| Похожие рефераты | Скачать .docx |
Курсовая работа: Оценка рисков инвестиционного проекта: качественный и количественный подходы
ФЕДЕРАЛЬНОЕ АГЕНТСТВО ПО ОБРАЗОВАНИЮ
ФЕДЕРАЛЬНОЕ ГОСУДАРСТВЕННОЕ ОБРАЗОВАТЕЛЬНОЕ УЧРЕЖДЕНИЕ ВЫСШЕГО ПРОФЕССИОНАЛЬНОГО
ОБРАЗОВАНИЯ «ЮЖНЫЙ ФЕДЕРАЛЬНЫЙ УНИВЕРСИТЕТ»
ИНСТИТУТ ЭКОНОМИКИ И ВНЕШНЕЭКОНОМИЧЕСКИХСВЯЗЕЙ
КУРСОВАЯ РАБОТА
по дисциплине «Управление проектом»
на тему: «Оценка рисков инвестиционного проекта: качественный и количественный подходы»
Выполнила:
Проверила:
Ростов-на-Дону, 2010
Содержание
Введение…………………………………………………………….............……..3
Глава 1. Оценка рисков инвестиционного проекта………….……....….............8
1.1 Характеристика качественного и количественного подходов и особенности методов оценки рисков инвестиционного проекта……….....…...8
1.2 Оценка вероятности неблагоприятных событий……………..……….…...15
1.3 Методы оценки вероятности рисковых событий и последствий их наступления………………………..…………………………………………......22
1.4 Особенности оценки эффективности проекта в условиях риска…………25
1.5 Экономическая оценка риска и его влияние на доходность инвестиционного проекта………………………………………………...……..32
Глава 2. Оценка рисков инвестиционного проекта на примере ювелирного завода……………………………………………………………..........................42
2.1 Основные типы проектных рисков…………………..............……………..42
2.2 Анализ проектных рисков…………………………………….............…….46
Заключение……………………………………………………………….............55
Список литературы……………………………………………………................57
Введение
В условиях рыночных отношений, при наличии конкуренции и возникновении порой непредсказуемых ситуаций, хозяйственная, производственная или коммерческая деятельность невозможна без рисков.
Изучение вопросов экономического кризиса вызвало необходимость исследования проблем, касающихся привлечения инвестиций и оценки их риска, так как существование предприятия в рыночной экономике определяется множеством факторов, как внешних, так и внутренних, при этом менеджмент предприятия не всегда может предсказать их поведение.
Кроме этого, нечетко сформулированные критерии оценки рисковой ситуации не позволяют принимать инвестиционные решения, что отпугивает инвесторов, поэтому предприятия столкнулись с проблемой снижения риска и повышения инвестиционной привлекательности.
В стратегическом аспекте инвестиции выступают ключевым звеном, определяющим решение всего комплекса проблем развития страны и модернизации экономики и, прежде всего, достижения устойчивого экономического роста и повышения конкурентоспособности отечественного производства на внутреннем и мировом рынке.
Инвестиционная деятельность сопряжена с рисками. В современных условиях уровень риска возрастает по мере нарастания неблагоприятных изменений экономической ситуации в стране и на инвестиционном рынке в частности.
Инвестиционные риски имеют сложную структуру, поскольку каждая их составляющая неоднородна, поэтому насколько четко будут выявлены риски, проанализированы, оценены и при необходимости снижены, зависит, будет ли принято решение о финансировании инвестиционного проекта или нет. В связи с этим особую актуальность приобрели методические и методологические аспекты экономической оценки риска и его влияния на доходность инвестиционного проекта.
Несмотря на очевидную актуальность определения зависимости доходности от уровня риска, методические аспекты этой проблемы пока не нашли широкого освещения в отечественной экономической литературе. Предлагается множество различных способов оценки инвестиционного риска, каждая из которых представляет интерес для специалистов в области риск-менджмента, но без взаимосвязи с доходностью. В стратегическом аспекте инвестиции выступают ключевым звеном, определяющим решение всего комплекса проблем развития страны и модернизации экономики и, прежде всего, достижения устойчивого экономического роста и повышения конкурентоспособности отечественного производства на внутреннем и мировом рынке.
Инвестиционная деятельность сопряжена с рисками. В современных условиях уровень риска возрастает по мере нарастания неблагоприятных изменений экономической ситуации в стране и на инвестиционном рынке в частности.
Инвестиционные риски имеют сложную структуру, поскольку каждая их составляющая неоднородна, поэтому насколько четко будут выявлены риски, проанализированы, оценены и при необходимости снижены, зависит, будет ли принято решение о финансировании инвестиционного проекта или нет. В связи с этим особую актуальность приобрели методические и методологические аспекты экономической оценки риска и его влияния на доходность инвестиционного проекта.
Несмотря на очевидную актуальность определения зависимости доходности от уровня риска, методические аспекты этой проблемы пока не нашли широкого освещения в отечественной экономической литературе. Предлагается множество различных способов оценки инвестиционного риска, каждая из которых представляет интерес для специалистов в области риск-менджмента, но без взаимосвязи с доходностью. На основе критического анализа многочисленных источников, в которых была представлена информация о методических аспектах экономической оценки риска и эффективности инвестиций, специалистами была разработана методика оценки влияния факторов на доходность инвестиционного проекта через показатель уровня риска.
Таким образом, актуальность темы оценки рисков инвестиционного проекта обусловлена необходимостью всестороннего анализа инвестиционных рисков, что позволит определить основные характеристики и методы качественного и количественного подходов оценки инвестиционных рисков, влияющих на инвестиционную привлекательность проекта.
Неопределенность и риск являются неотъемлемыми свойствами инвестиционной деятельности. Результат инвестирования средств во многом определяется тем, насколько полно выявлены настоящие и будущие сферы неопределенности и риска проекта. Эти сферы предопределяют величину прибыли инвестора, получаемой от вложенного им капитала. Риск, по своей природе, является измеряемой производной неопределенности, поэтому представляет множество возможных исходов, каждый из которых характеризуется определенной вероятностью. В этом случае инвесторы имеют доступ к информации и некоторые основания для оценки ожидаемых доходов. Это значит, что риск подлежит анализу, оценке контролю со стороны инвестора.
В стратегическом аспекте инвестиции выступают ключевым звеном, определяющим решение всего комплекса проблем развития страны и модернизации экономики и, прежде всего, достижения устойчивого экономического роста и повышения конкурентоспособности отечественного производства на внутреннем и мировом рынке.
Инвестиционная деятельность сопряжена с рисками. В современных условиях уровень риска возрастает по мере нарастания неблагоприятных изменений экономической ситуации в стране и на инвестиционном рынке в частности.
Инвестиционные риски имеют сложную структуру, поскольку каждая их составляющая неоднородна, поэтому насколько четко будут выявлены риски, проанализированы, оценены и при необходимости снижены, зависит, будет ли принято решение о финансировании инвестиционного проекта или нет. В связи с этим особую актуальность приобрели методические и методологические аспекты экономической оценки риска и его влияния на доходность инвестиционного проекта.
Несмотря на очевидную актуальность определения зависимости доходности от уровня риска, методические аспекты этой проблемы пока не нашли широкого освещения в отечественной экономической литературе. Предлагается множество различных способов оценки инвестиционного риска, каждая из которых представляет интерес для специалистов в области риск-менджмента, но без взаимосвязи с доходностью.
Цель курсовой работы:
Выделить теоретические основы оценки рисков инвестиционного проекта, а именно: качественный и количественный подходы, а также провести оценку инвестиционных рисков на примере конкретного предприятия (ювелирного завода).
Задачи курсовой работы:
Рассмотреть подходы к оценке инвестиционных рисков.
Изучить методы оценки рисков инвестиционного проекта.
Изучить особенности оценки эффективности проекта в условиях рынка.
Рассмотреть экономическую оценка риска и его влияние на доходность инвестиционного проекта.
Провести оценку рисков представленного проекта, сделать вывод о его целесообразности.
Объектом курсового исследования является оценка рисков инвестиционного проекта, предметом – подходы к оценке рисков (качественный и количественный).
Теоретико-методологической основой исследования послужили труды Сироткина С.А., Кузнецова Б.Т., Волкова И.М., Грачевой М.В., Ахметзянова И.Р., Киселевой Н.В., Гранатурова В.М. и др. Кроме того, в работе использованы научно-периодические источники, такие как журнал Финансовый директор» а так же интернет-ресурсы.
Поставленная цель, задачи, предмет и объект исследования предопределили логику изложения и структуру данной курсовой работы, состоящей из введения, двух глав и заключения, библиографического списка использованной литературы. Курсовая работа изложена на 61 страницах машинописного текста, содержит 4 рисунка, 13 таблиц.
Во «Введении» обоснована актуальность темы, определены цели и задачи, предмет исследования.
В первой главе «Оценка рисков инвестиционного проекта: качественный и количественный подходы» рассматриваются теоретические основы и характеристика качественного и количественного подходов, методы оценки рисков проекта, а так же экономическая оценка риска и его влияние на доходность инвестиционного проекта.
Во второй главе «Оценка рисков инвестиционного проекта на примере ювелирного завода» дана краткая характеристика и обоснование инвестиционного проекта, произведена качественная и количественная оценка рисков.
В заключении приводятся выводы выполненного анализа.
Глава 1. Оценка рисков инвестиционного проекта
1.1 Характеристика качественного и количественного подходов и особенности методов оценки инвестиционного проекта
Все методы, применяемые для оценки рисков проекта можно условно разделить на качественные и количественные.
Качественный подход предполагает выявление источников и причин риска, этапов и работ, при выполнении которых возникает риск, т.е.:
установление потенциальных источников риска;
выявление рисков проекта;
описание рисков проекта;
классификация рисков проекта;
выявление практических выгод и возможных негативных последствий, которые могут наступить при реализации содержащего риск решения.
Цель: идентификация рисков проекта.[1]
В процессе анализа необходимо руководствоваться тремя основными правилами: выделять простые риски, учитывать зависимые и независимые риски, понимать, какие риски являются устранимыми, а какие — неустранимыми.
Для анализа причины возможных рисков необходимо собрать большую информацию из разных источников: финансовой отчетности, маркетинговых исследований, схем организационно-управленческой структуры и др. Затем нужно разработать систему мер по нейтрализации и минимизации рисков — таких, как:
создание резервов на непредвиденные расходы;
проведение маркетинговых исследований, которые позволяют приблизить прогноз объемов и цен продаж к реальности;
страхование;
включение в договоры с контрагентами дополнительных условий, которые позволяют переложить риск на других лиц или распределить его.[2]
Качественный анализ проводят для получения данных, позволяющих потенциальным партнерам принять решение о целесообразности участия в проекте и выработать антирисковые мероприятия для защиты от возможных финансовых потерь. Процедура качественного анализа, по существу, должна привести к количественному результату — стоимостной оценке как негативных последствий идентифицированных рисков, так и разработанных антирисковых мероприятий. Это базируется на выявлении проектных рисков. Таким образом, первая задача качественного подхода — идентифицировать возможные виды проектных рисков, свойственных анализируемому проекту. Кроме того, необходимо определить и описать причины и факторы, влияющие на уровень каждого вида риска, описать и дать стоимостную оценку всех возможных его последствий и предложить систему антирисковых мероприятий, рассчитав их стоимостный эквивалент.
Результаты качественного анализа рисков обычно содержат значительный объем полезной информации, включая обнаружение первопричин рисков, определение приносимого ущерба и т.д.
Полученные результаты целесообразно свести в табл. 1.
Таблица 1. Результаты выявления проектных рисков
| Наименование риска |
Причина (факторы) риска |
Последствия и возможный ущерб |
Меры по предотвращению, приближенная оценка их стоимости |
В такой таблице удобно группировать риски в соответствии с фазами (стадиями) жизненного цикла инвестиционного проекта: прединвестиционной, инвестиционной, эксплуатационной.
Также в таблицу можно вносить информацию, определяющую контекст риска:
условия;
ограничения;
обстоятельства;
допущения;
влияющие факторы;
взаимозависимости рисков;
подвергающихся риску владельцев собственности;
факторы, вызывающие беспокойство проектной группы.
Очень часто оказывается, что одна установленная причина риска влечет за собой множество последствий. Также возможно, что риски взаимосвязаны между собой, поэтому последствие одного проектного риска может оказаться причиной другого. Такие ситуации должны также отражаться в контексте рисков для учета их коррелированности при принятии решений в ходе анализа и планирования рисков. Исчезновение одного риска может привести в ликвидации целой группы зависимых рисков и соответствующим изменениям в существовании рисков всего проекта.[3]
При проведении качественного анализа проектного риска могут быть использованы метод анализа уместности затрат и метод аналогий.
Метод анализа уместности затрат ориентирован на выявление потенциальных зон риска и используется лицом, принимающим решение об инвестициях, для минимизации риска, угрожающего капиталу. Предполагается, что перерасход затрат может быть вызван одним из четырех основных факторов или их комбинациями:
первоначальная недооценка стоимости проекта в целом или его отдельных фаз и составляющих;
изменение границ проектирования, обусловленное непредвиденными обстоятельствами;
различие в производительности (отличие производительности от предусмотренной проектом);
увеличение стоимости проекта в сравнении с первоначальной вследствие инфляции или изменения налогового законодательства.
Эти факторы могут быть детализированы. На базе типового перечня можно составить подробный контрольный перечень для каждого варианта проекта. Процесс утверждения ассигнований разбивается на стадии. Стадии утверждения должны быть связаны с проектными фазами и основываться на дополнительной информации о проекте по мере его разработки. На каждой стадии утверждения, получив информацию о высоком риске, назревшем для потребных средств, инвестор может принять решение о прекращении инвестиций.
Поэтапное выделение средств позволяет инвестору при первых признаках того, что риск вложений растет, или прекратить финансирование проекта, или же начать поиск мер, обеспечивающих снижение затрат.[4]
Метод аналогий. При анализе рискованности нового проекта (например, по строительству промышленного объекта) полезными могут оказаться сведения о последствиях воздействия подобных неблагоприятных факторов на другие столь же рискованные проекты. В сборе и обобщении такой информации все чаще инициативу проявляют авторитетные западные страховые компании, которые публикуют регулярные комментарии о тенденциях в наиболее важных зонах риска строительства промышленных объектов.
В России страховой бизнес недостаточно для этого развит, поэтому вопросами сбора и обобщением такой информации вынуждены заниматься непосредственно проектные организации. При использовании аналогов применяемые базы создаются на основе литературных источников, исследовательских работ проектных организаций, опросов менеджеров проектов и др.
Оперируя методом аналогий, следует проявлять осторожность, так как даже в самых тривиальных и известных случаях неудачного завершения проектов очень трудно создать предпосылки для будущего анализа, т.е. сформировать исчерпывающий и реалистический набор сценариев срыва проекта.
Наибольшую сложность представляют такие этапы инвестиционного анализа, как количественное определение величины риска и оценка эффективности проекта с учетом выявленных и измеренных рисков. В настоящее время в России нет целостной теории оценки проектных рисков. Одной из причин этого является, по-видимому, отсутствие длительного временного периода практической инвестиционной деятельности в рыночных условиях.[5]
Количественный подход предполагает численное определение отдельных рисков и риска проекта (решения) в целом. При этом определяются численные значения вероятности наступления рисковых событий и их последствий, проводится количественная оценка степени (уровня) риска, определяется также допустимый в данной конкретной обстановке уровень риска.
Количественная оценка вероятности наступления отдельных рисков и того, во что они могут обойтись, позволяет выделить наиболее вероятные по возникновению и весомые по величине потерь риски, которые будут являться объектом дальнейшего анализа для принятия решения о целесообразности реализации проекта.[6]
Количественный анализ рисков:
формализация неопределенности;
выбор методики оценки рисков конкретного проекта,
пошаговая оценка рисков проекта.
Цель: измерение рисков проекта.[7]
В исследованиях, посвященных проблеме риска, встречаются несколько подходов к определению количественной оценки риска, основные из них следующие:
статистический метод;
метод экспертных оценок;
комбинированный метод;
метод аналогий.
Поскольку под риском в инвестиционном анализе, как говорилось выше, понимается вероятность осуществления неблагоприятного события (сценария), количественная оценка риска чаще всего сводится к оценке величины соответствующей вероятности. В общем случае считается, что чем больше вероятность получения худших значений конечных результатов проекта, тем выше уровень риска, ассоциируемый с данным проектом.
В зависимости от способа определения величины вероятности можно выделить частотную и субъективную вероятность наступления неблагоприятного события. Величина частотной вероятности может быть получена с применением как статистического метода, так и метода аналогий.
Суть статистического метода заключается в том, что изучается статистика потерь и доходов, имевших место на данном или аналогичном производстве. Логика рассуждений такова: риск — это наступление случайного события; случайность — это то, что в сходных условиях происходит неодинаково, поэтому ее нельзя заранее предвидеть и прогнозировать; однако при большом количестве наблюдений за случайностями можно обнаружить, что они повторяются с определенной частотой (вероятностью). При статистическом методе устанавливается величина и частотность получения той или иной отдачи от инвестиций и составляется наиболее вероятный прогноз на будущее. Таким образом, для применения этого метода требуется наличие довольно большого массива наблюдений за соответствующими факторами риска проекта (ценами на реализуемую продукцию, величиной основных видов затрат, размером инвестиционных вложений и т.п.), который затем обрабатывается с помощью несложных математических методов. С математической точки зрения чем больше массив данных, тем достовернее оценка риска.
Субъективная вероятность рассчитывается на базе метода экспертных оценок и является предположением о наступлении неблагоприятного результата, которое основывается на индивидуальном суждении оценивающего (эксперта в данной области), на его личном опыте. Таким образом, экспертный метод основан на обработке мнений опытных предпринимателей или специалистов. Желательно, чтобы эксперты давали свои оценки вероятностей возникновения уровней потерь, но можно ограничиться получением оценок вероятностей допустимого, критического и катастрофического рисков. Если и это затруднительно сделать, то можно поставить экспертам вопрос о том, какие потери наиболее вероятны в данном виде предпринимательской деятельности. Специалист по аналогии с другими случаями и благодаря своей интуиции может оценить вероятность отдачи.
Преимущество такого способа оценки риска заключается в возможности его применения для неповторяющихся событий и в условиях отсутствия достаточного количества статистических данных, необходимых для выявления объективных вероятностей. В силу уникальности инвестиционных проектов и недостаточности временного периода наблюдений экспертный метод оценки рисков проекта с определением субъективной вероятности наступления неблагоприятных событий является основным в настоящее время для российских компаний.
Довольно часто на практике применяется также метод, являющийся комбинацией из статистического и экспертного методов определения риска.
На основании полученных вероятностей (частотных или субъективных) с помощью методов математической статистики рассчитываются основные показатели — дисперсия, стандартное отклонение, коэффициент вариации различных обобщающих показателей (например, индекса рентабельности инвестиций, чистой текущей стоимости проекта, бухгалтерской рентабельности инвестиций и др.).
Величина риска (степень риска) измеряется в этом случае показателями дисперсии, среднеквадратического отклонения и коэффициентом вариации. Принято считать: чем больше этот разброс значений результирующего показателя инвестиционного проекта от средней ожидаемой величины, тем выше риск данного инвестиционного проекта. Таким образом, величина риска связывается с колеблемостью, разбросом возможных эффектов проекта.
Четвертый способ определения частотной вероятности (по методу аналогий) уже рассматривался выше в рамках качественного подхода и может быть использован в обоих случаях.
Значения вероятностей, полученных с применением статистического метода и метода аналогий, называют объективными, так как точно такие же результаты могут быть получены любым другим лицом, повторившим расчетные процедуры.[8]
1.2 Оценка вероятности неблагоприятных событий
Каждый из методов распознавания риска, направленных в основном на определение областей риска, представляет собой подход к идентификации принципиальных рисков и не касается их индивидуальных источников, как бы велики или малы они ни были. Эти методы слишком общие, и при их использовании никак не оценивается вероятность того или иного события и масштаб их последствий.
Качественный анализ включает не только определение рисков проекта и анализ причин их возникновения, но и оценку возможного ущерба от реализации распознанных рисков и разработку и приближенную оценку мероприятий по борьбе с этими рисками.
Поэтому после того как принципиально возможные риски идентифицированы, необходимо оценить их уровень и последствия, к которым они могут привести, т.е. вероятность рисков конкретных событий и потенциальный ущерб. Ниже приведены методы, которые в той или иной степени могут помочь это сделать.[9]
Метод построения деревьев событий. Метод построения деревьев событий — это графический способ прослеживания последовательности событий, от одного возможного инцидента, например отказа или неисправности каких-либо элементов технологического процесса системы, через цепочку промежуточных событий к конечным или главным событиям, с оценкой вероятности каждого из промежуточных событий и вычисления суммарной вероятности конечных событий, приводящих к убыткам.
Дерево событий строится начиная с заданных исходных событий, называемых инцидентами. Затем прослеживаются возможные пути развития последствий этих событий по цепочке причинно-следственных связей в зависимости от отказа или срабатывания промежуточных звеньев системы.
Построение дерева событий позволяет последовательно проследить за последствиями каждого возможного исходного события и вычислить максимальную вероятность главного (конечного) события от каждого из таких инцидентов. Основное в этом анализе — не пропустить какой-либо из возможных инцидентов и не упустить из рассмотрения промежуточные звенья системы.
Конечно, такой анализ может дать достоверный результат вероятности главного события только в том случае, если достоверно известны вероятности исходных и промежуточных событий. Но это и непременное условие любого другого вероятностного метода.
Анализ риска можно провести и в обратном направлении — от известного последствия к возможным причинам. В этом случае мы получим одно главное событие у основания дерева и множество возможных причин — инцидентов в его кроне. Такой метод называется деревом отказов и фактически представляет собой инверсию рассмотренного здесь дерева событий. Оба метода взаимно дополняют друг друга.
Метод «события—последствия». Сущность метода заключается в том, что он дает подход к идентификации и оценке последствий тех или иных событий на этапе проектирования. Его инструментарий — метод деревьев событий, но только без использования графического изображения цепочек событий и оценки вероятности каждого события. Метод предназначен для проведения критического анализа работоспособности предприятия с точки зрения возможности неисправностей или выхода из строя всего или части оборудования.
Основная идея подхода — расчленение сложных производственных систем на отдельные, более простые и легче анализируемые части. Каждая такая часть подвергается тщательному анализу по определенному алгоритму для идентификации всех опасностей и рисков. В алгоритме используют группы ключевых слов.
В рамках этого метода процесс идентификации риска разделяется на четыре последовательных шага, или этапа, на каждом из которых следует ответить на ключевой вопрос:
назначение исследуемой части установки или процесса;
возможные отклонения от нормального режима работы;
причины отклонений;
последствия отклонений.
1-й шаг — назначение установки. Группа исследователей должна решить, какие особенности системы нужно исследовать.
2-й шаг - отклонения. Теперь следует выбрать ключевые слова. Существует несколько групп ключевых слов для различных применений СП-метода.
Таблица 2. Ключевые слова группы
| Ключевое слово |
Значения |
Комментарии |
3-й и 4-й шаги — анализ причин и последствий, осуществляемый на основе таблицы ключевых слов. Результаты анализа системы отражаются в карточке контроля потоков (табл. 3).
Таблица 3. Карточка контроля потоков
| Ключевое слово |
Отклонение |
Причины |
Последствия |
Меры |
Этот метод подходит для стадии проектирования любой системы или процесса. Группа проектировщиков вместе с риск-менеджером может подробно исследовать все возможности еще до того, как начнется реализационная стадия проекта.
К преимуществам метода относятся:
детализация процесса распознавания возможных рисков;
надежность квалифицированной оценки и полнота распознавания рисков как следствие проведения исследований группой специалистов;
«точечность» — подробный анализ каждой части или секции сложной системы.
Недостатки метода:
долговременность проведения полного комплекса исследований;
высокая стоимость;
необходимость упрощений при графическом изображении установок, что ведет к возможности упущения некоторых рисков.
Метод деревьев отказов. Это диаграммное представление всех начальных и промежуточных событий, которые могут привести к некоторому главному событию.
Диаграмма определяет пути, по которым отдельные индивидуальные события могут в результате их комбинированного воздействия привести к потенциально опасным ситуациям.
Метод деревьев отказов является инверсным по отношению к методу деревьев событий: дерево событий строится от некоторых начальных инцидентов к главным событиям, а дерево отказов — от главных событий к причинам, их повлекшим. Можно сказать, что дерево событий строится «от корней к кроне», а дерево отказов — «от кроны к корням».
Логика построения деревьев отказов состоит в следующем:
рассматриваемое главное событие изображается в вершине дерева;
при построении дерева логическая схема отталкивается от главного события. Исходная точка — это не причины, приведшие к событию, а само событие;
ветви дерева представляют собой все пути, по которым событие может осуществиться, а связь между исходными событиями и главным событием осуществляется через «калитку», или условие; в качестве таких «калиток» могут использоваться только логические «И» и «ИЛИ», других возможностей не существует. Это логические условия, которые выбираются исходя из логики работы системы;
вводятся вероятности для элементов системы;
события, связанные условием «И», перемножаются, а события, связанные условием «ИЛИ», складываются.
Метод деревьев отказов широко используется в самых разных отраслях техники и технологии, особенно для управления рисками потенциально опасных объектов.
Использование дерева отказов позволяет:
описать и проанализировать структуру сложных процессов или систем;
идентифицировать риски;
анализировать причины рисков;
провести анализ чувствительности;
определить минимальное число комбинаций событий, которые могут привести к главному событию.
Дерево отказов для сложных технических систем может содержать в себе большое число элементов, которые могут дублироваться в разных частях системы. Поэтому значительный интерес представляет собой метод анализа диаграммы, выделяющий из цепочек событий так называемые кратчайшие пути. В терминах теории деревьев отказов кратчайший путь — это цепочка событий, начиная от первичных источников отказов, которая может привести к главному событию за минимальное число шагов. Минимальное число цепочек событий, при которых может произойти главное событие, называется набором минимальных кратчайших путей.
Главная сложность метода деревьев отказов — достоверность оценки вероятности событий. Здесь необходимо выявить исходные события и их вероятности, и если эти вероятности оценены неправильно или неточно, то все последующие вычисления для оценки вероятности главного события окажутся недостоверными.[10]
Индексы опасности. Методы индексов опасности. Эти методы подходят к оценке потенциальной опасности промышленного предприятия интегрально, не вдаваясь в детали производственных процессов. Основная идея, заложенная в таких подходах, — оценить некоторым числовым значением (индексом) степень опасности рассматриваемой технической системы. Существуют различные способы сделать это, но при оценке рисков пожаро- и взрывобезо-пасности наиболее часто и широко используется индекс Дау (Dow Fire and Explosion Index).
При вычислении индекса Дау отдельным техническим характеристикам системы ставятся в соответствие определенные показатели, в числовом виде характеризующие потенциальную опасность конкретных элементов процесса или технической системы. Такие показатели суммируют, не вдаваясь в подробности устройства или функционирования рассматриваемой системы. В зависимости от расчетного значения индекса Дау качественно оценивают степень опасности, ориентируясь на табл. 4.
Таблица 4.
| Значения индекса Дау |
Степень опасности |
| 1-60 |
Малая |
| 61-96 |
Средняя |
| 97-127 |
Промежуточная |
| 128-159 |
Большая |
| Более 159 |
Очень большая |
Однако сам по себе индекс Дау еще не дает полной характеристики потенциального ущерба от пожара или взрыва. Его значение построено таким образом, чтобы его можно было однозначно связать с площадью, на которую может распространиться пожар или взрыв в случае их возникновения. Определение площади (или радиуса воздействия) может быть сделано по специальным таблицам или графикам, которые обычно приводятся в нормативных документах.
Методика работы с индексом Дау позволяет также оценить так называемый фактор ущерба Y, значения которого лежат в диапазоне от 0 до 1 и характеризуют наиболее вероятную степень разрушения рассматриваемой технической системы в случае пожара или взрыва. Таблицы или графики значений Y в зависимости от значений составляющих индекс Дау факторов также приводятся в специальных справочниках.
Определив значение Y, можно оценить максимальный ущерб имуществу MY, находящемуся в зоне возможного пожара или взрыва. Этот ущерб определяется как произведение стоимости имущества С, находящегося в зоне, подверженной воздействию пожара или взрыва, на фактор ущерба Y.
.
Значение максимального ущерба имуществу MY, рассчитанное по формуле, — это предельно возможное значение ущерба при отсутствии специальных систем безопасности. Очевидно, что можно принять различные меры, позволяющие снизить понесенный ущерб, например установить системы взрыво- и пожарозащиты и др. Эти системы безопасности могут быть охарактеризованы количественно некоторым числом в диапазоне между 0 и 1, которое называется коэффициентом доверия CF (credit factor). Умножив базовое значение MY на коэффициент доверия CF, получим реальное значение ущерба RY.
.[11]
1.3 Методы оценки вероятности рисковых событий и последствий их наступления
Под вероятностью рисков понимается мера возможности того, что последствие риска, описанное в его формулировке, действительно наступит. Поскольку каждый инвестиционный проект уникален, то оценка вероятности риска в нем представляет собой достаточно сложную задачу. Вместе с тем, как правило, разработчики проекта, используя собственный опыт и имеющиеся данные и/или привлекая экспертов, могут тем или иным способом выразить эти вероятности.
Это может быть простейшая градация: низкий, средний, высокий риск, или более сложная: крайне маловероятно, низкая вероятность, скорее нет, 50—50, скорее да, весьма вероятно, почти наверняка. Как будет показано далее, эти оценки могут быть переведены в числовую форму.
Результаты проявления риска отражают собой меру тяжести негативных последствий, уровень убытков, недополученных доходов и т.п. Для некоторых событий риска эта мера может быть выражена в денежных единицах, например риск хищения конкретного имущества. Для многих рисков на этапе качественного анализа меру тяжести приходится выражать по некоторой субъективной шкале. Эти шкалы, так же как и шкалы оценки риска могут иметь различные градации. На практике для оценки последствия наступления рисков применяются шкалы от трехбалльных (тяжелые, средние, легкие последствия) до десятибалльных. При формировании многобалльных шкал полезно иметь таблицы преобразования денежных единиц в значения, которые могут быть сопоставлены с субъективными единицами оценок, используемыми другими методиками анализа рисков. Пример формирования такой шкалы показан в табл. 5.
Таблица 5. Пример таблицы преобразования денежных единиц
| Оценка |
Денежное выражение, ден. ед. |
| 1 |
До 100 |
| 2 |
100 - 1000 |
| 3 |
1000 — 10 000 |
| 4 |
10 000 - 100 000 |
| 5 |
100 000 - 1 000 000 |
| 6 |
1 000 000 - 10 млн |
| 7 |
10 млн — 100 млн |
| 8 |
100 млн — 1 млрд |
| 9 |
1 млрд — 10 млрд |
| 10 |
Свыше 10 млрд |
Важную роль в качественном анализе выполняет ранжирование. Для его проведения требуется разработать специальную матрицу возможных сочетаний вероятностей рисков и тяжести последствий этих рисков — матрицу ранжирования. Существует несколько видов матриц ранжирования.
Другой пример представления основан на использовании трехзначной шкалы для вероятности и воздействия; возможные значения ожидаемой величины представлены в табл. 6.
Таблица 6. Балльное ранжирование
| Вероятность |
Воздействие |
||
| Малое = 1 |
Среднее = 2 |
Высокое = 3 |
|
| Высокая = 3 |
3 |
6 |
9 |
| Средняя = 2 |
2 |
4 |
6 |
| Низкая = 1 |
1 |
2 |
3 |
В качестве еще одного возможного способа ранжирования рисков можно использовать матрицу сопоставления. В этом случае все риски сравниваются между собой попарно — по величине вероятности, или воздействию, или по интегральному эффекту, или по какому-нибудь другому показателю. Пример матрицы сопоставления приведен в табл. 7.
Таблица 7. Пример матрицы сопоставления
| № риска |
№ риска |
||||||
| 1 |
2 |
3 |
4 |
5 |
6 |
7 |
|
| 1 |
0 |
1 |
1 |
0 |
0 |
0 |
|
| 2 |
1 |
0 |
0 |
1 |
0 |
1 |
|
| 3 |
0 |
1 |
0 |
0 |
0 |
0 |
|
| 4 |
0 |
1 |
1 |
1 |
1 |
0 |
|
| 5 |
1 |
0 |
1 |
0 |
1 |
1 |
|
| 6 |
1 |
1 |
1 |
0 |
0 |
1 |
|
| 7 |
1 |
0 |
1 |
1 |
0 |
0 |
|
| Итого |
4 |
3 |
5 |
2 |
2 |
2 |
3 |
Вначале риск 1 сравнивается с риском 2. Если риск 1 оказывается более значимым, то в столбце риск 1 по строке риск 2 ставится 1, а в клетке, симметричной относительно диагонали, - 0. Далее по тому же принципу сравниваются остальные пары. Например, если риск 1 слабее, чем риск 3, то, как изображено в таблице, в клетке с координатами столбец риск 1, строка риск 3 ставится 0, в клетке с координатами столбец риск 3, строка риск 1 ставится 1. Заполнив таким образом всю матрицу, подсчитывают итоговое число баллов, набранное каждым риском. В итоге, риски ранжируются по числу баллов (чем больше сумма баллов, тем более значим риск).[12]
1.4 Особенности оценки эффективности проекта в условиях риска
После количественной оценки рисковости варианта инвестирования необходимы анализ финансовой реализуемости и оценка эффективности проекта с учетом оцененного риска. Для этого существует несколько методов. К наиболее распространенным из них следует отнести:
метод достоверных эквивалентов;
анализ чувствительности критериев эффективности проекта;
метод сценариев;
анализ вероятностных распределений потоков платежей;
определение предельного уровня устойчивости проекта;
«дерево решений»;
метод Монте-Карло (имитационное моделирование).[13]
1. Метод достоверных эквивалентов.
Метод достоверных эквивалентов (аналогий) основан на анализе всех аналогичных проектов, осуществляемых ранее с целью расчета вероятностей возникновения потерь. Этот метод находит наибольшее применение при оценке риска часто повторяющихся проектов. Когда компания реализует проект, аналогичный уже завершенным, то для расчета уровня риска предпринимаемого проекта на основании имеющегося статистического материала можно построить так называемую кривую риска и установить области риска, ограниченные нижней и верхней границами общих потерь.
Недостатками этого метода следует признать:
сложность расчета коэффициентов достоверности, адекватных риску на каждом этапе рассматриваемого проекта;
невозможность анализа вероятностных распределений ключевых параметров.
2. Анализ чувствительности критериев эффективности проекта.
Данный метод является хорошей иллюстрацией влияния отдельных исходных факторов проекта на степень исполнения инвестиционного договора. В силу своей наглядности он широко применяется для выделения и выбора наиболее значимых по степени воздействия факторов.
Суть анализа сводится к определению чувствительности результирующего показателя (чистой наличной прибыли, рентабельности и т. п.) к изменениям критических переменных. Среди критических переменных могут быть цена на продукцию, затраты на ее производство, сбытовые расходы, ставка ссудного процента, налоговые ставки и др.
Анализ чувствительности должен применяться уже на этапе планирования проекта, когда принимаются решения, касающиеся основных вводимых факторов. Целью анализа чувствительности является выявление «критических переменных», наиболее серьезно влияющих на проект. В ходе анализа проверяется воздействие изменений этих факторов на результаты проекта. Элемент неопределенности можно уменьшить нахождением оптимистических и пессимистических вариантов. Тем самым можно определить наиболее реалистическое, с коммерческой точки зрения, сочетание вводимых факторов для данной деловой среды (или сценария), предпочитаемое лицами, принимающими решения. Но это относится уже к анализу сценариев.
Анализ чувствительности состоит из следующих этапов: одна из переменных меняет значение, после чего пересчитывается новое значение используемого критерия (например, NPV). Затем оценивается процентное изменение критерия по сравнению с базисным сценарием и рассчитывается показатель чувствительности — отношение процентного изменения критерия к изменению значения переменной на один процент (т. е. эластичность изменения показателя). Так же исчисляются показатели чувствительности по каждой из остальных переменных.
Главным недостатком данного метода является предпосылка о том, что изменение одного фактора рассматривается изолированно, тогда как на практике все экономические факторы в той или иной степени коррелированны.
3. Метод сценариев.
Анализ сценариев представляет собой развитие методики анализа чувствительности проекта. В ходе анализа определяется воздействие одновременного изменения всех основных переменных проекта, характеризующих его денежные потоки. Критическим переменным придаются значения, соответствующие разумно консервативному, нормальному и оптимистическому сценариям, далее рассчитываются дисконтированные потоки реальных денег (или любые другие показатели, выбранные в качестве критерия для оценки инвестиций).
Для данного типа анализа можно использовать следующую схему3 (см. табл. 8).
Основное правило анализа сценариев: проект отвергается, если значение МРУ такого проекта в оптимистическом варианте отрицательно, и наоборот: проект принимается к дальнейшему рассмотрению в случае получения положительного значения NPV пессимистического сценария.
Данный метод позволяет получать достаточно наглядную картину для различных вариантов реализации проектов, а также предоставляет информацию о чувствительности и возможных отклонениях. Применение программных средств позволяет значительно повысить эффективность подобного анализа путем практически неограниченного увеличения числа сценариев и введения дополнительных переменных. Итак, анализ чувствительности и анализ сценариев представляют собой последовательные шаги в анализе рисков. Следующим шагом является имитационное моделирование, в основе которого лежит вероятностная оценка возникновения различных обстоятельств.
Таблица 8. Схема анализа рисков (сценарный подход) [14]
| Переменная (фактор) |
Изменения переменной, % |
||
| Консервативный сценарий |
Оптимистический сценарий |
Наиболее вероятный сценарий |
|
| Объем продаж |
|||
| Цена реализации |
|||
| Переменные издержки |
|||
| Остаточная стоимость |
|||
| Потребность в оборотном капитале |
|||
| Покрытие оборотного капитала |
|||
| Ставка процента |
|||
| NPV |
|||
| IRR |
|||
4. Анализ вероятностных распределений потоков платежей.
В целом применение этого метода анализа рисков позволяет получить полезную информацию об ожидаемых значениях NPV и чистых поступлений, а также провести анализ их вероятностных распределений.
Вместе с тем использование этого метода предполагает, что вероятности для всех вариантов денежных поступлений известны либо могут быть точно определены. В действительности в некоторых случаях распределение вероятностей может быть задано с высокой степенью достоверности на основе анализа прошлого опыта при наличии больших объемов фактических данных. Однако чаще всего такие данные недоступны, поэтому распределения задаются исходя из предположений экспертов и несут в себе большую долю субъективизма. [15]
5. Определение предельного уровня устойчивости проекта.
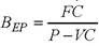
Анализ предельного уровня устойчивости проекта предполагает выявление уровня объёма выпускаемой продукции, при котором выручка равна суммарным издержкам производства, т.е. нахождение безубыточного уровня (“точки безубыточности”).
Показатель безубыточного уровня производства используется при:
а) внедрении в производство новой продукции,
б) создании нового предприятия,
в) модернизации предприятия.
Показатель безубыточного производства определяется по формуле:
![]()
где ВEP – точка безубыточного производства
FC – постоянные издержки
Р – цена продукции
VC –переменные затраты[16]
6. «Дерево решений».
Дерево решений – графическое изображение последовательности решений и состояний среды с указанием соответствующих вероятностей и выигрышей для любых комбинаций альтернатив и состояний среды.
Процесс принятия решений с помощью дерева решений разделяется на пять этапов: формулирование задачи (то есть определение возможностей сбора информации, составление перечня событий, которые с определенной вероятностью могут произойти, установление временного порядка расположения событий и тех действий, которые можно предпринять), построение дерева решений; оценка вероятностей состояний среды (то есть сопоставление шансов возникновения конкретного события), установление выигрышей (или проигрышей), решение задачи.
Процедура принятия решения заключается в вычислении для каждой вершины дерева (при движении справа налево) ожидаемых денежных оценок, отбрасывании неперспективных ветвей и выборе ветвей, которым соответствует максимальное значение ожидаемой денежной оценки.
Ограничением практического использования данного метода является исходная предпосылка о том, что проект должен иметь обозримое или разумное число вариантов развития. Метод особенно полезен в ситуациях, когда решения, принимаемые в каждый момент времени, сильно зависят от решений, принятых ранее, и в свою очередь определяют сценарии дальнейшего развития событий.
7. Метод Монте-Карло (имитационное моделирование).
При разработке и экспертизе инвестиционного проекта вопрос о его эффективности решается на основе анализа значений различных интегральных показателей — NPV, IRR, РВ, PI и т.д. Но все расчеты проводятся для базового варианта инвестиционного проекта, реализация которого, по мнению разработчиков, наиболее правдоподобна. В данной ситуации строится только одна модель прогнозных потоков денежных средств. И эта модель является моделью принятия решений в условиях определенности.
Предпосылка полной определенности приводит к значительному упрощению действительности при моделировании. На практике нельзя быть полностью уверенным, что при реализации инвестиционного проекта все денежные потоки будут в точности соответствовать прогнозным. Наоборот, с момента реализации проекта на каждом этапе будет возникать все большее расхождение между прогнозными и реальными денежными потоками. Может даже возникнуть ситуация, когда задержки в оплате продукции, рост цен на импортные материалы в связи с изменением валютного курса, изменение налоговых ставок или другие негативные события приведут к полному краху проекта или, как минимум, к существенным дополнительным издержкам. Как оценить устойчивость проекта к изменениям внешней среды? Как количественно измерить риск, связанный со всем проектом в целом? Применение имитационного моделирования методом Монте-Карло в инвестиционных расчетах позволяет дать ответы на эти вопросы.
Проведение риск-анализа методом Монте-Карло не исключает осуществления на предыдущем этапе стандартных инвестиционных расчетов. Этот метод скорее является инструментом, который улучшает их результаты. Наличие хорошей исходной модели инвестиционного проекта — необходимая база для проведения значимого, результативного имитационного моделирования. Результаты сравнительного анализа стандартных инвестиционных расчетов и проведения анализа риска методом Монте-Карло приведены в табл. 9.
Таблица 9. Стандартные инвестиционные расчеты и риск-анализ методом Монте-Карло.
| Характеристика |
Стандартные расчеты |
Риск-анализ Метод Монте-Карло |
| Переменные |
Детерминированные (значения точно определены) |
Случайные величины с заданными законами распределения |
| Модель |
Модель денежных потоков |
Модель денежных потоков |
| Процесс |
Расчет одного прогнозного варианта (сценария) реализации проекта |
Расчет множества случайных вариантов (сценариев) реализации проекта |
| Результат |
Единственное значение интегрального показателя эффективности проекта |
Распределение вероятностей интегрального показателя эффективности проекта |
Метод Монте-Карло, будучи одним из наиболее сложных методов количественного анализа рисков, преодолевает недостатки анализа чувствительности и анализа сценариев.[17]
1.5 Экономическая оценка риска и его влияние на доходность инвестиционного проекта
Эта методика позволяет определить уровень риска, разработать меры по его снижению, а также оценить его влияние на доходность по показателям экономической эффективности инвестиционной деятельности. Благодаря уникальному математическому аппарату предлагаемый подход к определению экономической эффективности инвестиционной деятельности можно охарактеризовать как инновационный. Он позволяет установить следующие функциональные зависимости:
• между начальным и конечным уровнем риска через величину снижения ожидаемых потерь и затрат на мероприятия, которая позволяет оценить насколько снизился риск и предусмотреть эффективность оптимального портфеля мероприятий;
• между внутренней нормой доходности и величиной уровня риска через чистый доход, уменьшение которого приводит к снижению ВНД;
• между показателем уровня риска и нормой дохода за счет величин, участвующих в формулах, с помощью которых они рассчитываются. Первоначальный уровень инвестиционного риска определяется по формуле:

Оптимальная сумма покрытия потерь (риска) за весь расчетный период T.
Экономический смысл формулы заключается в том, что величина потерь от реализации рисковых событий, возникающих под воздействием факторов, не должна превышать оптимальную сумму покрытия. Оптимальная сумма покрытия представляет собой часть суммы чистого дохода за вычетом амортизационных отчислений, потому что они являются главным источником инвестиций в рамках собственных средств, направляемых на развитие, а точнее на обновление основных фондов. Амортизационные отчисления используются по двум направлениям, 70% из них предназначены исключительно для реновации, а 30% для обеспечения технического обслуживания, то есть ремонтные работы и т.п. На основе выше изложенного можно сделать выводы об уровне риска при возникновении тех или иных условий:
Если величина потерь не превышает сумму чистого дохода за вычетом амортизации, то уровень риска можно считать приемлемым;
Если величина потерь находится в пределах суммы чистого дохода и 30% от амортизации, выделяемой на техническое обслуживание, то уровень риска оценивается как средний;
Если величина потерь меньше или равна сумме чистого дохода и амортизационных отчислений, включая 70%, используемых на реновацию, то уровень риска является значительным;
Если величина потерь больше, чем сумма покрытия, то уровень риска характеризуется как катастрофический.
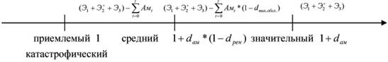
Графически предлагаемые условия ограничений можно представить в виде безразмерной шкалы уровня инвестиционного риска на рис. 1, значения которой колеблются от 0 до +∞, следующим образом:

Рис. 1. Безразмерная шкала уровня инвестиционного риска, где:
dрен — доля денежных средств, направляемых на реновацию, то есть обновление основных фондов;
dтех.обсл. — доля денежных средств, направляемых на техническое обслуживание основных фондов;
dам. — доля амортизационных отчислений в чистом доходе.[18]
Рассчитанный уровень риска позволяет судить о способности проекта покрыть ожидаемые потери из чистого дохода за весь расчетный период без учета дисконтирования. Если величина относительного показателя риска больше или равна 1, то риск выходит за рамки приемлемости, и, следовательно, возникает необходимость в разработке оптимального портфеля мероприятий.
Оптимальный портфель мероприятий представляет собой набор стратегий наименьших по стоимости с наибольшей вероятностью действия и величиной снижения потерь.
Критерии формирования оптимального портфеля мероприятий можно представить следующим образом:
Вероятность действия мероприятия должна быть максимальна возможной, то есть PMer → 99,9%;
Величина снижения потерь должна быть как можно больше;
Источник покрытия. Из всех предлагаемых способов для каждого из рисков в первую очередь рассматриваются те варианты, при которых затраты на мероприятия возмещаются за счет сторонних организаций (+Mer). И только в случае отсутствия таких предложений рассматриваются варианты покрытия затрат за счет собственных средств (-Mer)2;
Стоимость мероприятия по отношению к величине потерь, ожидаемых от реализации риска, должна быть как можно меньше. Оценку отношения стоимости мероприятия к величине потерь предлагается осуществить с помощью коэффициента эффективности мероприятия:

Если стоимость мероприятия, возмещаемого сторонней организацией, превышает величину ожидаемых потерь и является одним единственным вариантом среди таковых, должно быть принято решение в его пользу. Может возникнуть и такая ситуация, при которой стоимость мероприятия, возмещаемая из собственных средств, превысит величину потерь и будет одним единственным способом для его устранения. В этом случае принимается положительное решение по отношению к мероприятию, так как в связи с постоянно меняющимися условиями потери от реализации риска могут возрасти.
На основе параметров оптимального портфеля мероприятий можно рассчитать конечный показатель уровня риска по следующей формуле:![]()
Зная первоначальный и конечный показатель уровня риска можно переходить к определению ставки сравнения или, как ее еще называют, нормы дисконта.
Норма дисконта равна приемлемой для инвестора норме дохода на капитал, то есть доход, который позволит заемщику и покрыть затраты на производство, и вернуть кредит, а также причитающиеся по нему проценты и формировать резерв на развитие свыше отраслевой нормы. От выбора ставки сравнения напрямую зависит чистый поток денежных средств (ЧПДС, то есть NPV), и, следовательно, положительная или отрицательная оценка уровня доходности проекта. В качестве ставки сравнения можно выбрать какой-нибудь «готовый измеритель», например, фактическая рентабельность капитала; уровень доходности капитала, сложившийся на текущий момент; доходность альтернативных проектов и т.п.
Предлагаемый подход к выбору ставки сравнения базируется на двух моментах: 1. В результате ожидаемых потерь от реализации рисков и затрат на мероприятия по их снижению. В этом случае у проекта появится потребность в дополнительных средствах на их покрытие; 2. Для поддержания производства качественной и конкурентоспособной продукции требуется непрерывное обновление технико-технологической базы в соответствии с условиями предъявляемыми НТП. Для этого необходимы средства для их реновации, аккумулирующиеся в виде амортизационного фонда.
Уровень доходности считается приемлемым, если его величина превышает потребность в дополнительных средствах (сумма ожидаемых потерь от реализации риска, затраты на мероприятия по их снижению) и амортизационный фонд. Следовательно, уровень доходности считается приемлемым, если заемщик может не только покрыть затраты на производство, вернуть кредит, причитающиеся по нему проценты, сформировать резерв на развитие свыше установленной отраслевой нормы, но и обеспечить потребность в дополнительных средствах (сумма ожидаемых потерь от реализации риска, затраты на мероприятия по их снижению) и амортизационный фонд.
Формула вычисления ставки сравнения будет выглядеть следующим образом:
![]()
Предлагаемая формула позволяет определить влияние уровня риска на норму дохода благодаря присутствию в ней такой компоненты как «потребность в дополнительных средствах». Значит, чем больше потребность в дополнительных денежных средствах, тем большую норму дохода должен запланировать заемщик, чтобы, покрыв все затраты, у него еще остались средства для дальнейшего развития.
Есть еще один нюанс в этой формуле, который заключается в том, что, благодаря величине ожидаемых потерь, входящих в состав компоненты «потребность в дополнительных средствах» можно устранить статичность, которая характерна уже известным «готовым измерителям». Связано это с тем, что влияние факторов, по причине которых, собственно, и возникают потери, как следствие реализации риска, имеет тенденцию к изменению в пространстве и во времени. Следовательно, малейшая динамика факторов тут же отразится на величине ожидаемых потерь, что повлечет за собой изменение нормы дохода. По этой же причине величина нормы дохода, рассчитанная относительно первоначального уровня риска не будет равнозначна величине, определенной по его конечному значению. Уровень риска через компоненту «потребность в дополнительных средствах» повлияет не только на величину нормы дохода, но и на чистый поток денежных средств (ЧПДС), так как его конечная величина или сальдо на конец расчетного периода будет представлять собой разность его первоначального значения и выше обозначенной компоненты.[20]
В связи с установкой зависимости величины ЧПДС от уровня риска, формулы, по которым рассчитываются показатели экономической эффективности инвестиционной деятельности (внутренняя норма доходности, чистый дисконтированный доход, индекс доходности, срок окупаемости и т.п.), необходимо скорректировать на величину компоненты «потребность в дополнительных средствах» следующим образом:
1. Внутренняя норма доходности (ВНД)

где:
затраты, осуществляемые на t-том шаге, включая капитальные вложения;
удельный вес чистого денежного притока (чистый денежный поток от производственной деятельности) за t-ый год, рассчитанный от его общей величины за весь расчетный период T;
величина изменения чистого денежного притока за t-ый период, за счет мероприятия направленного на изменение цены реализации товара d;
величина изменения чистого денежного притока на t-том шаге с учетом уровня риска.
![]()
Рассчитанная норма доходности должна быть меньше внутренней нормы доходности, которая характеризует соответствие эффекта, то есть дохода, полученного ровно в том количестве, которым можно покрыть вложенный капитал без получения дополнительного дохода. Внутренняя норма дохода представляет собой некий порог безубыточности проекта, следовательно, расчетная норма доходности должна быть меньше этой величины, то есть E` < Eвн.[21]
2. Чистый дисконтированный доход.
![]()
где:
T — расчетный период (от начала проекта до его прекращения); t — номер шага расчетного периода (t = 0, 1, 2 ... T); Rt — результаты, достигаемые на t-том шаге расчетного периода; Зt+ — затраты, осуществляемые на t-том шаге расчетного периода без капитальных вложений;
Эt = Rt – Зt+
— эффект, достигаемый на t-том шаге расчетного периода;
Rt – Зt+ – Ft
— эффект, достигаемый на t-том шаге расчетного периода с учетом уровня риска;
E’ — норма дисконта, равная приемлемой для инвесторов норме дохода на капитал; 1 / (1 + E’)t–to — коэффициент дисконтирования, который приводит к базисному моменту времени расчетного периода затраты, результаты и эффекты, имеющие место на t-том шаге расчетного периода; Kt — капиталовложения на t-том шаге расчетного периода;
Индекс доходности.
Индекс доходности дисконтированных инвестиций (ИД) представляет собой отношение суммы приведенных эффектов к величине капитальных вложений, проект считается эффективным, если ИД > 1:

Чем меньше потребность в дополнительных средствах, тем выше величина чистого потока денежных средств, а значит больше отдача с одной единицы вложенного капитала, то есть ближе к планируемому уровню.[23]
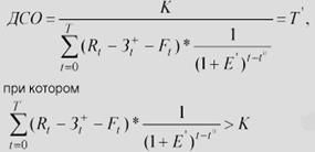
4. Срок окупаемости.
Срок окупаемости с учетом дисконтирования (ДСО) — минимальный временной интервал (от начала осуществления проекта), за пределами которого первоначальные вложения и другие затраты, связанные с инвестиционным проектом, покрываются суммарными результатами его осуществления, то есть интегральный эффект остается неотрицательным.

Снижение уровня риска уменьшает срок окупаемости проекта, приближая его к желаемой величине, как для инвестора, так и заемщика. Сравнительная оценка показателей эффективности инвестиционной деятельности с учетом и первоначального и конечного уровня риска позволяет судить об эффективности предлагаемых мер по снижению риска. Благоприятным моментом для принятия положительного решения по отношению к инвестиционному проекту будет тот, при котором значения конечных показателей эффективности (ЧДД, ИД, ДСО) будут максимально приближены к их величинам, рассчитанным по норме дохода, равной наиболее благоприятному его значению для инвестора (уровень риска равен 0). Предлагаемый подход позволяет определить уровень риска, оптимальную сумму затрат на мероприятия по его снижению, а также доходность проекта, скорректированную на его величину, устранив тем самым проблему статичности показателей экономической эффективности инвестиционной деятельности — по отношению к постоянно меняющимся условиям внешней среды.[24]
Глава 2. Оценка рисков инвестиционного проекта на примере ювелирного завода
2.1 Основные типы проектных рисков
Под проектными рисками понимается, как правило, предполагаемое ухудшение итоговых показателей эффективности проекта, возникающее под влиянием неопределенности. В количественном выражении риск обычно определяется как изменение численных показателей проекта: чистой приведенной стоимости (NPV), внутренней нормы доходности (IRR) и срока окупаемости (PB).
На данный момент единой классификации проектных рисков предприятия не существует. Однако можно выделить следующие основные риски, присущие практически всем проектам: маркетинговый риск, риск несоблюдения графика проекта, риск превышения бюджета проекта, а также общеэкономические риски.
Далее рассматриваются риски проекта на примере ювелирного завода, который решил вывести на рынок новый продукт — золотые цепочки. Для производства продукта приобретается импортное оборудование. Оно будет установлено в помещениях предприятия, которые планируется построить. Цена на основное сырье — золото — определяется в долларах США по итогам торгов на Лондонской бирже металлов. Планируемый объем реализации — 15 кг в месяц. Продукцию предполагается продавать как через собственные магазины (30%), часть которых расположена в крупных торговых центрах, так и через дилеров (70%). Реализация имеет ярко выраженную сезонность с всплеском в декабре и снижением продаж в апреле-мае. Запуск оборудования должен состояться перед зимним пиком продаж. Срок реализации проекта — пять лет. В качестве основного показателя эффективности проекта менеджеры рассматривают чистую приведенную стоимость (NPV). Расчетная плановая NPV равна 1765 тыс. долл. США.
Маркетинговый риск — это риск недополучения прибыли в результате снижения объема реализации или цены товара. Этот риск является одним из наиболее значимых для большинства инвестиционных проектов. Причиной его возникновения может быть неприятие нового продукта рынком или слишком оптимистическая оценка будущего объема продаж. Ошибки в планировании маркетинговой стратегии возникают главным образом из-за недостаточного изучения потребностей рынка: неправильного позиционирования товара, неверной оценки конкурентоспособности рынка или неправильного ценообразования. Также к возникновению риска могут привести ошибки в политике продвижения, например выбор неправильного способа продвижения, недостаточный бюджет продвижения и т. д.
Так, 30% цепочек планируется продавать самостоятельно, а 70% — через дилеров. Если же структура сбыта окажется иной, например 20% — через магазины и 80% — через дилеров, для которых устанавливаются более низкие цены, то компания недополучит первоначально запланированную прибыль и, как следствие, ухудшатся показатели проекта. Избежать подобной ситуации можно в первую очередь за счет всесторонней оценки рыночной среды маркетинговым отделом.
На темпы роста продаж могут оказывать влияние и внешние факторы. Например, часть собственных магазинов компании в рассматриваемом случае открывается в новых торговых центрах, соответственно объем продаж в них будет зависеть от степени «раскрутки» этих центров. Поэтому для снижения риска в договоре аренды необходимо установить качественные параметры. Так, ставка арендной платы может зависеть от выполнения торговым центром графика запуска торговых площадей, обеспечения транспортировки покупателей к месту продаж, своевременного строительства автостоянок, запуска развлекательных центров и т. п.
Риски несоблюдения графика и превышения бюджета проекта. Причины возникновения таких рисков могут быть объективными (например, изменение таможенного законодательства в момент растаможевания оборудования и, как следствие, задержка груза) и субъективными (например, недостаточная проработка и несогласованность работ по реализации проекта). Риск несоблюдения графика проекта приводит к увеличению срока его окупаемости как напрямую, так и за счет недополученной выручки. В этом случае риск будет велик: если компания не успеет начать реализацию нового товара до конца зимнего пика продаж, то понесет большие убытки.
Аналогичным образом на общие показатели эффективности проекта влияет и риск превышения бюджета.
Определение реального срока и бюджета проекта. Для более точной оценки срока и бюджета проекта существуют особые методики, в частности метод PERT-анализа (Program Evaluation and Review Technique), разработанный в 60-е годы XX века ВМФ США и NASA для оценки сроков строительства баллистической ракеты Polaris. Методика оказалась эффективной и впоследствии была использована для оценки не только сроков, но и ресурсов проекта. В настоящее время PERT-анализ является одной из самых популярных и простых методик.
Смысл этого метода в том, что при подготовке проекта задаются три оценки срока реализации (стоимости проекта) — оптимистическая, пессимистическая и наиболее вероятная. После этого ожидаемые значения рассчитываются с использованием следующей формулы: Ожидаемый срок (стоимость) = (Оптимистический срок (стоимость) + 4 х Наиболее вероятный срок (стоимость) + Пессимистический срок (стоимость)) : 6. Коэффициенты 4 и 6 получены эмпирическим путем на основе статистических данных большого количества проектов. Результат расчета используется в дальнейшем как основа для получения остальных показателей проекта. Однако следует отметить, что схема PERT-анализа эффективна только в том случае, если вы можете обосновать значения всех трех оценок.
Если работы выполняют внешние подрядчики, то в качестве способа минимизации данных рисков можно оговорить в контракте особые условия. Так, на примере рассматриваемого проекта, при его подготовке запланированы работы по строительству помещения и установке оборудования, выполняемые внешним контрагентом. Длительность этих работ должна составить три месяца, стоимость — 500 тыс. долл. США. После завершения работ компания планирует получать дополнительную выручку от производства цепочек в размере 120 тыс. долл. США в месяц при рентабельности 25%. Если по вине поставщика длительность ремонта и установки возрастает, скажем, на один месяц, то компания недополучит прибыль в размере 30 тыс. долл. США (1 х 120 х 25%). Чтобы этого избежать, в договоре определены санкции в размере 6% от стоимости контракта за один месяц задержки по вине подрядчика, то есть 30 тыс. долл. США (500 тыс. х 6%). Таким образом, размер санкций равен возможному убытку.
При реализации проекта только собственными силами минимизировать риски значительно сложнее, при этом объем убытков может возрасти.
В проекте при установке оборудования своими силами в случае задержки на один месяц потери прибыли составят также 30 тыс. долл. США. Однако следует учесть дополнительные затраты на труд работников в течение этого месяца. Пусть такие затраты составляют 7 тыс. долл. США. Таким образом, совокупные потери компании будут равны 37 тыс. долл. США, а срок окупаемости проекта возрастет на 1,23 месяца (1 мес. + 7 тыс. долл. США : (120 тыс. долл. США х 25%)). Поэтому в данном случае необходимы более точная оценка длительности и стоимости работ, а также эффективное управление процессом реализации проекта и его постоянный мониторинг.
К общеэкономическим относят риски, связанные с внешними по отношению к предприятию факторами, например риски изменения курсов валют и процентных ставок, усиления или ослабления инфляции. К таким рискам можно также отнести риск увеличения конкуренции в отрасли из-за общего развития экономики в стране и риск выхода на рынок новых игроков. Стоит отметить, что данный тип рисков возможен как для отдельных проектов, так и для компании в целом.
Здесь наиболее значимым является валютный риск. При расчете проекта все денежные потоки нередко приводятся в стабильной валюте, например в долларах США. Однако для более точного учета валютного риска денежные потоки следует рассчитывать в той валюте, в которой осуществляется платеж. Иначе можно получить заниженную оценку валютного риска, поскольку не будет учтено колебание курсов. Например, если и притоки, и вложения будут рассчитаны в одной валюте, а курс доллара вырастет, но при этом рублевая цена продукта не изменится, то фактически мы недополучим выручку в долларовом эквиваленте. Использование для расчета разных валют позволит учесть этот фактор, а одной валюты — нет. Это особенно актуально, когда все капиталоложения по ремонту здания и приобретению оборудования осуществляются в валюте, а поступления средств от продажи изделий — в рублях.
2.2 Анализ проектных рисков
Процедуру оценки и анализа проектных рисков можно представить в виде схемы (см. рис. 2).
Оценка рисков производится в процессе планирования проекта и включает качественный и количественный анализ. Если по итогам оценки проект принимается к исполнению, то перед предприятием встает задача управления выявленными рисками. По результатам реализации проекта накапливается статистика, которая позволяет в дальнейшем более точно определять риски и работать с ними. Если же неопределенность проекта чересчур высока, то он может быть отправлен на доработку, после чего снова производится оценка рисков.

Порядок управления проектными рисками, а также сбора и использования статистической информации в конкретной ситуации зависит от специфики компании и реализуемого проекта и не рассматривается в данной статье.
Ниже рассмотрены качественная и количественная оценку проектных рисков более подробно.
Качественный анализ рисков
Результатом качественного анализа рисков является описание неопределенностей, присущих проекту, причин, которые их вызывают, и, как результат, рисков проекта. Для описания удобно использовать специально разработанные логические карты — список вопросов, помогающих выявить существующие риски. Эти карты можно разработать как самостоятельно, так и с помощью консультантов (см. рис. 2).

В результате будет сформирован перечень рисков, которым подвержен проект. Далее их необходимо проранжировать по степени важности и величине возможных потерь, а основные риски проанализировать с помощью количественных методов для более точной оценки каждого из них.
Здесь можно выделить следующие основные риски: недостижение плановых объемов продаж как за счет их меньшего физического объема (в натуральном выражении), так и за счет более низкой цены, а также снижение нормы прибыли из-за роста цен на сырье.
Количественный анализ рисков
Количественный анализ рисков необходим для того, чтобы оценить, каким образом наиболее значимые рисковые факторы могут повлиять на показатели эффективности инвестиционного проекта. Анализ позволяет выяснить, например, приведет ли небольшое изменение объема реализации к значительной потере прибыли или же проект будет выгоден даже при реализации 40% от запланированного объема продаж.
Существует несколько основных методик проведения подобного анализа: анализ влияния отдельных факторов (анализ чувствительности), анализ влияния комплекса факторов (сценарный анализ) и имитационное моделирование (метод Монте-Карло). Рассмотрим каждый из них подробнее, используя показатели нашего примера.
Анализ чувствительности. Это стандартный метод количественного анализа, который заключается в изменении значений критических параметров (в нашем случае физического объема продаж, себестоимости и цены реализации), подстановке их в финансовую модель проекта и расчете показателей эффективности проекта при каждом таком изменении. Анализ чувствительности можно реализовать с помощью как специализированных программных пакетов (Project Expert, «Альт-Инвест»), так и программы Excel. Расчеты для анализа удобнее всего представить в виде таблицы (см. табл. 10).

Такой расчет проводится для всех критических факторов проекта. Степень их воздействия на итоговую эффективность проекта (в данном случае на NPV) удобнее показать на графике (см. рис. 3).
Таким образом, на результат рассматриваемого проекта сильнее всего влияют цена реализации, затем себестоимость продукции и, наконец, физический объем продаж.

Несмотря на то что цена реализации оказывает большое влияние на NPV, вероятность ее колебания может быть очень низкой, следовательно, изменения этого фактора будут представлять незначительный риск. Для определения этой вероятности используется так называемое «дерево вероятностей». Сначала на основе экспертных мнений определяется вероятность первого уровня — вероятность того, что реальная цена изменится, то есть станет больше, меньше или равна плановой (в нашем случае эти вероятности равны 30, 30 и 40%), а затем вероятность второго уровня — вероятность отклонения на определенную величину. В нашем примере ход рассуждений следующий: если цена все же окажется меньше плановой, то с вероятностью 60% отклонение будет не более -10%, с вероятностью 30% — от -10 до -20% и с вероятностью 10% — от -20 до -30%. Аналогичным образом анализируются отклонения в положительную сторону. Отклонения более 30% в любую сторону эксперты посчитали невозможными.
Итоговая вероятность отклонения цены реализации от планового значения вычисляется путем перемножения вероятностей первого и второго уровней, поэтому итоговая вероятность снижения цены на 20% довольно мала — 9% (30% х 30% ) (см. табл. 11).

Суммарный риск по NPV в нашем примере рассчитывается как сумма произведений итоговой вероятности и величины риска по каждому отклонению и равен 6,63 тыс. долл. США (1700 х 0,03 + 1123 х 0,09 + 559 х 0,18 - 550 х 0,18 - 1092 х 0,09 - 1626 х 0,03). Тогда ожидаемая величина NPV, скорректированная на риск, связанный с изменением цены реализации, будет равна 1758 тыс. долл. США (1765 (плановая величина NPV) - 6,63 (ожидаемая величина риска)).
Таким образом, риск изменения цены реализации снижает NPV проекта на 6,63 тыс. долл. США. В результате аналогичного анализа двух других критических факторов оказалось, что самым опасным является риск изменения физического объема продаж: ожидаемая величина этого риска составила 202 тыс. долл. США, а ожидаемая величина риска изменения себестоимости — 123 тыс. долл. США. Получается, что изменение розничной цены — не самый важный риск для рассматриваемого проекта и им можно пренебречь, сосредоточившись на управлении и предотвращении других рисков.
Анализ чувствительности очень нагляден, однако главным его недостатком является то, что анализируется влияние только одного из факторов, а остальные считаются неизменными. На практике же обычно изменяются сразу несколько показателей. Оценить подобную ситуацию и скорректировать NPV проекта на величину риска помогает сценарный анализ.
Сценарный анализ. Для начала необходимо определить перечень критических факторов, которые будут изменяться одновременно. Для этого, используя результаты анализа чувствительности, можно выбрать 2-4 фактора, которые оказывают наибольшее влияние на результат проекта. Рассматривать одновременно большее количество факторов не имеет смысла, поскольку это только усложняет расчеты.
Обычно рассматривают три сценария: оптимистический, пессимистический и наиболее вероятный, но при необходимости их число можно увеличить. В каждом из сценариев фиксируются соответствующие значения отобранных факторов, после чего рассчитываются показатели эффективности проекта. Результаты сводятся в таблицу (см. табл. 12).

Как и при анализе чувствительности, каждому сценарию на основе экспертных оценок присваивается вероятность его реализации. Данные каждого сценария подставляются в основную финансовую модель проекта, и определяются ожидаемые значения NPV и величины риска. Величину вероятностей, как и в предыдущем случае, необходимо обосновать.
Ожидаемое значение NPV в данном случае будет равно 1572 тыс. долл. США (-1637 х 0,2 + 3390 х 0,3 + 1765 х 0,5). Таким образом, в отличие от предыдущего этапа анализа мы получили одну более точную комплексную оценку эффективности, которая и будет использоваться в дальнейших решениях по проекту. Необходимо учесть, что большой разрыв между плановым и оценочным значениями NPV свидетельствует о высокой неопределенности проекта. Возможно, в проекте присутствуют дополнительные факторы риска, которые необходимо учесть.
Имитационное моделирование. В случае когда точные оценки параметров (например, 90, 110 и 80%, как в сценарном анализе) задать нельзя, а аналитики могут определить только интервалы возможного колебания показателя, используют метод имитационного моделирования Монте-Карло. Чаще всего подобный анализ проводится для выявления валютных рисков (колебание курса валют в течение года), а также рисков колебания процентных ставок, макроэкономических рисков и других.
Расчеты по методу Монте-Карло из-за его трудоемкости всегда осуществляют с помощью программных продуктов, имеющих соответствующую функцию (Project Expert, «Альт-Инвест», Excel). Основной смысл расчетов сводится к следующему. На первом этапе задаются границы, в которых может изменяться параметр. Затем программа случайным образом (имитируя случайность рыночных процессов) выбирает значения этого параметра из заданного интервала и рассчитывает показатель эффективности проекта, подставляя в финансовую модель выбранное значение. Проводится несколько сотен таких экспериментов (при электронных расчетах это занимает несколько минут), и получается множество значений NPV, для которых рассчитываются среднее (m), а также величина риска (стандартное отклонение, d). В соответствии со статистическим правилом (так называемое «правило трех сигм») значение NPV окажется в следующих интервалах (см. табл. 13):

с вероятностью 68,3% — в диапазоне m ±d;
с вероятностью 94,5% — в диапазоне m ±2d;
с вероятностью 99,7% — в диапазоне m ±3d.
Как видно из таблицы, m = 1725, d = 142. Это означает, что наиболее вероятное значение NPV будет колебаться около значения 1725. Применив правило «трех сигм», получим, что с вероятностью 99,7% значение NPV попадает в диапазон 1725 ±(3 х 142), даже нижняя граница которого больше нуля. Следовательно, с высокой долей вероятности результат нашего проекта будет положительным. Если бы при двух- или трехкратном отклонении был получен отрицательный результат (это возможно при низком значении NPV проекта или высокой чувствительности к фактору), то с помощью правила «трех сигм» можно определить, какова вероятность данного отклонения, и сделать вывод о возможности наступления неблагоприятного исхода. Например, если при m ±d значение NPV > 0, а при m -2d значение NPV < 0, это значит, что с вероятностью до 13,1% ((94,5% - 68,3%) : 2) эффективность проекта отрицательна, он имеет довольно высокий риск и может быть пересмотрен.[25]
Заключение
Процесс инвестирования представляет собой один из наиболее важных аспектов деятельности любой динамично развивающейся коммерческой организации. Предварительный анализ на стадии разработки инвестиционных проектов способствует принятию разумных и обоснованных управленческих решений.
Главным направлением предварительного анализа является определение показателей возможной экономической эффективности инвестиций, то есть отдачи от капитальных вложений, которые предусматриваются проектом.
При оценке рисков инвестиционных проектов важное значение имеет ряд моментов. Во-первых, оценка риска предполагает определение источников и массивов информации. Во-вторых, важен выбор конкретного подходящего метода оценки рисков из всего их многообразия.
Среди методов оценки, используемых при анализе эффективности инвестиций, можно выделить такие, как: анализ чувствительности, анализ сценариев, метод Монте-Карло (имитационное моделирование).
Хочется отметить, что применение любых методов не обеспечит полной предсказуемости конечного результата, поэтому основной целью использования предложенной выше схемы является не получение абсолютно точных результатов эффективности реализации проекта и его рискованности, а сопоставление предложенных к рассмотрению инвестиционных проектов с использованием объективных и перепроверяемых показателей и составление относительно более эффективного и относительно менее рискованного инвестиционного портфеля.
Наиболее распространенной ошибкой предприятий, планирующих реализацию инвестиционных проектов, является недостаточная проработка рисков, которые могут повлиять на доходность проектов. Поскольку такие ошибки могут привести к неверным инвестиционным решениям и значительным убыткам, очень важно своевременно выявить и оценить все проектные риски.
В заключении отметим, что рассматриваемый проект производства золотых цепочек может быть принят в связи низкой долей риска, поскольку с очень большой вероятностью NPV проекта имеет положительное значение, а рассчитанная максимальная величина риска при реализации пессимистического сценария составляет 193 тыс. долл. США (1765 тыс. - 1572 тыс.). Тем не менее стоит застраховаться от риска несоблюдения сроков запуска мощностей (строительства и установки оборудования), а также от риска повышения себестоимости (например, путем приобретения опционов на покупку золота). Кроме того, нужно уделить внимание продвижению товара: рекламной политике компании и выбору места продаж. Сделать это можно путем проработки договоров аренды и контрактов на поставку цепочек дистрибьюторам.
Список литературы
1. Экономическая оценка инвестиционных проектов: учебник для студентов вузов, обучающихся по специальности «Экономика и управление на предприятиях (по отраслям)»/С.А. Сироткин, Н.Р. Кельчевская. – 2-е изд., перераб. и доп. – М.: ЮНИТИ-ДАНА, 2009. – 287 с.
2. Инвестиции: учеб. пособие для студентов вузов, обучающихся по направлению подготовки «Экономика» (080100)/Б.Т. Кузнецов. – ЮНИТИ-ДАНА, 2006. – 679 с.
3. Волков И.М., Грачева М.В. Проектный анализ: Продвинутый курс: Учебное пособие. – М.: ИНФРА-М, 2009. – 495 с. – (Учебники Экономического факультета МГУ им. М.В. Ломоносова).
4. Риск-менеджмент инвестиционного проекта: учебник для студентов вузов, обучающихся по экономическим специальностям / под ред. М.В. Грачевой, А.Б. Секерина. – ЮНИТИ-ДАНА, 2009. – 544 с.
5. Анализ инвестиций: методы оценки эффективности финансовых вложений / И.Р. Ахметзянов ; (под ред. д.э.н. Г.А. Маховиковой). – М.: Эксмо, 2007. – 272 с. – (Прицельные финансы).
6. Инвестиционная деятельность: Учебное пособие/Н.В. Киселева, Т.В. Боровикова, Г.В. Захарова и др.; Под ред. Г.П. Подшиваленко и Н.В. Киселевой. – М.: КНОРУС, 2005. – 432 с.
7. Гранатуров В.М. Экономический риск: сущность, методы измерения, пути снижения: Учебное пособие. — 2-е изд., перераб. и доп. — М., 2002. — С. 160.
8. Бабин В.А. Практические аспекты оценки риска в бизнесе // Управление рисками. — 2004. — 3. — С. 18–21.
9. Москвин В.А. Управление рисками при реализации инвестиционных проектов. — М., 2004. — С. 352.
10. Пшыченко Л.Д. Реакция предприятия на кризисные состояния внешней среды // Управление рисками. — 2000. — 1. — С. 57–62.
11. Владимиров В.А. и др., Управление риском: Риск. Устойчивое развитие. Синергетика. — М., 2000. — С. 431.
12. Тэпман Л.Н. Риски в экономике / Под ред. В.А. Швандара. — М., 2002. — С. 380.
13. Васина А.А. Финансовая диагностика и оценка проектов. — СПб., 2004. — С. 448.
14. Журнал «Финансовый директор», № 11 ноябрь 2003 | Финансы: стратегия и тактика.
15. http://market-pages.ru/invest/19.html
16. http://www.irn.ru/articles/5128.html
17. http://www.intelis-ocenka.ru/services/invest/
18. http://www.cfin.ru/finanalysis/quant_risk.shtml
19. http://walw.ru/real/index.php?62
20. http://www.m-economy.ru/art.php3?artid=25287
[1] Волков И.М., Грачева М.В. Проектный анализ: Продвинутый курс: Учебное пособие. – М.: ИНФРА-М, 2009. – 495 с. – (Учебники Экономического факультета МГУ им. М.В. Ломоносова).
[2] http://www.irn.ru/articles/5128.html
[3] Риск-менеджмент инвестиционного проекта: учебник для студентов вузов, обучающихся по экономическим специальностям / под ред. М.В. Грачевой, А.Б. Секерина. – ЮНИТИ-ДАНА, 2009. – 544 с.
[4] http://market-pages.ru/invest/19.html
[5] Анализ инвестиций: методы оценки эффективности финансовых вложений / И.Р. Ахметзянов ; (под ред. д.э.н. Г.А. Маховиковой). – М.: Эксмо, 2007. – 272 с. – (Прицельные финансы).
[6] Экономическая оценка инвестиционных проектов: учебник для студентов вузов, обучающихся по специальности «Экономика и управление на предприятиях (по отраслям)»/С.А. Сироткин, Н.Р. Кельчевская. – 2-е изд., перераб. и доп. – М.: ЮНИТИ-ДАНА, 2009. – 287 с.
[7] Волков И.М., Грачева М.В. Проектный анализ: Продвинутый курс: Учебное пособие. – М.: ИНФРА-М, 2009. – 495 с. – (Учебники Экономического факультета МГУ им. М.В. Ломоносова).
[8] Инвестиционная деятельность: Учебное пособие/Н.В. Киселева, Т.В. Боровикова, Г.В. Захарова и др.; Под ред. Г.П. Подшиваленко и Н.В. Киселевой. – М.: КНОРУС, 2005. – 432 с.
[9] Риск-менеджмент инвестиционного проекта: учебник для студентов вузов, обучающихся по экономическим специальностям / под ред. М.В. Грачевой, А.Б. Секерина. – ЮНИТИ-ДАНА, 2009. – 544 с.
[10] Экономическая оценка инвестиционных проектов: учебник для студентов вузов, обучающихся по специальности «Экономика и управление на предприятиях (по отраслям)»/С.А. Сироткин, Н.Р. Кельчевская. – 2-е изд., перераб. и доп. – М.: ЮНИТИ-ДАНА, 2009. – 287 с.
[11] Инвестиционная деятельность: Учебное пособие/Н.В. Киселева, Т.В. Боровикова, Г.В. Захарова и др.; Под ред. Г.П. Подшиваленко и Н.В. Киселевой. – М.: КНОРУС, 2005. – 432 с.
[12] Инвестиции: учеб. пособие для студентов вузов, обучающихся по направлению подготовки «Экономика» (080100)/Б.Т. Кузнецов. – ЮНИТИ-ДАНА, 2006. – 679 с.
[13] Инвестиционная деятельность: Учебное пособие/Н.В. Киселева, Т.В. Боровикова, Г.В. Захарова и др.; Под ред. Г.П. Подшиваленко и Н.В. Киселевой. – М.: КНОРУС, 2005. – 432 с.
[14] Анализ инвестиций: методы оценки эффективности финансовых вложений / И.Р. Ахметзянов ; (под ред. д.э.н. Г.А. Маховиковой). – М.: Эксмо, 2007. – 272 с. – (Прицельные финансы).
[15] http://www.cfin.ru/finanalysis/quant_risk.shtml
[16] http://walw.ru/real/index.php?62
[17] Риск-менеджмент инвестиционного проекта: учебник для студентов вузов, обучающихся по экономическим специальностям / под ред. М.В. Грачевой, А.Б. Секерина. – ЮНИТИ-ДАНА, 2009. – 544 с.
[18] Гранатуров В.М. Экономический риск: сущность, методы измерения, пути снижения: Учебное пособие. — 2-е изд., перераб. и доп. — М., 2002. — С. 160.
[19] Москвин В.А. Управление рисками при реализации инвестиционных проектов. — М., 2004. — С. 352.
[20] Владимиров В.А. и др., Управление риском: Риск. Устойчивое развитие. Синергетика. — М., 2000. — С. 431.
[21] Бабин В.А. Практические аспекты оценки риска в бизнесе // Управление рисками. — 2004. — 3. — С. 18–21.
[22] Пшыченко Л.Д. Реакция предприятия на кризисные состояния внешней среды // Управление рисками. — 2000. — 1. — С. 57–62.
[23] Васина А.А. Финансовая диагностика и оценка проектов. — СПб., 2004. — С. 448.
[24] Тэпман Л.Н. Риски в экономике / Под ред. В.А. Швандара. — М., 2002. — С. 380.
[25] Журнал «Финансовый директор», № 11 ноябрь 2003 | Финансы: стратегия и тактика.
Похожие рефераты:
Экономическая оценка инвестиций
Методы оценки инвестиционных проектов
Инвестиционные риски и способы их оценки на примере ООО "Ситис"
Анализ рисков инвестиционного проекта
Анализ инвестиционного проекта компании ООО "Мир окон"
Анализ выбора в условиях неопределённости риска
Разработка и оценка типового бизнес-проекта
Сущность и планирование финансовых капитальных вложений
Автосервис. Формирование стратегии и сценарный анализ в условиях неопределенности
Разработка бизнес-плана на производство и использование концентрированного органического удобрения
Госэкзамен - шпоры (специальность маркетинг)
Методы анализа рисков инвестиционного проекта
Разработка автоматизированной системы управления торговым предприятием