| Похожие рефераты | Скачать .docx |
Курсовая работа: Характеристика запасов на промышленных предприятиях
Московский Государственный Индустриальный Университет
Факультет Экономики Менеджмента и Информационных Технологий
Кафедра экономики и менеджмента
Москва 2001
Введение.
На уровне фирм запасы относятся к числу объектов, требующих больших капиталовложений, и поэтому представляют собой один из факторов, определяющих политику предприятия и воздействующих на уровень логистического обслуживания в целом. Однако многие фирмы не уделяют ему должного внимания и постоянно недооценивают свои будущие потребности в наличных запасах. В результате этого фирмы обычно сталкиваются с тем, что им приходится вкладывать в запасы больший капитал, чем предполагалось.
Изменения объема товарно-материальных запасов в значительной степени зависят от превалирующего на данный момент отношения к ним предпринимателей, которое, безусловно, определяется конъюнктурой рынка. Когда основная масса предпринимателей настроена оптимистично относительно возможностей экономического роста, они расширяют свои операции, увеличивают объем инвестиций в создание запасов. Тем не менее колебания уровней последних не вызываются одним лишь инвестированием. Важными факторами выступают здесь качество принимаемых решений, а также то, какая конкретно технология управления запасами используется.
Уменьшение запасов сокращает расходы по их содержанию, снижает издержки, ускоряет оборачиваемость оборотных средств, что в конечном счете повышает прибыль и рентабельность производства. Поэтому очень важно оптимизировать величину запасов.
Управление производственными запасами на предприятии предполагает выполнение следующих функций:
разработку норм запасов по всей номенклатуре потребляемых предприятием материалов;
правильное размещение запасов на складах предприятия;
организацию действенного оперативного контроля за уровнем запасов и принятие необходимых мер для поддержания нормального их состояния;
создание необходимой материальной базы для размещения запасов и обеспечения количественной и качественной их сохранности.
1. Понятие и категории товарно-материальных запасов. Издержки, связанные с запасами.
1.1. Понятие производственных запасов.
Своевременное обеспечение производства материальными ресурсами зависит от величины и комплектности производственных запасов на складах предприятия.
Производственные запасы - средства производства, поступившие на склады предприятия, но еще не вовлеченные в производственный процесс. Создание таких запасов позволяет обеспечивать отпуск материалов в цехи и на рабочие места в соответствии с требованиями технологического процесса. На создание запасов отвлекается значительное количество материальных ресурсов.
Товарно-материальные запасы всегда считались фактором, обеспечивающим безопасность системы материально-технического снабжения, ее гибкое функционирование, и являлись своего рода «страховкой». Существует 3 вида товарно-материальных запасов:
сырье, материалы (в том числе комплектующие изделия и топливо);
товары, находящиеся на стадии изготовления;
3) готовая продукция для обеспечения производства продукции партиями оптимального размера; удовлетворения ожидаемого спроса; компенсации отклонений фактического спроса от прогнозируемого (гарантийного) запаса.
Таким образом, существует много причин для создания товарно-материальных запасов на фирмах, но общим для них является стремление субъектов производственной деятельности к экономической безопасности. При этом следует отметить, что стоимость создания запасов и неопределенность условий сбыта не способствуют возрастанию значимости дорогостоящей резервной сети «безопасности» в глазах руководства фирм, т.к. противоречат повышению эффективности производства.
1.2. Издержки, связанные с производственными запасами.
Одним из сильнейших стимулов к созданию запасов является стоимость их отрицательного уровня (дефицита). При наличии дефицита запасов существуют следующие виды издержек:
издержки в связи с невыполнением заказа (задержкой с отправкой заказанного товара) - дополнительные затраты на продвижение и отправку товаров того заказа, который нельзя выполнить за счет имеющихся товарно-материальных запасов;
издержки в связи с потерей сбыта - в случаях, когда постоянный заказчик обращается за данной покупкой в другую фирму (измеряются в показателях выручки, потерянной из-за неосуществления торговой сделки);
издержки в связи с потерей заказчика - когда отсутствие запасов оборачивается не только потерей той или иной торговой сделки, но и тем, что заказчик начинает постоянно искать другие источники снабжения (издержки измеряются в показателях общей выручки, которую можно было бы получить от реализации всех потенциальных сделок заказчика с фирмой).
издержки по закупкам - издержки по оформлению заказа; по оформлению договора о поставках и коммуникации с поставщиками; транспортные издержки, если стоимость транспортировки не входит в стоимость получаемого товара; издержки по складированию и получению заказа. Некоторые из них фиксируются в заказе и не зависят от его объема, другие, например, транспортные и складские издержки, находятся в прямой зависимости от величины заказа.
издержки по содержанию запаса определяются затратами на складское хранение продукции в течение известного времени и зависят от объема складируемой продукции. Сюда относятся складские издержки и рентные платежи, если помещение арендуется, или текущие затраты по содержанию складов, принадлежащих производственной единице. К данному виду издержек относятся капитальные, страховые и налоговые издержки. Страховые запасы поддерживаются как защита от потерь запасов на случай пожара и краж. Запасы облагаются налогами по состоянию на день оценки. Этот уровень не всегда отражает действительное содержание запасов. К этой же группе издержек относятся потери от разрушения и порчи запасов.
издержки в результате отсутствия продукции несет изготовитель, если он не может удовлетворить спонтанно возникший спрос из-за отсутствия продукции на складе. Эти потери могут быть 2 видов:
• стоимость потерянных продаж, когда заказчик передает свой заказ другому изготовителю. Издержки определяются как потери прибыли от предполагаемых затрат;
• когда заказчик ожидает выполнения заказа. Продажи не потеряны, а отложены. Однако ожидание может создать дополнительные затраты на оформление заказа, транспортные и складские расходы, когда заказ не может быть выполнен через обычные каналы распределения. Определить эти издержки не составляет труда.
Стоимость дефицита запасов больше, чем просто цена упущенных торговых сделок или нереализованных заказов. В нее входят и потери времени на изготовление продукции, и потери рабочего времени, и возможно, потери времени из-за дорогостоящих перерывов в производстве при переходах между сложными технологическими весами.
1.3. Категории производственных запасов.
В зависимости целевого назначения запасы подразделяются на следующие категории:
технологические (переходные) запасы;
текущие (циклические) запасы;
резервные (страховые, или «буферные»).
Технологические и переходные запасы.
В любой момент времени в системе материально-технического снабжения обычно имеются определенные запасы, движущиеся из одной части этой системы в другую. В тех случаях материально-технического снабжения, когда перемещение запасов с одного уровня на другой занимает много времени, объем переходных запасов будет велик. При длительных сроках реализации заказов (например, при больших промежутках времени между изготовлением товара и его прибытием в готовом виде на склад) общее количество технологических запасов окажется большим. Точно так же при больших временных интервалах между моментом выхода товара со склада и моментом его учения заказчиком будет накапливаться значительное количество переходных запасов. К примеру, при среднем уровне спроса на данный товар, равном 200 изделий в неделю, и сроке его поставки заказчику, равном двум неделям, общий объем переходных запасов этого товара составит 400 изделий.
Для оценки среднего количества технологических или переходных товарно-материальных запасов в системе материально-технического обеспечения используется следующая формула:
J = S T,
J - общий объем технологических или переходных (находящихся в процессе транспортировки) товарно-материальных запасов;
S - средняя норма продаж этих запасов на тот или иной период времени;
Т - среднее время транспортировки.
Запасы объемом в одну партию товара (циклические) запасы.
Товары заказываются в количествах, избыточных по отношению к необходимым на данный момент объемам. Этому есть ряд причин: задержка с получением заказанных товаров в полном объеме, что вынуждает заказчиков (в особенности посредников хранить какое-то время те или иные товары на складе; скидки, предоставляемые заказчикам при продаже им товаров крупными партиями; налогообложение торговых сделок с минимальным разном партий, делающее невыгодной отправку заказчику товаров в количествах меньше установленного размера, и некоторые другие.
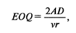
При этом существуют определенные ограничения на размер товарно-материальных запасов. Ограничителем выступают издержки их хранения. Поэтому возникает необходимость достижения баланса между преимуществами и недостатками, с одной стороны, заказывания, а с другой - хранения товаров. Этот баланс достигается выбором оптимального объема партий заказанных товаров, или определением экономического (оптимального) размера заказа (ЕОQ), который вычисляется по формуле:
![]()
А — затраты на производство,
D — средний уровень спроса,
v — удельные затраты на производство,
r — затраты на хранение.
Резервные («буферные») товарно-материальные запасы.
Служат «аварийным» источником снабжения в тех случаях, когда спрос на данный товар превышает ожидания. На практике спрос на товары удается точно спрогнозировать чрезвычайно редко. Это же относится и к точности предсказания сроков реализации заказов. Отсюда и необходимость в создании резервных товарно-материальных запасов.
В определенной степени услуги, предлагаемые той или иной компанией, представляют собой функцию ее резервных запасов, и наоборот резервные запасы компании являются функцией ее услуг. Компания будет пытаться минимизировать уровень своих резервных запасов в соответствии с декларированной ею стратегией обслуживания заказчиков. И здесь опять возникает необходимость компромисса между издержками хранения резервных запасов, предназначенных для приспособления к неожиданным колебаниям спроса, и выгодами, получаемыми компанией при поддержании такого уровня обслуживания своих клиентов.
Следовательно, определение точного уровня необходимых резервных запасов зависит от трех факторов, а именно:
1) возможного колебания сроков восстановления уровня запасов,
2) колебания спроса на соответствующие товары на протяжении срока реализации заказа,
3) осуществляемой данной компанией стратегии обслуживания заказчиков.
Определить точный уровень резервных запасов, необходимых в условиях нестабильности сроков реализации заказов и изменчивого спроса на товары и материалы нелегко. Для нахождения удовлетворительных решений проблем, связанных с резервными товарно-материальными запасами, необходимо соответствующее моделирование или имитация.
Поскольку на фирмах различных отраслей экономики создание товарно-материальных запасов определяется той специфической ролью, которую они играют в процессе выпуска продукции, объяснимы и различия в подходах к политике капиталовложений в данной области и к определению приоритетности задач, решаемых в ходе производства. На фирмах некоторых отраслей народного хозяйства основной задачей является контроль за сырьем, на предприятиях других - контроль за готовой продукцией, а на предприятиях отраслей, производящих инвестиционные товары, большая часть организационных усилий концентрируется на контроле за незавершенным производством.
Так, фирмы, выпускающие железнодорожный подвижной состав, производят эту продукцию по заказам потребителя. Никто не станет просто так создавать запасы, например, дизельных двигателей. В швейной промышленности создаются лишь минимальные запасы готовой продукции, что объясняется непостоянством вкусов и моды. В последнем случае значительная часть средств вкладывается в незавершенное производство - полуфабрикаты, которые заготовляются для того, чтобы быстро отреагировать на изменение потребностей рынка изделий.
Многие из фирм, функционирующих в различных отраслях экономики, успешно осуществляют инвестиции в товарно-материальные запасы. В то же время на большом количестве фирм бытует мнение, что управление запасами является сферой ответственности низшего уровня руководства - задачей технического порядка. Вместе с тем американские специалисты, пришли к выводу, что если бы типичная не преуспевающая фирма делала то же самое, что и преуспевающая, то ей бы удалось добиться ускорения оборачиваемости товарных запасов в два раза, т. е. при одном и том же товарообороте она смогла бы сократить запасы на 50%.
Коэффициенты оборачиваемости капитала характеризуются изменчивостью и существенно отличаются не только у преуспевающих и убыточных компаний, но и у фирм различного типа. Последнее объясняется спецификой структуры издержек в отраслях народного хозяйства, сезонными колебаниями сбыта, правилами конкурентной борьбы, принятыми в той или иной отрасли экономики, уровнем рентабельности, стилем руководства предприятиями и характером деловых операций. Таким образом, перечисленные обстоятельства следует отнести к весьма важным факторам, оказывающим серьезное влияние на эффективность политики любой фирмы в области создания и реализации запасов.
2. Виды производственных запасов.
Из определения понятия «запасы» можно сделать следующие выводы:
1. Не существует принципиального различия в процессе работы с запасами продуктов различного вида (сырье, материалы, комплектующие, готовая продукция), так как единственная функция запаса - обеспечение потребности.
2. Определяющим для размера запаса является характер потребления запаса продукта данного вида.
3. Вид запаса зависит от потребности, которую удовлетворяет запас.
Первый вывод связан с критерием классификации по месту нахождения запаса. Второй - с критерием классификации по времени, который позволяет выделить различные виды запасов в зависимости от их величины. Третий вывод позволяет добавить еще один критерий классификации - функцию запаса. Итак, критериями классификации запасов могут быть два параметра движения материальных потоков - пространство (или место нахождения) и время, а также функция запаса (рис. 6).

Рис. 1. Критерии классификации запасов.
2.1. Классификация по месту нахождения.
Один из ее вариантов приведен на рис. 2. Все запасы, имеющиеся в экономике, определены как совокупные. Они включают в себя сырье, материалы (основные и вспомогательные), полуфабрикаты, детали, готовые изделия, а также запасные части для ремонта средств производства. Основная часть совокупных запасов производства - предметы производства, входящие в материальный поток на различных стадиях его технологической переработки.
Совокупные запасы производства, как видно из рис. 2, подразделяются на 2 вида: производственные и товарные запасы. Производственные запасы формируются в организациях-потребителях. Товарные запасы находятся у организаций-изготовителей на складах готовой продукции, а также в каналах сферы обращения. Запасы в каналах сферы обращения разбиваются на запасы в пути и запасы на предприятиях торговли. Запасы в пути (транспортные) находятся на момент учета в процессе транспортировки от поставщиков к потребителям.
Каждая отдельная организация в логистической цепочке поставщиков и потребителей является, с одной стороны, организацией-поставщиком, а с другой - организацией-потребителем (рис.11). Следовательно, производственные и товарные запасы всегда имеются на предприятии.

Рис. 2. Виды запасов по месту нахождения и исполняемой функции.
2.2. Классификация по исполняемой функции.
Позволяет расчленить производственные и товарные запасы на несколько групп (рис. 7). В то же время производственные и товарные запасы имеют свои специфические функции. Производственные запасы предназначены для производственного потребления. Они должны обеспечивать бесперебойность производственного процесса. Производственные запасы учитываются в натуральных, условно-натуральных и стоимостных измерителях. К ним относятся предметы труда, поступившие к потребителю различного уровня, но еще не использованные и не подвергнутые переработке. Товарные запасы необходимы для бесперебойного обеспечения потребителей материальными ресурсами.
Производственные и товарные запасы подразделяются на текущие, подготовительные, страховые, сезонные и переходящие (рис.2). Текущие запасы обеспечивают непрерывность снабжения производственного процесса между двумя поставками, а также организаций торговли и потребителей. Текущие запасы составляют основную часть производственных и товарных запасов, их величина постоянно меняется. Подготовительные запасы (буферные) выделяются из производственных запасов при необходимости дополнительной их подготовки перед использованием в производстве (например, сушка леса). Подготовительные запасы товарных средств производства формируются при необходимости подготовить материальные ресурсы к отпуску потребителям. Гарантийные запасы (страховые) предназначены для непрерывного снабжения потребителя в случае непредвиденных обстоятельств: отклонения в периодичности и величине партий поставок от запланированных, изменения интенсивности потребления, задержки поставок в пути. В отличие от текущих запасов размер гарантийных запасов - величина постоянная. При нормальных условиях работы эти запасы неприкосновенны. Сезонные запасы образуются при сезонном характере производства продуктов, их потребления или транспортировки. Сезонные запасы должны обеспечить нормальную работу после организованного времени сезонного перерыва в производстве, потреблении или транспортировке продукции. Переходящие запасы - остатки материальных ресурсов на конец отчетного периода. Они предназначаются для обеспечения непрерывности производства и потребление в отчетном и следующем за отчетным периоде до очередной поставки.
2.3. Классификация по времени.
Позволяет выделить различные количественные уровни запасов. Их соотношение показано на рис. 3.

Рис. 3. Виды запасов по времени учёта.
Максимальный желательный запас определяет уровень запаса, экономически целесообразный в данной системе управления запасами. Этот уровень может превышаться. В различных системах управления максимальный желательный запас используется как ориентир при расчете объема заказа.
Пороговый уровень запаса используется для определения момента времени выдачи очередного заказа.
Текущий запас соответствует уровню запаса в любой момент учета. Он может совпасть с максимальным желательным запасом, пороговым уровнем или гарантийным запасом.
Гарантийный запас аналогичен гарантийному запасу в классификации по исполняемой функции и предназначен для непрерывного снабжения потребителя в случае непредвиденных обстоятельств.
Можно также выделить неликвидные запасы - длительно неиспользуемые производственные и товарные запасы. Они образуются вследствие ухудшения качества товаров во время хранения, а также морального износа. Это единственный вид запаса, который не соответствует определенным выше критериям.
3. Нормирование производственных запасов.
Нормирование производственных запасов - определение их минимального размера по видам материальных ресурсов для бесперебойного обеспечения производства. При нормировании производственных запасов сначала определяются нормы производственных запасов в днях, а затем в натуральном и денежном выражении.
Норма запаса в днях устанавливается на основе следующих данных.
1. Нахождение материалов в пути (транспортный запас Нтр). Определяется как разница между временем пробега груза от поставщика к потребителю и временем оборота платежных документов.
2. Приемка, разгрузка, складирование и анализ качества поступающих материалов (подготовительный запас Нп). Определяется на основе расчетного или фактического времени за отчетный период, скорректированного с учетом организационно-технических мероприятий по механизации погрузо-разгрузочных работ.
3. Технологическая подготовка материалов к производству (технологический запас Нт). Образуется в том случае, если до начала производства требуется предварительная обработка материалов (сушка древесины на мебельных фабриках). Определяется на основе нормативов времени для данных операций.
4. Пребывание материалов на складе (текущий запас Нтек). Удовлетворяет текущую потребность производства, обеспечивает ритмичную работу между очередными поставками материалов. Определяется умножением среднесуточной нормы потребления материала на плановый кратный интервал между двумя очередными поставками.
5. Резерв на случай перебоев в снабжении и увеличения выпуска продукции (страховой или гарантийный запас Нс). Характеризуется относительно постоянной величиной и восстанавливается после получения очередной партии материалов. Норматив страхового запаса материалов определяется по интервалу отставания поставок или по фактическим данным о поступлении материалов.
Общая норма производственных запасов по видам материальных ресурсов в днях определяется суммированием указанных видов запасов:
![]()
Норматив производственных запасов в натуральном выражении по каждому виду материальных ресурсов Ннат. определяет произведение норматива в днях на их однодневный расход Мдн в натуральном выражении:
![]()
Норматив в денежном выражении Ндн., т.е. норматив собственных оборотных средств на сырье, основные материалы, покупные полуфабрикаты, определяется произведением стоимости однодневного расхода сырья, основных материалов я полуфабрикатов (См) на норматив в днях.
![]()
Стоимость однодневного расхода См определяется путем умножения среднедневного расхода в натуральном выражении на цену материальных ресурсов, включая заготовительные расходы и стоимость отходов Ц по плановым нормам.
4. Основные системы управления запасами.
Логистическая система управления запасами проектируется с целью непрерывного обеспечения потребителя каким-либо видом материального ресурса. Реализация этой цели достигается решением следующих задач:
учет текущего уровня запаса на складах различных уровней, (рис. 12, 13)
определение размера гарантийного (страхового) запаса (рис.12),
расчет размера заказа,
определение интервала времени между заказами.
Когда отсутствуют отклонения от запланированных показателей и запасы потребляются равномерно, в теории управления запасами разработаны 2 основные системы управления, которые решают поставленные задачи, соответствуя цели непрерывного обеспечения потребителя материальными ресурсами. Такими системами являются:
1) система управления запасами с фиксированным размером заказа;
2) система управления запасами с фиксированным интервалом времени между заказами.
4.1. Система с фиксированным размером заказа.
Основополагающий параметр системы - размер заказа. Он зафиксирован и не меняется ни при каких условиях работы системы. Определение размера заказа является первой задачей, которая решается при работе с данной системой управления запасами.
В отечественной практике зачастую возникает ситуация, когда размер заказа определяется по каким-либо частным организационным соображениям. Например, удобство транспортировки или возможность загрузки складских помещений. Между тем в системе с фиксированным размером заказа объем закупки должен быть не только рациональным, но и оптимальным, т.е. самым лучшим. Поскольку мы рассматриваем проблему управления запасами в логистической системе отдельной организации или экономики в целом, то критерием оптимизации должен быть минимум совокупных затрат на хранение запасов и повторение заказа. Данный критерий учитывает три фактора, действующих на величину названных совокупных затрат:
• используемая площадь складских помещений;
• издержки на хранение запасов;
• стоимость оформления заказа.
Эти факторы взаимосвязаны между собой, направление их взаимодействия неодинаково в разных случаях. Желание максимально сэкономить затраты на хранение запасов вызывает рост затрат на оформление заказов. Экономия затрат на повторение заказа приводит к потерям, связанным с содержанием излишних складских помещений, и снижает уровень обслуживания потребителя. При максимальной загрузке складских помещений увеличиваются затраты на хранение запасов, более вероятен риск появления неликвидных запасов.
Использование критерия минимизации совокупных затрат на хранение запасов и повторный заказ не имеют смысла, если время исполнения заказа чересчур продолжительно, спрос испытывает существенные колебания, а цены на заказываемые сырье, материалы, полуфабрикаты сильно колеблются. В таком случае нецелесообразно экономить на содержании запасов. Это приведет к невозможности непрерывного обслуживания потребителя, что не соответствует цели функционирования логистической системы управления запасами. Во всех других ситуациях определение оптимального размера заказа обеспечивает уменьшение издержек на хранение запасов без потери качества обслуживания.
4.2. Оптимальный размер заказа.
Оптимальный размер заказа по критерию минимизации совокупных затрат на хранение запаса и повторение заказа рассчитывается по формуле Вильсона:
![]()
ОРЗ - оптимальный размер заказа, шт.;
А — затраты на поставку единицы заказываемого продукта, руб.;
S - потребность в заказываемом продукте, шт;
i — затраты на хранение единицы заказываемого продукта, руб./шт.
Затраты на поставку единицы заказываемого продукта включают элементы:
• стоимость транспортировки заказа;
• затраты на разработку условий поставки;
• стоимость контроля исполнения заказа;
• затраты на выпуск каталогов;
• стоимость форм документов.
Формула представляет собой первый вариант формулы Вильсона. Он ориентирован на мгновенное пополнение запаса на складе. В случае если пополнение запаса на складе производится за некоторый промежуток времени, то формула корректируется на коэффициент, учитывающий скорость этого пополнения:

k - коэффициент, учитывающий скорость пополнения запаса на складе.
Исходные данные для расчета параметров системы следующие:
• потребность в заказываемом продукте, шт.;
• оптимальный размер заказа, шт.;
• возможная задержка поставки, дни.
• время поставки, дни.
Гарантийный (страховой) запас позволяет обеспечивать потребность на время предполагаемой задержки поставки. При этом под возможной задержкой поставки подразумевается максимально возможная задержка. Восполнение гарантийного запаса производится в ходе последующих поставок через использование второго расчетного параметра данной системы - порогового уровня запаса.
Пороговый уровень запаса определяет уровень запаса, при достижении которого производится очередной заказ. Величина порогового уровня рассчитывается таким образом, что поступление заказа на склад происходит в момент снижения текущего запаса до гарантийного уровня. При расчете порогового уровня задержка поставки не учитывается.
Третий основной параметр системы управления запасами с фиксированным размером заказа - максимальный желательный запас. В отличие от предыдущих параметров он не оказывает непосредственного воздействия на функционирование системы в целом. Этот уровень запаса определяется для отслеживания целесообразной загрузки площадей с точки зрения критерия минимизации совокупных затрат. Графическая иллюстрация функционирования системы с фиксированным размером заказа приведена на рис. 4.

Рис. 4. График движения запасов в системе управления запасами с фиксированным размером заказа.
4.3. Система с фиксированным интервалом времени между заказами.
Система с фиксированным интервалом времени между заказами - последняя система управления запасами, которая относится к основным системам. Классификация систем на основные и прочие вызвана тем, что 2 рассматриваемые системы лежат в основе всевозможных иных систем управления запасами. В системе фиксированным интервалом времени между заказами заказы делаются в строго определенные моменты времени, которые отстоят друг от друга на равные интервалы, например один раз в месяц, один раз в неделю.
Определить интервал времени между заказами можно с учетом оптимального размера заказа. Оптимальный размер заказа позволяет минимизировать совокупные затраты на хранение запаса и повторение заказа, а также достичь наилучшего сочетания взаимодействующих факторов, таких, как используемая площадь складских помещений, издержки на хранение запасов и стоимость заказа. Расчет интервала времени между заказами можно производить следующим образом:
![]()
N — количество рабочих дней в году, дни;
S — потребность в заказываемом продукте, шт.;
ОРЗ — оптимальный размер заказа, шт.
Полученный с помощью формулы интервал времени между заказами не может рассматриваться как обязательный к применено. Он может быть скорректирован на основе экспертных оценок. Например, при полученном расчетном результате (4 дня), возможно, использовать интервал в 5 дней, чтобы производить заказы один раз в неделю.
Исходные данные для расчета параметров системы следующие:
потребность в заказываемом продукте, шт.;
интервал времени между заказами, дни;
время поставки, дни;
возможная задержка поставки, дни.
Гарантийный (страховой) запас, позволяет обеспечивать потребность на время предполагаемой задержки поставки (под возможной задержкой поставки также подразумевается максимально возможная задержка). Восполнение гарантийного запаса производится в ходе последующих поставок через пересчет размера заказа таким образом, чтобы его поставка увеличила запас до максимального желательного уровня. Графическая иллюстрация функционирования системы управления запасами с фиксированным интервалом времени между заказами представлена на рис. 5.
Так как в рассматриваемой системе момент заказа заранее определен и не меняется ни при каких обстоятельствах, постоянно пересчитываемым параметром является именно размер заказа. Его вычисление основывается на прогнозируемом уровне потребления до момента поступления заказа на склад организации. Расчет размера заказа в системе с фиксированным интервалом времени между заказами производится по формуле:
РЗ = МЖЗ – ТЗ + ОП,
РЗ — размер заказа, шт.;
МЖЗ — максимальный желательный запас, шт.;
ТЗ — текущий запас, шт.;
ОП — ожидаемое потребление за время поставки, шт.

Рис. 5. График движения запасов в системе управления запасами с фиксированным интервалом времени между заказами.
Как видно из формулы, размер заказа рассчитывается таким образом, что при условии точного соответствия фактического потребления за время поставки ожидаемому поставка пополняет запас на складе до максимального желательного уровня. Разница между максимальным желательным и текущим запасом определяет величину заказа, необходимую для восполнения запаса до максимального желательного уровня на момент расчета, а ожидаемое потребление за время поставки обеспечивает это восполнение в момент осуществления поставки.
5. Сравнение основных систем управления запасами.
Можно предположить идеальную ситуацию, в которой исполнение заказа происходит мгновенно (другими словами, время поставки равно нулю). Тогда заказ можно производить в момент, когда запасы материальных ресурсов на складе равны нулю. При постоянной скорости потребления обе рассмотренные системы управления запасами (с фиксированным размером заказа и фиксированным интервалом времени между заказами) становятся одинаковыми, так как заказы будут производиться через равные интервалы времени, а размеры заказов всегда будут равны друг другу. Гарантийные запасы каждой из 2 систем сведутся к нулю. Такая ситуация проиллюстрирована на рис. 6.

Рис. 6. График движения запасов в основных системах управления запасами при мгновенном исполнении заказа.
Сравнение рассмотренных систем управления запасами приводит к выводу о наличии у них взаимных недостатков и преимуществ. Система с фиксированным размером заказа требует непрерывного учета текущего запаса на складе. Напротив, система с фиксированным интервалом времени между заказами требует лишь периодического контроля количества запаса. Необходимость постоянного учета запаса в системе с фиксированным размером заказа можно рассматривать как основной ее недостаток. Напротив, отсутствие постоянного контроля за текущим запасом в системе с фиксированным интервалом времени между заказами является ее основным преимуществом перед первой системой.
Следствием преимущества системы с фиксированным интервалом времени между заказами является то, что в системе с фиксированным размером заказа максимальный желательный запас всегда имеет меньший размер, чем в первой системе. Это приводит к экономии на затратах по содержанию запасов на складе за счет сокращения площадей, занимаемых запасами, что составляет преимущество системы с фиксированным размером заказа перед системой с фиксированным интервалом времени между заказами Преимущества и недостатки рассмотренных систем управления запасами сведены в табл. 1.
Таблица 1
Сравнение основных систем управления запасами.
| Система | Преимущества | Недостатки |
| С фиксированным размером заказа | Меньший уровень максимального желательного запаса Экономия затрат на содержание запасов на складе за счет сокращения площадей под запасы |
Ведение постоянного контроля наличия запасов на складе |
| С фиксированным интервалом времени между заказами | Отсутствие постоянного контроля наличия запасов на складе | Высокий уровень максимального желательного запаса Повышение затрат на содержание запасов на складе за счет увеличения площадей под запасы |
Использование той или иной системы зависит от следующих обстоятельств:
Если издержки управления запасами значительные и их можно вычислить, то следует применять систему с фиксированным размером заказа.
Если издержки управления запасами незначительные, то более предпочтительной оказывается система с постоянным уровнем запасов.
При заказе товаров поставщик налагает ограничения на минимальный размер партии. В этом случае желательно использовать систему с фиксированным размером заказа, поскольку легче один раз скорректировать фиксированный размер партии, чем непрерывно регулировать его переменный заказ.
Однако если налагаются ограничения, связанные с грузоподъемностью транспортных средств, то более предпочтительной является система с постоянным уровнем запасов.
Система с постоянным уровнем запасов более предпочтительна и в том случае, когда поставка товаров происходит в установленные сроки.
Система с постоянным уровнем и система с двумя уровнями часто выбирается тогда, когда необходимо быстро реагировать на изменение сбыта.
Системы регулирования запасов имеют регулирующие параметры.
6. Прочие системы управления запасами.
Разобранные выше основные системы управления запасами базируются на фиксации одного из двух возможных параметров - размера заказа или интервала времени между заказами. В условиях присутствия отклонений от запланированных показателей и равномерного потребления запасов, для которых разработаны основные системы, такой подход является вполне достаточным. Однако на практике чаще встречаются иные, более сложные ситуации. В частности, при значительных колебаниях спроса основные системы управления запасами не в состоянии обеспечить бесперебойное снабжение потребителя без значительного завышения объема запасов.
При наличии систематических сбоев в поставке и потреблении основные системы управления запасами становятся неэффективными. В таких случаях проектируются иные системы управления запасами. Их составляют ремонты основных систем управления запасами. Каждая из основных систем имеет определенный порядок действий. Так, в системе с фиксированным размером заказа заказ производится в момент достижения порогового уровня запаса, величина второго определяется с учетом времени и возможной задержки поставки. В системе с фиксированным интервалом времени между заказами размер заказа определяется исходя из наличного объема запасов и ожидаемого потребления за время поставки.
Различное сочетание звеньев основных систем управления запасами, а также добавление новых идей в алгоритм работы системы приводит к возможности формирования огромного числа систем управления запасами, отвечающих самым разнообразным требованиям.
6.1. Система с установленной периодичностью пополнения запасов до постоянного уровня.
В данной системе, как и в системе с фиксированным интервалом времени между заказами, входным параметром является период времени между заказами. В отличие от основной системы она ориентирована на работу при значительных колебаниях потребления. Чтобы предотвратить завышение объема запасов, содержащихся на складе, или их дефицит, заказы производятся не только в установленные моменты времени, но и при достижении запасом порогового уровня. Таким образом, рассматриваемая система включает в себя элемент системы с фиксированным интервалом времени между заказами (установленную периодичность оформления заказа) и элемент системы с фиксированным размером заказа (отслеживание порогового уровня запасов).
Исходные данные для расчета параметров системы таковы:
• потребность в заказываемом продукте, шт.;
• интервал времени между заказами, дни;
• время поставки, дни;
• возможная задержка поставки, дни.
Гарантийный (страховой) запас позволяет обеспечивать потребителя в случае предполагаемой задержки поставки. Под возможной задержкой поставки подразумевается максимально возможная задержка. Восполнение гарантийного запаса производится во время последующих поставок через пересчет размера заказа таким образом, чтобы его поставка увеличила запас до максимального желательного уровня. Гарантийный запас не оказывает непосредственного воздействия на функционирование системы в целом.
Из системы управления запасами с фиксированным размером заказа рассматриваемая система заимствовала параметр порогового уровня запаса. Пороговый уровень запаса определяет уровень запаса, при достижении которого производится очередной заказ. Величина порогового уровня рассчитывается исходя из значения ожидаемого дневного потребления таким образом, что поступление заказа происходит в момент снижения текущего запаса до гарантийного уровня. Отличительной особенностью системы является то, что заказы делятся на 2 категории. Плановые заказы производятся через заданные интервалы времени. Возможны дополнительные заказы, если наличие запасов на складе доходит до порогового уровня. Очевидно, что необходимость дополнительных заказов может появиться только при отклонении темпов потребления от запланированных.
Максимальный желательный запас представляет собой тот постоянный уровень, пополнение до которого считается целесообразным. Этот уровень запаса косвенно (через интервал времени между заказами) связан с наиболее рациональной загрузкой площадей склада при учете возможных сбоев в поставках и необходимости бесперебойного снабжения потребления. ![]()
Постоянно рассчитываемым параметром системы управления запасами с установленной периодичностью пополнения запасов до постоянного уровня является размер заказа. Как и в системе с фиксированным интервалом времени между заказами, его вычисление основывается на прогнозируемом уровне потребления до момента поступления заказа на склад организации. Расчет размера заказа в рассматриваемой системе производится по 2 формулам:1 - в зафиксированные моменты заказов, 2 - в момент достижения порогового уровня.
РЗ = МЖЗ - ПУ + ОП,
РЗ — размер заказа, шт.;
МЖЗ — максимальный желательный запас, шт.;
ПУ — пороговый уровень запаса, шт.;
ОП — ожидаемое потребление до момента поставки, шт.
Размер заказа рассчитывается таким образом, что при условии точного соответствия фактического потребления (до момента поставки) прогнозируемому поставка пополняет запас на складе до максимального желательного уровня.
Графическая иллюстрация функционирования системы управления запасами с установленной периодичностью пополнения запасов до постоянного уровня приведена на рис. 7.
6.2. Система «минимум-максимум».
Эта система, как и система с установленной периодичностью пополнения запасов до постоянного уровня, содержит в себе элементы основных систем управления запасами. Как и в системе с фиксированным интервалом времени между заказами, здесь используется постоянный интервал между ними. Система «минимум-максимум» ориентирована на ситуацию, когда затраты на учет запасов и издержки на оформление заказа настолько значительны, что становятся соизмеримы с потерями от дефицита запасов. Поэтому в рассматриваемой системе заказы производятся не через каждый заданный интервал времени, а только при условии, что запасы на складе в этот момент оказались равными или меньше установленного минимального уровня. В случае выдачи заказа его размер рассчитывается так, чтобы поставка пополнила запасы до максимального желательного уровня. Таким образом, данная система работает лишь с двумя уровнями запасов - минимальным и максимальным, чему она и обязана своим названием.

Рис. 7. График движения запасов в системе управления запасами с установленной периодичностью их пополнения до постоянного уровня.
Исходные данные для расчета параметров системы таковы:
• потребность в заказываемом продукте, шт.;
• интервал времени между заказами, дни;
• время поставки, дни;
• возможная задержка поставки, дни.
Довольно часто имеют место многообразные сочетания возмущающих воздействий, отклоняющих систему управления запасами от нормального функционирования. На рис. 8 в левом столбце приведены возмущающие воздействия, приводящие систему в состояние дефицита материальных запасов. В правом столбце - возмущающие воздействия, приводящие к возможному дефициту складских площадей (если такой возможен). Правый и левый столбцы отражают гипотетическую ситуацию крайне неблагоприятного суммарного воздействия на систему Более вероятно разнообразное сочетание воздействий, перечисленных в правом и левом столбцах. Эта вероятность зависит от конкретных условий функционирования системы управления запасами
В рассмотренных ранее системах управления запасами, несмотря на ориентацию их на стабильные условия функционирования, предусмотрена возможность сглаживания сбоев в поставках и потреблении. Так, система с фиксированным размером заказа учитывает одно из восьми возмущающих воздействий (рис.8), а именно задержку поставки. Это воздействие снимается введением в систему параметра гарантийного (страхового) запаса. Он позволяет обеспечивать потребность на время предполагаемой задержки поставки.

Рис. 8. Возможные возмущения в системе управления запасами.
Если возможная задержка поставки будет представлять собой максимально возможную задержку, то механизм системы предохранит потребителя дефицита в случае единичного сбоя в поставках (рис. 4). Второй расчетный параметр системы - пороговый уровень обеспечивает поддержку системы в бездефицитном состоянии. Период же времени, через который происходит пополнение гарантийного запаса расчетного объема, зависит от конкретных значений исходных и тактических параметров системы. Система с фиксированным интервалом времени между заказами также учитывает возмущающее воздействие задержки поставки (рис. 8). Как и в системе с фиксированным размером заказа, его воздействие снимается параметром гарантийного (страхового) запаса (рис. 5). Восполнение гарантийного запаса до расчетного объема производится во время последующих поставок через расчет размера заказа таким образом, чтобы его поставка увеличила запас до максимального желательного уровня. Если прогноз потребления до момента будущей поставки был точным, механизм системы с фиксированным интервалом времени между заказами предохранит потребителя от дефицита материальных ресурсов при сбоях в поставках.
Система с установленной периодичностью пополнения запасов до постоянного уровня, в отличие от основных систем управления запасами, учитывает возможность, как задержки поставки, так и изменения темпов потребления от запланированных. Расширение способности системы противостоять незапланированным возмущающим воздействиям связано с объединением идей использования порогового уровня и фиксированного интервала между заказами. Отслеживание порогового уровня повышает чувствительность системы к возможным колебаниям интенсивности потребления (рис. 8).
Система «минимум-максимум» ориентирована на ситуацию, когда затраты на учет запасов на складе и издержки на оформление заказа настолько значительны, что становятся соизмеримы с потерями от дефицита запасов. Это единственная из рассмотренных ранее систем, допускающая дефицит запасов по экономическим соображениям. Тем не менее, и система «минимум-максимум» учитывает возможность задержки поставки через параметр гарантийного запаса.
Таким образом, рассмотренные основные и прочие системы управления запасами применимы лишь к весьма ограниченному спектру условий функционирования и взаимодействия поставщиков и потребителей. Повышение эффективности использования систем управления запасами в логистической системе организации приводит к необходимости разработки оригинальных систем управления запасами. В теории управления запасами имеется достаточное количество специальных способов ведения такой работы. В данном учебнике для проектирования логистической системы управления запасами рекомендуется методика, основанная на имитационном графическом моделировании поведения системы. Она проста в применении, нетрудоемка и дает хорошие результаты.
7. Решение проблем производственных запасов на фирмах.
В условиях обострившейся конкуренции среди мер, с помощью которых можно обеспечить рационализацию производства и усовершенствовать его технологию, следует выделить снижение длительности производственного цикла и времени хранения запасов в цехах и на складах. Применяемые в настоящее время системы управления производством не всегда удовлетворяют требованиям рынка. К их основным недостаткам следует отнести:
• слишком большие отклонения сметного планирования от реального положения дел, несмотря на значительные затраты на электронную обработку данных и систему в целом;
• отсутствие возможностей эффективно влиять на производительность, длительность производственного цикла и необходимый уровень запасов;
• недостаточная свобода действий планирующих структур и связанных с планированием сотрудников.
Как показывает зарубежный опыт, в промышленно развитых странах эффективное время обработки детали составляет максимально 20% от времени производственного цикла. Это свидетельствует о длительном нахождении детали в производстве в полуготовом виде и приводит к созданию больших запасов, а соответственно и росту затрат на них. Исследования, проводимые в ряде западных стран, дают основания утверждать, что ожидаемая прибыль от каждого процента сокращения уровня запасов может быть приравнена к 10% росту оборота.
В настоящее время значительно возросли требования рынка к параметрам изделий, и, прежде всего, к их качеству. Произошло это вследствие преобладания предложения над спросом, наличия избыточных производственных мощностей. Отсюда следует, что успеха в конкурентной борьбе может достигнуть тот, кто наиболее рациональным образом построил свое производство, так что его экономические показатели находятся на оптимальном уровне. Эта цель достигается, кроме прочих мер, путем:
• снижения затрат, связанных с созданием и хранением запасов;
• сокращения времени поставок;
• более четкого соблюдения сроков поставки;
• увеличения гибкости производства, его приспособленности к условиям рынка;
• повышения качества изделий;
• увеличения производительности.
В последние годы произошло заметное усовершенствование методов производства, что позволило снизить производственные расходы. Дальнейшая экономия средств, как уже отмечалось, может быть достигнута, если будут реализованы резервы, заложенные в рационализации процессов, обеспечивающих производство. Прежде всего, это относится к оптимизации запасов. Решения, принимаемые руководством фирм в этой области, в конечном счете касаются каждого отдельного вида товара или предмета хранения а конкретная единица которых, подлежащая контролю, называется единицей учета запасов (е.у.з.).
Изучение реально действующих систем управления запасами, состоящих из многих е.у.з., показало, что существует статистическая закономерность, определяющая размеры потребности в видах товаров, представленных в запасах. Типично положение, когда примерно на 20% е.у.з. приходится 80% объема спроса в денежном выражении. При этом для запасов товаров широкого потребления характерна меньшая концентрация е.у.з. высокой стоимости чем
для запасов товаров промышленного назначения. Отсюда следует, что все е.у.з., составляющие запасы фирмы, не должны контролироваться на одном уровне.
Данный вывод является одним из наиболее важных, и его необходимо учитывать при управлении многими видами запасов при условии, что они рассматриваются изолированно друг от друга. Это помогает идентифицировать наиболее важные е.у.з., находящиеся в запасах. Они получают приоритет при распределении времени в процессе управления товарно-материальными запасами в любой рассматриваемой системе. Однако относительный приоритет, которым пользуется та или иная продукция, часто меняется, так как спрос на нее, как и ее стоимость, не остаются постоянными. Это значит, что распределение по стоимости единиц учета товаров представляет собой динамическое, а не статичное понятие.
Благодаря активизации ряда факторов, в том числе и внедрению логистики, многие современные предприятия последовательно связаны друг с другом, производство и система запасов приобретают взаимозависимый характер. В такой ситуации управление производством означает организацию работы не только каждого звена в отдельности, но и всех вместе как единого целого. Анализируя систему производственных заказов, многие фирмы стали исходить из метода комплексного регулирования, позволяющего гармонично соединить все звенья и соизмерить объемы производства и запасов. Для этого, по мнению руководства фирм, важно снизить их колебания на каждой стадии путем точного прогнозирования спроса на продукцию и проведения такой политики заказов, которая позволила бы сбалансировать изменения спроса. Кроме того, для достижения искомого соответствия на каждой стадии все расхождения необходимо регистрировать, и информация о них путем использования обратной связи должна учитываться в исходном производственном плане с последующей возможностью корректировки.
В целях снижения на каждой стадии соразмерности объемов производства и товарно-материальных запасов в настоящее время наиболее широко применяется такой метод контроля, как обратная связь в системе производственных запасов. Благодаря целенаправленному применению организационных, плановых и контрольных мероприятий возможно, с одной стороны, воспрепятствовать созданию излишних запасов, а с другой - устранить такой недостаток, как отсутствие готовности к поставкам.
Логистический подход к управлению товарно-материальными запасами предусматривает отказ от функционально-ориентированной концепции в этой области, так как она имеет следующие недостатки:
• проблемы, возникающие в связи с созданием и хранением запасов, часто решаются по принципу поиска виновного в другой структуре вместо выявления их истинных причин;
• функциональные звенья каждой организационной структуры разрабатывают собственную политику запасов, что не всегда согласовывается на более высоком уровне организации;
• производство, как правило, обеспечивается излишками товарно-материальных запасов.
Следовательно, проблема запасов не может быть решена, если отдельные функции организационной структуры будут развиваться некомплексно. Требование оптимизации запасов привело к необходимости разработать единую концепцию ответственности за товарно-материальные запасы.
С развитием логистики на фирмах началась перестройка управления материальными запасами, стала налаживаться их тесная координация с общим материальным потоком фирм. В соответствии с целями этой перестройки были созданы отделы материальных потоков, не зависящие от сектора складов производственного отдела предприятия. Среди экстренных задач, поставленных перед вновь созданными отделами, следует выделить «сведение до нуля погрешностей в складировании» и «передачу данных о состоянии складских запасов в масштабе реального времени». Принятые меры дали положительные результаты - произошло повышение эффективности транспортировки товаров и погрузочно-разгрузочных работ. Однако по мере рационализации материальных потоков на первый план выдвинулась проблема управления складскими запасами.
Интересным вариантом решения проблем складирования является производство без складов, внедрение которого невозможно без кардинальных изменений во всем комплексе процессов, обеспечивающих производство, да и в самом производстве, и требует значительных финансовых затрат. При этом, как выяснилось, необходимо было решить несколько задач, среди которых, прежде всего, задачу создания высокоточной информационной системы складирования, позволяющей использовать банк данных в реальном масштабе времени. При использовании данной системы продукция выпускается лишь в объеме, обеспечивающем сбыт. Исходное сырье и материалы закупаются только в размерах, необходимых для удовлетворения спроса. В обратной форме эту систему можно свести к формуле: «производится только необходимая продукция, только когда требуется, и только в требуемом объеме».
Ранее, когда производство работало на стабильный рынок, оно могло существовать без учета этих факторов. В условиях же постового снижения стабильности рынка и активного отслеживания спроса дорогостоящие резервные запасы вытесняются системой информации и надлежащей организацией управления, дающими большой эффект. В связи с этим логистика снабжения не может абстрагироваться от того, что происходит на конечных стадиях производства. Причем ключевым фактором является знание положения рынке и условий доступа на него.
Последние новшества в сфере производства таковы: дифференциация продукции на возможно более поздней стадии производства на базе использования максимально однотипных комплектующих; использование выгод массового производства не на стадии сборки, на стадии изготовления комплектующих изделий; стремление к максимальному удовлетворению потребностей клиента на этапе выбора товара для производства. Все это требует гибкости производства на цеховом уровне, достигаемой как за счет расширения возможностей по переналадке оборудования, так и благодаря применению новых методов управления запасами - «канбан» и «точно в срок».
Суть системы «канбан» состоит в том, чтобы наличные запасы по своему количеству соответствовали потребностям начальной стадии производственного процесса, а не накапливались, как прежде.
Одним из методов сокращения запасов, повышения гибкости производства и возможности противостояния возрастающей конкуренции стал метод «точно в срок», получивший наибольшее распространение в США и странах Западной Европы. Сущность метода базируется на трех предпосылках. Во-первых, предполагается, что заявкам потребителей готовой продукции должны соответствовать не ее предварительно накопленные запасы, а производственные мощности, готовые перерабатывать сырье и материалы, поступающие почти «с колес». Вследствие этого объем производственных запасов, квалифицируемый как замороженные мощности, минимизируется. Во-вторых, в условиях минимальных запасов необходима непрерывная рационализация организации и управления производством, ибо высокий объем запасов нивелирует, в известном смысле маскирует ошибки и недостатки в этой области, узкие места производства, несинхронизированные операции, неиспользуемые производственные мощности, ненадежную работу поставщиков и посредников. В-третьих, для оценки эффективности производственного процесса, помимо уровня затрат и производительности фондов, следует учитывать срок реализации заявки, так называемую длительность полного производственного цикла. Короткие сроки реализации заявок облегчают управление предприятием и способствуют росту его конкурентоспособности благодаря возможности оперативного и гибкого реагирования на изменения внешних условий.
В противоположность традиционным методам управления, в соответствии с которыми центральное звено планирования производства выдает производственные задания всем отделам и промышленным подразделениям, при методе «точно в срок» централизованное планирование касается только последнего звена логистической цепи, т.е. склада готовой продукции. Все другие производственные и снабженческие единицы получают распоряжения непосредственно от звена, находящегося ближе к концу логистической цепи. К примеру, склад готовых изделий дал заявку (что равнозначно выдаче производственного задания) на определенное число изделий в монтажный цех, монтажный цех отдает распоряжение об изготовлении подузлов цехам обработки.

а)

б)
Рис. 9. Управление производством: а - в традиционной системе; б - в системе «точно в срок».
Это означает, что производственное задание всегда выдается подавлению, использующему (или обрабатывающему) данную деталь. Тем самым, материалопоток от «источника» к «потребителю» предваряется потоком информации в обратном направлении, т. е. производству «точно в срок» предшествует информация «точно в срок».
Практика показывает, что для эффективного внедрения стратегии «точно в срок» необходимо изменение способа мышления целого коллектива, занимающегося вопросами производства и сбыта. Традиционный стереотип мышления типа «чем больше, тем лучше» должен быть заменён схемой «чем меньше, тем лучше», если речь идет об уровне запасов, использовании производственных мощностей, продолжительности производственного цикла или о величине партии продукции.
Результаты анализа, проведенного по внедрению концепции «точно в срок» на западноевропейских предприятиях, являются многообещающими. Усредненные данные, полученные более чем на 100 обследованных объектах (отдельные проекты функционируют на фирмах непрерывно от 2 до 5 лет), таковы:
• запасы незавершенного производства сократились более чем на 80%;
• запасы готовой продукции снизились примерно на 33%;
• объем непроизводственных запасов (материалов и полученных по кооперации деталей) колебался от 4 часов до 2 дней по сравнению с 5-15 днями до внедрения метода «точно в срок»;
• продолжительность производственного цикла (срок реализации заданий всей логистической цепи) сократилась примерно на 40%;
• производственные издержки снизились на 10-20%;
• значительно повысилась гибкость производства.
Затраты, связанные с подготовкой и внедрением стратегии «точно в срок», относительно невелики и окупались, как правило, уже через несколько месяцев функционирования этой системы. Использование стратегии «точно в срок» дает и другие выгоды, в том числе неэкономического характера. Использование принципов системы «точно в срок» оказывает также положительное влияние на долгосрочную инвестиционную политику предприятия, которая в данном случае отдает предпочтение машинам и оборудованию, связанным с гибкой автоматизацией производственных, транспортных и контрольных процессов.
В течение последних 15 лет в промышленно развитых странах было разработано множество моделей, имеющих отношение к различным вопросам управления запасами. При помощи моделирования доказывается эффективность применяемых мер в процессе производства или выполнения производственной программы, поскольку могут быть измерены периоды прохождения продукта через всю технологическую линию. При помощи моделирования можно также проверить проекты гибких производственных участков, обслуживаемых автоматическими транспортными средствами, оценить затраты на материально-техническое снабжение производства. Проектирование складов с применением компьютера дает возможность получить информацию об их оптимальной системе, величине необходимых Капиталовложений и затратах на эксплуатацию складов.
Фирмы часто используют математические модели для выбора уровня запасов путем балансирования затрат на подготовительные операции или расходов на выполнение заказа и сопоставления затрат при дефиците запасов с затратами на их хранение. Затраты на хранение запасов включают в себя не только затраты на содержание пасов на складе, издержки вследствие порчи продукции и морального износа, но и упущенную выгоду, т. е. норму прибыли, которую можно было бы получить, используя другие возможности инвестирования при эквивалентном риске.
Один из вариантов снижения риска при хранении запасов - использование технологий, основанных на внедрении систем гибкого производства, его роботизации. В данном случае преимуществом касается сокращение времени и затрат на подготовительные операций. Это делает экономически выгодным изготовление изделий небольшими партиями, что особенно важно в условиях жесткой конвенции и постоянных изменений требований рынка. При этом временно существенно снижается и риск морального устаревания запасов.
Заключение.
Запасы служат для того, чтобы ослабить непосредственные зависимости между поставщиком, производителем и потребителем. Наличие запасов позволяет обеспечить производство сырьем, поставляемым оптимальными по размеру партиями, а также производить переработку сырья в готовую продукцию партиями оптимального размера. Запасы сырья ослабляют зависимость поставщика сырья от производителя продукции, запасы готовой продукции ослабляют зависимость производителя этой продукции от ее потребителя, а запасы полуфабрикатов, находящихся в процессе производства, снижают зависимость друг от друга отдельных цехов. На предприятиях, где производство продукции построено таким образом, что материалы обрабатываются отдельными партиями, необходимо наличие межцехового буферного запаса полуфабрикатов.
В логистической системе при закупке продукции возникает задача минимизации суммарной комбинации различных элементов затрат, связанных с продвижением и хранением запасов продукции.
Учитывая потенциальное значение запасов, исследование логистической системы должно включать проблему управления запасами, которая конкретизируется в постановке следующих вопросов:
1. Какой уровень запасов необходимо иметь на каждом предприятии для обеспечения требуемого уровня обслуживания потребителя?
2. В чем состоит компромисс между уровнем обслуживания потребителя и уровнем запасов в системе логистики?
3. Какой объем запасов должен быть создан на каждой стадии логистического и производственного процесса?
4. Должны ли товары отгружаться непосредственно с предприятия?
5. Каково значение компромисса между выбранным способом транспортировки и запасами?
6. Каков общий уровень запасов на данном предприятии, связанный со специфическим уровнем обслуживания?
7. Как меняются затраты на содержание запасов в зависимости от изменения числа складов?
8. Как и где следует размещать страховые запасы?
Список литературы
«Логистика» под ред. Б.А. Акунина, М.: ИНФРА-М, 2000
«Логистика» А.М. Гаджинский, М.: МАРКЕТИНГ, 99
«Коммерческая логистика» Ю.М. Неруш, М.: ЮНИТИ, 97
«Логистика» О.А. Новиков, С.А. Уваров, С-П.: Бизнесс-пресса, 99
«Логистика» Б.К. Плотников, М.: ЮНИТИ, 97.
Похожие рефераты:
Анализ и регулирование производственных запасов
Формирование рыночных структур в сфере обращения
Управление запасами предприятия
Управление запасами на промышленных предприятиях
Планирование ресурсов и управление запасами
Оптимизация материальных и финансовых потоков
Госэкзамен - шпоры (специальность маркетинг)
Управление запасами в логистике
Управление товарными запасами в торговом предприятии и на предприятиях пищевой промышленности