| Скачать .docx |
Реферат: Особенности организации управленческого анализа на предприятиях связи
Реферат
по дисциплине: Управленческий анализ в отраслях
на тему:«Особенности организации управленческого анализа на предприятиях связи»
Содержание
1.Особенности экономики предприятий связи как объекта управленческого анализа
2.Основные черты и особенности системы комплексного управленческого анализа предприятий связи
3.ОСОБЕННОСТИ МЕТОДИКИ УПРАВЛЕНЧЕСКОГО АНАЛИЗА НА ПРЕДПРИЯТИЯХ СВЯЗИ
3.1 Анализ продукции предприятий связи
3.2 Анализ качества продукции предприятий связи
3.3 Анализ и управление затратами и себестоимостью продукции
1. ОСОБЕННОСТИ ЭКОНОМИКИ ПРЕДПРИЯТИЙ СВЯЗИ КАК ОБЪЕКТА УПРАВЛЕНЧЕСКОГО АНАЛИЗА
Рассмотрим предприятия связи в качестве объекта управленческого анализа.
Основными факторами, оказывающими влияние на формирование современного российского телекоммуникационного рынка, являются политический, экономический и технологический.
Политический фактор заключается в переходе от монополии и централизованного управления к дерегулированию и демонополизации. Этот процесс инициировал значительный рост инвестиций, но обусловил противоречие между стремлением свободного рынка к саморегуляции и необходимостью государственного управления для защиты национальных интересов.
Радикальные экономические реформы в России существенным образом отразились на организационно-правовом пространстве российских телекоммуникаций, проявившись в приватизации предприятий и разрушении монополии на рынках телекоммуникационных услуг . Одной из причин приватизации и демонополизации предприятий связи явилось распространение новых видов услуг. Программы переоборудования существующих телефонных станций на цифровые системы и строительство новых сооружений также требовали существенных инвестиций, которые государственный бюджет предоставить не мог.
В ходе приватизации и последующего развития фондового рынка акции некоторых региональных операторов связи привлекли внимание отечественных и зарубежных инвесторов. Значительная доля прямых иностранных вложений направлялась в подвижные средства связи (сотовую связь).
Существенное влияние на рост числа пользователей связи и снижение цен оказывает конкуренция. Разрушение монополии производителей и покупателей оконечного оборудования (сетевого и абонентского) также способствовало снижению цен на услуги связи. Кроме того, фирмы-производители нередко становятся учредителями новых операторов связи. Таким образом, в отрасли постепенно формируется рынок, когда покупатель может сравнить продукты различных производителей для удовлетворения своих потребностей и выбрать его с максимальной выгодой для себя.
Система услуг связи как товар имеет некоторые особенности. Номенклатура услуг сравнительно устойчива. Изменение технологии и организации предоставления услуг связи (характера производства) сильно влияет на величину издержек, социально-экономические характеристики и функции услуг. Отраслевой принцип предложения услуг сочетается с преимущественно территориальным способом их предоставления. Сравнительно стабильная структура базовой сети существенно влияет на технологический процесс производства услуг связи.
Регулирует, координирует и контролирует деятельность предприятий связи, осуществляет лицензионную деятельность, сертификацию оборудования и услуг, занимается подготовкой законодательной и нормативной базы Минсвязи России.
Вместе с тем либерализация рынка новых услуг при монополии инфраструктуры связи привела к тому, что операторы предоставляют услуги на линиях, арендованных у базовой сети. При этом возникает проблема перепродажи арендованных линий, которые арендатор использует не для своих нужд, а для оказания услуг другим операторам. Усложняются расчеты между предприятиями за взаимные услуги, возникает проблема содержания и развития базовой сети (инфраструктуры отрасли).
К технологическим факторам, оказывающим влияние на развитие предприятий связи, можно отнести следующие:
•существование множества стандартов, особенно на рынке сотовой связи;
•регулирование государственными органами частотных ресурсов и назначение платы за их использование;
•развитие производства современного сетевого и абонентского оборудования на российских предприятиях.
Сегодня к системе частично либерализованного рынка предприятия традиционных видов связи могут приспособиться только при условии, если их работа будет строиться на коммерческих принципах. Определяющим фактором в их деятельности должно стать качество обслуживания потребителей и самих оказываемых услуг.
Предоставляя всем отраслям общественного производства и населению услуги по сбору, обработке, передаче и доставке информации, область связи обладает всеми чертами, присущими материальному производству. Экономическим признаком, характеризующим принадлежность связи к сфере материального производства, является наличие трех факторов материального производства: средств труда, предметов труда и непосредственно труда работников связи.
К средствам труда, с помощью которых осуществляется процесс передачи информации, относятся производственные здания, станционные и линейные сооружения, коммутационное оборудование, канал ообразующая аппаратура, измерительные приборы и т.д. В качестве предмета труда в процессе связи выступает информация, которая подвергается пространственному перемещению. Оказывают воздействие на предмет труда с помощью средств труда работники связи.
Вместе с тем экономической природе отрасли связи присущи некоторые специфические черты.
Первая особенность определяется спецификой создаваемого продукта, который в отличие от обычного производства не имеет Веще ственной формы, а представляет конечный результат передачи информации от отправителя получателю.
Невещественный характер конечного продукта обусловливает отсутствие в процессе связи сырья и основных материалов, являющихся вещественными носителями продукции, что отражается на структуре производственных ресурсов отрасли. В составе производственных фондов предприятий связи доля оборотных средств (материалов, запасных частей и др.) составляет около 7%, а доля основных производственных фондов — примерно 93%.
Характерной особенностью структуры себестоимости в отрасли является незначительный удельный вес материальных затрат при высокой доле затрат на оплату живого труда.
Вторая особенность отрасли характеризуется неотделимостью во времени процесса потребления услуг связи от процесса их производства. Эта особенность ярко проявляется в телефонной связи, где процесс передачи телефонного сообщения происходит с участием абонентов, т.е. совпадает с процессом потребления. Конечный результат производственной деятельности отрасли — услуга не может храниться в запасе, на складе, изыматься из сферы производства и поступать в сферу обращения для реализации.
Неотделимость процесса производства и потребления услуг связи приводит к появлению неравномерной во времени нагрузки, обусловленной ритмом деловой и личной жизни людей. Фактор неравномерной нагрузки при необходимости передачи сообщения в установленные сроки в условиях неограниченного спроса определяет основные черты процесса производства предприятий связи. Для обслуживания потребителей в периоды максимальной нагрузки без нарушения качества на предприятиях создаются дополнительные производственные мощности и рабочие места, которые при спаде нагрузки используются с низкой отдачей либо вообще простаивают. Это приводит к объективному ухудшению многих экономических показателей — снижению производительности труда и фондоотдачи, повышению себестоимости, уменьшению прибыли и рентабельности производства. Создавая объективно необходимые резервы производственных ресурсов для высококачественного обслуживания потребителей, предприятия связи должны стремиться к оптимизации их объемов, минимизации затрат, повышению эффективности производства.
Третья особенность отрасли состоит в том, что информация может подвергаться только пространственному перемещению . Всякое другое воздействие означает ее искажение, потерю потребительских свойств и ценности и наносит ущерб пользователю. В связи с этим особое значение имеют достоверность передачи сообщений, точность воспроизведения и обеспечение всех качественных и количественных параметров информации, определяющих ее потребительские свойства. Строгое соблюдение качества услуг связи достигается применением только сертифицированного оборудования, современных систем защиты информации от посторонних воздействий, внедрением прогрессивных технологий и методов организации на всех стадиях производственных процессов.
Последняя особенность отрасли заключается в том, что процесс передачи информации всегда является двусторонним между отправителем и получателем информации. Поскольку потребность в передаче информации может возникнуть между абонентами, находящимися в любых населенных пунктах, необходимо наличие надежной и разветвленной сети связи.
Сеть связи состоит из предприятий, соединенных между собой линиями и каналами связи, которые действуют в едином технологическом процессе, обеспечивая передачу информации. В этих условиях отдельное предприятие связи не всегда является единственным производителем услуг, а выполняет определенные производственные функции на конкретных этапах (исходящем, транзитном, входящем) технологической цепочки. Эта особенность обусловливает необходимость введения системы взаиморасчетов между хозяйствующими субъектами за взаимно предоставляемые сетевые ресурсы и услуги по пропуску трафика. Особенно следует учитывать необходимость экономичности сетей связи при различных системах и вариантах схем соединения оконечных пунктов, образующих эти сети.
Всем отраслям и видам деятельности, имеющим инфраструктурную природу, присущ всеобщий характер потребления их услуг всеми предприятиями, отраслями, регионами страны, составляющими единое экономическое пространство. Такие отрасли в своем развитии в значительной степени зависят от общего состояния экономики, объемов, структуры и размещения производительных сил, размеров обслуживаемой территории, численности и плотности населения. В связи с этим для отрасли связи особое значение приобретает проблема соблюдения определенных пропорций между уровнем ее развития и состоянием производственного и экономического потенциала обслуживаемых ею отраслей и сфер деятельности.
2. ОСНОВНЫЕ ЧЕРТЫ И ОСОБЕННОСТИ СИСТЕМЫ КОМПЛЕКСНОГО УПРАВЛЕНЧЕСКОГО АНАЛИЗА ПРЕДПРИЯТИЙ СВЯЗИ
Подход к хозяйственной деятельности предприятия как к целостной системе составляет главную отличительную особенность системного анализа. Основное место в методологии системного анализа занимают универсальные принципы иерархического построения системы аналитических показателей, отражающих реальные процессы и явления в экономике предприятия.
Набор показателей, необходимый для объективной оценки хозяйственной деятельности предприятия связи, включает :
•объем основных производственных фондов;
•производительность труда;
•фондоотдачу и материалоотдачу;
•оборачиваемость оборотных средств;
•показатели качества связи;
•объем оказанных услуг;
•себестоимость услуг связи;
•размер амортизационных отчислений;
•численность работников;
•показатели прибыли и рентабельности;
•коэффициенты платежеспособности и финансового состояния предприятия.
Факторы, воздействующие на показатели, имеют определенную классификацию. Они могут быть общими или частными, внутренними или внешними, экстенсивными или интенсивными. Например, на объем оказанных услуг связи воздействуют такие внешние факторы, как состав абонентской базы (количественный и качественный), уровень проникновения, зона охвата связью, структура трафика.
Определим основную задачу системного подхода к комплексному управленческому анализу предприятия связи как выявление всех факторов, обеспечивающих увеличение объема оказанных услуг в натуральном и стоимостном выражении, при постоянном улучшении качества услуг и обслуживания потребителей, способствующем увеличению рентабельности его работы.
Для проведения системного анализа рассмотрим схему, учитывающую взаимосвязь между основными показателями деятельности предприятия связи, состоящую из девяти основных блоков.
![]()
![]()
![]()
Поскольку предприятия связи имеют сравнительно устойчивую номенклатуру услуг, определенную лицензионным характером деятельности, технологический процесс контролируется специальными органами и изменение факторов производства затруднено.
![]() |
||||
![]() |
![]() |
![]() |
Рис.1 Схема комплексного управленческого анализа предприятия связи
Технико-организационный уровень предприятия связи (блок 1) предусматривает анализ:
•используемой схемы связи;
•стандарта;
•технических характеристик используемого оборудования;
•выделенного частотного ресурса;
•условий лицензии;
•регулирующих и нормативных документов отрасли.
В нашем случае анализ технико-организационного уровня приобретает черты технического, а не экономического анализа.
Уровень и прогрессивность технического оснащения оператора связи способствуют удержанию конкурентной позиции на рынке. В связи с этим управленческий анализ невозможен без анализа в системе маркетинга.
Анализ в системе маркетинга (блок 2) направлен на повышение эффективности управления деятельностью предприятия, которая в конечном итоге выражается в увеличении объема продаж, удовлетворении запросов потребителей и получении необходимого размера прибыли.
Вместе с тем для составления маркетингового плана оператор связи должен учитывать организационно-технический уровень своего предприятия. Так, для планирования притока новых абонентов необходимо знать технические параметры емкости сети, чтобы не ухудшить качество оказываемых услуг.
С другой стороны, рынок покупателя активно воздействует на технико-организационный уровень предприятия. Например, изменение потребностей рынка сотовой телефонии (требование маленьких дешевых телефонных аппаратов с возможностью длительного разговора без подзарядки батареи и с автоматическим переключением при смене сети обслуживания) вынудило операторов стандарта № МТ-450 поставить вопрос о переходе на другой стандарт. Для выхода же на рынок с новейшими услугами, например с электронной коммерцией, оператору необходима модернизация оборудования.
Таким образом, анализ в системе маркетинга предприятия связи тесно связан с анализом его технико-организационного уровня.
От условий производства зависит степень использования производственных ресурсов: средств труда, предметов труда и самого труда, которые в свою очередь оказывают влияние на объем, себестоимость и качество оказанных услуг через интенсивные и экстенсивные факторы использования ресурсов (блок 3).
Для анализа объема, структуры и качества оказанных услуг связи (блок 4) рассмотрим факторы, сформированные под воздействием, спроса и предложения, к которым относятся:
•общее количество и прирост абонентов;
•общее количество обмена (трафика);
•распределение трафика по направлениям;
•тарифы на услуги связи.
Перечисленные факторы влияют также на величину прибыли о реализации услуг связи.
В отрасли связи вопросы качества услуг имеют важное значение для обеспечения экономической эффективности деятельности предприятия. Основными задачами этого анализа являются выявление факторов, влияющих на качество связи, и определение воздействия качества услуг на объем продукции и прибыль оператора. Показатели качества отражаются на результатах работы предприятия и на объеме затраченных ресурсов.
Себестоимость услуг связи показывает уровень технической оснащенности и технологии предприятия, а также использования ресурсов и производительности труда. Для принятия решений по управлению себестоимостью необходимо классифицировать затраты, определить структуру себестоимости услуг и выделить факторы, оказывающие влияние на уровень и динамику изменения затрат в составе себестоимости (блок 5).
Важным разделом управления себестоимостью является анализ связи себестоимости, объема продаж и прибыли, позволяющий определить критическую точку безубыточности производства и оценить прибыльность деятельности оператора связи (блок 6).
Показатели прибыли характеризуют конечные результаты и уровень рентабельности хозяйственной деятельности предприятия (блок 7). Главными целями анализа финансовых результатов являются оценка работы предприятия за отчетный период, на данный момент и определение будущего потенциала. Показатели рентабельности позволяют сопоставить полученный результат с теми затратами и ресурсами, которые были использованы для получения данной прибыли.
Для принятия важных управленческих решений необходима достоверная и объективная оценка финансового состояния, которое характеризуется составом и размещением средств, структурой их источников, способностью предприятия погашать обязательства в срок и в полном объеме, а также другими факторами. Важной задачей анализа финансового положения предприятия является расчет показателей платежеспособности и финансовой устойчивости (блок 8).
Получить объективную характеристику состояния предприятия, оценить эффективность принятых ранее управленческих решений можно с помощью методик комплексной оценки бизнеса, которые учитывают все важнейшие показатели его финансово-хозяйствеиной и производственной деятельности (блок 9).
Таким образом, в результате изучения всех аспектов деятельности предприятия, глубокого проникновения в механизм формирования финансовых и производственных результатов достигается системность экономического анализа.
3. ОСОБЕННОСТИ МЕТОДИКИ УПРАВЛЕНЧЕСКОГО АНАЛИЗА НА ПРЕДПРИЯТИЯХ СВЯЗИ
3.1 АНАЛИЗ ПРОДУКЦИИ ПРЕДПРИЯТИЙ СВЯЗИ
Производство продукции оценивается в натуральных, условно-натуральных показателях и по стоимости. Объем производства характеризуется валовой и чистой продукцией, объем выпуска — готовой и товарной продукцией, объем реализации — отгруженной и реализованной товарной продукцией. Для предприятий связи конечный результат производственной деятельности выступает как продукция, а для потребителей — как услуга связи, поэтому одновременно применяют термины продукция связи и услуга связи. Объем произведенных услуг связи характеризуется объемом доходов, полученных от оказания этих услуг. Так как процесс производства услуг связи неотделим от процесса их потребления, то объем валовой продукции на предприятиях связи равен объему товарной и соответственно объему реализованной продукции.
Одной из особенностей отрасли связи является незаконченность производственного процесса в рамках одного предприятия, так как в процессе обмена одновременно принимают участие несколько предприятий. Число обработанных сообщений (исходящих, входящих, транзитных) представляет натуральный показатель объема работы предприятия.
На предприятиях различают понятия номенклатуры продукции и номенклатуры услуг связи.
Номенклатура продукции — это перечень видов продукции и их цены.
Номенклатура услуг связи — это перечень видов услуг, предоставляемых потребителям по установленным тарифам.
Номенклатура услуг предприятия сотовой связи аналогична такой же номенклатуре предприятия сети общего пользования. Виды предоставляемых услуг разрабатываются оператором на основании полученной лицензии и оплачиваются абонентами по тарифам, принятым оператором самостоятельно. Таким образом, доходами предприятия сотовой связи считаются доходы от реализации услуг по свободным тарифам .
Для анализа объема оказанных услуг связи выделим две основные группы факторов:
•внешние или внеотраслевые, сформированные на основании спроса и предложения и зависящие от экономической, социальной и демографической ситуации в стране;
•внутренние, связанные с использованием производственных ресурсов.
Существующие методические подходы к определению доходов по традиционным видам услуг обусловлены формой создаваемой услуги (в форме обмена или в форме канала), зависимостью тарифа от группы пользователей (население или предприятия), индивидуальной особенностью услуги (обычные, срочные или льготные тарифы), методами ценообразования тарифов (регулируемые или свободные). Однако эти методики не учитывают специфику сотовой связи, которая относится к новым видам телекоммуникационных услуг, обладающих высокой потребительской стоимостью до полного насыщения рынка.
Доход от основной деятельности оператора сотовой связи складывается из следующих потоков:
•дохода от продажи первоначального пакета, включающего абонентское оборудование и подключение;
•дохода от периодических услуг (абонентской платы, детализации и доставки счета, голосовой почты, переадресации, междугороднего или международного доступа и др.), цены на которые устанавливаются на определенный период;
•дохода от обмена (трафика) (отдельно учитывается доход от роумингового обмена — предоставления услуг абонентам одного оператора на территории другого).
При росте количества абонентов происходят структурные сдвиги в объеме доходов оператора связи: доходы от первоначального пакета услуг снижаются, а от обмена — растут.
Рассмотрим факторы, влияющие на величину обмена (трафика).
Абонентская база оператора сотовой связи складывается из активных коммерческих, заблокированных коммерческих, служебных и льготных абонентов.
Активные коммерческие абоненты — это работающие абоненты, которые приносят доход оператору.
Заблокированные коммерческие абоненты не пользуются услугами связи, но и не прекратили договора с оператором. К ним относятся абоненты, отключенные либо за неуплату, либо временно по желанию самого абонента. Они могут пользоваться услугами конкурента, но не ликвидировать договор в ожидании снижения тарифов.
Служебные абоненты — это сотрудники компании-оператора, которые пользуются сотовой связью в служебных целях. Их необходимо учитывать, так как во время разговора они занимают производственные ресурсы (каналы), создавая дополнительную нагрузку в сети.
Льготные абоненты приносят незначительный доход оператору, так как работают по специальным тарифным планам, длительное время не производят оплату, однако их нельзя отключить ввиду особого статуса. К ним относятся представители властных структур, фискальных органов, органов правопорядка и т.п.
На прирост абонентской базы оказывают влияние следующие факторы:
•стоимость первоначального пакета, доля рынка;
•проникновение (охват населения, пользующегося конкретной услугой связи);
•охват каждого сегмента потенциальных потребителей;
•число отказов от покупки;
•сезонность;
•количество рабочих и выходных дней.
•длительность периода продаж первоначального пакета по определенной цене;
Для качественного анализа абонентской базы рассчитывают показатели в виде отношения оттока абонентов к количеству активных абонентов, а также в виде отношения заблокированных коммерческих абонентов к количеству всех абонентов.
Снижение этих показателей говорит о положительной тенденции в качественном составе абонентской базы.
В настоящее время операторы переходят от общепринятой поминутной на посекундную тарификацию. Иногда операторы предлагают тарифные планы с оплатой временного интервала в пять секунд.
Понятие обмена включает общее количество минут, задействованных всеми активными коммерческими абонентами в течение анализируемого периода (отложим для простоты различия между исходящим, входящим и транзитным обменом).
За единицу обмена принимается количество минут на абонента в среднеприведенный день с учетом рабочих и выходных дней. Этот показатель имеет тенденцию к уменьшению, так как операторы в борьбе за количество абонентов выходят на менее обеспеченные слои населения, которые обычно являются малоговорящими. Общее количество обмена (минут) в месяц (О) можно определить как
О = Ах Д х М (1)
где А — количество абонентов;
Д — количество приведенных дней в месяце;
М — количество минут на одного абонента в среднеприведенный день.
Для определения Д сначала отдельно подсчитывается количество минут по рабочим и выходным дням в месяце, затем определяется промежуточный коэффициент К как соотношение количества минут в выходные и рабочие дни.
Тогда количество приведенных дней в месяце составит:
Д = Р + (КхВ) (2)
где Р — количество рабочих дней;
В — количество выходных дней.
Расчет приведенных дней в месяце связан с неравномерностью нагрузки по рабочим и выходным дням. Деловая активность абонентов в рабочие дни вызывает рост трафика. В целях рекламной кампании операторы могут предлагать большие скидки в праздничные дни. Этот фактор также может повлиять на увеличение объема трафика без' значительного увеличения доходов от него.
Показатель единицы обмена учитывается при составлении бизнес-плана.
Каждый оператор имеет индивидуальную структуру распределения трафика по направлениям. Величина и характер спроса на услуги связи зависят от административных, экономических, культурно-бытовых особенностей каждого региона. Большое значение на структуру трафика имеет близость оператора к столичным городам, курортным местам, оживленным транспортным магистралям.
Структура трафика по направлениям представлена в следующей таблице.
Таблица 1
Распределение трафика по направлениям
| Направление обмена | Количество, тыс. мин | Доля в общем объеме, % |
| Местная связь, в том числе: | ||
| входящие | ||
| исходящие на мобильные в сети оператора | ||
| исходящие на центр региона и на других оператороа связи в регионе | ||
| исходящие в другие города региона | ||
| исходящие на Москву | ||
| Междугородняя связь | ||
| Международная связь | ||
| Перенаправление вызова (роуминг) | ||
| Итого |
Распределение трафика абонентов по направлениям по результатам каждого месяца составляется для оперативного анализа и перспективного анализа.
Для выявления сущности доходов предприятий связи и их определения ранее рекомендовался следующий подход. Сначала вычисляется средняя цена j-говида услуг (средняя доходная такса) для i-Piгруппы пользователей в отчетном периоде как отношение доходов за j-й вид услуг от i-й группы пользователей к количеству услугj-говида, предоставленных пользователям i-й группы. На планируемый период средняя доходная такса определяется путем умножения ее величины за отчетный период на коэффициент эластичности, учитывающий изменение средней доходности услуг за счет объективных факторов.
Такой подход оправдан при небольшом количестве услуг, действующих в течение длительного времени, уже хорошо известных потребителю сети общего пользования, например при установке телефона.
В то же время оператор сотовой связи, использующий высокотехнологичное оборудование, постоянно предлагает новые, неизвестные услуги, аналога которым нет на рынке связи, такие, например, как конференц-связь, служба коротких сообщений, электронный секретарь, голосовая почта и т.д. При планировании новых услуг у оператора сотовой связи отсутствуют необходимые для расчета коэффициента эластичности данные, что делает весьма затруднительным применение рекомендованной методики планирования доходов.
Рассмотрим другую методику для управленческого анализа объема предоставляемых услуг, основанную на понятии усредненного тарифного плана.
Для определения факторов, влияющих на величину дохода от периодических услуг и трафика, определим тарифный план как совокупности тарифов на периодические услуги и на одну минуту разговора по направлениям. При этом в разных тарифных планах перечень периодических услуг и направлений может быть различным. Анализ доходов по каждому тарифному плану позволит, в частности, выявить планы, не пользующиеся спросом у абонентов.
Усредненный тарифный план — это условный тарифный план, по которому работает средний абонент.
Используя статистические данные за каждый месяц, подсчитывают доход от услуг по всем тарифным планам всех абонентов.
Далее определяют средний доход от услуг по всем тарифным планам от одного абонента.
Затем определяют средний доход от j-й услуги от одного абонента по всем тарифным планам.
Тогда усредненный тарифный план (Тср ) можно представить в следующем виде.
Таблица 2
Усредненные тарифные планы
| Показатели | -j-план ср | Отклонение |
| 1 | 2 | 3 |
| Услуги | ||
| Абонентская плата | ||
| Междугородний доступ | ||
| Международный доступ | ||
| Детализация счета | ||
| Плата за роуминг | ||
| Эфирное время (за минуту) | ||
| Входящие | ||
| Исходящие: | ||
| областной центр | ||
| мобильный | ||
| область | ||
| Москва | ||
| междугородние | ||
| международные |
Для оперативного анализа фактически полученных доходов по сравнению с плановыми оператор сотовой связи должен пересчитывать бизнес-план каждый раз при введении новых тарифных планов вместо ранее действовавших.
Таким образом, на величину объема предоставляемых услуг оператора сотовой связи оказывают влияние следующие факторы:
•цена минуты по каждому направлению;
•количество минут по каждому направлению;
•количество абонентов, выбравших данное направление;
• доля объема трафика по каждому направлению в общем объеме трафика.
Доход оператора сотовой связи от роумингового обмена включает сумму доходов от роуминга абонентов данного оператора в сетях других операторов и от роуминга абонентов других операторов в сети данного оператора. При планировании роумингового обмена своих абонентов оператор использует статистику прошлого периода. Относительно чужих абонентов (роумеров) оператор не может корректно прогнозировать посещение ими своей сети, поскольку не владеет информацией о приросте количества абонентов у других операторов.
Общим фактором, который необходимо учитывать оператору при планировании роумингового обмена, является сезонность — время отпусков, праздников и т.п. Чужие абоненты увеличивают нагрузку в сети, и оператор должен планировать увеличение ее производственных ресурсов.
3.2 АНАЛИЗ КАЧЕСТВА ПРОДУКЦИИ ПРЕДПРИЯТИЙ СВЯЗИ
С каждым годом все больше возрастают требования потребителей к качеству услуг связи, поэтому вопросы качества становятся важнейшими для обеспечения эффективной деятельности операторов. Искажение содержания и задержка сообщений снижают эффект их передачи во времени и пространстве, информация теряет свою полезность и ценность для управления, производства, бизнеса, потребителей частного сектора, а продукт связи — свою потребительскую стоимость.
Задачами анализа качества оказанных услуг связи являются:
•определение факторов, оказывающих влияние на качество связи;
•определение зависимости объема услуг и прибыли оператора от качества услуг связи;
•выработка подходов к управлению качеством.
Стандарты систем качества ISO 9000—9004 Международной организацией по стандартам, приняты за основу российских национальных стандартов. Они содержат следующие требования и процедуры:
•ответственность управляющих;
•системный подход к качеству;
•управление проектированием;
•оценка содержания контрактов;
•контроль документации;
•управление закупками и поставкой продукции;
•описание продукта и его продвижение;
•контроль и проверка производства;
•оборудование для проведения испытаний и измерений;
•оценка роли проверок и контроля;
•ведение записей о качестве;
•организация внутреннего аудита качества;
•повышение квалификации персонала;
•качество обслуживания клиентов;
•выбор и применение статистических методов и приемов.
Стандарты ISO, а также новые подходы к управлению качеством предлагают систему признаков, по которым можно судить о соответствии работы оператора требованиям, предъявляемым к услугам со стороны потребителей. Для этого необходимо выделить наиболее важные признаки, характеризующие качество обслуживания, предлагаемой услуги, а также систему управления качеством на предприятии.
Особенность отрасли связи состоит в том, что она совмещает неотделимые процессы производства услуг и их потребления.
С точки зрения пользователей качество услуг связи характеризуют следующие свойства.
1. Скорость передачи информации. Фактор времени особенно важен в сфере бизнеса, где требуется высокая оперативность доставки информации, ее обработки и принятия решений.
2. Точность передачи и воспроизведения, достоверность и сохранность сообщений. Искажение смысла передаваемого сообщения может привести к принятию неправильных решений, неоправданным затратам, срыву ритмичности производства и другим негативным последствиям.
3. Конфиденциальность передачи информации, тайна связи. Тайна сообщений, передаваемых по сетям электрической связи, гарантируется действующим законодательством, поэтому предприятия обязаны ее обеспечить.
4. Надежность и устойчивость действия технических средств и систем связи. Участие в создании услуг связи нескольких предприятий непосредственно влияет на скорость прохождения информации и ее достоверность, поэтому схемы построения сетей связи должны иметь оптимальные временные параметры передачи сообщений при одновременной устойчивости связи.
5. Доступность услуг связи. Возможность передавать информацию в нужное время, в нужное место по приемлемым тарифам характеризует доступность связи. Оператор должен применять гибкую тарифную политику и заменять услугу на более дорогую только с согласия абонента.
6. Удобство пользования, эстетичность и экологическая безопасность. Услуги связи не оказывают вредного влияния на окружающую среду и потребителей, однако электрические и магнитные излучения приемного и передающего оборудования негативно влияют на природу и человека. В связи с этим показатели экологической безопасности рассматриваются как важные компоненты качества работы связи.
Проблема улучшения качества связи является важной и для производителей — предприятий связи. Статья 28 Федерального закона от 16 февраля 1995 г. № 15-ФЗ «О связи» определяет обязанность операторов предоставлять услуги связи, соответствующие по качеству стандартам, техническим нормам, сертификатам и условиям договора с абонентом. За нарушение качественных показателей и правил обслуживания абонентов в соответствии с действующим законодательством предприятия связи несут административную и юридическую ответственность. Все денежные выплаты: штрафы, пени, неустойки, компенсации потребителям за причиненный материальный и моральный ущерб — уменьшают размер прибыли предприятия. Кроме того, предоставление услуг связи более низкого качества, чем у конкурента, негативно влияет на торговую марку оператора и приводит к оттоку абонентов.
Таким образом, качество работы связи можно оценить, используя две группы показателей, характеризующих качество обслуживания и качество услуг связи.
Применительно к предприятию сотовой связи качество обслуживания абонентов определяется следующими факторами:
1)величиной охвата территории, на которой оператор предоставляет услуги;
2)количеством прогрессивных форм и методов обслуживания абонентов;
3)уровнем охвата населения.
Качество услуг связи характеризуют показатели самых важных свойств. Так, например, для абонента сотовой связи важны разборчивость речи, ее натуральность, уровень громкости, отсутствие посторонних шумов. Система качества услуг включает общие, специальные и вспомогательные стандарты, регламентирующие технические параметры процесса передачи сообщений и количественные характеристики свойств самих услуг. Некоторые параметры качества предоставляемых услуг указываются в лицензиях, выдаваемых оператору (например, процент отказов в сети в час наибольшей нагрузки — ЧНН).
Контроль качества осуществляет Минсвязи России.
Проведение анализа качества услуг связи начинается с определения технико-технологических и организационно-экономических факторов, оказывающих влияние на качество работы связи. К технико-технологическим факторам относятся:
•уровень развития сети;
•уровень научно-технического прогресса;
•степень износа основных производственных фондов;
•темпы выбытия и обновления основных производственных фондов;
•рациональность схемы построения сетей связи;
•качество оборудования связи.
К организационно-экономическим факторам относятся:
•нормативная база обеспечения качества;
•лицензирование и сертификация оборудования;
•уровень конкуренции на рынке услуг;
•система показателей качества;
•методы обслуживания и контроля;
•квалификация персонала;
•неравномерность нагрузки;
•учет в системе ценообразования;
•материальное стимулирование.
Рассмотрим важность анализа фактора неравномерности нагрузки оператора сотовой связи для принятия управленческих решений по своевременному увеличению количества каналов во избежание перегрузки сети.
Для сотовой связи в целом характерны случайный поток вызовов от абонентов, продолжительность отдельного вызова (длительность занятия радиоканала), ограниченность ресурса (радиоканалов, предоставляемых абонентам), отказы в обслуживании при занятости системы, поэтому она может рассматриваться как типичная система массового обслуживания.
Для сотовой сети нагрузка и количество абонентов являются переменными параметрами. В процессе эксплуатации сети неизбежно возникает момент максимальной нагрузки, когда базовая станция не может обслужить все поступающие от абонентов вызовы.
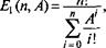
Для оценки нагрузки в сетях связи используется формула Эрланга:
![]()
где Е1 — потери;
п — количество каналов; А — нагрузка, л.
Формула (2) связывает один из важнейших показателей качества услуги сети — вероятность отказа со значениями нагрузки и числа каналов.
Пример 1. Рассчитаем емкость базовой станции (N). Фактическая нагрузка в ЧНН составляет 9,3 Эрл. Количество каналов равно 15. Потери по формуле (18) составляют 2,42%.
В лицензии на предоставление услуг сотовой связи процент отказов внутри сети в ЧНН определен в размере не более 5%, следовательно, допустимая нагрузка для 15 задействованных на базовой станции каналов при 5% допустимых потерь составляет 10,63 Эрл. Запас по нагрузке составляет:
АА=Атах -А = 1,33 Эрл.
Теперь определим запас по абонентам (ЛГ,ап ), т.е. количество абонентов, которое может дополнительно обслужить базовая станция без потери качества связи.
Примем время разговора абонента в ЧНН равным в среднем 90 с (этот показатель принят для сети общего пользования). Тогда
А\абон = 90: 3600 = 0,025 Эрл,
NMn = АА : А{ абон = 1,33 : 0,025 = 53 абонента.
Теперь определим полную емкость базовой станции:
N=Amax :Л1а0он = 10,63 : 0,025 = 425 абонентов.
Проведенный анализ качества позволит спланировать необходимый объем инвестиций для развития сети и своевременно увеличить количество каналов для предоставления услуг связи требуемого качества.
В системе экономического анализа влияние фактора качества на объем продукции предлагается определять прямым счетом на основе разницы в ценах изделий повышенного и более низкого качеств. На наш взгляд, применительно к услуге связи такой подход использовать нельзя.
Конкуренцию среди операторов можно выдержать, имея правильную позицию и поведение, отвечающее пожеланиям потребителей. Пользователь должен знать, какую услугу предоставляет ему оператор. В зависимости от непосредственной связи с пользователем предприятия делятся на владельцев вторичной и первичной сети. Если основная часть доходов владельцев первичной сети определяется в результате взаиморасчетов с другими операторами за предоставленные производственные мощности, то доходы владельцев вторичных сетей определяются количеством услуг и их ценой, так как последние имеют непосредственную связь с пользователем.
Таким образом, вопрос качества оказанной пользователю услуги является важным для предприятий вторичных сетей.
Именно за счет улучшения качества, а не за счет повышения цен на услуги оператор может увеличить объем оказанных услуг и соответственно свою прибыль. Решения, связанные с повышением качества, в итоге направлены на совершенствование производственного процесса.
Вместе с тем большая зависимость оператора от потребителя приводит к тому, что производственные процессы труднее поддаются технологическим преобразованиям.
Таким образом, анализ качества услуг связи непосредственно связан с анализом в системе маркетинга, помогая оператору как продавцу услуг формировать спрос и управлять им. При этом в процессе анализа вырабатываются подходы к управлению качеством, зафиксированные в стандарте ISO 9004.
Оператор может принимать решения, связанные с изменениями организационного характера, если необходимо улучшить качество обслуживания абонентов. При необходимости улучшить качество самой связи решения будут связаны с инвестированием средств в новые технологии. В таком случае важно определить источники финансирования, одним из которых может быть постоянное повышение цен на новые услуги со скоростью, превышающей темпы инфляции.
Важнейшими в области управления качеством являются соглашения о компенсации при нарушении показателей качества, указанных в договорах с потребителем. Штрафные санкции при оплате компенсации потребителю уменьшают прибыль предприятия и негативно влияют на финансовый результат его деятельности, поэтому услуги низкого качества необходимо продавать по низкой цене.
Таким образом, повышение качества продукции — это, в конечном счете, вопросы экономии ресурсов и интенсификации производства.
3.3 АНАЛИЗ И УПРАВЛЕНИЕ ЗАТРАТАМИ И СЕБЕСТОИМОСТЬЮ ПРОДУКЦИИ
Характеристика и классификация затрат. Себестоимость услуг связи
Этап классификации затрат и формирования себестоимости продукции, выполненных работ или оказанных услуг предшествует анализу финансовых результатов деятельности предприятия за прошедший период и составлению перспективных планов на будущее. Расходами или затратами предприятий связи признается уменьшение экономических выгод в результате выбытия денежных средств, иного имущества, возникновения обязательств, связанных с оказанием услуг потребителям. Рассмотрим известную классификацию затрат применительно к предприятиям связи.
_По экономической роли в процессе производства выделяют основные и накладные затраты. Основные затраты непосредственно связаны с технологическим процессом, а накладные — с организацией, обслуживанием и управлением производства. На предприятиях связи к основным относятся следуюшие затраты:
•расходы на аренду каналов;
•лизинговые и арендные платежи за оборудование сети;
•расходы на услуги транзитного оператора;
•расходы на услуги связи других операторов, включая роуминг;
•расходы на оплату радиочастотного ресурса;
•расходы на услуги надзирающих и контролирующих органов;
•амортизационные отчисления на полное восстановление основных средств, полное погашение стоимости нематериальных активов;
•расходы на эксплуатацию оборудования сети;
•затраты на оплату труда производственных работников (специалистов технических служб, отделов обслуживания абонентов, группы биллинговых расчетов) и отчисления на нее;
• вознаграждение дилерам и коммерческим представителям.
К накладным на предприятиях связи относятся следующие затраты:
•затраты на оплату труда управленческого управленческого персонала, административно-хозяйственной службы с учетом единого социального налога;
•расходы на содержание собственных и арендованных помещений;
• стоимость конторских и хозяйственных материалов;
• расходы на покупку на горюче-смазочных материалов и содержание транспорта;
•командировочные, рекламные и представительские расходы;
•расходы на оплату аудиторских, юридических, банковских и охранных услуг;
•расходы на консультационные и информационные услуги;
•расходы на обучение и повышение квалификации персонала;
•расходы на охрану труда, технику безопасности и страхование имущества.
Процесс производства услуг связи неотделим от процесса их потребления, поэтому на предприятиях связи отсутствует незавершенное производство.
По способу включения в себестоимость затраты делятся на прямые и косвенные (общепроизводственные). Прямые затраты в момент их возникновения можно непосредственно отнести на объект калькулирования. Косвенные же — это затраты, связанные с производством, которые нельзя прямо отнести на готовую продукцию, поэтому их распределяют между объектами согласно отраслевой методике. Примером косвенных или общепроизводственных расходов являются расходы на содержание зданий, техническое обслуживание и текущий ремонт оборудования, страхование имущества, амортизационные отчисления на оборудование, заработная плата технических работников.
На основании действующего ГТБУ10/99 под себестоимостью услуг связи понимаются выраженные в денежной форме затраты на все виды ресурсов, которые несут телекоммуникационные предприятия в процёссе оказания услуг потребителям.
Полная себестоимость произведенных и оказанных услуг представляет собой сумму производственной себестоимости, коммерческих и административных расходов. Прямые материальные затраты, затраты на оплату труда и общепроизводственные расходы составляют производственную себестоимость, а коммерческие и административные расходы, являются расходами периода, так как они относятся не к определенному объему производства, а к получению услуг в течение отчетного периода. К коммерческим расходам на предприятиях связи относят расходы на рекламу, вознаграждение коммерческим представителям и посредникам. Представительские, командировочные, расходы на информационно-консультационные, банковские, аудиторские, охранные услуги, расходы на зарплату управленческого персонала и т.п. относят к административным расходам.
Расходы отчетного периода отражаются в отчете о прибылях и убытках при расчете прибыли от основной деятельности предприятия.Некоторые операторы сотовой связи исходя из учетной политики учитывают в составе прямых материальных затрат расходы на приобретение абонентских устройств и по мере подключения новых абонентов и продажи сотовых телефонов списывают эти расходы на затраты по производству услуг сотовой связи. Доля таких материальных затрат I может составлять существенную часть в составе полной себестоимости услуг связи.
В силу специфики производства услуг связи рассчитать себестоимость каждой предоставляемой услуги практически невозможно, причем объект калькулирования должен совпадать с объектом продаж. В связи с этим в отрасли рассчитывают как полную себестоимость всех оказанных услуг, так и относительный стоимостной показатель, соответствующий себестоимости на 1 руб. доходов. Экономический смысл данного показателя — определить, сколько текущих затрат потребовалось для получения 1 руб. доходов.
Анализ и управление себестоимостью
Себестоимость отражает уровень технической оснащенности и технологии предприятия, использования ресурсов, производительности труда. Величина себестоимости оказывает непосредственное влияние на конечные результаты деятельности предприятия и эффективность его работы. В условиях жесткой конкурентной борьбы за абонентов операторы связи постоянно снижают тарифы на предоставляемые услуги, что сказывается на величине дохода от основной деятельности. Сегодня необходимо уметь управлять себестоимостью услуг, поэтому для получения необходимого размера прибыли руководство предприятия должно оптимизировать величину затрат.
Задачи анализа себестоимости оказанных услуг связи включают:
•оценку обоснованности плана по расходам на основе анализа затрат;
•установление динамики и степени выполнения плана по себестоимости;
•определение факторов, повлиявших на динамику и выполнение плана показателей себестоимости, а также причин отклонений фактических затрат от плановых;
•выявление резервов дальнейшего снижения себестоимости услуг для получения необходимого размера прибыли.
В настоящее время отсутствуют утвержденные в установленном порядке методические отраслевые рекомендации по планированию, учету и калькулированию себестоимости услуг сотовой связи. Авторы предлагают собственную методику для этих целей, которую можно использовать для принятия управленческих решений. Выделяют два основных объекта калькулирования себестоимости:
•первоначальный пакет услуг связи (ППУС);
•затраты на 100 руб. доходов от обмена, включая периодические услуги.
Базой прираспределении косвенных (общепроизводственных) расходов каждого объекта служит объем дохода, полученный от продаж ППУС и услуг связи. Базой при распределении расходов периода каждого из объектов калькулирования может служить:
•для коммерческих расходов — доля рекламных расходов по привлечению новых абонентов и расходов на поддержание торговой марки оператора;
•для расходов охранных, транспортных и общехозяйственных — отношение числа работников службы продаж к общему числу работников;
•для заработной платы непроизводственных работников, банковских услуг, амортизационных отчислений офисного оборудования — отношение количества привлеченных за период абонентов к общему количеству абонентов;
• для командировочных и консультационно-информационных расходов — доля дохода от продаж ППУС в общем доходе предприятия (или отношение числа работников службы продаж к общему числу работников).
Руководству предприятия нужна информация о сумме затрат на привлечение одного абонента за конкретный период, которая рассчитывается как отношение суммы затрат на оборудование, рекламу, дилеров и службу продаж к количеству привлеченных абонентов.
В зависимости от технологических особенностей стандарта каждый оператор в расходах на оборудование может учитывать себестоимость сотовых телефонов, SIM-карт и других подобных расходов. Затраты на рекламу — это коммерческие расходы, направленные на привлечение новых абонентов. Расходы на службу продаж — это затраты на содержание помещений, заработная плата работников службы и отчисления на нее, другие общехозяйственные расходы. Для расширения абонентской базы оператор создает дилерскую сеть и доплачивает ей значительные суммы за каждого нового абонента. Подсчитав затраты по привлечению одного абонента, долю в них на оплату дилерам и имея данные о количестве привлеченных ими новых абонентов, оператор может принять решение о расширении или сокращении дилерской сети.
На основе калькуляции себестоимости на 100 руб. доходов от основной деятельности определяется ее структура и выявляются наиболее значимые резервы экономии затрат на производство услуг сотовой связи.
В таблице 4 приведены результаты исследования структуры себестоимости на 100 руб. доходов от основной деятельности по двум операторам, предоставляющим услуги сотовой связи в одном стандарте в разных регионах России. Как можно видеть, величина себестоимости у операторов весьма отличается. Себестоимость на 100 руб. доходов у оператора В на 25,1 руб. выше, чем у оператора А, т.е. почти на 42%. Такая разница обусловлена различием управленческих решений по источникам финансирования производственной базы. Оператор В приобрел сетевое оборудование по договорам лизинга, а оператор А — по договорам закупки в собственность, что сказывается на величине амортизационных отчислений. Оператор А тратит значительно больше средств на рекламу. Особое внимание руководство этого предприятия должно обратить на оплату консультационно-информационных услуг, транспортные и другие общехозяйственные расходы.
Таблица 4
Структура себестоимости
| Наименование основных элементов затрат | Оператор А | Оператор В | ||
| себестоимость, руб. на 100 руб. доходов | структура себестоимости, % | себестоимость, руб. на 100 руб. доходов | структура себестоимости, % | |
| Аренда каналов | 5,39 | 9,12 | 9,28 | 11,02 |
| Лизинговые и арендные платежи за оборудование | 8,95 | 15,14 | 42,65 | 50,64 |
| Амортизационные отчисления | 5,88 | 9,94 | 1,83 | 2,17 |
| Платежи транзитному оператору | 10,47 | 17,71 | 12,21 | 14,5 |
| Платежи контролирующим органам | 1,78 | 3,02 | 1,34 | 1,59 |
| Заработная плата и отчисления на социальные нужды | 16,9 | 28,58 | 13,25 | 15,73 |
| Коммерческие расходы | 1,98 | 3,35 | 0,85 | 1,01 |
| Прочие | 7,78 | 13,16 | 2,81 | 3,33 |
| Всего | 59,12 | 100 | 84,22 | 100 |
Изменение себестоимости в отчетном периоде по сравнению с базовым определяется по формуле
∆ Ic =( (1- Ic / I дох)* di )*100 (4)
где ∆Ic— индекс изменения себестоимости за счет i-й статьи затрат;
Ic— индекс изменения i-й статьи затрат в отчетном периоде по сравнению с базовым в относительных единицах;
Iдох — индекс изменения доходов в отчетном периоде по сравнению с базовым в относительных единицах;
di— доля i-й статьи затрат в себестоимости базового периода.
Общее снижение себестоимости определяется суммой изменения себестоимости по каждой статье:
∆ Ic =∑∆ Ic i (5)
Если темп роста доходов в отчетном периоде по сравнению с базовым ниже, чем темп роста себестоимости, то результатом будет отрицательная величина.
Для определения влияния на себестоимость изменения каждой статьи затрат отчетного периода по сравнению с базовым приведем расчеты на основании данных оператора А (табл. 5).
Таблица 5
Исходные и расчетные данные
| Наименование показателей | Базовый период, тыс. руб. | d, | Отчетный период, тыс. руб. | 'с, | 'дож | Д/с , % |
| Аренда каналов | 910 | 8,20 | 1 674 | 1,84 | -0,96 | |
| Лизинговые платежи | 795 | 7,16 | 2 779 | 3,50 | -8,04 | |
| Платежи транзитному оператору | 1 377 | 12,40 | 3 251 | 2,36 | -5.38 | |
| Платежи надзирающим органам | 348 | 3,13 | 554 | 1,59 | 0,10 | |
| Зарплата и отчисления | 3 132 | 28,21 | 5 247 | 1.68 | -0,49 | |
| Коммерческие расходы | 461 | 4,15 | 615 | 1,33 | 0,79 | |
| Амортизационные отчисления | 1 439 | 12,96 | 1 825 | 1,27 | 2,98 | |
| Содержание помещений | 192 | 1,73 | 249 | 1,30 | 0,37 | |
| Прочие | 1 828 | 16,46 | 2 167 | 1,19 | 4,61 | |
| Налог на пользователей автодорог | 622 | 5,60 | 1 025 | 1,65 | 0 | |
| Итого | 11 104 | 100,00 | 19 386 | |||
| Себестоимость, руб. на 100 руб. доходов | 58,89 | 62,42 | ||||
| Доход | 18 857 | 31 055 | 1,65 | |||
| Изменение себестоимости | -6,01 |
По нашим расчетам в отчетном периоде по сравнению с базовым себестоимость увеличилась на 6,01%. Основное влияние на увеличение себестоимости оказал рост лизинговых платежей на 8,04% и рост платежей транзитному оператору на 5,38%.
Выделим три группы факторов, оказывающих влияние на уровень и динамику изменения затрат в составе себестоимости: общеэкономические, отраслевые и внутрихозяйственные.
Общеэкономические факторы не зависят от деятельности конкретных предприятий, их влияние на себестоимость имеет одинаковую направленность во всех отраслях экономики. К этим факторам относятся политика государства в области социального обеспечения, влияющая на размер отчислений во внебюджетные фонды, изменение норм амортизационных отчислений, переоценка основных производственных фондов в соответствии с темпами инфляции, налоговая политика. Так, в состав себестоимости услуг связи включаются единый социальный налог, налог на пользователей автодорог.
К числу отраслевых факторов относятся эффективность взаиморасчетов между операторами сети, удаленность от транзитного центра коммутации, размер отчислений за присвоение и использование радиочастот, платежи надзирающим органам за контроль лицензируемой деятельности. В последнее время оплата операторов связи за использование радиочастотного ресурса постоянно увеличивается, что сказывается на себестоимости предоставляемых услуг.
Наибольшие резервы для снижения себестоимости содержат внутрихозяйственные факторы . Темп роста заработной платы работников не должен опережать темп роста производительности труда на предприятии, а общепроизводственные расходы должны быть строго обоснованы производственной необходимостью.
Факторы, влияющие на снижение себестоимости услуг связи, можно сгруппировать иным образом:
*развитие и повышение технического уровня производства, улучшение организации производства и труда. Замена устаревшего аналогового оборудования связи на цифровые станции, компьютеризация производственных процессов передачи сообщений значительно улучшают качество связи, снижают расходы на обслуживание оборудования, сокращают трудовые затраты на производство услуг связи;
• изменение объема, структуры оказанных услуг способствует увеличению производительности труда, уменьшает их себестоимость.
Анализ зависимости затраты — объем — прибыль
Важным фактором управления себестоимостью услуг является анализ взаимосвязи себестоимости, объема продаж и прибыли. С его помощью можно ответить на вопрос, привлекать ли небольшое количество абонентов по относительно высокой цене или оказывать услуги по низким тарифам с ориентацией на массового покупателя. При выборе второго варианта необходимо пойти на снижение расходов и себестоимости услуг.
Все расходы делятся на переменные (пропорционально меняющиеся с объемом продукции), полупеременные, полупостоянные (остающиеся постоянными до определенных пределов роста продукции) и постоянные (неизменные в рамках отчетного периода). Все группы расходов в бухгалтерии разделяют на условно-переменные и постоянные. Условно-переменные составляют технологическую себестоимость услуг и учитываются как прямые расходы. Постоянные затраты связаны со способностью администрации хозяйствовать, эффективно управлять производством. К ним относятся коммерческие и административно-управленческие расходы.
Анализ зависимости расходов, объема услуг и прибыли позволяет определить объем производства, необходимый для покрытия как переменных, так и постоянных затрат, найти критическую точку безубыточности производства или порог рентабельности. Формула нахождения критической точки рассчитывается как отношение постоянных затрат к разнице между ценой и переменными затратами на единицу продукции.
Рассмотрим анализ зависимости затраты — объем — прибыль и алгоритм определения точки безубыточности для предприятий сотовой связи. Поскольку операторы постоянно снижают тарифы на предоставляемые услуги, им важно установить такие цены, которые будут превышать переменные затраты. Проведение анализа безубыточности имеет актуальное значение для операторов, которые начинают проигрывать в конкурентной борьбе и теряют долю рынка.
Под критической точкой понимается то количество минут обмена активных коммерческих абонентов, которое при данных тарифах обеспечивает покрытие всех переменных и постоянных затрат оператора. Используя статистические данные о величине обмена одного среднего коммерческого абонента за исследуемый период, можно определить количество активных коммерческих абонентов, которое оператор должен иметь в сети для безубыточности производства.
Для проведения операционного анализа зависимости затраты — объем — прибыль выделяют релевантный уровень и внутри него разделяют все затраты на постоянные и переменные. Релевантный уровень — это уровень объема производства, внутри которого постоянные затраты остаются неизменными, а переменные можно аппроксимировать линейной зависимостью. Постоянные затраты в сумме не меняются при изменении уровня деловой активности, но рассчитанные на единицу продукции уменьшаются при увеличении объема продаж. Переменные затраты, напротив, в сумме меняются прямо пропорционально изменению уровня деловой активности, но рассчитанные на единицу продукции являются постоянными.
Анализ зависимости затраты — объем — прибыль будет корректным, если выполняются следующие условия:
1) постоянные затраты не меняются в течение периода;
2) переменные затраты и выручка от реализации линейно зависят
от уровня производства;
3)цены не меняются в течение периода;
4)структура продукции не меняется;
5)объемы продаж и производства приблизительно равны.
Для предприятий связи выполнение четвертого и пятого условий не вызывает трудностей. Для выполнения третьего условия точку безубыточности необходимо пересчитывать каждый раз при изменении тарифов на услуги связи. Анализ поведения затрат в зависимости от доходов операторов сотовой связи за несколько лет позволил отнести к условно-постоянным затратам только административно-управленческие расходы. Расходы на аренду каналов, платежи другим операторам связи, платежи контролирующим органам, расходы на рекламу растут почти пропорционально полученному доходу от основной деятельности.
Для проведения расчетов используем следующие обозначения:
Д — доход оператора от обмена за период;
Кмин — количество всех минут обмена от коммерческих абонентов;
Vy абон — среднее количество минут обмена одного коммерческого абонента за период;
ПЗ — величина постоянных затрат за период;
ПерЗ — величина переменных затрат за период;
Ц| мин ~ цена одной минуты обмена;
ПерЗ! мйн — переменные затраты на одну минуту обмена.
Необходимое для безубыточности производства критическое количество абонентов (Акрнг ), приносящих доход оператору сотовой связи по тарифам, действующим в течение периода, рассчитаем по формуле
Акрит = [ПЗ : (Ц, мии - ПерЗ, мин )] : V] абон . (5)
Разница между существующим количеством абонентов в сети и критическим количеством для безубыточного производства дает оператору запас прочности по абонентам.
Пример 2. В результате анализа зависимости затрат от изменения объема обмена за полугодие выявлены условно-постоянные затраты в размере 3930 тыс. руб. и переменные — 9646 тыс. руб. При этом количество обмена за полугодие составляет 1543 тыс. минут по всем направлениям, количество активных коммерческих абонентов — 1567, а доход от обмена — 16 653 тыс. руб.
Средняя цена одной минуты за исследуемый период от всех абонентов по всем тарифным планам равна 10,79 руб. (16 653 :1543), а переменные затраты, приходящиеся на одну минуту от всех абонентов по всем тарифным планам, равны 6,25 руб. (9646 : 1543).
Критическое количество абонентов составит 878 {[3930 : (10,79 — 6,25)] : : (1543 : 1567)}, т.е. такое количество активных абонентов должно постоянно разговаривать в сети оператора для обеспечения безубыточности его деятельности.
Разница между существующим количеством абонентов в сети и критическим количеством дает оператору запас прочности по абонентам. В нашем случае этот показатель равен 689 абонентов (1567 — 878).
Сопоставление переменных расходов с получаемыми доходами является основанием для дальнейшей коммерческой деятельности оператора сотовой связи, поэтому руководство предприятия должно стремиться к минимизации переменных издержек.
Анализ величин в критической точке с поправкой на фактор прибыли можно использовать для оценки прибыльности деятельности оператора. Если известны постоянные затраты, средняя цена одной минуты независимо от направления, переменные затраты на одну минуту, а также сумма планируемой прибыли (П), то необходимый объем продаж определяется по формуле
Кш = (ПЗ + П): (Ц, мин - ПерЗ, нин ). (6)
Пример 3. Оператор предоставляет услуги связи корпоративным клиентам.
Общий объем трафика за исследуемый период составил 3 933 828 мин.
Постоянные расходы — 54 ООО дол. США.
Усредненный тариф за 1 мин — 0,068 дол. США.
Переменные расходы на I мин — 0,047 дол. США.
Критический объем пропущенного трафика составил 2 571 429 мин [54 ООО : (0,068 - 0,047)].
Запас прочности составил 1 362 399 мин (3 933 828 - 2 571 429).
Необходимый объем услуг для получения плановой прибыли в размере 38 333 дол. равен 4 396 825 мин [(54 000 + 38 333): (0,068 - 0,047)].
Таким образом, для того чтобы оператор получил запланированную для развития сети прибыль в размере 38 333 дол. Необходимо ежемесячно пропускать трафик в объеме не менее 4397 тыс. мин.



