,4 |
2305302,5 |
|
Аналізуючи дані пасиву балансу нетто підприємства можна зробити такі висновки: статутний фонд на протязі двох років не змінювався і склав 1182,5 тис.грн. Проте зменшилась сума спеціальних фондів і цільового фінансування із 36713,2 тис.грн. до 11202,6 тис.грн. у 1998р. і до 10720,2 тис.грн. у 1999р. Також значне місце займає збільшення довгострокових пасивів підприємства з 6017,2 до 45011,9 тис.грн. у 1998р. (на 38994,7 тис.грн.). Проте на протязі 1999р. ця сума дещо зменшилась і на кінець року склала 40433,9 тис.грн. (тобто на 4578 тис.грн. у порівнянні з початком року). У 1998р. була тенденція до зменшення кредиторської заборгованості із 499232,2 тис.грн. до 191327,8 тис.грн. (тобто на 307904,4 тис.грн.). Проте на кінець 1999р вона значно зросла і підскочила до відмітки 394180,5 тис.грн. (на 202852,7 тис.грн. у порівнянні із початком року). Також зріс такий розділ, як короткострокові позики та позички і на кінець 1999р. він склав 1800 тис.грн. (збільшився на 600 тис.грн. у порівнянні з початком року і на 1330 тис.грн. і порівнянні із початком 1998р.).
Також важливим є аналіз структури пасиву балансу нетто, яка зображена в таблиці 2.2.4.
Таблиця 2.2.4 - Структура пасиву балансу нетто (тис.грн.).
| № | ПАСИВ | 1998 | 1999 | 1998 | 1999 | ||
| на кін. року | на кін. року | Стр-ра заг-на | Стр-ра розд-ів | Стр-ра заг-на | Стр-ра розд-ів | ||
|
1 |
Джерела власних засобів |
||||||
|
статутний фонд |
1182,5 |
1182,5 |
0,07 |
0,06 |
|||
|
спец. фонди і цільове фін-ня |
11202,6 |
10720,2 |
0,63 |
0,57 |
|||
|
нерозприділений прибуток |
|||||||
|
інші джерела |
1758720.8 |
1856556,5 |
99,30 |
99,36 |
|||
|
Всього за розділом 1 |
1771105,9 |
1868459,2 |
88,18 |
100,00 |
81,05 |
100,00 |
|
|
2 |
Довгострокові пасиви |
||||||
|
довгострокові пасиви банку |
|||||||
| довгострокові позики | |||||||
|
Всього за розділом 2 |
45011.9 |
40433,9 |
2,24 |
100,00 |
1,75 |
100,00 |
|
|
3 |
Розрахунки та інші пасиви |
||||||
|
коротк-ві позички та позики |
600 |
1800 |
0,31 |
0,45 |
|||
|
розрахунки з кредиторами |
191327.8 |
394180,5 |
99,45 |
99,44 |
|||
|
інші пасиви |
466.8 |
428,9 |
0,24 |
0,11 |
|||
|
Всього за розділом 3 |
192394.6 |
396409,4 |
9,58 |
100,00 |
17,20 |
100,00 |
|
БАЛАНС |
2008512,4 |
2305302,5 |
100,00 |
100,00 |
|||
За даними цієї таблиці можна зробити такі висновки: найбільший відсоток в загальній структурі пасиву балансу нетто займає І розділ "Джерела власних та прирівняних до них коштів" (88,18% на кінець 1998р. і 81,05% на кінець 1999р.). На кінець 1999р. збільшилась величина III розділу в загальній структурі пасиву балансу і склала 17,2%.
Якщо в загальному аналізувати діяльність підприємства за два роки (1998 -1999рр.), то можна сказати, що підприємство працювало не стабільно. За такий малий період, як два роки, деякі показники зазнали значних змін, як в сторону збільшення , так і в сторону зменшення. Найбільш наочними є збільшення на протязі 1999р. кредиторської (на 202852,7 тис.грн.) та дебіторської заборгованості (на 314980,7 тис.грн.). Обидва ці показники зросли досить суттєво, що, в кінцевому випадку, привело до збільшення суми балансу. Проте, в основному, збільшення суми балансу відбулось через кризу неплатежів в країні між підприємствами.
2.3. Аналіз звіту про фінансові результати.
Другим важливим моментом аналізу фінансового стану підприємства є аналіз звіту про фінансові результати.
На фінансовий стан підприємства прямо впливає прибуток підприємства. То ж проаналізуємо прибуток підприємства. Вихідні дані для аналізу знаходяться в наступній таблиці.
Таблиця 2.3.1 -Визначення прибутку підприємства (тис.грн.).
| № | Показники | 1998 | 1999 | Відхилення |
|
1. |
Виручки від реалізації продукції без ПДВ та акцизів |
956962,6 |
785248,9 |
-17,94 |
|
2. |
Витрати на виробництво реалізованої продукції |
-582085,4 |
-572705,7 |
-1,61 |
|
3. |
Результати іншої реалізації |
-26737,2 |
-11432,9 |
-57,24 |
|
4. |
Сальдо доходів і видатків від позареалізаційних операцій |
7620,2 |
3409,7 |
-55,25 |
|
5. |
Балансовий прибуток |
355760,2 |
204520 |
-42,51 |
|
6. |
Податок на прибуток |
113997,8 |
63545.5 |
-44,26 |
|
7. |
Інше використання прибутку |
116002,9 |
135836,7 |
17,10 |
|
8. |
Нерозподілений прибуток (непокриті збитки) звітного року |
585760,9 |
5137,8 |
-99,12 |
Як видно з даної таблиці балансовий прибуток зменшився на 42,51% (151240.2 тис.грн.). В основному це зумовило зменшення на 18% виручки від реалізації продукції (товарів, робіт, послуг). У 1999р. вона склала 785248.9 тис.грн. Це можна пояснити даними балансу нетто. Як ми знаємо, в кінці 1999р. відбулось зростання дебіторської та кредиторської заборгованості, тобто зменшення кількості "живих" грошей на рахунках підприємства.
Також зменшились результати від іншої реалізації, які скоротились на 57,24% і склали 11432,9 тис.грн. у 1999р. проти 26737,2 тис.грн. у 1998р. Підводячи підсумок аналізу балансового прибутку можна зробити висновок, що він має негативну тенденцію до зменшення.
Якщо ж аналізувати зміну величини нерозподіленого прибутку, то ми бачимо, що на підприємстві на протязі двох років його значення зменшилось на 99,12% і склало на кінець 1999р. 5137.8 тис.грн. проти 585760,9 тис.грн. у 1998р. Це відбулось при зменшенні величини виручки від реалізації продукції і зменшення результатів іншої реалізації.
Як це не прикро говорити, але подальше майбутнє підприємства буде, на мою думку, ще гіршим, оскільки підприємство пройшло "реструктуризацію" в процесі якої втратило статус юридичної особи зі всіма наслідками, які з цього слідують.
Проведемо факторний аналіз балансового прибутку:
Таблиця 2.3.2 - Факторний аналіз балансового прибутку (тис.грн.).
| Показник | Базовий період | Перерахована величина |
Звітний рік |
| 1. Виручки від реалізації продукції | 970496,4 | 1002840 | 815242,3 |
| 2.ПДВ | 13533,8 | 36895,3 | 29993,4 |
| 3.Виручка від реалізації за відрахуванням всіх платежів | 956962,6 | 965944,7 | 785248,9 |
| 4. Повна собівартість продукції | 582085,4 | 601460 | 572705,7 |
| 5. Результат від реалізації продукції | 374877,2 | 364484,7 | 212543,2 |
| 6. Балансовий прибуток | 355760,2 | 204520 |
За звітний період балансовий прибуток зменшився на 151240,2 тис.грн. (тобто 240520-355760,2 тис.грн.)
На зміну балансового прибутку вплинули такі фактори:
Зміна прибутку від реалізації продукції:
Hpn=212543,2-374877,2 = -162334
1.1. Зміна обсягу реалізованої продукції:
Qp=374877.2
– (
-1)=
12477,7
1.2. Зміна структури реалізованої продукції:
С = 364484.7 - 374877.2 - 12477,7 = -22870,2
1.3. Зміна повної собівартості реалізованої продукції:
ПС = -(572705.7 - 601460) =28754,3
1.4. Зміна цін на реалізовану продукцію:
Ц = 785248.9-965944,7 = -180695,8
2. Зміна прибутку від іншої реалізації: 63,9 тис.грн.;
3. Зміна позареалізаційних результатів: 11029,9 тис.грн.
Баланс факторів:
Загальне зменшення балансового прибутку за звітний період 151240,2тис.грн, у тому числі завдяки переліченим вище факторам:
1. Зміна прибутку від реалізації продукції: -162334 тис.грн.;
2. Зміна прибутку від іншої реалізації: 63,9 тис.грн.;
3. Зміна суми позареалізаційних результатів: 11029,9 тис.грн.
Як видно із розрахунків, то балансовий прибуток зменшився в основному за рахунок зменшення прибутку від реалізації продукції (послуг, робіт).
Доцільним також є спрогнозувати величину балансового прибутку на наступний рік. Для цього використаємо наступну таблицю.
Таблиця 2.3.3.Розрахунок прогнозованого балансового прибутку (тис.грн.).
| Роки | Значення | t |
t2 |
t*у |
t4 |
t2*у |
Вирівняне значення |
|
|
по прям. |
по параб. |
|||||||
|
1997 |
261600,5 |
-І |
1 |
-261600,5 |
1 |
261600,5 |
302500,5 |
261600,8 |
|
1998 |
355760,2 |
0 |
0 |
0 |
0 |
0 |
273960,2 |
355759,7 |
|
1999 |
204520 |
1 |
1 |
204520 |
1 |
204520 |
245420,0 |
204520,3 |
|
Сума |
821880,7 |
0 |
2 |
-57080,5 |
2 |
466120,5 |
||
Прогнозування може здійснюватись за прямою, або за параболою.
Рівняння прямої виглядає так:
у = а + b*t
Рівняння параболи виглядає так:
у = а + b*t+ с*t2
де а, b, с - коефіцієнти рівняння.
Коефіцієнти рівняння прямої рівні: а = 273960,23; b = -28540,25
Коефіцієнти рівняння параболи рівні: a = 355759,7; b = -28540,25;
с =-122699,2
Тому рівняння прямої буде виглядати так:
у = 273960,23- 28540,25*t
Рівняння параболи буде таким:
у = 355759,7 - 28540,25*t - 122699,2*t2
Далі визначаємо дисперсію за формулою (1.5.10):
![]()
![]()
Оскільки дисперсія по прямій більша за дисперсію по параболі, топрогнозувати балансовий прибуток ми будемо по рівнянню параболи:
У2000=355759,7-28540,25 *2-122699,2*4 = -192117,6_(тис.грн.)
Доцільним для наглядності зробити графік, який показує всі значення балансового прибутку і прогнозоване значення.

Балансовий прибуток фактичний
Вирівняний по прямій
Вирівняний по параболі
Рис 2.3.1 - Зміна балансового прибутку на підприємстві.
Як видно з розрахунків у наступному 2000р. УМГ "Прикарпаттрансгаз" буде збитковим, оскільки його балансовий збиток складе 192117,6 тис.грн.
2.4. Аналіз ліквідності та платоспроможності підприємства.
Ліквідність - це спроможність, будь-якого з активів трансформуватися в грошові кошти, а ступінь ліквідності визначається тривалістю періоду, впродовж якого ця трансформація може бути здійснена. Чим коротший цей період, тим вища ліквідність.
З цією метою визначається індекс ліквідності, що показує кількість днів, необхідних для перетворення поточних активів у готівку.
Для визначення індексу ліквідності складемо наступну таблицю.
Таблиця 2.4.1 - Розрахунок індексу ліквідності.
| Показник |
Сума |
Кількість днів,необх. для перетворення активів в готівку |
Разом |
||
| 1998 | 1999 | 1998 | 1999 | ||
|
1. Готівка |
942 |
855,9 |
|||
|
2. Дебіторська заборгованість |
233403,6 |
548384,5 |
25 |
5835090 |
13709612,5 |
|
3. Товарні запаси |
23752,6 |
53484,1 |
25 |
712578 |
1604523 |
|
ВСЬОГО: |
258098,2 |
602724,5 |
6547668 |
15314135,5 |
|
Індекс
ліквідності
за 1998р.:
днів
Індекс
ліквідності
за 1999р.:
днів
Отже, у 1998р. підприємству необхідно було 25,37 днів для перетворення поточних активів у готівку, у 1999р. - 25,4 дні. Як видно із розрахунків, індекс ліквідності на підприємстві коливається в дуже малих межах.
Для аналізу ліквідності підприємства використаємо дані з наступної таблиці:
Таблиця 2.4.2 - Основні показники ліквідності.
| Показники |
1998 |
1999 |
||
|
поч. року |
кін. року |
поч. року |
кін. року |
|
|
1 . Загальний к-т покриття |
1,19 |
2,62 |
2,62 |
2,37 |
|
2. К-т швидкої ліквідності |
1,07 |
2,26 |
2,26 |
1,63 |
|
3. К-т абсолютної ліквідності |
0,001 |
0,005 |
0,005 |
0,002 |
|
4. Власні оборотні кошти (тис.грн.) |
103057,6 |
312086 |
312086 |
344441 |
|
5. Коефіцієнт маневреності |
0,4 |
0,3 |
0,3 |
0,4 |
Аналізуючи дані цієї таблиці можна зробити такі висновки: загальний коефіцієнт покриття на початок 1998р. складав 1,19, на кінець - 2,62. Він показує, скільки гривень поточних активів підприємства припадає на 1 грн. поточних зобов'язань. Якщо аналізувати діяльність підприємства по цьому показнику, то можна зробити висновок, що підприємство є ліквідним, оскільки цей коефіцієнт за аналізований період був вищий за 1.
Коефіцієнт швидкої ліквідності за смисловим значенням є аналогічним попередньому коефіцієнту, тільки він обчислюється по вужчому колу поточних активів, коли з розрахунку виключена найменш ліквідна їх частина – виробничі запаси. Якщо аналізувати діяльність підприємства по цьому показнику, то можна відмітити, що підприємство є ліквідним, оскільки цей коефіцієнт перебільшує 1.
При чому на початок 1999р. його значення було аж 2,26, проте на кінець цього ж року його значення дещо зменшилось (до 1,63). Це пояснюється тим, що на кінець року на підприємстві накопичились певні виробничі запаси.
Якщо ж аналізувати діяльність підприємства по коефіцієнту абсолютної ліквідності, то можна зробити висновок, що підприємство є не ліквідним, оскільки цей коефіцієнт дуже низький. Він показує, яка частина поточних зобов'язань можу бути погашена негайно. Проте низьке значення цього коефіцієнта не означає, що підприємство необхідно закривати, або оголошувати банкрутом, оскільки не має такої ситуації, коли всі кредитори одночасно пред'явили підприємству свої боргові зобов'язання. Так, на початок 1998р. підприємство могло оплатити 0,1% своїх поточних зобов'язань, на початок 1999р. - 0,5%. Тобто його значення зросло. Це пояснюється збільшенням грошових коштів на рахунках підприємства (див. Додаток А).
Величина власних оборотних коштів на протязі аналізованого періоду зростає (із 103057,6 тис.грн. на початку 1998р. до 344441 тис.грн. на кінець 1999р.). це позитивна тенденція діяльності підприємства.
Коефіцієнт маневреності власного капіталу показує, яка частина власного капіталу використовується для фінансування поточної діяльності, тобто вкладена в оборотні кошти. Значення цього показника може змінюватись в межах 0,4 - 0,6 для підприємства, що нормально функціонує. То ж аналізуючи цей коефіцієнт, можна зробити висновок, що на УМГ "Прикарпаттрансгаз" його значення в межах норми, що є позитивним моментом діяльності підприємства.
Якщо в загальному аналізувати діяльність підприємства, то можна зробити висновок, то УМГ "Прикарпаттрансгаз" є ліквідним підприємством.
Важливим елементом аналізу фінансового стану будь-якого підприємства є аналіз його платоспроможності.Для оцінки платоспроможності на підприємстві складається платіжний баланс (календар).
Таблиця 2.4.3 - Платіжний баланс за 1998р. (тис.грн.).
|
АКТИВ |
ПАСИВ |
||||
|
Наявні кошти для покриття заборгованості |
на поч. року |
на кін. року |
Негайні та інші платежі |
на поч. року |
на кін. року |
|
1. Грошові кошти на розрах. рахунку, в касі і інших рахунках |
440,4 |
942 |
1 . Заборгованість по позичці |
6487,2 |
45611,9 |
|
2. Розрахунки з дебіторами |
274064,1 |
233403,8 |
2. Заборгованість кредиторів |
499232,2 |
191327,8 |
|
Всього: |
274504,5 |
234345.8 |
Всього: |
505719,4 |
236939,7 |
|
Сальдо |
231214,9 |
2593,9 |
Сальдо |
||
| БАЛАНС |
505719,4 |
236939.7 |
БАЛАНС |
505719,4 |
236939,7 |
Як ми бачимо, сальдо платіжного балансу в активі. Тому підприємство можна визнати неплатоспроможним.
Проаналізуємо платіжний баланс за 1999р.
Таблиця 2.4.4 - Платіжний баланс за 1999р. (тис.грн.)
|
АКТИВ |
ПАСИВ |
||||
|
Наявні кошти для покриття заборгованості |
на поч. року |
на кін. року |
Негайні та інші платежі |
на поч. року |
на кін. року |
|
1. Грошові кошти на розрах. рахунку, в касі і інших рахунках |
942 |
855,9 |
1 . Заборгованість по позичці |
45611,9 |
42233,9 |
|
2. Розрахунки з дебіторами |
233403,8 |
548384,5 |
2. Заборгованість кредиторів |
191327,8 |
394180,5 |
|
Всього: |
234345,8 |
549240.4 |
Всього: |
236939,7 |
436414,4 |
|
Сальдо |
2593,9 |
Сальдо |
112826 |
||
|
БАЛАНС |
236939,7 |
549240,4 |
БАЛАНС |
236939,7 |
549240,4 |
Аналізуючи платоспроможність підприємства у 1999р. можна зробити наступні висновки: підприємство на початку звітного року було неплатоспроможним, оскільки його поточні пасиви перевищували поточні активи на 2593,9 тис.грн. Обернена ситуація склалась на кінець 1999р., тобто сальдо платіжного балансу знаходиться в пасиві (112826 тис.грн.). Це означає, що підприємство на кінець звітного року було платоспроможним. Це відбулось під впливом збільшення дебіторської заборгованості підприємства, хоча в звітному році зросла і кредиторська заборгованість, проте вона зростала повільніше.Проаналізуємо тепер грошову ліквідність підприємства. Грошова ліквідність засвідчує той факт, скільки на звітну дату може бути погашено короткострокових платіжних зобов'язань подавця.
Таблиця 2.4.5 - Грошова платоспроможність.
|
Засіб платежу |
поч 1998 |
кін 1998 поч 1999 |
кін 1999 |
Платіжні зобов'язання продавця |
поч 1998 |
кін 1998 поч 1999 |
кін 1999 |
|
1 . Каса |
2,5 |
3,5 |
2,4 |
1 . Короткострокові кредити |
470 |
600 |
1800 |
|
2. Розрах. рахунок |
290 |
388,2 |
352,3 |
2. Кредити, не погашені у строк |
|||
|
3. Валютний рахунок |
122,9 |
458,4 |
460 |
3. Кредитори |
404825,8 |
147098,6 |
327586,7 |
|
4. Інші рахунки та грошові кошти |
25 |
91,9 |
41,2 |
||||
|
5. Короткостр-ві фінансові вкладення |
|||||||
|
Всього: |
440,4 |
942 |
855,9 |
Всього: |
405295,8 |
147698,6 |
329386,7 |
|
Коефіцієнт грошової платоспроможності |
0,001 |
0,006 |
0,003 |
||||
Аналізуючи результати обчислень можна зробити висновок, що підприємство могло погасити на кінець 1998р. тільки 0,6% короткострокових платіжних зобов'язань продавця. Така ситуація склалась, оскільки кредиторська заборгованість значно перевищує наявні на підприємстві грошові кошти.
Розрахуємо розрахункову платоспроможність підприємства.
Таблиця 2.4.6 - Розрахункова платоспроможність.
|
Засіб платежу |
поч 1998 |
кін 1998 поч 1999 |
кін 1999 |
Платіжні зобов'язання продавця |
поч 1998 |
кін 1998 поч 1999 |
кін 1999 |
|
1. Грошові кошти |
440,4 |
942 |
855,9 |
1 . Короткострокові кредити |
470 |
600 |
1800 |
|
2. Готова продукція |
2,2 |
2,3 |
2,3 |
2. Кредити, не погашені у строк |
|||
|
3. Дебітори |
259804,6 |
203365,3 |
521099,1 |
3. Кредитори |
404825,8 |
147098,6 |
327586,7 |
|
4. Інші активи |
6,7 |
9,4 |
13,9 |
4. Інші пасиви |
120,6 |
278,6 |
428,6 |
|
Всього: |
260253,9 |
204319 |
521971,2 |
Всього: |
405416,4 |
147977,2 |
329815,3 |
|
Коефіцієнт розрахункової платоспроможності |
0,6 |
1,4 |
1,6 |
||||
Якщо ж аналізувати платоспроможність враховуючи не тільки грошові кошти, але й готову продукцію, відвантажені товари та дебіторську заборгованість, та інші активи, які реально можна реалізувати, то ситуація для підприємства складається краще, ніж при аналізі грошової платоспроможності.
Так, на початок 1998р. підприємство покривало 60% своїх зобов'язань, на кінець 1998р. - 140%, і на кінець 1999р. - 160%. Така ситуація склалась, оскільки значно зросла дебіторська заборгованість перед підприємством.
Розрахуємо ліквідну платоспроможність на УМГ "Прикарпаттрансгаз".
Таблиця 2.4.7 - Ліквідна платоспроможність.
|
Засіб платежу |
поч 1998 |
кін 1998 поч 1999 |
кін 1999 |
Платіжні зобов'язання продавця |
поч 1998 |
кін 1998 поч 1999 |
кін 1999 |
|
1 . Грошові кошти, розрахунки та інш. активи |
260253,9 |
204319 |
521971,2 |
1 . Кредити під запаси і затрати |
|||
|
2. Запаси і затрати |
61237,2 |
69348,5 |
94603,7 |
2. Кредити, не погашені у строк |
|||
|
3. Кредити та інші пасиви |
6607,8 |
45890,5 |
42662,5 |
||||
|
4. Власні оборотні кошти |
103057,6 |
312086 |
344441 |
||||
|
Всього: |
321491,1 |
273667,5 |
616574,9 |
Всього: |
109665,4 |
357976,5 |
387103,5 |
| Коефіцієнт розрахункової платоспроможності |
2,9 |
0,8 |
1,6 |
||||
Аналізуючи результати розрахунків ліквідної платоспроможності можна сказати, що на початок 1998р. і на кінець 1999р. підприємство було платоспроможним, оскільки коефіцієнт ліквідної платоспроможності був більший 1. Така ситуація склалась, оскільки ми врахували при розрахунку цього коефіцієнта найменш ліквідні активи: запаси і затрати.
Якщо в загальному аналізувати коефіцієнти платоспроможності, то можна сказати, що на підприємстві є дефіцит грошових коштів. Зростання платоспроможності відбувається, оскільки ми на наступних кроках (розрахунок розрахункової та ліквідної платоспроможності) поступово включаємо найменш ліквідні активи. Така ситуація не може не насторожити, оскільки на підприємстві йде поступове збільшення кредиторської та дебіторської заборгованості.
Як відомо, для встановлення платоспроможності підприємства перш за все вивчається структура балансу. Вона може бути визнана незадовільною, а підприємство неплатоспроможним, якщо:
а) загальний коефіцієнт ліквідності на кінець звітного періоду має значення нижче нормативного (1,5);
б) коефіцієнт забезпеченості власними оборотними коштами на кінець звітного періоду має значення нижче нормативного (0,3). Розрахуємо ці коефіцієнти і результати занесемо до таблиці.
Таблиця 2.4.8 - Коефіцієнти загальної ліквідності та забезпечення власними оборотними коштами.
| Показники | Норматив |
1998 |
1999 |
||
|
п.р |
к.р. |
п.р |
к.р. |
||
| 1 . Загальний коефіцієнт ліквідності | 1,5 | 1,2 | 2,12 | 2,12 | 1,7 |
| 2. Коефіцієнт забезпечення власними оборотними коштами | 0,3 | 0,2 | 0,53 | 0,53 | 0,41 |
Як ми бачимо із таблиці, на початок 1998 року структура балансу була незадовільною, оскільки розраховані показники нижчі нормативного значення. Але на кінець 1998р. ситуація виправилась на кращу і показники стали значно вищими. Тому можна зробити висновок, що у 1999р. підприємство було платоспроможне. Проте на кінець 1999р. їх значення зменшились. При такій ситуації доцільно було б визначити коефіцієнт втрати платоспроможності, або збереження платоспроможності, використовуючи формулу 1.6.8.
Обчислимо коефіцієнт збереження платоспроможності на наступні 6 місяців використовуючи загальний коефіцієнт ліквідності:

Оскільки КУ.П.>1, то можна сказати, що підприємство на наступні 6 місяців збереже загальний коефіцієнт ліквідності не нижче нормативного значення. Розрахуємо коефіцієнт збереження платоспроможності на наступні 6 місяців за коефіцієнтом забезпеченості власними коштами:

Оскільки КУ.П. <1, то можна сказати, що підприємство на наступні 6 місяців не збереже коефіцієнт забезпеченості власними коштами.
Якщо аналізувати діяльність підприємства в цілому, то можна сказати, що на підприємстві нестабільна ситуація, оскільки всі показники змінюються в дуже широких межах, а це мішає його працівникам нормально планувати свою роботу.
3. Напрямки та резерви покращення фінансового стану підприємства.
Основним напрямком покращення фінансового стану підприємства є збільшення його прибутку. Збільшувати прибуток можна за допомогою багатьох факторів. Наприклад, можна збільшити ціну на продукцію, надані послуги, виконану роботу. Проте цей варіант не зажди може пройти, оскільки на сучасному етапі розвитку нашої країни підприємства не мають достатньо грошових коштів, щоб заплатити ще більшу суму за послуги, роботу, товари.
Отже, резерви зростання прибутку - це кількісні можливості збільшення прибутку завдяки:
Збільшенню обсягу реалізації продукції;
Зменшенню витрат на виробництво і реалізацію продукції: усунення перевитрат по сировині і матеріалах, усунення понадпланових відходів, усунення невиправданих і непродуктивних витрат у складі цехових і загально-виробничих витрат, а також у складі витрат на утримання і експлуатацію устаткування, усунення втрат від браку;
Постійному зниженню позареалізаційних збитків.
Ще одним напрямом у пошуку резервів зростання прибутку є аналіз використання ресурсів підприємства, собівартості виготовленої продукції. Зниження витрат на виробництво і реалізацію продукції - основний резерв збільшення прибутку підприємства. Враховуючи специфіку виробництва даного підприємства суттєво зменшити витрати на виробництво можна завдяки технічним і технологічним заходам. Наприклад, на даному підприємстві було знижено технологічні витрати газу при експлуатації компресорних станцій на 3,95 млн.м3 газу. Цей захід представляв собою впровадження сучасних методів обслуговування компресорних станцій та їх ремонту (КС: Долина, Богородчани, Битків). Цей захід дав можливість зменшити витрати газу на технологічні потреби, а отже і зменшити витрати на перекачку газу.
Другим можливим моментом зниження витрат на виробництво на підприємстві є заощадження за рахунок утилізації газу. Його суть полягає у наступному: при роботі газоперекачуваних агрегатів газокомпресорної станції (в основу взята газоперекачувальна станція "Богородчани") в повітря викидаються димові гази з температурою 450-500°С загальною тепловою потужністю від 100 до 250 МВт (в залежності від режиму роботи). З них реально можна використати за різними оцінками від 50 до 100 МВт, частково безпосередньо у вигляді тепла, а частково - перетворивши тепло в електроенергію. Позитивний момент від впровадження проекту: повне забезпечення потреб компресорної станції теплом і електроенергією, а також можливість продажу електроенергії стороннім споживачам. Тобто за рахунок основної діяльності підприємство може суттєво зменшити витрати на виробництво, що в свою чергу призведе до росту прибутку.
То ж аналізуючи витрати на виробництво продукції, знаходимо резерви її зниження, які водночас є і резервами збільшення прибутку.
Після підрахування загальної суми резервів зниження собівартості продукції за всіма статтями калькуляції можна розрахувати резерви збільшення прибутку за рахунок зниження затрат живої та уречевленої праці по окремих напрямках.
Відомо, що економія витрат живої праці досягається в результаті більш економного і раціонального використання коштів на оплату праці робітників та службовців.
Основними резервами зниження витрат коштів на оплату праці є:
впровадження організаційно-технічних заходів, які дають зростання продуктивності праці;
зменшення кількості робітників;
усунення і попередження непродуктивних виплат: за понадурочні години, оплата цілодобових, внутрішньозмінних простоїв.
Також важливим резервом для покращення фінансового стану підприємства є скорочення дебіторської та кредиторської заборгованості підприємства. Як було видно із розрахунків 2-го розділу, на підприємстві зросла дебіторська та кредиторська заборгованість. Причин росту кредиторської заборгованості є багато. Основною з них є відсутність коштів по оплаті своїх зобов'язань. Проте підприємство може штучно збільшити свою заборгованість. Це відбувається при умові, якщо в країні намітилась ситуація, що спричиняє ріст інфляції. При такій умові підприємство може завідома збільшити свою кредиторську заборгованість з метою віддати через деякий час ту ж саму суму заборгованості. Цей варіант можливий лише при умові, що ціни за надані підприємством послуги зросли, а сума заборгованості не змінилась (або зросла в незначній мірі).
Інша ситуація складається з дебіторською заборгованістю. На кінець 1998р. вона склала 548384,5 тис.грн., проти 233403,8 тис.грн. на початок року. Це негативна тенденція, тому одним із напрямків покращення фінансового стану підприємства є скорочення дебіторської заборгованості. В основному, в сучасних умовах господарювання на Україні ріст дебіторської заборгованості відбувається по причині взаємних неплатежів між підприємствами, тобто у нас неефективні методи розрахунків між підприємствами. Розглядаючи питання скорочення дебіторської заборгованості (розрахунку з покупцями і замовниками), слід ознайомитися з одним із методів розрахунку з покупцями, що широко використовується в країнах з розвинутими ринковими відносинами.
Це метод надання знижок при достроковій оплаті. Відомо, що в умовах інфляції будь-яка відстрочка платежу призводить до того, що підприємство-виробник реально одержує лише частину вартості реалізованої продукції. Тому підприємству інколи вигідніше зробити знижку на реалізований товар за умови оплати рахунка (наприклад, у десятиденний строк), ніж втратити певну суму в результаті інфляції. Цей метод суперечить умовам господарювання державних підприємств даної галузі, оскільки ціни за транспорт газу (УМГ) встановлює держава, а не підприємство. Проте, на мою думку, саме такі нетрадиційні методи дозволять скоротити об'єми заборгованостей між підприємствами. Як це можна прив'язати до УМГ "Прикарпаттрансгаз"? На мою думку, дане підприємство може надати певні знижки підприємствам-споживачам при достроковій оплаті за надані послуги, товари, роботу. Проте це стосується розрахунків за надані послуги допоміжного виробництва (Богородчанське тепличне господарство, база відпочинку "Карпати").
Також важливим напрямком покращення фінансового стану підприємства, на мою думку, є повернення його до колишніх умов господарювання. Як ми знаємо до недавнього часу УМГ "Прикарпаттрансгаз" було дочірнім підприємством, яке мало статус юридичної особи. Проте доля розпорядилась так, що підприємство зараз втратило статус юридичної особи, а значить і право підписувати договори, розпоряджатись своїми оборотними коштами самостійно. Фактично склалась ситуація, коли підприємство працює і не може розпоряджатись своїм прибутком, оскільки він осідає в ДК "Укртрансгаз". Тобто діяльність підприємства жорстко контролюється працівниками ДК "Укртрансгаз", які можуть прийняти неправильне рішення, оскільки не знайомі зі всіма нюансами виробництва, які є на даному підприємстві.
Тому, на мою думку, повернення попереднього статусу підприємству дасть можливість більш ефективно управляти ним.
Висновки і пропозиції.
В даній курсовій роботі був проаналізований фінансовий стан на підприємстві УМГ "Прикарпаттрансгаз" за 1997-98 рр.
Аналізувати фінансовий стан будь-якого підприємства є нагальною необхідністю, бо не можна вести господарство без міри ваги і рахунку, не добиваючись перевищення доходів над видатками. Це завжди було важливо, тим більше - зараз, коли на зміну безгосподарності і безвідповідальності приходить підприємництво, сувора дисципліна і ощадливість. Закони ринкової економіки вимагають відповідного способу мислення і поведінки всіх її учасників. Ринкова економіка не терпить, щоб омертвлялися мільярди гривень. Ринкова економіка приведе в рух всі ці ресурси, аби кожна вкладена в підприємство гривня давала найвищий прибуток. Щоб забезпечити це, на підприємстві необхідно здійснювати аналіз фінансового стану, проводити обґрунтоване наукою дослідження фінансових відносин і руху фінансових ресурсів у процесі господарської і торговельної діяльності кожного підприємства.
Фінансовий стан підприємства - це показник його фінансової конкурентоздатності, тобто платоспроможності, кредитоспроможності, виконання зобов'язань перед державою та іншими підприємствами. Фінансовий аналіз — це засіб оцінки і прогнозування фінансового стану підприємства на основі його бухгалтерської звітності
Проаналізувавши основні показники фінансового стану підприємства УМГ "Прикарпаттрансгаз" можна зробити такі висновки: підприємство на протязі аналізованого періоду працювало не стабільно, про що свідчать показники фінансового стану на підприємстві, як було видно із розрахунків на підприємстві катастрофічно не вистачає грошових коштів. В основному показники погіршились під дією двох факторів: зростання дебіторської і кредиторської заборгованості.
Тому на підприємстві досить важливим стало питання про підвищення показників фінансового стану. Підвищення показників фінансового стану можливе при збільшенні прибутковості підприємства, а це можливе тільки при проведенні спеціальних заходів, які направлені на збільшення прибутку підприємства.
Список використаної літератури.
1. Мец В.О. Економічний аналіз фінансових результатів та фінансового стану підприємства: Навч. посібник. -К.: КНЕУ, 1999. - 132с.;
2. Мних Є.В. Аналіз фінансового стану і фінансових результатів діяльності підприємств: Навч. посібник. - К.: НМК ВО, 1993;
3. Ткаченко Н.М. Бухгалтерський облік на підприємствах з різними формами власності: Навчально-методичний посібник. -К.: ВТОВ "А.С.К.", 1996;
4. Фінанси підприємств: Підручник/ За ред. А.М. Поддєрьогіна: - К.: КНЕУ, 1998.-368с.;
5. Ковалев В.В. Финансовый анализ: Управление капиталом, выбор инвестиций, анализ отчетности. -М.: Финансы й статистика, 1996.
Додатки.
Додаток А Код платника в ДПА _____
до наказу Міністерства фінансів України від 10 лютого 1997р. №30
Затверджено Мінфіном України за погодженням з Мінстатом України для квартальної звітності 1996р.
БАЛАНС ПІДПРИЄМСТВА
на 1 __січня__ 1999 р.
| Коди | ||||
| Форма №1 заДКУД | 1801001 | |||
| Дата ( рік, місяць, число ) | 01 | |||
|
Підприємтсво_____________________________за ЄДРПОУ |
||||
|
Територія___________________________________за СПАТО |
||||
|
Форма власності______________________________заКФВ |
||||
|
Орган державного управління_______________за СПОДУ |
||||
|
Галузь ( вид діяльності)________________________за ЗКНГ |
||||
| Кількість підприємств_________________________________ | ||||
|
Одиниця виміру: тис. грн._____________Контрольна сума |
||||
|
Адреса__________________________________________________ |
||||
| Дата висилання | ||||
| Дата одержання | ||||
| Строк подання |
| Актив | Код рядка | На початок року | На кінець звітного періоду |
| 1 | 2 | 3 | 4 |
|
І.Основні засоби та інші позаоборотні активи |
|||
|
Основні засоби: |
|||
|
Залишкова вартість ; |
010 |
1426664 |
1383223.9 |
|
Знос*(02) |
011 |
979513.2 |
1061747.7 |
|
Первісна вартість* (01) |
012 |
2406177.2 |
2444971.6 |
| Нематеріальні активи: залишкова вартість | 020 | 35.5 | |
|
знос*(02) |
021 |
||
|
первісна вартість* (01) |
022 |
35.5 |
|
|
Незавершені капітальні вкладення (33,35,61) |
030 |
80907.2 |
96450.2 |
|
Устаткування (07) |
035 |
1446.4 |
23746.5 |
|
Довгострокові фінансові вкладення (58) |
040 |
193.9 |
562.3 |
|
Розрахунки з учасниками (75) |
050 |
13.4 |
|
|
Майно в оренді (11) |
055 |
||
|
Інші позаоборотні активи |
060 |
||
|
Всього по розділу 1 |
070 |
1509211.5 |
1504031.8 |
|
II. Запаси і затрати |
|||
|
Виробничі запаси (05,06,08,10) |
080 |
12766.9 |
23752.6 |
|
Тварини на вирощуванні і відгодівлі (09) |
090 |
101 |
105.3 |
|
Малоцінні і швидкозношувані предмети: |
|||
|
Залишкова вартість |
100 |
1912.9 |
3750.5 |
|
Знос*(13) |
101 |
554.6 |
1183.1 |
|
Первісна вартість * (12) |
102 |
2467.5 |
4933.6 |
|
Незавершене виробництво (03,20,21,23,29, ЗО, |
110 |
8650 |
|
| 36,43,44) | |||
|
Витрати майбутніх періодів (31) |
120 |
0.9 |
7.7 |
|
Готова продукція (40) |
130 |
2.2 |
2.3 |
|
Товари: |
|||
|
Купівельна вартість (41) |
140 |
37803.3 |
35484.5 |
|
Торгова націнка * (42) |
141 |
116.5 |
261.6 |
|
Продажна вартість * (41) |
142 |
37919.8 |
35746.1 |
|
Всього по розділу II |
150 |
61237.2 |
69358.5 |
| ІІІ. Грошові кошти, розрахунки та інші активи | |||
|
Товари відвантажені: |
|||
|
строк сплати яких не настав (45) |
160 |
261111.8 |
186611.3 |
|
не сплачені в строк(45) |
165 |
||
|
Розрахунки з дебіторами: |
|||
|
за товари, роботи і послуги, строк сплати яких не настав (62,76) |
170 |
868.9 |
130571.6 |
|
за товари, роботи і послуги, не сплачені в строк (62,76) |
180 | 614.8 | 1689.7 |
|
по векселях одержаних (59) |
190 |
||
|
з бюджетом (68) |
200 |
10187.3 |
9524.9 |
|
з персоналом за іншими операціями (73) |
210 |
120.6 |
278.6 |
|
по авансах виданих (61) |
220 |
3951.6 |
20513.6 |
|
з дочірніми підприємствами (78) |
230 |
339.5 |
|
| з іншими дебіторами (63,70,71,72,73,76,84)1 | 240 | 258320.9 | 70485.9 |
|
Короткострокові фінансові вкладення (58) |
250 |
||
|
Грошові кошти: |
|||
|
Каса(50) |
260 |
2.5 |
3.5 |
|
Розрахунковий рахунок (51) |
270 |
290 |
388.2 |
|
Валютний рахунок (52) |
280 |
122.9 |
458.4 |
|
Інші грошові кошти (54,55,56) |
290 |
25 |
91.9 |
|
Використання позикових коштів (82) |
300 |
||
|
Інші оборотні активи |
310 |
6.7 |
9.4 |
|
Всього по розділу III |
320 |
535623 |
435122.1 |
|
Баланс ( сума рядків 070, 150, 320 ) |
330 |
2106071.7 |
2008512.4 |
|
Пасив |
Код рядка |
На початок року |
На кінець зв-ного періоду |
| 1 | 2 | 3 | 4 |
|
І Джерела власних та прирівняних до них коштів |
|||
|
Статутний фонд (капітал) (85) |
400 |
1182.5 |
1182.5 |
|
Додатковий капітал (88) |
405 |
1482238.2 |
1471105.2 |
|
Резервний фонд (88) |
410 |
• |
|
|
Фінансування капітальних вкладень (93,94) |
420 |
||
|
Розрахунки за майно (76) |
425 |
||
|
Спеціальні фонди і цільове фінансування (87,88,96) |
430 |
36713.2 |
11202.6 |
|
Амортизаційний фонд на повне відновлення (86) |
440 |
||
|
Розрахунки з учасниками (75) |
450 |
45011.9 |
|
|
Доходи майбутніх періодів (83) |
455 |
||
|
Резерви наступних витрат і платежів (89) |
460 |
||
|
Реструктуризований борг (60) |
465 |
||
|
Нерозподілений прибуток минулих років (98) |
470 |
86118 |
89952.7 |
|
Заборгованість за майно в оренді (99) |
475 |
||
|
Прибуток: нерозподілений звітного року (80) |
480 |
125759.5 |
|
|
використаний > звітному році* (8 1 ) |
481 |
230000.2 |
|
|
звітного року* (80) |
482 |
355760.2 |
|
|
Збитки: минулих років (98) |
485 |
||
|
звітного року (80) |
490 |
||
|
Всього по розділу І |
495** |
1606251.9 |
1771105.9 |
|
ІІ. Довгострокові пасиви |
|||
|
Кредити банків (90) |
500 |
||
|
Позикові кошти (95) |
510 |
||
|
Інші довгострокові пасиви |
520 |
||
|
Всього по розділу II |
530 |
6017.2 |
4504.9 |
|
III Розрахунки та інші короткострокові пасиви |
|||
|
Кредити банків (90) |
600 |
470 |
600 |
|
Позикові кошти (95) |
610 |
||
|
Кредити та позики, що не погашені в строк |
620 |
||
| Розрахунки з кредиторами: за товари, роботи і послуги, строк сплати яких не настав (60,76) | 630 | 199578.6 | 17610.3 |
|
за товари, роботи і послуги, не сплачені в строк (60,76) |
640 |
12329.2 |
102756.9 |
|
по векселях виданих (66) |
650 |
||
|
по авансах одержаних (61) ' |
660 |
77.1 |
2.0 |
|
з бюджетам (68) |
670 |
27283.4 |
38686.5 |
|
по позабюджетних платежах (65) |
680 |
1969.4 |
2611.1 |
|
по страхуванню (69) |
690 |
629.2 |
926 |
|
по оплаті праці (70) |
700 |
1239.3 |
2003.6 |
|
з дочірніми підприємствами (78) |
710 |
63208 |
|
|
з іншими кредиторами (71,76) |
720 |
192918 |
26731.4 |
|
Позики для працівників (97) |
730 |
||
|
Інші короткострокові пасиви |
740 |
120.6 |
278.6 |
|
Всього по розділу III |
750 |
499819.8 |
192394.6 |
|
Баланс (сума рядків 495,530,750) |
760 |
2106071.7 |
2008512.4 |
* Дані по цих рядках у валюту балансу не входять
** Підсумок розділу 1 пасиву балансу визначається як сума показників усіх статей цього розділу зменшена на показники статей " Збитки звітного та минулих років
Код платника в ДПА _____
до наказу Міністерства фінансів України від 10 лютого 1997р. №30
Затверджено Мінфіном України за погодженням з Мінстатом України для квартальної звітності 1996р.
БАЛАНС ПІДПРИЄМСТВА
на 1 __січня__ 2000 р.
| Коди | ||||
| Форма №1 заДКУД | 1801001 | |||
| Дата ( рік, місяць, число ) | 01 | |||
|
Підприємтсво_____________________________за ЄДРПОУ |
||||
|
Територія___________________________________за СПАТО |
||||
|
Форма власності______________________________заКФВ |
||||
|
Орган державного управління_______________за СПОДУ |
||||
|
Галузь ( вид діяльності)________________________за ЗКНГ |
||||
|
Кількість підприємств_________________________________ |
||||
|
Одиниця виміру: тис. грн._____________Контрольна сума |
||||
| Адреса__________________________________________________ | ||||
| Дата висилання | ||||
| Дата одержання | ||||
| Строк подання |
|
Актив |
Код рядка | На початок року |
На кінець звітного періоду |
| 1 | 2 | 3 | 4 |
|
І.Основні засоби та інші позаоборотні активи |
|||
|
Основні засоби: |
|||
|
Залишкова вартість ; |
010 |
1383223.9 |
1386030.7 |
|
Знос*(02) |
011 |
1061747.7 |
1106110.7 |
|
Первісна вартість* (01) |
012 |
2444971.6 |
2492141 .4 |
| Нематеріальні активи: залишкова вартість | 020 | 35.5 | 31.6 |
|
знос*(02) |
021 |
12.5 |
|
|
первісна вартість* (01) |
022 |
35.5 |
44.1 |
|
Незавершені капітальні вкладення (33,35,61) |
030 |
96450.2 |
134375 |
|
Устаткування (07) |
035 |
23746.5 |
43375.6 |
|
Довгострокові фінансові вкладення (58) |
040 |
562.3 |
639.1 |
|
Розрахунки з учасниками (75) |
050 |
13.4 |
|
|
Майно в оренді (11) |
055 |
||
|
Інші позаоборотні активи |
060 |
||
|
Всього по розділу 1 |
070 |
1504031.8 |
1564452.1 |
|
І. Запаси і затрати |
|||
|
Виробничі запаси (05,06,08,10) |
080 |
23752.6 |
53484.1 |
|
Тварини на вирощуванні і відгодівлі (09) |
090 |
105.3 |
136.2 |
|
Малоцінні і швидкозношувані предмети: ' |
|||
|
Залишкова вартість |
100 |
3750.5 |
3229.2 |
|
Знос *(13) |
101 |
1183.1 |
3221.6 |
|
Первісна вартість * (12) |
102 |
4933.6 |
6450.8 |
|
Незавершене виробництво (03,20,21,23,29, ЗО, 36,43,44) |
110 |
6255.6 |
4286.8 |
|
Витрати майбутніх періодів (31) |
120 |
7.7 |
10.3 |
|
Готова продукція (40) |
130 |
2.3 |
2.3 |
|
Товари: |
|||
|
Купівельна вартість (41) |
140 |
35484.5 |
33457.1 |
|
Торгова націнка * (42) |
141 |
261.6 |
116.7 |
|
Продажна вартість * (41 ) |
142 |
35746.1 |
33573.8 |
|
Всього по розділу II |
150 |
69358.5 |
94606.6 |
| [II Грошові кошти, розрахунки та інші активи | |||
|
Товари відвантажені: |
|||
|
строк сплати яких не настав (45) |
160 |
186611.3 |
88810.3 |
|
не сплачені в строк(45) |
165 |
||
|
Розрахунки з дебіторами: |
|||
|
за товари, роботи і послуги, строк сплати яких не настав (62,76) |
170 |
130571.6 |
433388.1 |
| за товари, роботи і послуги, не сплачені в строк (62,76) | 180 | 1689.7 | 19793.1 |
|
по векселях одержаних (59) |
190 |
17236.7 |
|
|
з бюджетом (68) |
200 |
9524.9 |
21.1 |
|
з персоналом за іншими операціями (73) |
210 |
278.6 |
428.6 |
|
по авансах виданих (61) |
220 |
20513.6 |
10027.6 |
|
з дочірніми підприємствами (78) |
230 |
339.5 |
28519.5 |
| з іншими дебіторами (63,70,71,72,73,76,84)1 | 240 | 70485.9 | 38969.8 |
|
Короткострокові фінансові вкладення (58) |
250 |
||
|
Грошові кошти: |
|||
|
Каса(50) |
260 |
3.5 |
2.4 |
|
Розрахунковий рахунок (51 ) |
270 |
388.2 |
352.3 |
|
Валютний рахунок (52) |
280 |
458.4 |
460 |
|
Інші грошові кошти (54,55,56) |
290 |
91.9 |
41.2 |
|
Використання позикових коштів (82) |
300 |
||
|
Інші оборотні активи |
310 |
9.4 |
13.9 |
|
Всього по розділу III |
320 |
435122.1 |
646244.4 |
|
Баланс ( сума рядків 070, 150, 320 ) |
330 |
2008512.4 |
2305302.5 |
|
Пасив |
Код рядка |
На початок року |
На кінець зв-ного періоду |
|
1 |
2 |
3 |
4 |
|
І Джерела власних та прирівняних до них коштів |
|||
|
Статутний фонд (капітал) (85) |
400 |
1182.5 |
1182.5 |
|
Додатковий капітал (88) |
405 |
1471105.2 |
1511785.1 |
|
Резервний фонд (88) |
410 |
||
|
Фінансування капітальних вкладень (93,94) |
420 |
||
|
Розрахунки за майно (76) |
425 |
83105.9 |
159286.4 |
|
Спеціальні фонди і цільове фінансування (87,88,96) |
430 |
11202.6 |
10720.2 |
|
Амортизаційний фонд на повне відновлення (86) |
440 |
||
|
Розрахунки з учасниками (75) |
450 |
45011.9 |
191067.4 |
|
Доходи майбутніх періодів (83) |
455 |
||
|
Резерви наступних витрат і платежів (89) |
460 |
||
|
Реструктуризований борг (60) |
465 |
||
|
Нерозподілений прибуток минулих років (98) |
470 |
89952.7 |
|
|
Заборгованість за майно в оренді (99) |
475 |
||
|
Прибуток: нерозподілений звітного року (80) |
480 |
125759.5 |
5137.8 |
|
використаний у звітному році* (81) |
481 |
230000.2 |
|
|
звітного року* (80) |
482 |
355760.2 |
|
|
Збитки: минулих років (98) |
485 |
||
|
звітного року (80) |
490 |
||
|
Всього по розділу І |
495** |
1771105.9 |
1868459.2 |
|
II Довгострокові пасиви |
. |
||
|
Кредити банків (90) |
500 |
||
|
Позикові кошти (95) |
510 |
||
|
Інші довгострокові пасиви |
520 |
||
|
Всього по розділу II |
530 |
4504.9 |
40433.9 |
|
III Розрахунки та інші короткострокові пасиви |
|||
|
Кредити банків (90) |
600 |
600 |
1800 |
|
Позикові кошти (95) |
610 |
||
|
Кредити та позики, що не погашені в строк |
620 |
||
| Розрахунки з кредиторами: за товари, роботи і послуги, строк сплати яких не настав (60,76) |
630 |
17610.3 |
34818.8 |
|
за товари, роботи і послуги, не сплачені в строк (60,76) |
640 |
102756.9 |
281783 |
|
по векселях виданих (66) |
650 |
5955.2 |
|
|
по авансах одержаних (61) ' |
660 |
2.0 |
3825.4 |
|
з бюджетам (68) |
670 |
38686.5 |
48284.3 |
|
по позабюджетних платежах (65) |
680 |
2611.1 |
9173.4 |
|
по страхуванню (69) |
690 |
926 |
1830.7 |
|
по оплаті праці (70) |
700 |
2003.6 |
3480 |
|
з дочірніми підприємствами (78) |
710 |
||
|
з іншими кредиторами (71 ,76) |
720 |
26731.4 |
5029.7 |
|
Позики для працівників (97) |
730 |
||
|
Інші короткострокові пасиви |
740 |
278.6 |
428.6 |
|
Всього по розділу III |
750 |
192394.6 |
396409.4 |
|
Баланс (сума рядків 495,530,750) |
760 |
2008512.4 |
2305302.5 |
* Дані по цих рядках у валюту балансу не входять
** Підсумок розділу 1 пасиву балансу визначається як сума показників усіх статей цього розділу зменшена на показники статей " Збитки звітного та минулих років
Додаток Б
Звіт про фінансові результати та їх використання за 1998 рік
|
1. ФІНАНСОВІ РЕЗУЛЬТАТИ |
||||||
| Найменування показника | Код рядка | Прибутки | Збитки | |||
| 1 | 2 | 3 | 4 | |||
| Виручка (валовий дохід) від реалізації продукції | 010 | 970496,4 | ||||
|
Державне регулювання цін |
011 |
|||||
|
Податок на додану вартість |
015 |
13533,8 |
||||
| Акцизний збір |
020 |
|||||
|
025 |
||||||
|
Затрати на виробництво реалізованої продукції |
040 |
582085,4 |
||||
|
Результат від реалізації |
050 |
348473,4 |
||||
|
Результат від іншої реалізації: |
060 |
293,2 |
662,2 |
|||
|
в т.ч. від реалізації основних фондів, нематеріальних активів і матеріальних цінностей |
061 |
|||||
|
від здачі окремого майна в оренду |
062 |
|||||
|
Доходи і витрати від позареалізаційних операцій |
070 |
9105,4 |
1485,2 |
|||
|
v т.ч. по дохідних активах |
071 |
|||||
|
штрафи, пені, неустойки та інші види санкцій |
072 |
|||||
|
Всього прибутків і збитків |
080 |
357907,6 |
2147,4 |
|||
|
Балансовий прибуток, або збиток |
090 |
355760,2 |
||||
|
Податок на прибуток |
105 |
113997,8 |
||||
|
Інше використання прибутку |
ПО |
116002,9 |
||||
|
Нерозподілений прибуток (непокриті збитки) звітного року |
120 |
125759,5 |
||||
|
2.ВИКОРИСТАННЯ ПРИБУТКУ |
||||||
|
Найменування напрямків |
Код рядка |
На кінець звітного періоду |
||||
|
Платежі до бюджету |
200 |
114475,4 |
||||
|
Відрахування в резервний (страховий) фонд |
210 |
|||||
|
Використано на: |
||||||
|
виробничий розвиток |
220 |
83190,3 |
||||
|
соціальний розвиток |
230 |
4417,8 |
||||
|
заохочування |
240 |
7011,3 |
||||
|
дивіденди |
245 |
|||||
|
вилучення виручки |
250 |
|||||
|
інші цілі |
260 |
20905,9 |
||||
|
3. ПЛАТЕЖІ ДО БЮДЖЕТУ |
||||||
|
Найменування показника |
Код рядка |
Підлягає розрахунку |
Фактично внесений |
|||
|
Акцизний збір |
300 |
|||||
|
Плата за землю |
305 |
|||||
|
Податок на прибуток (доход) |
310 |
|||||
|
Відрахування на ГРР |
320 |
|||||
|
Орендна плата |
325 |
|||||
|
Плата за використання природних ресурсів |
330 |
|||||
|
Плата за забруднення навколишнього природного середовища |
335 |
|||||
|
Плата за воду |
340 |
|||||
|
Фонд ліквідації наслідків Чорнобильської катастрофи |
345 | 1723,6 | 1616,9 | |||
| 1 | 2 | 3 | 4 | ||
|
Прибутковий податок з громадян |
350 |
||||
|
Різниця в ціні на газ |
355 |
||||
|
Податок ПДВ: з реалізації |
360 |
17532,8 |
25553,6 |
||
|
з імпорту |
365 |
||||
|
Податок з власників транспортних засобів |
370 |
||||
|
Рентні платежі |
375 |
25344,3 |
35278,7 |
||
|
Місцеві податки і збори |
380 |
||||
|
Ресурсні платежі |
385 |
2990,3 |
3881,7 |
||
|
Інші податки і платежі |
390 |
129923,4 |
99118 |
||
|
Економічні санкції |
395 |
||||
|
У т.ч. плата за забруднення навколишнього природного середовища понад ліміти |
396 |
||||
|
Довідково: відстрочені і розстрочені платежі |
400 |
||||
|
4. ЗАТРАТИ І ВИТРАТИ, ЩО ВРАХОВУЮТЬСЯ ПРИ ОБЧИСЛЕННІ ПІЛЬГ НА ПОДАТОК 3 ПРИБУТКУ |
|||||
|
Найменування показника |
Код рядка |
Фактично за звітний період |
|||
|
На придбання спецобладнання та устаткування для забезпечення роботи інвалідів 1 і 2 груп |
500 |
||||
|
На утримання об'єктів соц-культ. призначення |
510 |
||||
|
На реконструкцію і модернізацію активної частини основних фондів |
520 |
||||
|
На соціально-трудову та медичну реабілітацію працюючих інвалідів |
530 |
||||
|
На благодійні цілі |
540 |
||||
|
5. ПІЛЬГОВИЙ ПРИБУТОК |
|||||
|
Вид прибутку |
Код |
Сума |
|||
|
600 |
|||||
|
610 |
|||||
|
620 |
|||||
|
630 |
|||||
Звіт про фінансові результати та їх використання за 1999 рік
|
1. ФІНАНСОВІ РЕЗУЛЬТАТИ |
|||
|
Найменування показника |
Код рядка |
Прибутки |
Збитки |
| 1 | 2 | 3 | 4 |
| Виручка (валовий дохід) від реалізації продукції | 010 | 815242,3 | |
|
Державне регулювання цін |
011 |
||
|
Податок на додану вартість |
015 |
29993,4 |
|
| Акцизний збір |
020 |
||
|
025 |
|||
|
Затрати на виробництво реалізованої продукції |
040 |
572705,7 |
|
|
Результат від реалізації |
050 |
202422,7 |
|
|
Результат від іншої реалізації: |
060 |
376,1 |
1697,5 |
|
в т.ч. від реалізації основних фондів, нематеріальних активів і матеріальних цінностей |
061 |
||
|
від здачі окремого майна в оренду |
062 |
||
|
Доходи і витрати від позареалізаційних операцій |
070 |
4208,3 |
798,6 |
|
у т.ч. по дохідних активах |
071 |
||
|
штрафи, пені, неустойки та інші види санкцій |
072 |
||
|
Всього прибутків і збитків |
080 |
207016,1 |
2496,1 |
|
Балансовий прибуток, або збиток |
090 |
204520 |
|
|
Податок на прибуток |
105 |
63545,5 |
|
|
Інше використання прибутку |
ПО |
135836,7 |
|
|
Нерозподілений прибуток (непокриті збитки) звітного року |
120 |
5137,8 |
|
|
2.ВИКОРИСТАННЯ ПРИБУТКУ |
|||
|
Найменування напрямків |
Код рядка |
На кінець звітного періоду |
|
|
Платежі до бюджету |
200 |
63614,7 |
|
|
Відрахування в резервний (страховий) фонд |
210 |
||
|
Використано на: |
|||
|
виробничий розвиток |
220 |
103797,7 |
|
|
соціальний розвиток |
230 |
10044 |
|
|
заохочування |
240 |
8659,3 |
|
|
дивіденди |
245 |
||
|
вилучення виручки |
250 |
||
|
інші цілі |
260 |
13266,5 |
|
|
3. ПЛАТЕЖІ ДО БЮДЖЕТУ |
|||
|
Найменування показника |
Код рядка |
Підлягає розрахунку |
Фактично внесений |
|
Акцизний збір |
300 |
||
|
Плата за землю |
305 |
||
|
Податок на прибуток (доход) |
310 |
||
|
Відрахування на ГРР |
320 |
||
|
Орендна плата |
325 |
||
|
Плата за використання природних ресурсів |
330 |
||
|
Плата за забруднення навколишнього природного середовища |
335 |
||
|
Плата за воду |
340 |
||
|
Фонд ліквідації наслідків Чорнобильської катастрофи |
345 |
1395,4 |
1449,8 |
| 1 | 2 | 3 | 4 |
|
Прибутковий податок з громадян |
350 |
||
|
Різниця в ціні на газ |
355 |
||
|
Податок ПДВ: з реалізації |
360 |
27469,5 |
4671,1 |
|
з імпорту |
365 |
||
|
Податок з власників транспортних засобів |
370 |
||
|
Рентні платежі |
375 |
9980,6 |
4581,6 |
|
Місцеві податки і збори |
380 |
||
|
Ресурсні платежі |
385 |
3304,8 |
471,1 |
|
Інші податки і платежі |
390 |
82046 |
93921,1 |
|
Економічні санкції |
395 |
||
|
У т.ч. плата за забруднення навколишнього природного середовища понад ліміти |
396 |
||
|
Довідково: відстрочені і розстрочені платежі |
400 |
||
|
4. ЗАТРАТИ І ВИТРАТИ, ЩО ВРАХОВУЮТЬСЯ ПРИ ОБЧИСЛЕННІ ПІЛЬГ НА ПОДАТОК 3 ПРИБУТКУ |
|||
|
Найменування показника |
Код рядка |
Фактично за звітний період |
|
|
На придбання спецобладнання та устаткування для забезпечення роботи інвалідів 1 і 2 груп |
500 |
||
|
На утримання об'єктів соц-культ. призначення |
510 |
||
|
На реконструкцію і модернізацію активної частини основних фондів |
520 |
||
|
На соціально-трудову та медичну реабілітацію працюючих інвалідів |
530 |
||
|
На благодійні цілі |
540 |
||
|
5. ПІЛЬГОВИЙ ПРИБУТОК |
|||
|
Вид прибутку |
Код |
Сума |
|
|
600 |
|||
|
610 |
|||
|
' |
620 |
||
|
630 |
|||