Скачать .docx Скачать .pdf

Доклад: Экономический механизм природопользования

Основными законодательными актами по охране природы в нашей стране являются Законы России «Об охране окружающей природной среды», «О плате за землю», «О недрах». Эти законы определяют регулирование отношений в сфере взаимодействия общества и природы с целью сохранения природных богатств и естественной среды обитания человека, предотвращения экологически вредного воздействия хозяйственной и другой деятельности, оздоровления и улучшения качества окружающей природной среды, укрепления законности и правопорядка в интересах настоящего и будущего поколений людей.

В качестве объектов охраны природы приняты: естественные экологические системы и озонный слой атмосферы, земля, ее недра, поверхностные и подземные воды, атмосферный воздух, леса и иная растительность, животный мир, микроорганизмы, генетический фонд, природные ландшафты.

Законодательно регламентированный экономический механизм охраны природы предполагает следующие элементы.

1. Обязательность учета и социально-экономической оценки природных ресурсов государственными органами статистики и природопользования.

2. Система планирования, финансирования и материально-технического обеспечения экологических программ и мероприятий по охране окружающей природной среды.

Планирование природоохранных мероприятий осуществляется на основе программ, прогнозов социально-экономического развития, государственных экологических программ. Финансирование экологических программ и мероприятий по охране природной окружающей среды производится за счет: бюджетов федерации и регионов; средств предприятий, учреждений, организаций; экологических фондов; кредитов банков; добровольных взносов населения, иностранных юридических лиц и граждан, других источников.

3. Механизм договоров и лицензий на комплексное природопользование.

Договор заключается между природопользователем и соответствующим территориальным исполнительным органом. Он предусматривает условия и порядок использования природных ресурсов, права и обязанности пользователя, размеры платежей за пользование природными ресурсами, а также ответственность сторон, возмещение вреда, порядок разрешения споров.

Лицензия (разрешение) на комплексное природопользование определяет виды, объемы и лимиты хозяйственной деятельности, экологические требования и последствия их несоблюдения.

4. Система экологических ограничений по территориям, устанавливаемая предприятиям-природопользователям по предельным объемам использования (изъятия) природных ресурсов, выбросов, сбросов загрязняющих веществ в окружающую среду, размещению отходов производства. Сроки достижения нормативных объемов природопользования и лимиты по годам устанавливаются в соответствии с утвержденными показателями государственных и региональных экологических программ.

5. Платность использования природных ресурсов. Плата взимается за право пользования ресурсами в пределах установленных лимитов, сверхлимитное и нерациональное использование природных ресурсов, на воспроизводство и охрану природных ресурсов, за выбросы (сбросы) загрязняющих веществ, размещение отходов производства и другие виды загрязнения в пределах или сверх установленных лимитов.

Плата за загрязнение окружающей природной среды перечисляется предприятиями-плательщиками на специальный счет внебюджетных государственных экологических фондов (90%) и в доход респуб ликанского бюджета финансирования деятельности территориальных органов государственного управления в области охраны окружающей среды (10%).

6. Отчисления от увеличения налогов на прибыль предприятий, выпускающих и применяющих оборудование с повышенными удельными расходами топлива и энергии и др. Применение на предприятиях материальных санкций целесообразно в случаях:

— прироста потребления топливно-энергетических ресурсов сверх достигнутого за предыдущий год уровня;

— использование низкоэнергетических видов энергопотребляющего оборудования и технологических процессов;

— производства энергопотребляющего оборудования с завышенными удельными показателями энергопотребления.

В сфере экологической деятельности применяют лицензии на право выбросов в окружающую среду и на право разработки месторождения природных ресурсов.

Экологическая лицензия (ЭЛ) на выбросы — ценная бумага, дающая право на выбросы конкретного загрязняющего вещества на конкретный промежуток времени.

Общее количество ЭЛ предприятия должно соответствовать фактическому уровню совокупных выбросов. На одно загрязняющее вещество цена ЭЛ изменяется в зависимости от сезона, времени суток и ситуации в регионе (нормальная, экстремальная).

Использование ЭЛ вместо налогов позволяет систему государственного регулирования перевести в систему рыночного управления. Рынок ЭЛ, определяя их цены, управляет интересами предприятий по инвестиции и составу продукции.

Торговля квотами на загрязнения является наиболее гибким из всех известных методов экономического регулирования качества при родной среды. Она позволяет сочетать экологические требования с устремлением к экономическому росту, деловой активности, внедрению достижений НТП.

Предприятие — источник вредных выбросов — имеет различные мотивы для заключения экологической сделки. Оно может проводить такую политику, чтобы уменьшить платежи за необеспеченные разрешениями выбросы, чтобы создать запас разрешений на выбросы, ожидая повышения цен, чтобы обеспечить свое предполагаемое развитие.

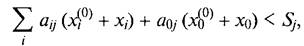
В основе решения, принимаемого предприятием-покупателем ЭЛ, лежат два условия: экологическая допустимость, экономическая возможность.

Экологическая допустимость сделки описывается уравнением

где

— вклад i-го и базового предприятия в загрязнение j- й контролируемой точки (базовое предприятие — это предприятие, покупающее ЭЛ);
— количество выбросов, обеспечиваемых лицензией на i и базовом предприятии;
— количество выбросов, не обеспеченных лицензией на i и базовом предприятиях;
S — допустимый показатель ПДК для отдельного вещества либо группы веществ.

Однако предприятие заинтересовано в заключении сделки, если она экономически выгодна:

где

- функция затрат предприятия i на снижение

выбросов в массе

Величина — цена лицензии не учитывает затраты на ведение переговоров и на обоснование сделки.

Значения могут устанавливаться экспертами или опросами предполагаемых партнеров по сделке.

Дополнением к экологической лицензии является страхование экологической неопределенности.

Денежная сумма страхователя условно депонируется на счете страховой фирмы.

Если компания в течение оговоренного срока не причинила ущерба окружающей среде, то ее платежи возвращаются с выплатой процента.

В противном случае ликвидация последствий ущерба происходит за счет страховой фирмы. У фирмы в этом случае появляется дополнительный стимул к использованию более надежных технических систем и предотвращению случайных выбросов.

Как правило, основные положения о лицензировании того или иного вида деятельности, связанного с природопользованием, содержатся в федеральных законах и затем конкретизируются в актах, изда ваемых правительством, а также федеральными министерствами и ведомствами. Отдельные виды деятельности, прямо не указанные в законах, подлежат лицензированию на основании постановления Правительства РФ от 24 декабря 1994 г. №1418 «О лицензировании отдельных видов деятельности».

Лицензия на комплексное природопользование устанавливает экологические требования, ограничения, предельные объемы использования природных ресурсов и загрязнения окружающей природной среды, условия природопользования для предприятий.

Под комплексным природопользованием понимается такое использование природно-ресурсного потенциала территории, при котором эксплуатация (добыча, изъятие) одного вида природного ресурса наносит наименьший ущерб другим природным ресурсам, а хозяйственная деятельность предприятия оказывает в целом минимально возможное воздействие на окружающую природную среду.

Лицензия на комплексное природопользование для предприятий, хозяйственная деятельность которых связана с использованием природных ресурсов и объектов, имеющих в соответствии с действующим законодательством федеральное значение, выдается органами системы Минприроды РФ.

Для природопользователей, использующих природные ресурсы и объекты, не относящиеся к исключительному ведению Российской Федерации, лицензия на комплексное природопользование выдается государственными органами охраны окружающей природной cреды, специально уполномоченными на то решениями субъектов РФ.

Экологический ущерб — это изменение полезности окружающей среды вследствие ее загрязнения. Он оценивается как затраты общества, связанные с изменением окружающей среды. Он складывается из следующих затрат:

— дополнительные затраты общества в связи с изменениями в окружающей среде;

— затраты на возврат окружающей среды в прежнее состояние;

— дополнительные затраты будущего общества в связи с безвозвратным изъятием части дефицитных природных ресурсов.

Для оценки ущерба окружающей среде используют следующие базовые величины:

— затраты на снижение загрязнений;

— затраты на восстановление окружающей среды;

— рыночная цена;

— дополнительные затраты из-за изменения качества окружающей среды;

— затраты на компенсацию риска для здоровья людей;

— затраты на дополнительный природный ресурс для разбавления сбрасываемого потока до безопасной концентрации загрязняющего вещества.

Ущерб общ еству от загрязнения окружающей среды проявляется на деятельности отдельных объектов, оказывающихся под его воздействием:

— население;

— объекты жилищно-коммунального и промышленного хозяйства;

— сельскохозяйственные угодья;

— водные ресурсы;

— лесные ресурсы.

Устанавливаются три норматива платы за выбросы:

— в пределах допустимых объемов выбросов;

— в пределах установленных лимитов выбросов;

— сверх максимально допустимого объема выбросов.

Размер второго норматива в 5 раз выше первого, а третьего — в 5 раз выше второго.

Например, на 1993 г. норматив платы за выброс в атмосферу 1 т оксида азота составлял 275 руб, за сброс в водный объект азота аммонийного — 5545 руб.

Правительством РФ установлены следующие источники платежей за загрязнение окружающей природной среды: платежи за выбросы в пределах допустимых нормативов осуществляются за счет себестоимости продукции; платежи за выбросы сверх допустимых нормативов осуществляются за счет прибыли предприятия.

В себестоимость продукции включаются текущие затраты, связанные с содержанием и эксплуатацией очистных сооружений, золоуловителей, фильтров и других природоохранных объектов, расходы на захоронение экологически опасных отходов, по оплате услуг за прием, хранение и уничтожение экологически опасных отходов и сточных вод.

Размер платежей предприятия за загрязнение окружающей среды может уменьшаться на величину расходов по разработке и внедрению природоохранных мероприятий.

Перечень таких мероприятий устанавливается территориальным органом Минприроды РФ на основании международных соглашений по охране природы и региональных экологических программ.

Не подлежат зачету текущие затраты на газопылеулавливающие установки, дымососы, газоотходы, являющиеся элементами технологических процессов.

Снижение или исключение платы за загрязнение допускается для предприятий социально-культурной сферы, бюджетных, энергообеспечения населения.

Затраты общества на возврат окружающей среды в прежнее состояние определяются выбираемым комплексом необходимых мероприятий, характером изменений, спецификой природного объекта и особенностями региона.

Так попадание нефти в прибрежные морские воды требует проведения работ по локализации разлива, сбору нефти с поверхности воды, очистке береговой зоны, спасению птиц и животных, уничтожению или переработке собранной нефти и загрязненных материалов.

Гибель участка леса влечет комплекс работ по вырубке зараженных деревьев, очистке поверхности земли, посадке и выращиванию саженцев.

Общество оценивает затраты на возврат окружающей среды в прежнее состояние как штраф организации, допустившей ущерб объектам природы, или затраты на общегосударственные программы по восстановлению территорий, подвергнувшихся заражению.

Например, в США с 1972 по 1987 г. выделялось ежегодно 24,3 млрд. долл. на очистку рек, ручьев и заливов, а общая сумма средств, выделенных на охрану окружающей среды за этот период, составила приблизительно 1 трлн. долл.

При подготовке этой работы были использованы материалы с сайта http://www.studentu.ru