| Скачать .docx |
Реферат: Раскрыть особенности содержания и организации текущего ретроспективного анализа
Государственное образовательное учреждение
высшего профессионального образования
«Хакасский государственный университет им. Н.Ф. Катанова»
Институт (факультет) ИПК и ПК
кафедра Бухгалтерский учет, анализ и аудит
К О Н Т Р О Л Ь Н А Я Р А Б О Т А
по дисциплине: Теория экономического анализа
Выполнил:
Студентка 2-го курса
гр. БАА-09 СП
Емелина И. В.
Проверил:
Сергеева Т.В.
Абакан, 2011
Задание 1.
Раскрыть особенности содержания и организации текущего (ретроспективного) анализа.
Экономический анализ - система специальных знаний, связанных с исследованием процессов, взаимосвязи процессов, которые в свою очередь складываются под воздействием объективных экономических законов, под воздействием факторов. Это система знаний, которая связана с научным обоснованием бизнес-планов, с оценкой бизнес-плана. Это система специальных знаний, связанных с выявлением положительных и отрицательных факторов, с раскрытием тенденций, оценкой пропорций, с определением результатов хозяйственных процессов. Познавательная деятельность опирается всегда на практику, эксперименты, наблюдения, в результате которых устанавливаются эти факторы. Осмысление факторов начинается с анализа. Анализ (с греч. «расчленение целого на элементы») - метод исследования, который состоит в мысленном расчленении целого на составные части для выделения каких-то свойств, связей. Такой метод используется широко. Но естественные, технические науки применяют при этом приборы и др. Такое аналитическое расчленение должно производиться не произвольно, а исходя из поставленной задачи. При этом выделяются: существенные и несущественные признаки - это так называемый логический прием . Анализ, открывая возможность более широкого познания, как бы разрушает целостность, поэтому, изучив составные части предмета необходимо их снова соединить, посредством синтеза.В учебной литературе, в методиках и методических указаниях, а также в практической деятельности экономических служб предприятий и объединений наиболее разработан текущий (ретроспективный) анализ итогов хозяйственной деятельности по важнейшим отчетным периодам.
Вообще, текущий ретроспективный анализ – это метод изучения сложившихся в прошлом тенденций технического, социального, экономического развития объекта для формирования стратегии его развития.
Смысл ретроспективного анализа заключается в том, что он, во-первых, дает исчерпывающую характеристику экономического процесса в статике (уровень в выбранный отрезок времени) и в динамике за прошедший период. Во-вторых, выявляет (должен выявлять) причины и ведущие тенденции их действия, которые определяли экономическую ситуацию в прошлом (недавнем прошлом).
Текущий анализ является ретроспективным анализом результатов осуществленной хозяйственной деятельности, проводимым, как правило, по важнейшим отчетным периодам хозяйствования в основном на базе официальной отчетности и системного бухгалтерского учета. Текущий анализ называют также периодическим, поскольку он чаще всего проводится по текущим планово-отчетным периодам работы. Он базируется на бухгалтерской и статистической отчетности и позволяет оценить работу объединений, предприятий и их подразделений за месяц, квартал, год нарастающим итогом. Главная задача текущего анализа - объективная оценка результатов коммерческой деятельности, комплексное выявление неиспользованных резервов, мобилизация их для повышения экономической эффективности производства в будущих плановых периодах, а также выявление недочетов в работе и их виновников, достижение полного соответствия материального и морального стимулирования по результатам труда и качеству работы.
Этот вид анализа имеет и существенный недостаток - выявленные резервы означают навсегда потерянные возможности роста эффективности производства, поскольку относятся к прошлому периоду. В процессе анализа регистрируются хозяйственные ситуации, и результаты учитываются лишь в будущей работе, так как управляющая система получает информацию, как правило, поздно (например, по итогам месяца—лишь к середине следующего месяца) и восполнить недостатки, потерянные возможности уже нельзя. Поэтому для повышения действенности анализа ставится задача ускорить представление отчетности и ее аналитическую обработку. Текущий анализ проводится всеми экономическими и техническими службами управления, а также цехов и других подразделений по, всем разделам анализа. В целом по производственному объединению, предприятию составляется пояснительная записка к годовому отчету по итогам работы за год, где дается оценка хозяйственной деятельности и рекомендуются пути улучшения работы.
Ретроспективный анализ в значительной степени базируется на данных, которые собираются и систематизируются постоянно при оперативном анализе, поэтому от качества выполнения последнего зависит как результативность ретроспективного анализа, так и объем выполняемой при этом работы.
Задание 2.
По данным таблицы 1.1:
1. Составить модель зависимости фонда заработной платы работающих от трех факторов.
2. Рассчитать влияние этих факторов методом относительных разниц.
3. Дать краткое аналитическое заключение по результатам расчетов.
4. Назвать другие методы и приемы, которые могут быть использованы для анализа полученной модели и привести формулы расчета влияния факторов на результативный показатель.
Таблица 1.1.
| Показатель | Предыдущий год | Отчетный год | Абсолютное отклонение (+,-) | Темп роста, % |
| Фонд заработной платы работающих, тыс. руб. | 10080 | 12458 | +2378 | 123,6 |
| Производство продукции, работ, услуг, тыс. руб. | 67456 | 69804 | +2348 | 1 0 3,5 |
| Среднесписочная численность работающих, чел. | 131 | 127 | -4 | 97 |
| Производительность 1 работающего, тыс. руб. | 515 | 550 | +35 | 106,8 |
| Зарплатоемкость продукции, % | 15 | 18 | +3 | 119 |
Метод относительных разниц применяется для расчета влияния факторов на прирост результативного показателя в детерминированном анализе. При этом используются индексы факторов, последовательно влияющие на результативный показатель. Общая запись метода относительных разниц выглядит следующим образом:
Факторная модель: Фзп = Пп*Ч*Пт;
Тогда, влияние производства продукции Пп на фонд заработной платы Фзп:
∆ Фзп(Пп) = ( Фзп 0 *∆Пп)/100 = (10080*3,5)/100 = 352,8 тыс. руб.
влияние среднесписочной численности рабочих Ч на фонд заработной платы Фзп:
∆Фзп(Ч) = ((Фзп 0 +∆Фзп(Пп)) *∆Ч)/100 = ((10080+352,8)*(-3))/100 = -313 тыс. руб.
влияние производительности труда Пт на фонд заработной платы Фзп:
∆Фзп(Пт) = ((Фзп 0 +∆Фзп(Пп)+ ∆Фзп(Ч)) *∆Пт)/100 = ((10080+352,8-313)*6,8)/100 = 688,15 тыс. руб.
Общее влияние факторов на фонд заработной платы Фзп:
∆Фзп = ∆Фзп(Пп)+ ∆Фзп(Ч)+ ∆Фзп(Пт) = 352,8- 313+688,15 = 728 тыс. руб.
Как видно из приведенных расчетов, наибольшее влияние из трех рассматриваемых факторов на фонд заработной платы Фзп оказывает производительность работающих, производство основной продукции также оказывает положительное влияние, при этом снижение среднесписочной численности работающих на предприятии оказывает негативное влияние на фонд заработной платы.
Для анализа заданной модели могут быть применены следующие методы:
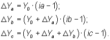
1. Способ цепной подстановки - является весьма простым и наглядным методом, наиболее универсальным из всех. Он используется для расчета влияния факторов во всех типах детерминированных факторных моделей . Способ (метод) цепных подстановок состоит в последовательной замене плановой (базовой) величины на фактическую (количество замен равно количеству факторов). После каждой замены из полученного результата вычитают предшествующий итог. Полученная разность показывает величину влияния изменения факторов на изучаемый совокупный показатель:
Последовательная замена факторов:
Расчет влияния факторов:
Баланс отклонений:
2. Метод абсолютных разниц применяется в мультипликативных моделях. Рассчитывается умножением абсолютного прироста факторов на базисную величину факторов, находящихся справа от измененного фактора, и на фактическую величину фактора, расположенного слева от него.
Схема расчета .
Задание 3.
По данным таблицы 1.2.
1. Рассчитать рентабельность продаж.
2. Используя интегральный метод, рассчитать влияние на изменение прибыли следующих факторов: объема продаж и их рентабельности.
3. Дать краткое аналитическое заключение по результатам расчетов.
Таблица 1.2.
| Показатель | Предыдущий год | Отчетный год | Абсолютное отклонение (+,-) | Темп роста, % |
| Объем продаж, тыс. руб. | 71684 | 70340 | -1344 | 98,1 |
| Прибыль от продаж, тыс. руб. | 15684 | 16915 | +1231 | 107,8 |
| Рентабельность продаж, % | 21,879 | 24,047 | +2,168 | 109,9 |
Интегральный метод позволяет достигнуть полного разложения результативного показателя по факторам и носит универсальный характер, т. е. применим к мультипликативным, кратным и смешанным моделям. Изменение результативного показателя измеряется на бесконечно малых отрезках времени, т. е. производится суммирование приращения результата, определяемого как частные произведения, умноженные на приращения факторов на бесконечно малых промежутках.
∆Пр( N ) = ∆ N * P 0 +1/2 (∆ N *∆Р) = -1344*0,22 + ½ *(-1344)*2,168/100 = -309,12 тыс. руб .
∆Пр( P ) = ∆ P * N 0 +1/2 (∆ N *∆Р) = 71684*0,02168 + ½ *(-1344)* 2,168/100 = 1539,54 тыс. руб.
Тогда, общее влияние факторов:
∆Пр = ∆Пр( N ) + ∆Пр( P ) = -309,12 + 1539,54 = 1230,42 тыс. руб.
Проверим: 15684+ 1230,42=16914,42 тыс.руб (разница в 0,003%).
Проанализируем расчеты: так как объем продаж по состоянию на конец отчетного периода уменьшился, то и его влияние на изменение прибыли является отрицательным ( -309,456), но так как рентабельность продаж выросла то и ее влияние на прибыль оказалось положительным (+1455,74), необходимо наращивать объемы продаж.
Задание 4.
По данным таблицы 1.3:
1. Рассчитать интегральный показатель оценки хозяйственной деятельности цехов методом расстояний с использованием абсолютных величин.
2. Провести ранжирование подразделений.
Таблица 1.3.
| Показатель | Цех № 1 | Цех № 2 | Цех № 3 |
| Производство продукции, работ, услуг, тыс. руб. | 18680 | 15864 | 16830 |
| Выработка продукции на одного работающего, тыс. руб. | 78,50 | 75,89 | 71,96 |
| Затраты на 1 руб. произведенной продукции, коп. | 89 | 85 | 83 |
Основой метода расстояний является учет близости объектов по сравниваемым показателям к объекту-эталону. Важно правильно определить эталон. За эталон может быть принят условный объект с максимальными элементами по всем показателям:

В некоторых случаях типичным объектом считается такой, значения показателей которого равны средним арифметическим уровням показателей в изучаемой совокупности. Однако в совокупности экономических объектов, где преобладают асимметрические распределения, среднее арифметическое в качестве характеристики типичного, эталонного объекта утрачивает свое значение.
Иногда предлагается использовать дополнительно в качестве эталона 100 %-е выполнение плана по всем показателям, указывая при этом на нежелательность как недовыполнения, так и перевыполнения плана.
Расчет комплексной оценки проводится по формуле евклидового расстояния от точки эталона до конкретных значений показателей оцениваемых объектов. Перед конкретными расчетами, когда элементами расстояния являются несоизмеримые единицы показателей, проводится нормирование путем деления значений показателей x ij
на значения показателя эталонного объекта
. Для каждого объекта рассчитывается расстояние до эталона по следующей формуле:

Упорядочивая значения K j по возрастанию, получаем комплексное ранжирование хозяйственных объектов, причем наименее удаленный от точки эталона объект получает наивысшую оценку (первое место) и т. д. Необходимо обращать внимание на обоснованность расстояний между значениями показателей конкретного цеха и эталона без учета того, что отдельные стороны деятельности оказывают неодинаковое влияние на эффективность производства. При таких условиях на отдельные показатели можно смотреть как на равноправные, имеющие одинаковую важность. Для того чтобы отдельным показателям придавать тот или иной вес и получать экономически более обоснованное расстояние, целесообразно использовать коэффициент сравнительной значимости а i .
Ранжирование (метод ranking ) — распределение экономических величин по возрастающим или убывающим показателям, характеризующим те или иные их свойства, качества. Поскольку в экономике измерение не всегда возможно, многие экономические величины приходится просто сравнивать между собой и располагать в определенном порядке, т.е. ранжировать. Такому упорядочению при экономико-математическом моделировании подвергаются, например, показатели качества продукции, показатели подготовленности кадров, степень (уровень) выполнения плана предприятиями, настоятельность тех или иных потребностей и т.д.
Также ранжирование — расстановка элементов системы по рангу, по признакам значимости, масштабности; установление порядка расположения, места лиц, проблем, целей и задач в зависимости от их важности, весомости.
Метод вычисления расстояний базируется на векторно-матричной алгебре, при этом вводится специального вида метрика, характеризующая расстояние между анализируемыми объектами. Такая метрика используется в виде обобщенного критерия, так как описывает обобщенное расстояние между текущим объектом и объектом, с которым производится сравнение. Обычно рассматриваются расстояния между некоторым фактическим объектом и его идеальным представлением.
Если за идеальное принять фактически достигнутое в конкурентной борьбе значение показателя у наиболее удачливого конкурента, то значение интегрального критерия можно рассчитать по формуле:
, |
где
– рейтинговое число (значение интегрального критерия) j-го предприятия,
– стандартизированный i
-ый показатель j
-го предприятия.
Поскольку значение каждого показателя по условному эталонному предприятию принято за 1, то все его координаты равны 1, а
характеризует расстояние (удаление) анализируемого предприятия от условного в многомерном пространстве.
За эталон принимаем Цех № 1 – его координаты равны 1.
Тогда показатели по другим цехам:
Таблица 1.4.
| Показатель | Цех № 1 | Цех № 2 | Цех № 3 |
| Производство продукции, работ, услуг, тыс. руб. | 1 | 0,849 | 0,901 |
| Выработка продукции на одного работающего, тыс. руб. | 1 | 0,967 | 0,917 |
| Затраты на 1 руб. произведенной продукции, коп. | 1 | 0,955 | 0,933 |
Рассчитаем интегральный показатель Цеха № 2:
R 2 = sqrt ((1-0.849) 2 +(1-0.967) 2 +(1-0.955) 2 ) = 0.161.
Рассчитаем интегральный показатель Цеха № 3:
R 3 = sqrt ((1-0.901) 2 +(1-0.917) 2 +(1-0.933) 2 ) = 0.146.
Проведем ранжирование предприятий:
Таблица 1.5.
| Цех № 1 | Цех № 2 | Цех № 3 |
| 1 | 3 | 2 |
Список литературы
1. Теория анализа хозяйственной деятельности. Под ред. Осмоловского В.В.-Минск: Новое знание, 2001
2. Савицкая Г.В. Теория анализа хозяйственной деятельности.- Минск: Новое знание, 2002.
3. Шеремет А.Д. Методика финансового анализа.-М.:Инфра- М.2001.
4. Баканов М.И. Теория экономического анализа.- М.: Финансы и статистика, 1997
∆


,