| Похожие рефераты | Скачать .docx |
Курсовая работа: Оценка деятельности по качеству и конкурентоспособности продукции в ООО "Махаон"
В ведение
Сегодня недостаточно одного понимания потребителей. Наступило время напряженной конкуренции, как на зарубежных рынках, так и на местных. Экономика многих стран все меньше регулируется государством, которое поощряет развитие рыночных процессов. Европейский Союз уничтожает торговые барьеры между европейскими странами, в результате чего многие защищенные от вторжения иностранных компаний рынки становятся нерегулируемыми. Транснациональные корпорации очень настойчиво продвигаются на рынки Юго-Восточной Азии и создают глобальную конкуренцию. В результате у компаний нет другого выбора, как быть «конкурентоспособными». Им следует не меньше внимания уделять анализу своих целевых потребителей. Благодаря новизне предоставляемых услуг и обеспечению превосходного обслуживания, уровню которого не могли соответствовать ее конкуренты, компания является лидером в своей отрасли.
В соответствии с концепцией маркетинга, компании достигают конкурентного преимущества путем разработки предложений, которые удовлетворяют потребителей в большей мере, чем предложения конкурентов. Компании могут предоставлять большую потребительную ценность, предлагая клиентам более низкие, по сравнению с конкурентами, цены на аналогичные товары и услуги или, обеспечивая больше выгод, которые оправдывают более высокие цены.
Таким образом, маркетинговые стратегии должны учитывать не только потребности клиентов, но также и стратегии конкурентов. Первый шаг в этом направлении – анализ конкурентов, т.е. процесс выявления и оценивания основных конкурентных стратегий, которые позволяют компании занять прочные позиции в борьбе с конкурентами и дают наиболее сильное из всех возможных преимуществ перед конкурентами.
Качество продукции в условиях современного производства - важнейшая составляющая эффективности, рентабельности предприятия и поэтому ему необходимо уделять постоянное внимание. Все процессы по обеспечению, проектированию, сохранению качества объединены в систему управления качеством.
Основной задачей каждого предприятия или организации является повышение качества производимой продукции и предоставляемых услуг.
Главная цель работы – исследовать деятельность ООО «Махаон» по повышению качества и конкурентоспособности продукции, выявить основные проблемы функционирования предприятия в данной области и дать рекомендации по управлению обеспечения качества продукции.
Исходя из поставленных целей, можно сформировать задачи:
- исследование теоретических и методологических основ организационного обеспечения качества продукции;
- обоснование комплексного подхода к обеспечению качества товара;
- анализ производственно-хозяйственной деятельности ООО «Махаон»;
- разработка мероприятий по повышению организационного обеспечения качества и конкурентоспособности продукции предприятия.
В качестве исходной информации использовалась учебная, научная, методическая, справочная литература по вопросам управления качеством и конкурентоспособности продукции, инструктивный материал, документы бухгалтерско-финансовой отчетности ООО «Махаон» за последние три года работы организации.
1. Технико-экономическая характеристика ООО «Махаон»
1.1 Характеристика деятельности и организационная структура ООО «Махаон»
Фирма «Махаон» является одним из основных производителей хлебобулочных и кондитерских изделий в России.
Фирма «Махаон» имеет репутацию стабильно работающего, платежеспособного завода. Торговая марка «Махаон» широко известна за пределами республики.
Фирма «Махаон» было основано на базе Йошкар-Олинского хлебозавода № 4, который был введен в действие в 1985 году. Хлебозавод № 4 входил в состав Йошкар-Олинского хлебокомбината и не рассматривался как отдельное предприятие. На заводе действовали 2 производственных цеха: кондитерский и булочный.
Кондитерский цех выпускал 3 вида тортовых изделий: торты «Полянка», «Ильменский» и «Полет», а булочный – 6 видов хлебобулочных изделий. Предприятие было малорентабельным.
В 1990 году на основании приказа Минестерства хлебопродуктов РСФСР № 249 «О реорганизации и переименовании некоторых предприятий объединения «Марийхлебпром» произошло разделение Йошкар-Олинского хлебокомбината на 4 самостоятельных предприятия. Так Йошкар-Олинский хлебозавод № 4 был выделен в самостоятельную структуру.
В таком виде завод просуществовал до 1992 года. Однако с момента вступления в рыночную экономику, связанную с либерализацией цен завод оказался в трудном финансовом положении.
Основные средства – большие неэффективно используемые площади, значительные затраты на тепло и электроэнергию, большая численность работников, маленький ассортимент, незначительный объем выпускаемой продукции – все это привело к тому что себестоимость выпускаемой продукции оказалась намного больше чем у конкурентов. За 1992 год объемы выпуска хлебобулочных изделий сократились на 70%, кондитерских – на 50%, производство стало убыточным.
В этих условиях в коллективе предприятия прошли выборы директора. Им стал, бывший до того времени начальником отдела снабжения, Степанов Алексей Витальевич, который и по сегодняшний день возглавляет предприятие.
Новой дирекцией было принято решение сделать ставку на производство кондитерских изделий: увеличить ассортимент, улучшить дизайн, сделать оригинальную упаковку, разработать торговую марку.
Кроме того было решено сократить ассортимент булочных изделий, добиться лучшего качества, работать над сокращением затрат и создать управленческую команду, которая будет решать эти задачи.
В течении 3 лет эти задачи были решены:
· на 97% поменялась служба управления, была проведена реструктуризация предприятия, созданы служба маркетинга, финансовая, управления персоналом, транспортный отдел.
· Была разработана и зарегистрирована в 1993 году торговая марка «Махаон», создан девиз предприятия «Махаон – праздник в вашем доме», фирменным цветом предприятия стал красный цвет.
За время существования предприятия хлебобулочное производство увеличилось в 3 раза, кондитерское – в 4 раза, производительность труда – в 2,5 раза, численность выросла на 25%.
В 1996 году Йошкар-Олинский хлебозавод № 4 был переименован в Государственное предприятие «Фирма Махаон», а с 1 февраля 2001 года – ООО «Махаон».
В настоящее время торговая марка работает на фирму, ее знают в 450 лучших магазинах во многих регионах России, таких как Татарстан, Чувашия, Нижний Новгород, Самара, Тольятти, Киров, Москва. За 1997 год было отмечено порядка 7 миллионов покупателей продукции ООО «Махаон».
Для успешного продвижения и работы на рынках сбыта, где предприятие контролирует 15%, «Махаон» имеет разветвленную дилерскую сеть в 12 регионах России.
Успешно осуществляется долгосрочное сотрудничество ООО «Махаон» с израильской фирмой «ИНТЕРГАТА ЛТД», результатом которого стало создание конфет «Суфле в шоколаде».
Сегодня ООО «Махаон» это:
· олицетворение стабильности на рынке «дикого» капитализма в России,
· высокорентабельное производство кондитерских и хлебобулочных изделий,
· лидер производства тортовых изделий,
· надежный партнер,
· высококвалифицированный коллектив единомышленников.
Среди многообразия кондитерских изделий бесспорным лидером продаж является торт «Махаон», Только в 1997 году было продано 70 тонн тортов «Махаон», а всего с 1993 года было выпущено свыше 250 тысяч фирменных тортов. Именно торт «Махаон» был признан одним из пяти лучших товаров Республики Марий Эл на региональном этапе в рамках конкурса «100 лучших товаров России», который проходил в июле 1998 года.
Важным этапом в развитии предприятия стал 1998 год. ООО «Махаон» вступает в международную Ассоциацию автоматической идентификации «ЮНИСКАН», занимает первое место на выставке-ярмарке продовольственных товаров «Перспектива-98», становится дипломантом выставки «Будущее России» в г. Нижний Новгород.
На сегодняшний день общая численность работников ООО «Махаон» составляет около 400 человек. Среди них рабочие производственной и непроизводственной сферы, работники торговой сферы, отдела маркетинга, специалисты, административный аппарат и обслуживающий персонал.
Предприятие имеет два производственных цеха: кондитерский и булочный.
Все рабочие кондитерского цеха имеют специальное образование. ¼ часть всех работников кондитерского цеха имеет высокие разряды – 6 и 5, такая квалификация свидетельствует о высоком мастерстве специалистов; ¼ - кондитеры 4 разряда и ½ - кондитеры 3 и 2 разрядов. Численность составляет 25% от общего числа работающих на предприятии.
Сейчас кондитерский цех выпускает до 3 тонн продукции ежесуточно (для сравнения в 1992 году – 200 кг в сутки). Ассортимент насчитывает свыше 50 наименований тортов и пирожных и постоянно обновляется.
Рабочие булочного цеха, в основном, имеют специальное образование, но кроме этого в цехе трудятся бывшие рабочие промышленных предприятий. Численность составляет 27% от общего числа работающих на предприятии.
4 линии по производству хлебобулочных изделий выпускают свыше 25 тонн в сутки (для сравнения в 1993 году – до 7 тонн). Ассортимент хлебобулочных изделий насчитывает 15 наименований.
ООО «Махаон» занимает второе место в республике по выпуску хлебобулочных изделий.
Одним из направлений деятельности предприятия является фирменная торговля. На сегодняшний день торговая сеть «Махаон» насчитывает 20 торговых точек, в том числе 8 магазинов (из них 3 магазина в поселке Параньга Параньгинского района Республики Марий Эл).
Йошкаролинцев всегда ждут в магазинах:
· «Махаон-1» – ул. Машиностроителей, 128
· «Махаон-2» – Центральный рынок, ул. Первомайская
· «Махаон-3» – Дом быта, ул. Красноармейская, 43
· «Махаон-4» – ул. Хасанова, 6
· «Махаон-5» – ул. Советская, 161
Продавцы фирменных магазинов «Махаон» имеют высшее образование, что является залогом культурного обслуживания покупателей, продавцы стационарных киосков, торгующих хлебобулочными изделиями, производимыми предприятием, имеют опыт работы в торговле. Численность работников торговой сети «Махаон» составляет 20% от общего числа работающих.
ООО «Махаон» имеет свой автопарк, насчитывающий 20 автомобилей, водители транспортного отдела, в основном имеют 1 или 2 класс и опыт работы по специальности, что так необходимо при перевозке столь хрупкого груза как торты.
Успешно трудятся на благо общего дела работники энергомеханического отдела, экспедиции кондитерского и булочного цехов, отдела охраны и прочие.
Специалисты, работающие на предприятии, имеют высшее образование по своей специальности, прошли курсы повышения квалификации, владеют компьютерной грамотой.
Сотрудники административного аппарата имеют высшее образование, из них 50% второе высшее образование, и опыт работы на руководящих должностях не менее 3 лет.
Высшие руководители предприятия окончили Высшую школу международного бизнеса Академии народного хозяйства при Правительстве Российской Федерации.
ООО «Махаон» неустанно занимается оказанием благотворительной и спонсорской помощи.
Долговременные связи налажены с Козьмодемьянским художественно-историческим музеем, Республиканским театром кукол, русским драматическим театром им. Г. Константинова. Тесно сотрудничает предприятие с филармонией, Общественным Фондом поддержки Государственной программы Президента Республики Марий Эл по культуре, Савинским детским домом.
Достаточно часто торт от «Махаона» – сладкий приз спортивных и детских мероприятий.
ООО «Махаон» существует три года. Предприятие находится в стадии интенсивного развития, от этого зависит, насколько успешно будет работать предприятие, выживет ли оно в условиях жесточайшей конкуренции, сложившейся на рынках сбыта.
На протяжении всех лет существования вырабатывалась организационная культура фирмы. Сейчас это стройная система, определяющая цели и приоритеты фирмы, кодекс поведения и рекомендации по стилю одежды сотрудников.
Все постулаты организационной культуры предприятия основаны на тенденциях развития новой России: сильной державы с высокоразвитой промышленной сферой.
Остановимся на нескольких ее постулатах.
Миссия ООО «Махаон» заключается в следующем:
· обеспечить каждого потребителя качественной продукцией;
· обеспечить каждого работника предприятия справедливым вознаграждением по результатам труда;
· стать лучшим производителем кондитерских изделий в России;
· стать визитной карточкой Республики Марий Эл.
Цели ООО «Махаон» являются долгосрочными:
· увеличение прибыльности по каждому виду выпускаемой продукции;
· выпуск высококачественной рентабельной продукции;
· создание коллектива единомышленников с лучшими традициями.
Для того, чтобы предприятие стабильно и прибыльно работало в дальнейшем, нельзя останавливаться на достигнутом, необходимо постоянно совершенствоваться во всех направлениях.
В области технологии производства работа ведется в следующих направлениях:
· использование новых полуфабрикатов и добавок, увеличивающих срок хранения кондитерской продукции;
· освоение новых технологий в булочном цехе: выпуск формового хлеба на густых заквасках, производство изделий по технологии австрийской фирмы «SCHALLER».
Основными направлениями деятельности ООО «Махаон» являются:
- производство и реализация хлеба, хлебобулочных и кондитерских изделий;
- коммерческая, торгово-закупочная, посредническая деятельность по реализации товаров народного потребления, услуг, недвижимости, ценных бумаг и интеллектуальной собственности различных видов;
- осуществление иных видов хозяйственной и коммерческой деятельности, не запрещенных действующим законодательством и не противоречащим предмету и основным задачам деятельности организации.
Местонахождение предприятия:
424013, Республика Марий Эл, г. Йошкар-Ола, ул. Машиностроителей, д. 150.
Уставной фонд предприятия на момент Государственной регистрации составил 3720206 рублей. Изъятие или отчуждение имущества производится Правительством Республики Марий Эл или Госкомимуществом Республики.
Предприятие является юридическим лицом, имеет в хозяйственном владении обособленное имущество, учитываемое на его самостоятельном балансе отвечает по своим обязательствам этим имуществом, может от своего имени приобретать и осуществлять имущественные и личные неимущественные права, нести обязанности.
Предприятие самостоятельно планирует свою хозяйственную деятельность и определяет перспективы развития, исходя из спроса на работы и услуги и необходимости обеспечения производственного и социального развития предприятия. Предприятие реализует продукцию и услуги по ценам и тарифам, установленным самостоятельно или на договорной основе, а в случаях, предусмотренных законодательством РФ и Республики Марий Эл, по государственным ценам и тарифам. Источником формирования финансовых ресурсов предприятия является прибыль, амортизационные отчисления, кредиты, а также другие поступления, не противоречащие закону.
Прибыль после уплаты налогов, других обязательных платежей поступает в распоряжение предприятия.
Вся сумма амортизационных отчислений на полное восстановление направляется в фонд производственного и социального развития предприятия. Средства фондов производственного и социального развития направляются на реконструкцию и техническое перевооружение действующих объектов, финансирования других производственных затрат.
Предприятие обязано вести бухгалтерский учет и предоставлять финансовую отчетность в порядке, установленном Законодательством РФ. Предприятие обеспечивает учет и сохранность документов по личному составу, а также своевременную их передачу на государственное хранение в установленном порядке при реорганизации или ликвидации предприятия.
В состав ООО «Махаон» входят:
- булочный цех;
- бараночный цех;
- сахаристый цех;
- тортовый цех;
- пряничный цех;
- механизированные пекарни №1, 2, 3;
- кондитерский цех.
Большое значение для хозяйственного руководства имеет установление рациональной производственной структуры предприятия.
Организационная структура управления предприятием отражает состав и подчиненность линейных и функциональных звеньев управления, на ООО «Махаон» структура управления имеет линейно-функциональный вид.
При данном типе организационной структуры предприятия (линейно-функциональная) линейному руководителю, который подчиняется непосредственно директору, в разработке конкретных вопросов и подготовке соответствующих решений, программ и планов помогает специальный аппарат управления, состоящий из функциональных подразделений (отделов, групп). Такие подразделения проводят свои решения либо через высшего руководителя, либо прямо доводят их до специализированных служб или отдельных исполнителей на нижестоящем уровне. Функциональные подразделения не имеют права самостоятельно отдавать распоряжения производственным подразделениям.
Управление предприятием осуществляется директором на основе единоначалия. Структура управления имеет линейно-функциональный вид. Директору подчинены все нижестоящие руководители. Создана единая вертикальная линия руководства и прямой путь активного воздействия на подчиненных. Преимущество такой структуры управления заключается в простоте, надежности и экономичности. Руководитель в данном случае должен охватывать все стороны деятельности предприятия.
Функциональные подразделения осуществляют всю техническую подготовку производства, подготавливают варианты решения вопросов, связанных с руководством процессами производства, освобождают линейных руководителей от планирования финансовых расчетов, материально-технического обеспечения производства и других вопросов.
Управление предприятием осуществляется в соответствии с законодательством РФ и Уставом.
Директору подчинены все нижестоящие руководители. Создана единая вертикальная линия руководства и прямой путь активного воздействия на подчиненных. Преимущество такой структуры управления заключается в простоте, надежности и экономичности. Руководитель в данном случае должен охватывать все стороны деятельности предприятия.
В области структурных изменений предполагается: сокращение высшего звена управления и приведение функционального деления к 3 модулям: маркетинг; финансы; производство, техника и снабжение.
Основной задачей на 2002 год остается задача закрепления и расширения доли ООО «Махаон» на региональных рынках кондитерской продукции.
Главными приоритетами ООО «Махаон» остаются: люди, высококачественная продукция и получение прибыли.
1.2 Анализ объема производства и реализации продукции предприятия
Ассортимент вырабатываемой продукции ООО «Махаон» широк и разнообразен, насчитывает до 180 наименований. Это хлеб, булочные изделия, кондитерские изделия, бараночные, пряничные, конфеты в ассортименте, неженка, мармелад, рулеты, торты, пирожные, восточные сладости мучнистые и типа вязких конфет.
Начало 2000 г. проходило для фирмы под знаком жесткой конкуренции внутри города и республики со стороны аналогичных предприятий (в частности ГУП «Марийский хлеб», «Сувенир»), производящих однотипную продукцию. Это привело к снижению объемов валовой выручки за реализованную продукцию по сравнению с 1999 г. К тому же предприятие имеет большие объемы просроченной дебиторской задолженности, что негативно сказывается на наличии собственных оборотных средств. Во второй половине 2000 г. положение несколько улучшилось. Крупные объемы стали реализовывать в Нижегородской области, в Москве, где покупатели рассчитываются своевременно; часть продукции реализуется по обмену на сырье. Все цеха, кроме тортового, перешли на двухсменную работу.
Если рассматривать основную часть рынка сбыта, на которой действует ООО «Махаон», то конкурентами являются предприятия, выпускающие сходную продукцию (хлеб, хлебобулочные и кондитерские изделия). Это хлебозаводы №№ 1, 3 (государственное предприятие фирма «Сувенир»), 4 (фирма «Марийский хлеб») и частные хлебопекарни. Но, учитывая, что хлебозавод №1 находится на реконструкции, а частные хлебопекарни выпускают около 20% от общего объема продукции на рынке, то основными конкурентами остаются фирмы «Сувенир» и «Марийский хлеб». Данные предприятия предлагают также широкий ассортимент хлеба, сдобных булок и батонов, тортов и пирожных, имеют собственные торговые точки. Внедрение прогрессивных технологических схем, предусматривающих интенсификацию приготовления теста, сокращения потерь сырья, уменьшения отходов, полученных в процессе производства и улучшение качества изделий являются гарантом выживаемости фирм на рынке. В целях завоевания рынка фирмы выбрали неценовую конкуренцию (выделение товаров посредством качества, продвижения, упаковки, поставки, сервиса и других маркетинговых факторов)
Анализ объема производства ООО «Махаон» по показателям реализованной и товарной продукции приведен в табл. 1.1.
Таблица 1.1. Динамика объема производства ООО «Махаон»
| Год |
Реализация / Товарная продукция в сопоставимых ценах 2000 г., тыс. р. |
Темпы роста товарной продукции, % |
|
| базисные |
цепные |
||
| 2000 |
59894 / 60523 |
100 |
100 |
| 2001 |
72503/73086 |
120,8 |
120,8 |
| 2002 |
89851/90586 |
149,7 |
123,9 |
Наблюдаем постоянное увеличение объемов как реализованной, так и товарной продукции предприятия, в целом, за 2000-2001 года товарная продукция предприятия возросла на 49,7%.
Анализ показателей производства в натуральных единицах измерения приведен в табл. 1.2.
Таблица 1.2. Динамика объемов производства по видам продукции за 2000-2002 гг. (тонн)
Видпродукции |
Объем производства |
Изменение (+, -) |
Темп роста, % |
||||
| 2000 г. |
2001 г. |
2002 г. |
2001 г. к 2000 г. |
2002 г. к 2001 г. |
2001 г. к 2000 г. |
2002 г. к 2001 г. |
|
| 1. Хлебобулочные изделия 2. Кондитерские изделия 3. Макаронные изделия 4. Тортовые изделия |
3580 789 371 84 |
3808 997 473 109 |
3199 1387 521 101 |
228 208 102 25 |
-609 390 48 -8 |
106 126 127 130 |
84 139 110 93 |
Итак, объем производства рассматриваемого предприятия по всем видам продукции возрос по сравнению с базисным 2000 годом, кроме хлебобулочных изделий.
Производство хлебобулочных изделий увеличилось в 2001 году на 6% по сравнению с 2000 годом, что в натуральном выражении составляет 228 тонн. В 2002 году производство данного вида изделия упало на 16% по сравнению с предыдущим годом.
Объем производства кондитерских и макаронных изделий вырос на протяжении всего рассматриваемого периода (соответственно на 76% и 40%). Выпуск тортовых изделий вырос в 2001 году на 30% (25 тонн) по сравнению с 2000 годом, в 2002 году незначительно уменьшился по сравнению с прошлым 2001 годом.
Реализация хлебобулочной продукции в ООО «Махаон» осуществляется самостоятельно, через единую сбытовую сеть, на основе связей с заготовительными, транспортными организациями и прочими посредническими структурами. Наиболее выгодными каналами сбыта продукции на рассматриваемом предприятии являются одноуровневые посредством фирменной торговли и торговли на рынке.
Наибольшая реализация на предприятии приходится на нулевой канал сбыта. Но за 2000-2002 гг. его удельный вес снизился с 48,2% до 40,4%. Доля же двухуровневого канала сбыта, наоборот, значительно увеличилась (с 23,5% до 39,6%). Это значит, что с каждым годом возрастает активность частных предпринимателей, которые являются посредниками по реализации. Сбыт через магазины и выездную торговлю возрос с 20,3% до 28,0%.
Предприятие имеет собственные торговые точки по продаже горячего хлеба и других сдобных изделий как в г. Йошкар-Ола, так и в районах центрах республики. Хорошо организованная торговая сеть помогает лучшему сбыту своей продукции с наилучшими его качествами, всегда свежий хлеб привлекает потребительский спрос, тем быстрее для предприятия оборачиваемость оборотных средств.
ООО «Махаон» является крупным поставщиком хлебобулочных изделий. Предприятие поставляет продукцию, кроме столичных магазинов, в Суслонгер, Красный Мост, Озерки, Килемары и другие дальние населенные пункты Республики Марий Эл. Завод также обеспечивает своей продукцией около 20 бюджетных организаций республики Марий Эл (дома-интернаты, детские дошкольные учреждения, школы, больницы и др.). Поскольку тортовые изделия, кроме ООО «Махаон», вырабатывают фирмы «Диана и К» и «Сувенир», предприятие крупные партии тортов поставляет на торговые предприятия Москвы, Самары, Нижнего Новгорода и многих других городов.

Рис. 1.3. Каналы реализации продукции ООО «Махаон» за 2002 год
Объем реализации в пределах Республики Марий Эл снижается, это произошло за счет увеличения объемов поставок за пределы республики и расширения основного круга потребителей. Значительную долю в реализации занимают такие регионы, как Татарстан, Чувашия, Москва, а в 2002 г. ещё и Башкирия и Рязанская область. То есть предприятию РООО «Махаон» следует ориентироваться на потребителей республики Марий Эл (особенно г.Йошкар-Олы) и вышеназванных регионов.
1.3 Анализ финансового состояния предприятия
Изменения в деятельности предприятия за 3 года можно охарактеризовать следующими показателями (табл. 1.3).
Таблица 1.3. Финансово-экономические показатели предприятия
| Наименование показателей |
2000 г. |
2001 г. |
2002 г. |
Темп роста, % |
|
| 2001 г. к 2000 г. |
2002 г. к 2001 г. |
||||
| 1. Выручка от реализации продукции, тыс. р. |
59894 |
83378 |
115728 |
139,2 |
138,8 |
| 2. Полная себестоимость реализованной продукции, тыс. р. |
54049 |
75401 |
102130 |
139,5 |
135,4 |
| 3. Уровень затрат на 1 р. реализуемой продукции, коп. |
90,2 |
90,4 |
88,3 |
100,2 |
97,7 |
| 4. Рентабельность продаж, % |
8,1 |
1,7 |
3,3 |
21,0 |
194,1 |
| 5. Рентабельность имущества, % |
33,6 |
3,4 |
11,4 |
10,1 |
в 3,3 раза |
| 6. Численность работников, чел. из них - промышленно-производственный персонал |
423 359 |
439 374 |
540 474 |
103,8 104,2 |
123,0 126,7 |
| 7. Выработка продукции на одного работника, тыс. р./чел. |
25,62 |
20,34 |
14,26 |
79,4 |
70,1 |
| 8. Фондоотдача основных производственных фондов, р./р. |
1,46 |
0,97 |
0,78 |
66,4 |
80,4 |
| 9. Фондоемкость, р./р. |
0,68 |
1,03 |
1,28 |
151,5 |
124,3 |
Положительным моментом в деятельности предприятия является снижение затрат на 1 рубль реализуемой продукции, что является следствием увеличения объемов продаж за 2000-2002 гг..
Данные таблицы свидетельствуют, что на протяжении рассматриваемого периода произошло увеличение общей численности работников ООО «Махаон» на 117 чел. или на 27,7%.
Выработка на одного работающего в сопоставимых ценах в 2002 году снизилась на 11,36 тыс. р. от уровня 2000 года. Данное уменьшение обусловлено большим темпом изменения выпуска промышленной продукции по сравнению с увеличением среднегодовой численности работников. Такое сокращение обусловлено большим темпом изменения среднегодовой численности работников.
Показатель фондоотдачи основных средств, характеризующий реализацию продукции на единицу стоимости основных средств, в 2000-2002 годах снизился на 46,6%, а фондоемкость возросла, что свидетельствует об ухудшении использования средств труда предприятия.
Из приведенных в таблице данных видно, что в 2001 год деятельность предприятия ООО «Махаон» являлась менее эффективной, чем в 2000 и 2002 гг.
Рентабельность продаж уменьшилась за 2000-2002 гг. на 4,8%. Тенденция связана с тем, что каждый год выручка от реализации растет за счет увеличения цен, а реальная сумма прибыли на предприятии снижается.
Рентабельность имущества также уменьшилась за 2000-2002 гг. почти в 3 раза вследствие роста активов предприятия и снижения суммы прибыли.
Рост показателей рентабельности за счет снижения себестоимости продукции, полного и рационального использования производственных фондов, рабочей силы и увеличения количества и качества реализуемой продукции - основной фактор повышения рентабельности производства, эффективности работы предприятий.
Рассматривая производственную деятельность ООО «Махаон», ее можно расценивать как положительную.
Главная цель финансового анализа - своевременно выявлять и устранять недостатки в финансовой деятельности и находить резервы улучшения финансового состояния предприятия и его платежеспособности.
Сравнительный аналитический баланс можно получить из исходного баланса путём сложения однородных по своему составу и экономическому содержанию статей баланса и дополнения его показателями структуры, динамики и структурной динамики. Аналитический баланс охватывает много важных показателей, характеризующих статику и динамику финансового состояния организации. Этот баланс включает показатели как горизонтального, так и вертикального анализа.
Структурное представление уплотненного баланса-нетто ООО «Махаон» за 2000-2002 гг. представлено в таблице 1.4.
Горизонтальный анализ баланса говорит об увеличении стоимости имущества предприятия на 7195 тыс. р. в 2001 году и на 2786 тыс. р. в 2002 году. Всего за рассматриваемый период хозяйственные средства предприятия возросли на 77%.
В активе баланса произошло увеличение, как внеоборотных (на 1939 тыс. р. в 2001 году и на 2534 тыс. р. в 2002 году), так и оборотных активов (на 5256 тыс. р. в 2001 году и на 252 тыс. р. в 2002 году). В пассиве баланса произошло снижение собственного капитала (на 1326 тыс. р.) и увеличение заемного (на 11307 тыс. р. или в 2,4 раза), что говорит об уменьшении финансовой независимости предприятия за отчетный период.
Прирост оборотных активов произошел за счет увеличения производственных запасов (на 464 тыс. р. в 2001 году и на 2689 тыс. р. в 2002 году), дебиторской задолженности (на 3395 тыс. р. в 2001 году) и денежных средств (на 220 тыс. р. в 2001 году). При этом наблюдаем снижение дебиторской задолженности в 2002 году на 2016 тыс. р., что является положительным моментом в работе организации.
Как видно из табл. 1.4, возрастание стоимости имущества предприятия за 2000-2002 гг. обусловлено главным образом увеличением заемных средств. Уменьшение собственных средств произошло за счет снижения суммы нераспределенной прибыли прошлых лет.
Таблица 1.4. Горизонтальный и вертикальный анализ уплотненного баланса-нетто, тыс.р.
| Показатели |
Горизонтальный анализ |
Вертикальный анализ |
||||||||
| Тыс. р. |
Отклонение (+,-) |
% |
Отклонение (+,-) |
|||||||
| 2000 г. |
2001 г. |
2002 г. |
2001 г. к 2000 г. |
2002 г. к 2001 г. |
2000 г. |
2001 г. |
2002 г. |
2001 г. к 2000 г. |
2002 г. к 2001 г. |
|
| АКТИВ |
||||||||||
| 1.1 внеоборотные активы |
6159 |
8098 |
10632 |
+1939 |
+2534 |
47,5 |
40,2 |
43,6 |
-7,3 |
+3,4 |
| 1.2 оборотные активы |
6811 |
12067 |
12319 |
+5256 |
+252 |
52,5 |
59,8 |
53,7 |
+7,3 |
-3,4 |
| 1.2.1 запасы и затраты |
2489 |
4221 |
6910 |
+464 |
+2689 |
19,2 |
20,9 |
30,1 |
+1,7 |
+9,2 |
| 1.2.2 дебиторская задолженность |
3757 |
7152 |
5136 |
+3395 |
-2016 |
29,0 |
35,5 |
22,4 |
+6,5 |
-13,1 |
| 1.2.3 денежные средства |
383 |
603 |
273 |
+220 |
-330 |
3,0 |
3,0 |
1,2 |
- |
-1,8 |
| 1.2.4. прочие активы |
182 |
91 |
- |
-91 |
-91 |
1,3 |
0,4 |
- |
-0,9 |
-0,4 |
| ПАССИВ |
||||||||||
| 1.1 собственный капитал |
4647 |
3365 |
3321 |
-1282 |
-44 |
35,8 |
16,7 |
14,5 |
-19,1 |
-2,2 |
| 1.2 заемный капитал |
8323 |
16800 |
19630 |
+8477 |
+2830 |
64,2 |
83,3 |
85,5 |
+19,1 |
+2,2 |
| 1.2.1 долгосрочные обязательства |
- |
- |
- |
- |
- |
- |
- |
- |
- |
- |
| 1.2.2 краткосрочные кредиты и займы |
1783 |
2886 |
3969 |
+1103 |
+1083 |
13,7 |
14,3 |
17,3 |
+0,6 |
+3,0 |
| 1.2.3 кредиторская задолженность |
6540 |
13914 |
15661 |
+7374 |
+1747 |
50,5 |
69,0 |
68,2 |
+18,5 |
-0,8 |
| БАЛАНС |
12970 |
20165 |
22951 |
+7195 |
+2786 |
100,0 |
100,0 |
100,0 |
- |
- |
Вертикальный анализ баланса в сравнении 2002 год с 2000 годом, говорит о том, что в структуре актива произошли следующие изменения.
Доля внеоборотных активов снизилась в 2001 году на 7,3% за счет увеличения оборотных активов, в 2002 году наблюдаем ее рост на 3,4% за счет возрастания стоимости основных средств.
В структуре оборотных активов произошло увеличение дебиторской задолженности на 6,5% в 2001 году и ее уменьшение на 13,1% в 2002 году, это может оказать положительное влияние на финансовое состояние предприятия.
Доля денежных средств в 2002 году сократилась на 1,8%.
В структуре пассива резко уменьшилась доля собственного капитала на 19,1% в 2001 году и 2,2% в 2002 году, соответственно на столько же увеличилась доля заемного.
В структуре заемного капитала большой удельный вес приходится на кредиторскую задолженность, доля которой увеличилась на 18,5% на конец 2001 года и уменьшилась на 0,8% на конец 2002 года.
В процессе анализа необходимо изучить состав балансовой прибыли ООО «Махаон», ее структуру и динамику (табл. 1.5 и 1.6).
Исходя из полученных данных можно сделать вывод, что доля затрат в общем объеме реализуемой продукции увеличилась в 2001 году на 0,2%. Как следствие этого, прибыль от реализации в 2001 году составила лишь 30% от прибыли полученной в 2000 году. Также на снижение балансовой прибыли в 2001 году повлияло отрицательное сальдо от внереализационной деятельности, которое составило 884 тыс. р. убытка, против 642 тыс. р. убытка по данным базисного периода.
В итоге балансовая прибыль за 2001 год составила 13,5% от балансовой прибыли, полученной предприятием в 2000 году, а сумма чистой прибыли снизилась почти в 10 раз по сравнению с 2000 годом.
Таблица 1.5. Анализ уровня и динамики показателей финансовых результатов деятельности предприятия за 2000 – 2001 гг. (тыс. р.)
| Показатель |
2000 г. |
% к итого |
2001 г. |
% к итого |
% к базисному значению |
| 1. Выручка от реализации продукции (работ, услуг) без налога на добавленную стоимость и акцизов 2. Затраты на производство реализованной продукции (работ, услуг) 3. Прибыль от реализации продукции (работ, услуг) 4. Результат от прочей реализации 5. Сальдо доходов и расходов от внереализационной деятельности 6. Балансовая прибыль 7. Чистая прибыль, остающаяся в распоряжении предприятия |
59894 54049 4835 - -642 4193 807 |
100 90,2 8,1 - 1,1 7,0 1,3 |
83378 75401 1451 - -884 567 82 |
100 90,4 1,7 - 1,1 0,7 0,1 |
139,2 139,5 30,0 - 137,7 13,5 10,2 |
Таблица 1.6. Анализ уровня и динамики показателей финансовых результатов деятельности предприятия за 2001 – 2002 гг. (тыс. р.)
| Показатель |
2001 г. |
% к итогу |
2002 г. |
% к итогу |
% к базисному значению |
| 1. Выручка от реализации продукции (работ, услуг) 2. Затраты на производство реализованной продукции, работ 3. Прибыль от реализации продукции (работ, услуг) 4. Результат от прочей реализации 5. Сальдо доходов и расходов от внереализационной деятельности 6. Балансовая прибыль 7. Чистая прибыль, остающаяся в распоряжении предприятия |
83378 75401 1451 - -884 567 82 |
100 90,4 1,7 - 1,1 0,7 0,1 |
115728 102130 3796 -192 -268 2465 76 |
100 88,3 3,3 0,2 0,2 2,1 0,1 |
138,8 135,4 в 2,6 раза - 30,3 в 4,3 раза 92,7 |
Проанализировав данные табл. 1.6 можно заметить, что несмотря на рост общего объема реализуемой продукции на 38,8% от величины реализованной продукции 2001 года, прибыль от реализации возросла в 2,6 раза по сравнению с объемом прибыли от реализации в 2001 году, что связано со снижением доли затрат в общем объеме реализации на 2,1% (происходит уменьшение доли затрат). Несмотря на возникновение отрицательного результата от прочей реализации (192 тыс. р. убытка), отрицательное сальдо внереализационной деятельности сократилось на 616 тыс. р., в связи с чем сумма балансовой прибыли, полученная предприятием возросла в 4,3 раза от суммы балансовой прибыли 2001 года или увеличилась на 1898 тыс. р. Но значение чистой прибыли составило всего 92,7% по сравнению с 2001 годом, что связано с большими суммами обязательных платежей.
Наглядно динамика показателей финансовых результатов деятельности предприятия 2000 – 2002 гг. представлена на рис. 1.1.

![]()
Рис. 1.1 Динамика показателей прибыли ООО «Махаон» за 2000-2002 гг.
Как уже отмечалось, наблюдаемая тенденция на предприятии связана с сокращением доли затрат в общем объеме реализации и снижением эффективности от прочей реализации. Также сокращается доля чистой прибыли в общей выручке предприятия. В 2000 году она составила 1,3%, а в 2002 году лишь 0,1% от выручки предприятия.
В общем же можно сделать вывод о том, что за анализируемый период (2000 – 2002 годы) на предприятии наблюдается увеличение объема выручки от реализации продукции – его рост составил 93,2%, вызванный увеличением цен на производимую продукцию. Вместе с тем происходит также увеличение затрат на производство продукции на 89%, что меньше темпов роста объема реализации и связано с эффективной политикой предприятия по сокращению издержек производства. При этом следует отметить, что доля затрат в составе выручки от реализации понизилась с 90,2% до 88,3%. Это сказалось на изменении объема прибыли от реализации, которая в 2002 году увеличилась более чем на 160% по сравнению с 2001 годом. Как следствие, растет балансовая прибыль и чистая прибыль предприятия.
Спад балансовой прибыли по сравнению с базисным периодом составил 41,2%, чистой прибыли от реализации – 90,6%. Резко сократилась доля чистой прибыли в составе выручки от реализации. Анализ позволяет предположить, что если не будут приняты меры по изменению ситуации, негативные тенденции снижения прибыли будут продолжаться.
2. Методология организационного обеспечения качества продукции
2.1 Комплексный подход к обеспечению качества и конкурентоспособности продукции предприятия
Проблема качества и конкурентоспособности продукции носит в современном мире универсальный характер. От того, насколько успешно она решается, зависит многое в экономической и социальной жизни любой страны, практически любого потребителя.
Конкурентоспособность и качество, – концентрированное выражение всей совокупности возможностей страны, любого производителя создавать, выпускать и сбывать товары и услуги.
Качество – синтетический показатель, отражающий совокупное проявление многих факторов – от динамики и уровня развития национальной экономики и до умения организовать и управлять процессом формирования качества в рамках любой хозяйственной единицы. Вместе с тем мировой опыт показывает, что именно в условиях открытой рыночной экономики, немыслимо без острой конкуренции, проявляются факторы, которые делают качество условием выживания товаропроизводителей, мерилом результативности их хозяйственной деятельности, экономического благополучия страны.
Фактор конкуренции носит принудительный характер, заставляя производителей под угрозой вытеснения с рынка непрестанно заниматься системой качества и в целом конкурентоспособностью своих товаров, а рынок объективно и строго оценивает результаты их деятельности.
В условиях развитого конкурентного рынка маркетинг становится эффективным средством решения проблемы качества и конкурентоспособности товаров, испытывая, в свою очередь, их обратное воздействие, которое расширяет либо снижает его возможности.
Конкурентоспособность товара – решающий фактор его коммерческого успеха на развитом конкурентном рынке. Это многоаспектное понятие, означающее соответствие товара условиям рынка, конкретным требованиям потребителей не только по своим качественным, техническим, экономическим, эстетическим характеристикам, но и по коммерческим и иным условиям его реализации (цена, сроки поставки, каналы сбыта, сервис, реклама). Более того, важной составной частью конкурентоспособности товара является уровень затрат потребителя за время его эксплуатации.
Любой товар, находящийся на рынке, фактически проходит там проверку на степень удовлетворения общественных потребностей: каждый покупатель приобретает тот товар, который максимально удовлетворяет его личные потребности, а вся совокупность покупателей – тот товар, который наиболее полно соответствует общественным потребностям, нежели конкурирующие с ним товары. Поэтому конкурентоспособность (то есть возможность коммерчески выгодного сбыта на конкурентном рынке) товара можно определить, только сравнивая товары конкурентов между собой. Иными словами, конкурентоспособность – понятие относительное, четко привязанное к конкретному рынку и времени продажи. И поскольку у каждого покупателя имеется свой индивидуальный критерий оценки удовлетворения собственных потребностей, конкурентоспособность приобретает еще и индивидуальный оттенок.
Чтобы удовлетворить свою потребность, покупателю недостаточно приобрести товар. Если это технически достаточно сложное изделие, то покупателю придется нести расходы по эксплуатации (платить за топливо, смазочное масло, ремонт), оплачивать (если это товар производственного назначения) труд обслуживающего персонала, тратить деньги на его обучение, страхование и т.д. Таким образом, затраты покупателя состоят из двух частей: расходов на покупку (цена товара) и расходов, связанных с потреблением, называемых ценой потребления. Цена потребления обычно значительно выше продажной цены, поэтому наиболее конкурентоспособен не тот товар, который предлагают по минимальной цене на рынке, а тот, у которого минимальная цена потребления за весь срок его службы у потребителя.
Однако этот экономический показатель при всей его важности не исчерпывает полностью понятия конкурентоспособности. Число параметров конкурентоспособности зависит от вида и сортности изделия технического и эксплуатационного отношениях, а также от требований точности оценки, целей исследования и других внешних факторов.
Конкурентоспособность определяется только теми свойствами, которые представляют взаимный интерес для покупателя (и гарантируют удовлетворение данной потребности). Все характеристики изделия, выходящие за рамки этих интересов, рассматриваются при оценке конкурентоспособности как не имеющие к ней отношения в данных конкретных условиях.
Превышение норм, стандартов и правил не только не улучшает конкурентоспособность изделия, но, напротив, нередко снижает ее, поскольку ведет к росту цены, не увеличивая с точки зрения покупателя потребительской ценности, в силу чего представляется ему бесполезной.
Изучение конкурентоспособности товара должно вестись непрерывно и систематически (рис. 2.1), в тесной привязке к фазам его жизненного цикла, чтобы своевременно улавливать момент начала снижения показателя конкурентоспособности и принять соответствующие решения (например, снять изделие с производства, модернизировать его, перевести на другой сектор рынка.) При этом исходят из того, что выпуск предприятием нового продукта, прежде чем старый исчерпал возможности поддержания своей конкурентоспособности обычно экономически нецелесообразен.
Вместе с тем любой товар после выхода на рынок начинает постепенно расходовать свой потенциал конкурентоспособности. Такой процесс можно замедлить и даже временно задержать. Но остановить – не возможно. Поэтому новые изделия проектируются по графику. Обеспечивающему ему выход на рынок к моменту значительной потери конкурентоспособности прежним изделием. Иначе говоря, конкурентоспособность новых товаров должна быть опережающей и достаточно долговременной.
![]() |
|||
|
|||
Особое внимание уделяется не столько улучшению технических параметров изделия, сколько снижению цены его потребления. Как свидетельствует мировая практика. Именно этот параметр зачастую становился решающим, хотя новый товар продавался по существенно более высокой цене. В практической деятельности и в практических изысканиях нередко ставится знак равенства между качеством и конкурентоспособностью либо вообще не делается различий между ними.
Потребителя интересует не природа продукта труда как такового, ему важно то, что продукт, становящийся товаром, обладает нужными свойствами, которые являются объектом потребления. Предметом потребления могут быть продукты, разные по способу потребления, конструкции, назначению. Один и тот же продукт может обладать множеством различных свойств и быть пригодным для разных способов использования. В свою очередь, совокупность свойств, присущих отдельному продукту, выделяет его из множества аналогичных предметов и поэтому с экономичной точки зрения качество товара – характеристика его способностей удовлетворять ту или иную потребность. Сам предмет потребления представляет собой не что иное, как совокупность полезных свойств продукта труда. И только совокупность определенных свойств делает продукт предметом потребления. При наличии строго определенной конкретной потребности каждый предмет потребления, кроме способности ее удовлетворять, характеризуется еще и тем, насколько полно он это делает, т.е. степенью полезности.
Конкурентоспособность товара определяется, в отличие от качества, совокупность только тех конкретных свойств, которые представляют несомненный интерес для данного покупателя и обеспечивают удовлетворение данной потребности, а прочие характеристики во внимание не принимаются. Более того, в силу указанного, товар с более высоким уровнем качества может быть менее конкурентоспособен, если значительно повысилась его стоимость за счет придания товару новых свойств, не представляющих существенного интереса для основной группы его покупателей.
Отметим одно принципиальное различие между качеством и конкурентоспособностью товара. Конкурентоспособность товара – важная рыночная категория, отражающая одну из существенных характеристик рынка – его конкурентность. Качество – категория, присущая не только рыночной экономике. Конкурентоспособность товара носит более динамичный и изменчивый характер. При неизменности качественных характеристик товара его конкурентоспособность может меняться в довольно широких пределах, реагируя на изменения конъюнктуры, действия конкурентов-производителей и конкурирующих товаров, колебания цен, на воздействия рекламы и на проявления других внешних по отношению к данному товару факторов.
Понятие «конкурентоспособность товара» шире понятий «качество товара» и «технический уровень товара». Последнее – главная составляющая конкурентоспособности товара, предопределяющая его уровень, но не единственная.
Уровень конкурентоспособности наряду с параметрами, раскрывающими непосредственную потребительскую ценность товара в сопоставлении с аналогами-конкурентами, определяется также внешними по отношению к собственно товару факторами и характеристиками, не обусловленными его свойствами: сроки поставки, качество сервиса, реклама, повышение (снижение) уровня конкурентоспособности конкурирующих товаров, изменение соотношения спроса и предложения, финансовые условия и другое. Сказанное подтверждает приводимая ниже схема (рис. 2.2).
Качество выступает как главный фактор конкурентоспособности товара, составляя его «стержень». В принципе низкокачественный товар обладает и низкой конкурентоспособностью, равно как и товар высокого качества, – это конкурентный или высоко конкурентный товар. Имеющийся на практике исключения в этом отношении лишь подтверждают общие положения.
Центральное место, занимаемое качеством и конкурентоспособностью в товарной и в целом в рыночной политике, определяет их место в стратегии маркетинга и практической маркетинговой деятельности. И поскольку маркетинг ставит в центр внимания потребителя, вся работа предприятия, использующего принципы и методы маркетинга, направлена на подчинение производства интересам потребителя.
В силу этого проблемы качества и конкурентоспособности в маркетинге носят не текущий, тактический, а долгосрочное прогнозирование объема и характера потребностей, перспективного технического уровня и качества продукции нацелено на: выявление возможных требований к ассортименту и качеству изделий на перспективный период их производства и потребления; определение научно-технических и экономических возможностей удовлетворения требований потребителя; установление ассортимента и показателей качества при разработке перспективных видов продукции.
Высокое качество и конкурентоспособность продукции обеспечиваются всей системой маркетинга – от конструирования, опытного и серийного производства до сбыта и сервиса эксплуатируемых изделий, включая в числе других средства и методы управления и контроля качества, способы транспортирования и хранения, установку (монтаж) и послепродажное обслуживание.
Для того чтобы товар был приемлемым для покупателя, он должен обладать набором определенных характеристик. Существуют следующие основные параметры, характеризующие конкурентоспособность товара:
1. Технические параметры. Они включают:
а) параметры назначения – свойства товара, определяющие области применения и функции, которые он предназначен выполнять (например, металлообработка, перевозка грузов, обработка сельхозпродукции);
б) эргономические параметры, характеризующие соответствие товара свойствам человеческого организма в процессе выполнения трудовых операций;
в) конструктивные параметры, отражающие конструктивно- технологические решения, присущие данным изделиям и обеспечивающие определенные свойства товаров (надежность, долговечность и т.п.).
г) эстетические параметры, характеризующие внешнее восприятие товара.
2. Нормативные параметры. Они характеризуют свойства товара, регламентируемые обязательными нормами стандартов на рынке, где его предполагается продавать. В случае несоответствия товара действующим обязательным нормам он не может использоваться для удовлетворения существующей потребности.
3. Экономические параметры. Они связаны с затратами покупателя на продукцию. К ним относятся: цена товара и цена потребления (затраты на транспортировку и хранение, монтаж и накладку, а также все виды ремонта, обучение персонала и т.д.). Следует отметить, что при анализе цены потребления учитываются не только единовременные и текущие затраты, но и другие факторы, в частности реальная инфляция, финансовое состояние покупателя, финансовые перспективы.
4. Организационные параметры. Они включают:
а) систему скидок;
б) условия платежей и поставок;
в) комплектность поставки;
г) сроки и условия гарантий и т.д.
Совокупность организационных параметров также выступает как важная компонента конкурентоспособности товар. Анализируя параметры конкурентоспособности, необходимо отметить, что при прочих равных условиях важнейшая роль принадлежит цене потребления, которая значительно выше продажной цены. Именно поэтому снижение продажной цены может не быть существенным фактором конкурентоспособности, если отношение «продажная цена/цена потребления» находится в пределах 0,05 – 0,2.
Обеспечение качества конкурентоспособности продукции носит комплексный характер. Поэтому недооценка какого-либо фактора может привести к неудаче фирмы на рынке. Нередки случаи, когда товары высокого качества не находят достаточного сбыта. Так, фирма может выпускать микроволновые печи великолепного качества, но они будут неконкурентоспособными просто потому, что конкуренты дали покупателю более выгодные условия кредита на покупку. Можно выпускать хорошие тракторы, но их никто не будет брать, потому что торговые посредники конкурентов оказались куда искусней. Отличная зубная паста может «провалиться» на рынке из-за невыразительной рекламы.
Покупатель является главным оценщиком товара. А это приводит к очень важной в рыночных условиях истине: все элементы конкурентоспособности товара должны быть очевидны потенциальному покупателю, у него не должно возникать сомнения или иного толкования в отношении любого из них. В рекламе очень важно учитывать особенности психологического восприятия, интеллектуальный уровень потребителей, многие другие факторы личного характера.
Весьма ощутимый вклад в конкурентоспособность товаров фирмы вносит репутация фирмы на рынке, то же самое относится к «имиджу марки». В этом смысле «новичку» бывает сложно спорить в конкурентоспособности со старожилами рынка. В большинстве таких случаев в жертву приносится цена и, следовательно, прибыль.
Важным элементом грамотного маркетинга является умелое использование фирмой в собственных изделиях хорошо зарекомендовавших себя в глазах покупателей узлов, подсистем, агрегатов других, особенно престижных, фирм. Это существенный резерв повышения конкурентоспособности.
Маркетолог всегда должен быть готов к тому, что в борьбу за мнение покупателя и за его окончательное решение о покупке может вмешаться и случайность. Кроме того, он должен уметь достаточно быстро реагировать на такого рода факторы.
Существенную роль в повышении конкурентоспособности играют сроки обслуживания продукции, а также те компенсации, которые полагаются потребителю за различные виды ущерба.
Таким образом, для обеспечения качества и конкурентоспособности используется все многообразие стратегических и тактических приемов маркетинга. Обеспечение конкурентоспособности – это, прежде всего философия работы в условиях рынка, ориентирующая на:
а) понимание нужд потребителя и тенденций их развития;
б) знание поведения и возможностей конкурентов;
в) знание состояния и тенденций развития рынка;
г) знание окружающей среды и ее тенденций;
д) умение создать такой товар и так довести его до потребителя, чтобы он предпочел его товару конкурента;
е) искусство осуществлять все это на долговременной, рассчитанной на перспективу основе.
Конечная цель всякого «маркетингового марафона» – победа в конкурентной борьбе. Победа не разовая, не случайная, а как закономерный итог постоянных и грамотных усилий фирмы. Состоится она или не состоится, – зависит от конкурентоспособности и качества товаров, обеспечение которой является главной целью маркетинга.
2.2 Качество продукции как фактор формирования конкурентоспособности предприятия
Моделирование конкурентоспособности продукции имеет целью создание цифровой математической модели, заменяющей реальную продукцию в процессе ее изучения. Задачами моделирования конкурентоспособности продукции являются выделение наиболее значимых факторов, оказывающих влияние на конкурентоспособность продукции предприятия; определение и оценка конкурентоспособности продукции предприятия на рынке; выделение закономерностей изменения отдельных параметров продукции и ее конкурентоспособности.
Достоинствами предлагаемого подхода являются следующие обстоятельства: это одна из первых попыток математического моделирования конкурентоспособности продукции. Также четко отмечается, что на рынке могут быть товары высокого, среднего и низкого качества. Высокое качество товара вовсе не гарантирует его высокую конкурентную способность - доходы потребителей могут быть столь невысокими, что предпочтение будет отдано товару с очень низкими потребительскими свойствами, невысоким качеством и невысокой ценой.
Под моделированием конкурентоспособности продукции понимается моделирование товарной линии, близость продукции конкретного вида к идеальному товару. Однако, нет ни одного вида продукции, который мог бы быть описан термином «идеальный». В условиях конкуренции для этого применяют термин «лучший образец», который также не является идеалом. С точки зрения потребителя идеал — абсолютное качество, которое количественно измерить невозможно) по нулевой цене. Однако разработанный в настоящее время модели не дают понимания взаимосвязей между конкурентоспособностью продукции (в объективной оценке, которую дает рынок), ее качеством и ценой.
Существуют различные подходы к математическому моделированию конкурентоспособности продукции. Для новой техники инвестиционного назначения конкурентоспособность может быть оценена комплексным критерием «чистая текущая стоимость», которая равна разности суммарных дисконтированных денежных потоков и инвестиций, связанных с этим товаром. Однако при моделировании конкурентоспособности продукции по данной методике совершенно не рассматриваются предельные уровни цены и качества, которые могут существенно скорректировать результаты моделирования. Поэтому для моделирования конкурентоспособности потребительских товаров необходимы другие подходы, более точно описывающие ее сущность.
Недостаточная разработанность проблемы моделирования конкурентоспособности стала основой проводимого исследования этой категории. Результатом явилась принципиально новая концепция моделирования конкурентоспособности, лишенная перечисленных недостатков. В ее основе лежат следующие принципы построения:
- применение только количественных методов оценки;
- использование общеизвестных научных методов и показателей измерения;
- относительный характер конкурентоспособности продукции предприятия.
Задача моделирования конкурентоспособности продукции предприятия сводится к моделированию рыночного механизма распределения рынка между продукцией предприятий-конкурентов. В основе этого лежит механизм формирования конкурентоспособности продукции (рис. 2.3).

Рис. 2.3. Механизм формирования конкурентоспособности продукции
Исходным пунктом формирования конкурентоспособности продукции предприятия является ее качество — «совокупность свойств, признаков продукции, обусловливающих их способность удовлетворять потребности и запросы людей, соответствовать своему назначению и предъявляемым требованиям. Качество определяется мерой соответствия товаров, работ, услуг условиям и требованиям стандартов, договоров, контрактов, запросов потребителей.
|
|
Уровень качества продукции Yq является относительной характеристикой качества продукции и определяется в общем виде по формуле
где Q — значение отдельного (обобщенного или главного) показателя качества оцениваемого изделия в соответствующих единицах измерения;
Qб – значение аналогичного показателя качества эталонного (базового) изделия в тех же единицах измерения.
К показателям качества продукции относятся следующие группы показателей:
- назначения;
- надежности (безотказности, долговечности, ремонтопригодности, сохраняемости);
- экологичности;
- эргономичности;
- технологичности;
- эстетичности;
- стандартизации и унификации;
- патентно-правовые;
- безопасности применения;
- сертификационные.
Сравнительная оценка конкурентоспособности продукции предприятий отраслей по показателям качества требует большого объема информации. При отсутствии данных, отдельные показатели, включенные в табл. 2.1., могут быть исключены из списка.
Качество продукции непосредственно связано с его потребительной стоимостью и прямо определяет границы и уровень удовлетворения потребности, для реализации которой она приобретается. Качество продукции является фундаментом механизма конкурентоспособности продукции предприятия, причем относительно низкое качество не означает низкой конкурентоспособности. Более того, высокое качество — тоже не синоним конкурентоспособности.
В высшей ценовой группе ценятся не столько качество продукции, сколько престиж и марка производителя. Другими словами, не только качества влияет на конкурентоспособность продукции предприятия, обязательным при ее моделировании является учет фактора потребительских предпочтений.
Таблица 2.1 . Номенклатура показателей качества продукции
| Показатели |
Формула расчета |
Условный норматив |
| 1. Доля брака в объеме продаж, % |
Внутренние и внешние потери от брака/ Объем продаж х 100 |
2 |
| 2. Уровень рекламаций, % |
Количество рекламаций/Объем выпуска х 100 |
100 |
| 3. Затраты на гарантийный ремонт, % |
Затраты на гарантийный ремонт/ Объем продаж х 100 |
1 |
| 4. Затраты на обеспечение качества, %* |
Затраты на обеспечение качества/ Объем продаж х 100 |
5 |
| 5. Число реализованных мероприятии по повышению качества |
Число внедренных мероприятий по повышению качества |
200 |
| 6. Степень соблюдения требований НТД |
Число действующих на производстве карт-разрешений |
500 |
| 7. Сертификация систем качества производств |
Число производств, имеющих сертификат на систему качества |
50 |
| 8. Уровень соблюдения технологической дисциплины, % |
Число фиксированных контролирующими органами нарушений требований НТД/Число проверенных требований НТД х 100 |
100 |
| 9. Число выигранных конкурсов по качеству |
Количество видов изделии получивших медали, призы на конкурсах по качеству |
10 |
| 10. Аттестация изделий, %* |
Число аттестованных изделий/ Число подлежащих к аттестации изделий х 100 |
100 |
Не только качество влияет на конкурентоспособность продукции предприятия, обязательным при ее моделировании является учет фактора потребительских предпочтений.
При взаимодействии таких экономических факторов, как потребительная стоимость изделия, уровень платежеспособного спроса и издержки на производство, появляется цена изделия — одна из важнейших его количественных характеристик.
Цена изделия включает в себя затраты на его разработку, выпуск и реализацию, а также необходимый уровень прибыли; ее величина определяет конкурентоспособность продукции и является основой расчета показателя «цена/качество» — одного из главных показателей конкурентоспособности. Кроме того, сопоставление цены изделия с уровнем платежеспособного спроса даст реальный объем спроса на продукцию, позволит определить потенциальных покупателей, выявить их предпочтения и максимально их учесть при разработке товара и дальнейшем товаропродвижении. Значение цены продукции определяется и тем, что существует особый вид конкуренции — ценовая, основанная на использовании конкурентного преимущества в более низких издержках. Таким образом, цена — мощный инструмент обретения и управления конкурентоспособностью продукции.
Однако истинное значение конкурентоспособности появляется только тогда, когда производитель выходит со своим товаром на рынок, когда товар на рынке противостоит аналогам других производителей и товарам-заменителям. Только в том случае, если товар обладает конкурентным преимуществом (более низкой ценой или более высокой потребительной стоимостью по сравнению с товарами-конкурентами), он будет реализован, т.е. подтвердит свою конкурентоспособность при наличии у покупателя выбора между данным товаром, товарами-аналогами и товарами-заменителями.
Моделирование конкурентоспособности продукции предприятия осуществляется в несколько этапов:
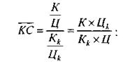
1. Моделирование частных конкурентных преимуществ (цена, качество, потребительские предпочтения). Например, конкурентоспособность i-и продукции 1-го предприятия относительно j-й продукции 2-го предприятия по цене находится в обратной зависимости от их цен

где ai 1/ j 2 — конкурентоспособность i-й продукции 1-го предприятия относительно j-й продукции 2-го предприятия по цене;
Цj 2 — цена j-и продукции 2-го предприятия;
Цi 1 — цена i-и продукции 1-го предприятия.
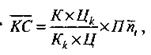
Конкурентоспособность продукции предприятия относительно продукции конкурентов по качеству имеет прямую зависимость

где bi 1/ j 2 — конкурентоспособность i-и продукции 1-го предприятия относительно j-и продукции 2-го предприятия по выбранному количественному критерию качества;
Кi 1 — реальный уровень показателя качества i-и продукции 1-го предприятия;
KJ 2 — то же j-й продукции 2-го предприятия.
Аналогично могут быть смоделированы другие частные показатели конкурентоспособности продукции (потребительские предпочтения, наиболее важные качественные параметры, издержки эксплуатации и т.д.). Количество используемых в модели показателей зависит от количества значимых для потребителей параметров конкурентоспособности продукции.
2. Объединение частных конкурентных преимуществ продукции предприятия в модель конкурентоспособности.
Практическая значимость данного подхода заключается в возможности получения максимально приближенных к действительности моделей конкурентоспособности продукции предприятия. В прикладных исследованиях на основании данных о важнейших параметрах конкретной продукции и коэффициентах реализации появляется обоснованная возможность моделирования и прогнозирования конкурентоспособности продукции предприятия.
Приведенная методика показывает реальность управления конкурентоспособностью предприятия. Для этого необходимо периодически проводить расчеты конкурентоспособности за предыдущие периоды, планировать значение интегрального показателя на будущий период. Интегральный показатель конкурентоспособности целесообразно ввести в стратегический и в текущий бизнес-планы предприятия, увязывать его динамику с вознаграждением высшего руководства предприятия по результатам года.
3. Оценка деятельности по качества и конкурентоспособности продукции в ООО «Махаон»
3.1 Оценка конкурентоспособности продукции на основе системы показателей качества продукции и качества работы предприятий
При анализе конкурентов и поиске конкурентных преимуществ одним из важнейших инструментов маркетингового исследования является анализ потребительской ценности. Цель анализа потребительской ценности – определение значения, которое целевые потребители придают тем или иным выгодам, связанным с приобретением товара или услуги, а также того, как они оценивают относительную ценность различных предложений конкурентов. Процесс анализа потребительской стоимости состоит из следующей последовательности шагов:
1. Выделите главные свойства товара, которым потребители придают наибольшее значение. Различные служащие компании могут иметь самые разные мнения о том, что ценят потребители. Поэтому персонал подразделения маркетинговых исследований должен выяснить непосредственно у потребителей, на какие именно свойства товара и характеристики обслуживания они обращают внимание при выборе товара в первую очередь, во вторую и т.д. Различные потребители могут назвать различные свойства и различные виды выгоды, получаемой в результате приобретения товара или услуги. Если список становится слишком длинным, исследователь может вычеркнуть из него характеристики, которые перекрываются другими характеристиками.
2. Оцените степень важности различных свойств товара. Попросите потребителей расставить коэффициенты важности характеристик или упорядочить их по степени важности. Если рейтинги, поставленные различными потребителями, очень сильно различаются, сгруппируйте рейтинги в виде различных потребительских сегментов.
3. Оцените насколько эффективно ваша компания и компании-конкуренты предоставляют потребительскую ценность сопоставьте ваши результаты с рейтингом важности этой потребительской ценности. Затем опросите потребителей, как они оценивают рейтинг эффективности ваших конкурентов по каждой из характеристик. В идеале эффективность вашей компании должна быть высокой по тем характеристикам, которые потребители ценят больше всего, и низкой по тем, на которые потребители обращают внимание в последнюю очередь. Результат может считаться плохим в двух случаях: по каким-то второстепенным характеристикам эффективность компании высока – случай «перелета»; по некоторым важным характеристикам эффективность компании низка – случай «недолета». Компания должна также следить за тем, какую позицию по важным характеристикам занимают конкуренты.
4. Сопоставьте рейтинг эффективности вашей компании в отношении обеспечения каждой из характеристик, выставленный потребителями данного сегмента, с аналогичным рейтингом вашего самого серьезного конкурента в этом сегменте. Ключом к достижению конкурентного преимущества является изучение каждого потребительского сегмента на предмет того, как предложения компании соотносятся здесь с предложениями ее главного конкурента. Если предложения компании оцениваются выше предложений конкурента по всем важным характеристикам, компания может назначать более высокую цену на товар и получать более высокие прибыли либо может оставить цену прежней, но за счет этого захватить большую долю рынка. Если компания обеспечивает некоторые важные характеристики менее эффективно, чем ее главный конкурент, она должна вкладывать средства в усиление этих характеристик или в поиск других важных характеристик, по которым она может обойти конкурента.
5. Постоянно следите за изменением потребительской ценности. Хотя на протяжении короткого отрезка времени потребительские ценности практически не изменяются, с появлением новых технологий и других конкурентных возможностей, а также, по мере того как потребители будут сталкиваться с изменениями экономического климата, они, скорее всего, также будут претерпевать изменения. Компания, которая предполагает, что потребительские ценности остаются неизменными, играет с огнем. Если компания хочет оставаться стратегически эффективной, она должна периодически пересматривать как потребительские ценности, так и позиции своих конкурентов.
В середине декабря 2003 года мною было проведено анкетирование в магазинах города Йошкар-Ола. Анкетирование проводилось с целью ранжирования факторов, влияющих на решение о покупке товаров (ржаной хлеб, хлебобулочные изделия, торты). Также в ходе исследования были получены оценки данных факторов относительно ООО «Махаон» и ее ближайших конкурентов. На основе этих данных были рассчитаны коэффициенты конкурентоспособности продукции предприятия и конкурентов.
В ходе анкетирования было опрошено 23 магазина. Список магазинов представлен в Приложении. Товароведам было предложено ответить на вопросы трех анкет. Одна анкета предполагала оценку ржаного хлеба, вторая – хлебобулочных изделий, третья – тортов. В скобках представлены данный проведенного проса в 2002 году.
1. Ржаной хлеб. Дали свою оценку товароведы 23 (100%). Товароведам было предложено проранжировать следующие факторы:
- качество хлеба;
- свежесть хлеба;
- цена хлеба;
- вкусовые качества;
- марка производителя.
Коэффициент весомости показывает долю влияния фактора на процесс принятия решения о покупке. Чем выше коэффициент весомости, тем больше значение имеет данный фактор для потребителя. В данном случае определились следующие коэффициенты весомости:
- свежесть хлеба – 0,32 (0,35)
- цена хлеба – 0,22 (0,26)
- качество хлеба – 0,24 (0,24)
- вкусовые качества – 0,12 (0,13)
- марка производителя – 0,05 (0,02)
Таким образом, видно, что структура предпочтений практически не изменилась.
Товароведам было предложено оценить продукцию следующих фирм: БКП «Сувенир», РГУП «Марийский хлеб», ООО «Махаон» и Оршанского хлебозавода. Средние баллы оценок представлены в табл. 3.1.
Таблица 3.1. Средние баллы оценок показателей ржаного хлеба
| Показатель |
РГУП «Сувенир» |
«Марийский хлеб» |
ООО «Махаон» |
Оршанский хлебозавод |
| Спрос |
7,5 (6,5) |
8,5 (9,2) |
9,3 (7,7) |
7,2 (8,0) |
| Качество |
8,4 (6,9) |
8,4 (9,3) |
9,2 (8,7) |
7,2 (6,8) |
| Вкус |
7,7 (7,1) |
8,7 (9,4) |
9,3 (7,8) |
7,4 (8,0) |
| Соответствие цены |
7,1 (7,7) |
8,1 (9,5) |
8,7 (8,0) |
7,9 (8,0) |
| Свежесть продукции |
8,8 (9,1) |
8,8 (9,2) |
8,9 (8,7) |
8,6 (8,6) |
Как видно из табл. 3.1, отношение к ржаному хлеба производства «Марийского хлеба» и Оршанки несколько ухудшилось. Продукция «Сувенира» и «Махаона» улучшилась по всем показателям.
Индекс конкурентоспособности продукции рассчитывается, как сумма произведений коэффициента весомости и соответствующего балла оценки. Индекс позволяет определить, насколько товар того или иного производителя соответствует «идеальному» в понимании потребителя товару. «Идеальный» товар имеет индекс 10.
Для ржаного хлеба индексы конкурентоспособности продукции выглядят следующим образом (табл. 3.2):
Таблица 3.2. Индексы конкурентоспособности ржаного хлеба
| «Сувенир» |
«Марийский хлеб» |
«Махаон» |
Оршанский х/з |
| 8,2 (7,9) |
8,5 (9,3) |
9,0 (8,1) |
7,8 (8,2) |
Как видно из табл. 3.2, наибольшее падение индекса конкурентоспособности наблюдается у «Марийского хлеба» (на 8,6%) и Оршанского х/з (на 4,9%). На 3,8% повысился индекс «Сувенира», индекс «Махаона» – на 11%.
Наибольшее влияние на повышение индекса «Махаона» оказало, по мнению товароведов, повышение качества и вкуса продукции, что повлекло за собой повышение цены. Также несколько увеличился показатель свежести продукции.
Кроме оценки продукции, товароведы оценивали такие показатели качества работы предприятия, как соблюдение установленного времени привоза, выполнение заявки магазина и работу отдела сбыта. Оценки приведены в табл. 3.3.
Таблица 3.3. Оценка показателей работы предприятия (ржаного хлеба)
| Показатель |
БКП «Сувенир» |
«Марийский хлеб» |
ООО «Махаон» |
Оршанский х/З |
| Соблюдение времени привоза |
8,05 (7,7) |
8,8 (8,5) |
9,2 (8,5) |
9,6 (10,0) |
| Выполнение заявки магазина |
8,2 (9,3) |
9,5 (9,4) |
9,3 (8,9) |
9,5 (9,3) |
| Работа отдела сбыта |
9,3 (8,9) |
9,5 (9,6) |
9,6 (8,9) |
10,0 (9,3) |
Как видно из табл. 3.3, показатели качества работы отдела сбыта в 2003 году увеличились по сравнению с 2002 годом.
2. Хлебобулочные изделия. Оценки были получены в 23 магазинах. Товароведам было предложено проранжировать следующие факторы:
- качество хлебобулочных изделий
- свежесть хлебобулочных изделий
- цена хлебобулочных изделий
- вкусовые качества
- разнообразие ассортимента
- марка производителя.
В результате обработки анкет выявились следующие коэффициенты весомости:
- свежесть хлебобулочных изделий – 0,35 (0,29)
- цена хлебобулочных изделий – 0,19 (0,24)
- качество хлебобулочных изделий – 0,28 (0,23)
- вкусовые качества – 0,08 (0,15)
- разнообразие ассортимента – 0,08 (0,05)
- марка производителя – 0,04 (0,03)
Товароведам было предложено оценить продукцию следующих фирм: ГУП «Сувенир», РГУП «Марийский хлеб», ООО «Махаон»и пекарни «Стамбулка». Средние баллы оценок представлены в табл. 3.4
Таблица 3.4. Средние баллы оценок показателей хлебобулочных изделий
| Показатели |
ГУП «Сувенир» |
«Марийский хлеб» |
ООО «Махаон» |
«Стамбулка» |
| Спрос |
8,1 (9,0) |
8,4 (7,6) |
9,5 (8,7) |
8,8 (8,3) |
| Качество |
8,8 (9,4) |
8,2 (7,2) |
9,0 (8,2) |
8,4 (9,1) |
| Ассортимент |
9,2 (9,1) |
7,8 (5,8) |
9,5 (8,9) |
9,8 (9,8) |
| Вкус |
8,6 (9,2) |
9,1 (7,8) |
9,6 (8,5) |
8,5 (9,0) |
| Соответствие цены |
7,8 (8,7) |
8,2 (7,5) |
8,6 (8,3) |
7,8 (8,3) |
| Свежесть продукции |
8,9 (8,9) |
9,3 (8,5) |
9,4 (8,5) |
9,6 (9,0) |
Как видно из табл. 3.4, увеличивается общий спрос на хлебобулочную продукцию. Как и по ржаному хлебу, у всех производителей увеличиваются показатели качества и вкуса продукции. Это от части может связано с использованием импортного сырья (улучшителей, сухих дрожжей и т.д.), с улучшением качества муки.
Индексы конкурентоспособности хлебобулочных изделий выглядят следующим образом (табл. 3.5):
Таблица 3.5. Индексы конкурентоспособности хлебобулочных изделий
| «Сувенир» |
«Марийский хлеб» |
«Махаон» |
«Стамбулка» |
| 8,48 (9,02) |
8,57 (7,96) |
9,06 (8,41) |
8,67 (8,60) |
Как видно из табл. 3.5, индексы увеличиваются у «Стамбулки» на 0,8%, у «Марийского хлеба» и у «Махаона» – на 7,7%. У «Сувенира» индекс снижается на 6,0%.
В данной анкете также присутствовали показатели, позволяющие оценить работу предприятия. Результаты представлены в табл. 3.6.
Таблица 3.6. Оценки показателей работы предприятия (хлебобулочные изделия)
| Показатель |
БКП «Сувенир» |
«Марийский хлеб» |
ООО «Махаон» |
«Стамбулка» |
| Соблюдение времени привоза |
8,8 (7,9) |
8,9 (8,0) |
9,04 (8,6) |
8,8 (8,9) |
| Выполнение заявки магазина |
9,4 (9,3) |
9,7 (8,6) |
9,9 (8,4) |
9,5 (9,0) |
| Работа отдела сбыта |
9,3 (7,5) |
9,3 (8,8) |
9,8 (9,0) |
9,3 (9,1) |
Данные табл. 3.6 показывают, что товароведы так же, как и в случае с ржаным хлебом, более удовлетворены работой отдела сбыта всех предприятий. В данном случае на увеличение оценок могло оказать влияние улучшение качества продукции: товароведы чувствуют, что качество повышается, а поскольку они работают на прямую со сбытом, то им кажется, что лучше работает именно отдел сбыта.
1. Торты. Оценки были получены в 23 магазинах. Товароведы проставили ранги следующим факторам:
- дизайн торта
- дизайн упаковки
- название торта
- цена торта
- состав торта
- марка производителя
- качество исполнения торта
- рекомендации знакомых
- реклама в средствах массовой информации.
В результате обработки анкет были определены следующие коэффициенты весомости:
- цена торта – 0,20 (0,19)
- состав торта – 0,20 (0,18)
- дизайн торта – 0,18 (0,16)
- качество исполнения торта – 0,09 (0,12)
- название торта – 0,11 (0,10)
- марка производителя – 0,12 (0,09)
- дизайн упаковки – 0,04 (0,06)
- рекомендации знакомых – 0,02 (0,05)
- реклама в средствах массовой информации – 0,007 (0,02)
Как видно, по сравнению с прошлым исследованием, несколько увеличился вес таких факторов как цена торта, состав торта, марка производителя, снизился вес таких факторов как качество исполнения торта, дизайн упаковки, рекомендации знакомых.
Товароведам было предложено оценить продукцию следующих фирм: ГУП «Сувенир», РГУП «Марийский хлеб», ООО «Махаон» и ЗАО «Макаронная фабрика». Средние баллы оценок представлены в табл. 3.7.
Таблица 3.7. Средние баллы оценок показателей тортов
| Показатель |
ГУП «Сувенир» |
«Марийский хлеб» |
ООО «Махаон» |
«Макаронная фабрика» |
| Спрос |
8,08 (7,1) |
9,08 (8,3) |
9,5 (9,5) |
7,1 (7,2) |
| Дизайн тортов |
8,0 (7,5) |
9,1 (9,0) |
9,5 (9,5) |
7,5 (7,9) |
| Дизайн упаковки |
8,5 (7,2) |
8,6 (9,2) |
9,7 (9,3) |
7,2 (7,6) |
| Название тортов |
8,7 (8,0) |
9,1 (9,1) |
9,9 (9,6) |
8,3 (8,2) |
| Вкусовые качества |
8,5 (7,3) |
8,8 (8,6) |
9,6 (8,9) |
7,6 (8,0) |
| Марка производителей |
8,2 (7,9) |
8,6 (8,7) |
10,0 (9,3) |
7,0 (7,8) |
| Качество исполнения продукции |
8,9 (8,6) |
9,2 (9,0) |
9,6 (9,4) |
9,0 (7,8) |
| Соответствие цены |
8,4 (8,3) |
7,8 (8,7) |
8,0 (8,7) |
8,6 (8,4) |
| Рекламная поддержка продукции |
9,07 (7,3) |
8,9 (7,8) |
9,6 (9,2) |
6,9 (6,0) |
Как видно из табл. 3.7, ООО «Махаон» имеет самые высокие показатели по всем параметрам, как и в прошлом году. Больше всего снизилась оценка но такому показателю, как соответствие цены.
Индексы конкурентоспособности тортов выглядят следующим образом табл. 3.8:
Таблица 3.8. Индексы конкурентоспособности тортов
| «Сувенир» |
«Марийский хлеб» |
«Махаон» |
«Макконди» |
| 8,1 (7,7) |
8,3 (8,7) |
9,1 (9,2) |
7,6 (7,6) |
Эти данные подтверждают, что ООО «Махаон» остаются признанным лидером в производстве тортов. Индекс увеличился у «Сувенира» на 5,7%, снизился у «Марийского хлеба» на 4%, у «Махаона» – на 1,1%, у «Макконди» остался на прежнем уровне.
В данной анкете также присутствовали показатели, позволяющие оценить качества работы предприятия. Результаты представлены в табл. 3.9.
Таблица 3.9. Оценки показателей работы предприятия (торты)
| Показатель |
ГУП «Сувенир» |
«Марийский хлеб» |
ООО «Махаон» |
«Макконди» |
| Соблюдение времени привоза |
9,4 (8,4) |
9,2 (8,9) |
8,6 (9,3) |
9,8 (9,1) |
| Выполнение заявки магазина |
9,4 (9,4) |
9,6 (9,4) |
9,9 (9,4) |
9,9 (9,4) |
| Работа отдела сбыта |
9,6 (9,3) |
9,4 (8,9) |
9,7 (9,5) |
9,4 (9,2) |
Результаты анкетирования позволяют сделать следующие выводы:
1. Рынок ржаного хлеба города Йошкар-Ола характеризуется острой конкуренцией. Лучшим, по мнению товароведов магазинов, является ржаной хлеб ООО «Махаон». Отношение к хлебу производства «Марийский хлеб» несколько ухудшилось. Товароведы воспринимают ГУП «Сувенир» на одном уровне с Оршанским хлебозаводом.
2. Лучшими хлебобулочными изделиями являются, по мнению товароведов, изделия ООО «Махаон». Хлебобулочные изделия «Марийского хлеба» заняли третье место, благодаря низким оценкам за разнообразие ассортимента и ее качество. Между тем, факторы свежести и качества товароведы считают наиболее важными.
3. В результате анкетирования лучшими были признаны торты «Махаон». По мнению товароведов, ООО «Махаон» является обще признанным лидером в РМЭ по всем показателям продукции.
4. Основным принципиальным отличием от результатов прошлогоднего исследования является повышение индекса «Махаона» по ржаному хлебу. Также повышается общий уровень оценок, т.е. продукция исследуемых производителей боле удовлетворяет потребителей.
Я ознакомила с результатами данного анкетирования службы предприятия, участвующие в производстве продукции.
3.2 Анализ качества продукции как фактор повышения конкурентоспособности предприятия
Под конкурентоспобностью (КС) продукта можно понимать сравнительную характеристику потребительских и стоимостных свойств продукта, т.е.
КС = К/Ц,
где К — общий уровень потребительского эффекта с учетом различных его показателей;
Ц — цена потребления или владения, включающая цену покупки и стоимость эксплуатации и утилизации.
Показатели качества, которыми оценивается уровень потребительского эффекта, выбираются экспертами. Так, для хлебобулочной продукции к таким показателям относятся свежесть хлебобулочных изделий, вкусовые качества и внешний вид.
Цена потребления или владения включает стоимость товара на рынке или в магазине и те деньги, которые потребитель платит в течение срока его эксплуатации.
Приступим теперь к описанию этапов алгоритма расчета конкурентоспособности продукта:
1)разработать на основе знания рынка и требований к товару совокупности показателей его качества;
2)выбрать из этой совокупности несколько важнейших показателей, назовем их параметрами качества;
3)получить количественные характеристики значимости (аi ) каждого из i параметров путем опроса экспертов при соблюдении условия i = 1, m:

4) сформулировать модель эталона — образца товара в разрезе выбранных параметров с позиции покупателей, задав его количественные оценки (ni э );
5) разработать количественные оценки тех же самых параметров качества своему изделию (ni ) и по изделию-конкуренту (ni k );
|
|
6) оценить уровень качества или потребительского эффекта своего товара (К) и товара-конкурента (Kk ) по формулам
где аi — количественная оценка значимости i-го параметра качества;
ni , ni k — количественная оценка i-го параметра качества соответственно по своему изделию и по изделию-конкуренту;
i — номер параметра качества;
m — количество параметров качества;
ni э — количественная оценка i-го параметра качества эталона — образца товара с позиции покупателей;
7) рассчитать цену Ц потребления своего товара и установить цену Цk потребления товара-конкурента с учетом отпускной или розничной цены и эксплуатационных расходов в период пользования товаром.
Расчет цены Ц потребления своего товара выполняют работники отдела маркетинга, учитывая при этом себестоимость товара, планируемую прибыль, НДС и акциз;
8) рассчитать интегральный КС — показатель конкурентоспособности своего товара по отношению к товару-конкуренту:

9) если свой товар планируется экспортировать, то необходимо проверить выбранные параметры качества на соответствие интернациональным или национальным стандартам предполагаемого импортера. Если хотя бы один из нормативных параметров не соответствует установленному стандарту, необходимо такое несоответствие устранить.
При этом конечная формула для КС примет такой вид:

где Пni , — произведение всех ni ;
ni — параметр качества, учтенный в зарубежном стандарте; ni = 0 - несоответствие стандарту;
ni = 1 — соответствие стандарту.
Если хотя бы один из параметров качества будет равен 0, то КС не будет иметь смысла.
Применим данную методику на данных продукции – печенье «Сдобное» - рассматриваемого предприятия ООО «Махаон».
Пусть наша фирма спроектировала и создала продукт, по которому отдел маркетинга в соответствии с алгоритмом, используя опросы экспертов, выполнил п.п. 1—5 этого алгоритма (табл. 3.10).
Таблица 3.10
| Выбранные экспертами качества |
Количественные характеристики |
|||
| ni э |
ni |
ni к |
аi |
|
| Свежесть продукции, баллов |
10 |
7 |
6 |
0,3 |
| Вкусовые качества, баллов |
10 |
6 |
7 |
0,4 |
| Экологичность, баллов |
10 |
8 |
9 |
0,2 |
| Внешний вид, баллов |
10 |
7 |
8 |
0,1 |
Теперь, используя формулы, определим КС нашего продукта.
К = 0,3 (7/10) + 0,4 (6/10) + 0,2 (8/10) + 0,1 (7/10) = 0,21 + 0,24 + 0,16 + 0,07 = 0,68
Кк = 0,3 (6/10) + 0,4 (7/10) + 0,2 (9/10) + 0,1 (8/10) = 0,18 + 0,28 + 0,18 + 0,08 = 0,72
Пусть известно, что Цк = 20 руб., а Ц = 22 руб. ха 1 кг печенья. Этих данных достаточно, чтобы по формуле рассчитать КС:
0,68 х 20
КС =------------- = 0,859
0,72 х 22
Считается, что если КС < 1, то фирма предлагает на рынок явно неконкурентоспособный товар и необходимо изменить его технические и экономические характеристики. Более того, считается, что превышение данного значения на 10—20% слишком мало, чтобы быть уверенным в успехе на рынке. Однако если это превышение составляет 30—50%, то считается, фирма занимает на рынке достаточно устойчивое положение.
Превышение в 50—70% по конкурентоспособности говорит о верности выбранного направления действий фирмы на рынке, но достижения необходимо наращивать и думать о том, как их сохранить.
Принято считать, что для гарантированного вывода своего изделия на любой новый рынок фирма должна иметь по нему КС > 1,4.
Исходя из вышесказанного можно сделать следующие выводы по нашему примеру:
а) поскольку К < Kk , наша фирма проигрывает конкуренцию еще на стадии создания товара и должна принять меры к изменению технических параметров продукции и приближению их к эталонной модели;
б) если никакие изменения в нашем товаре уже невозможны, то вкладывать в него деньги нецелесообразно;
в) кроме увеличения К для повышения конкурентоспособности всегда имеет смысл просмотреть возможности снижения цены Ц.
При этом сразу можно ответить на вопрос: какой должна быть цена Ц для обеспечения конкурентоспособности нашего изделия на рынке. Для этого надо воспользоваться вышеприведенными рекомендациями и принять, что КС должно быть больше, чем 1,4.
Рассмотрим теперь с учетом вышеприведенного алгоритма стратегии повышения конкурентоспособности хлебобулочной продукции на примере вывода на местный рынок одного из конечных продуктов – печенья «Сдобного».
Для определенности будем считать, что наша хлебобулочная продукция обладает характеристиками, показанными в табл. 3.10.
Примем, что Ц = Цк = 20 руб. и используя уже рассчитанные значения К и Kk , определим КС как базовую величину для дальнейшего анализа:
Убедившись, что полученное при расчете значение КС меньше необходимого значения, равного 1,4, приступаем к поиску направлений повышения величины КС. Сначала составим применительно к нашему примеру перечень возможных действий, исходя из анализа таблицы:
а) увеличить КС за счет снижения цены Ц;
б) увеличить КС за счет улучшения вкусовых качеств;
в) увеличить КС за счет улучшения внешнего вида (упаковка, дизайн, аппетитность) продукции.
Улучшение экологичности хлебобулочной продукции как направление повышения КС держим в резерве, так как это направление зависит от поставщиков материальных ресурсов.
Рассматриваем каждое из направлений подробнее:
а) за счет цены.
Исходя из формулы и рекомендаций по желаемому значению КС, рассчитываем конкурентную цену нашего изделия:
Далее выявляем себестоимость продукции (15,38 руб.) и уровень прибыли в цене по отношению к себестоимости (30%). Учитываем, что НДС равны 0, а транспортные расходы для простоты в первом расчете учитывать не будем. Как видно из расчета, даже при нулевой прибыли конкурентная цена нашего изделия меньше себестоимости, что невозможно.
Устанавливаем цену Ц на уровне 18 руб. за 1 кг, тогда прибыль будет равна 2,62 руб., или 17,03% от себестоимости. При этом КС будет равна:
Делаем первый вывод: за счет снижения цены можно повысить КС, но этого снижения недостаточно для вывода хлебобулочной продукции на рынок;
б) за счет улучшения вкусовых качеств. Посмотрим, что нам даст увеличение показателя вкусовых качеств хлебобулочной продукции до 8 баллов (осторожная оценка) с учетом изменения цены до 18 руб.
По формуле имеем:
== 0,21 + 0,4 (8/10) + 0,16 + 0,07 = 0,76
Подставляем К в формулу:
0,76 х 20
КС =------------- = 1,173.
0,72 х 18
И вновь КС < 1,4, следовательно, за счет первых двух направлений достичь желаемого результата не удается;
в) за счет увеличения внешнего вида.
Сразу попытаемся определить необходимое значение внешнего вида хлебобулочной продукции с учетом изменений в цене и в вкусовых качествах, обозначив искомое значение внешнего вида продукции через х:
Поскольку такое значение внешнего вида недостижимо, возвращаемся к первым двум направлениям. Снижаем цену до 16 тыс. долл. (при этом рентабельность снизится до 4%), принимаем значения показателей по вкусовым качествам— равным 9 баллам, по внешнему виду — 10 годам.
Можно сделать вывод, что в данном случае попытка вывести нашу хлебобулочную продукцию на конкурентный рынок почти достижима. Однако уже видно, что, не изменяя технологию производства и обращения, а с ней связаны и завышенные издержки производства и обращения, обеспечить устойчивое положение нашей продукции на рынке довольно трудно.
Остается только использовать последний резерв и увеличить до 9 баллов свежесть хлебобулочной продукции, что позволит увеличить на 0,06 значение качества К. При этом величина КС также увеличится.
Задействовав все резервы, мы приблизились к желаемому результату, но не будем забывать, что улучшение внешнего вида продукции, улучшение вкусовых качеств и продление свежести продукции — все это потребует увеличения себестоимости, а резерв по рентабельности практически выбран полностью. Поэтому на последующих этапах расчет усложняется и в нем придется учитывать различные составляющие себестоимости: стоимость материалов, комплектующих и полуфабрикатов, амортизационные отчисления, заработную плату, расходы на командировки и др.
Таким образом, использование вышеприведенного алгоритма страхует производителей от капиталовложений в неконкурентоспособную продукцию и обеспечивает им поиск устойчивых позиций на рынке.
Литература
1. Александров Ю.А., Рычков В.А., Терещенко Н.Н. Анализ потребительского рынка хлеба и хлебобулочных изделий // Маркетинг в России и за рубежом. - 2001. - № 2. - С. 82.
2. Алексеева М.М. Планирование деятельности фирмы. – М.: Финансы и статистика, 1999. – 318 с.
3. Белолипецкий В., Мерзляков И. Финансовые ресурсы фирмы и их превращенные формы // Аудитор. – 1998. - №5. –с. 51-55.
4. Беляев В.К. Новое в управлении экономикой предприятия: Справ.-метод. пособие. – Иркутск.: Изд-во Иркут. ун-та, 1994. – 219 с.
5. Богатин Ю.В. Экономическая оценка качества и эффективности работы предприятия. – М.: Изд-во стандартов, 1999. – 216 с.
6. Большой экономический словарь. — М., 2002. — С. 298-299.
7. Браверман А.А. Маркетинг в российской экономике переходного периода: Методология и практика. -–М.: Экономика, 1999. – 639 с.
8. Воронов А.А. Оценка и менеджмент конкурентоспособности продукции. — Краснодар, 2003. – 346 с.
9. Гельвановский М., Жуковская В., Трофимова И. Конкурентоспособ
ность в микро-, мезо- и макроуровневом измерениях // Российский экономический журнал. — 2002. — № 3. - с. 67—77.
10. Голубков Е.П. Маркетинговые исследования: теория, методология и
практика. — М.: Издательство «Финпресс», 2000. – 421 с.
11. Госкомстат России: Российский статистический ежегодник. — М: Московский издательский дом, 2002, 2003 гг.
12. Гольдштейн Г.Я, Катаева А.В. Маркетинг: Учебное пособие для магистрантов. — Таганрог: Изд-во ТРТУ, 1999. — 107 с.
13. Гребнев Е.Т., Гаворин А.А. Организационно-экономические основы рыночного механизма. — М.: Российская экономическая академия, 2000. – 356 с.
14. Гурков И.Б., Титова Н.Л. Тенденции изменения конкурентоспособности отечественной продукции // Маркетинг. - 2000. - № 1. - с. 20-31.
15. Долинская М.Г., Соловьев И.Н. Маркетинг и конкурентоспособность
промышленной продукции. — М.: Изд-во стандартов, 1999. – 219 с.
16. Еленева Ю.Я. Разработка и внедрение системы обеспечения конкурентоспособности в комплексе «предпринимательское дело»: Дис. канд. техн. наук. — М., 2000. – 189 с.
17. Завгородняя А.В., Кадзевич М.С. Маркетинг: Методы и процедуры: Учеб. пособие – Л: ЛФЭИ, 1999. – 111 с.
18. Захарченко В.И. Оценка и анализ конкурентоспособности предприятий //Машиностроитель. — 2002. — №11. — с. 13—17.
19. Зиннуров У.Г., Ильясова Л.Р. Проблемы оценки конкурентоспособности товаропроизводителей// Экономика и управление (Уфа). -2002. — № 4. — с. 47-52.
20. Колоскова И.Р. К вопросу государственного регулирования качества продовольствия // // Маркетинг в России и за рубежом. — 2002. — № 9. — с. 12-19.
21. Костин ИМ., Фасхиев Х.А. Измерение конкурентоспособности предприятий / Тезисы докладов Международной научно-практической конференции «Менеджмент организации XXI века». - Наб. Челны: КамПИ, 2001. - с. 115-117.
22. Лобанов М.М., Быков С.Н., Осипов Ю.М. Пороговая модель оценки конкурентоспособности продукции // Международная научно-практическая конференция «Организационные и экономические проблемы становления конкурентоспособного производства»: Сборник трудов в 4 т. Воронеж: Изд-во ВГТУ. 2001.- Т. 4. - С. 61-62.
23. Лобанов М.М. Обобщенная эконометрическая модель оценки конкурентоспособности продукции // Труды научно-практической конференции филиала ТПУ и Юргинского НТЦ Кузбасского отделения РИА: Сборник трудов. - Юрга: Изд.ТПУ, 2001. — С. 56-58.
24. Максимов И. Оценка конкурентоспособности промышленного предприятия // Маркетинг. - 2003. — № 3. — с. 33-39.
25. Моисева Н.К. Международный маркетинг: Учебник. — М.: Центр экономики и маркетинга, 1998. – 289 с.
26. Подузов А.А., Соловьев Ю.П., Сухорукова Г.М. Качество и цена продуктов питания// Проблемы прогнозирования. — 1999. — № 1. — С. 100—108.
27. Прокофьев В.Е. Анализ рынка хлебобулочный изделий в позиции социально-ориентированного маркетинга // Маркетинг в России и за рубежом. – 2003. – 34. – с. 12-18.
28. Родионова Л.Н., Кантор О.Г., Хакимова Ю.Р. Оценка конкурентоспособности продукции// Маркетинг в России и за рубежом. - 2002. - № 1. - с. 63-77.
29. Савицкая Г.В. Анализ хозяйственной деятельности предприятия: 2-е изд., перераб. и доп. – Мн.: ИП «Экоперспектива», 1999. – 498 с.
30. Светунъков С.Г., Литвинов А.А. Конкуренция и предпринимательские решения. — Ульяновск, 2000. — С. 118.
31. Сергеев В.Н. Проблемы развития пищевой промышленности // Пищевая промышленность. — 2000. — № 1. — с. 16.
32. Смирницкий Е.К. Экономические показатели бизнеса. — М., 2002. — с. 122-123.
33. Соколова Т.В. Маркетинговое исследование сбытовой сети хлебобулочных изделий // Маркетинг в России и за рубежом. — 2003. — № 4. — с. 27.
34. Таран В.А. Конкурентоспособность предприятий: проблемы современной политики и стратегия в области качества //Машиностроитель. – 2003. №2. – с. 6-12.
35. Уолш К Ключевые показатели менеджмента. Как анализировать, сравнивать и контролировать данные, определяющие стоимость компании / Пер. с англ. — М.: Дело. 2000. - 360 с.
36. Управление организацией: Учебник / Под ред. А.Г. Поршнева, З.П.Румянцевой, Н.А.Саломатина. – 2-е изд., перераб. и доп. – М.: ИНФРА-М, 1998. – 669 с.
37. Фасхиев Х.А. Оценка экономической эффективности качества и конкурентоспособности изделий // Вестник машиностроения. — 2003. — №10. — С. 59-66.
38. Фатхутдинов Р.А. Конкурентоспособность: экономика, стратегия, управление. — М.: ИНФРА-М, 2000. - 312 с.
39. Юданов А.Ю. Конкуренция: теория и практика: Учебное пособие. —
2-е изд. — М.: Гном-Пресс, 1998. – 309 с.
Похожие рефераты:
Оценка эффективности маркетинговой политики предприятия на примере ОАО "Нефтекамский хлебокомбинат"
Подходы и оценки эффективности розничной продажи товаров на примере магазина ООО "Аннушка"
Методы оценки и повышение конкурентоспособности предприятия на примере ООО "Скотный двор"
Система управления конкурентоспособностью предприятия ООО "Южно–Уральское книжное издательство"
Факторы формирующие качество и ассортимент хлебобулочных изделий
Эффективность повышения конкурентных преимуществ организации
Пути повышения конкурентоспособности продукции
Развитие конкурентной среды потребительского рынка муниципального образования
Анализ производственно-хозяйственной деятельности ООО "Хлебзавод №5"
Экспертиза качества и оценка конкурентоспособности макаронных изделий
Совершенствование деятельности по управлению ассортиментом и качеством продукции на предприятии
Совершенствование планирования реализации продукции на ФГУП "Комбинат питания" г. Москва
Оценка конкурентоспособности товаров и услуг на внутреннем рынке

