| Скачать .docx | Скачать .pdf |
Реферат: Расчет концентраций в атмосферном воздухе вредных веществ, содержащихся в выбросах тепловых стан
Министерство Образования Российской Федерации
Архангельский Государственный Технический Университет
Кафедра эксплуатации автомобилей и МЛК
Расчетно–графическая работа
Расчет концентраций в атмосферном воздухе вредных веществ, содержащихся в выбросах тепловых станций
Вариант № 5
Студент: Починков А.В.
МФ III-I
Руководитель: доцент
Пугин Б.И.
Архангельск
2004
1. Вредные примеси в дымовых газах
Наибольшие загрязнения атмосферного воздуха поступают от энергетических установок, работающих на углеводородном топливе (мазут, уголь, природный газ, бензин и дизельное топливо, керосин и др.).
Количество загрязнений определяется составом и объёмом сжигаемого топлива.
Одними из основных источников загрязнений атмосферы являются тепловые станции (ТС).
Основные компоненты, выбрасываемые в атмосферу при сжигании различных видов топлива в энергоустановках,- нетоксичные диоксид углерода СО2 и водородный пар Н2 О. Однако кроме них в атмосферу выбрасываются такие вредные вещества, как оксид углерода СО, оксиды серы SОn , азота NOn , сажа, соединения свинца, канцерогенные вещества (бенз(а)пирен) и др.
При сжигании твердого топлива в котлах ТС образуется большое количество золы, диоксида серы, оксидов азота. В дымовых газах, образующихся при сжигании мазута, содержатся оксиды азота, соединения ванадия, газообразные и твердые продукты неполного сгорания.
Токсичность при сжигании природного газа обуславливается в основном содержанием оксидов азота и серы.
Для рассеивания вредных веществ с целью уменьшения их концентрации на поверхности земли все ТС оборудуются дымовыми трубами. На процесс рассеивания выбросов существенное влияние оказывает состояние атмосферы, расположение предприятий, характер местности, высота трубы и диаметр её устья. Горизонтальное перемещение примесей обусловливается в основном скоростью ветра, а вертикальное - распределением температур в вертикальном направлении.
По мере удаления от трубы в направлении распространения промышленных выбросов можно условно выделить три. зоны загрязнения, атмосферы: зона переброса факела, характеризующаяся относительно, невысоким содержанием вредных веществ в приземном слое атмосферы, зона задымления с максимальным содержанием вредных примесей и зона постепенного снижения уровней загрязнения (рис. 1).

Рис.1. Распределение концентрации вредных веществ в атмосфере
от организованного высокого источника выбросов.
Зона задымления является наиболее опасной для населения. Ширина этой зоны в зависимости от метеорологических условий находится в пределах 10-49 высот трубы.
Максимальная концентрация вредных примесей прямо пропорциональна производительности источника и обратно пропорциональна квадрату высоты дымовой трубы. Подъём горячих струй обуславливается подъемной силой газов, имеющих более высокую температуру чем окружающий воздух.
При выбросах в условиях безветрия рассеивание вредных веществ происходит под действием вертикальных потоков. При наличии ветра перемешивание примесей с воздухом происходит в направлении ветра, при этом разбавление их происходит пропорционально средней скорости ветра.
Вместе с тем с увеличением скорости ветра уменьшается высота выброса факела над устьем трубы, что может привести к увеличению приземной концентрации вредных веществ. Поэтому на ТС при проектировании устройств для отвода дымовых газов главным условием является достижение превышения скорости выбрасываемого газа более чем вдвое опасной скорости ветра на уровне устья трубы.
Основным документом, регламентирующим расчет высоты дымовой трубы, является "Методика расчета концентраций в атмосферном воздухе вредных веществ, содержащихся в выбросах предприятий". В основу методики положено условие, при котором суммарная концентрация каждого вредного вещества не должна превышать максимальную разовую предельно допустимую концентрацию данного вредного вещества в атмосферном воздухе, т.е.
С = (Сma х + Сф ) < СПДК ,
где Cmax - максимальная концентрация загрязняющих веществ в приземном воздухе, создаваемая источниками выбросов, мг/м3 ;
Сф - фоновая концентрация одинаковых или однонаправленных вредных веществ, характерная для данной местности, мг/м3 ;
СПДК - нормативное значение предельно допустимой концентрации вредного вещества, мг/м;
При одновременном присутствии в атмосферном воздухе нескольких веществ, обладающих аддитивными свойствами, для каждой точки местности должно выполняться условие

где i — i -я примесь.
2. РАСЧЕТ РАСХОДА ТОПЛИВА
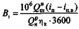
- Расход топлива одним котлом, г/с,

г/c
где Qп i н - номинальная паропроизводительность i -го котла, т/ч;
i п - энтальпия пара,кДж/кг; при сжигании угля i п = 2932,5 ;
i п.в - энтальпия питательной чоды, кДж/кг; в расчетах принимают
i п.в =420кДж/кг;
Qн р - низшая теплота сгорания топлива, кДж/кг;
ηк - коэффициент полезного действия котла.
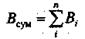
2. Суммарный расход топлива всеми котлоагрегатами тепловой станции Всум , г/с,
![]()
г/с
где n - количество котлов
3. РАСЧЕТ ВЫБРОСОВ ЗАГРЯЗНЯЮЩИХ ВЕЩЕСТВ
1. Выбросы твёрдых частиц (золы), г/с,
М з = В сум Ар f (1- η3 ) = 656 * 32,5 * 0,0035 * (1- 0,825 ) = 13,06 г/с
где Ар - зольность топлива на рабочую массу, %;
f - безразмерный коэффициент, зависящий от типа топок и вида топлива;
η3 - коэффициент полезного действия золоуловителей.
2. Выбросы оксидов серы, г/с,
г/с
где Sp - содержание серы в топливе на рабочую массу, %;
η`so 2 - доля оксидов серы, связываемых летучей золой топлива (для углей – 0,1);
η``so 2 - доля оксидов серы, улавливаемых в золоуловителе.
3. Выбросы оксидов азота, г/с,
![]()
г/с
где КNO 2 - количество оксидов азота, образующееся на единицу тепла, выделяющегося при горении топлива, кг/ГДж; принимают по графику (рис.2);
β - коэффициент, учитывающий степень снижения выбросов оксидов азота в результате применения технических решений;

Рис.2. Зависимость КNO 2 от паропроизводительности котлоагрегата для различных топлив: 1 - природный газ, мазут; 2 - антрацит; 3 - бурый уголь; 4 - каменный уголь
4. Расчет выбросов окиси углерода, г/с,
![]()
г/с
где КCO - количество оксидов углерода, образующееся на единицу тепла, выделяющегося при горении топлива, кг/ГДж;
q 4 - потери тепла вследствие механической неполноты сгорания топлива, %.
4. РАСЧЕТ ВЫСОТЫ ДЫМОВОЙ ТРУБЫ
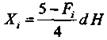
1. Объём дымовых газов, выходящих из трубы за 1 с, м3 /с,
![]()
м3
/с
где Тг - температура уходящих газов, °С ;
Кг - действительный суммарный объём продуктов сгорания, м3 , на 1 кг топлива;
= 1,1 + 4,77 + 0,71 + 0,7*6,02 =10,8
Здесь
- теоретический объём продуктов сгорания соответственно трёхатомных газов, азота, водяных паров и воздуха, м3
, на 1 кг топлива; (α-1) = 0,70 для котлов, работающих на угле.
2. Диаметр устья дымовой трубы, м,
м
где ωo - средняя скорость выхода газовоздушной смеси из устья дымовой трубы, м/с; принимается в пределах 7...10 м/с для железобетонных и кирпичных труб высотой до 45 м и 12... 15 м/с для металлических труб высотой до 44 м.
3. Предварительное значение минимальной высоты дымовой трубы, м.

м для золы
м для SO2
м для NO2
м для СО
где А - коэффициент, учитывающий метеорологические условия местности, для
северных районов А=160;
Mi - масса i-го вещества, выбрасываемого в атмосферу в единицу времени, г/с;
F - безразмерный коэффициент, учитывающий скорость оседания твердых частиц в атмосфере, для золы при степени очистки менее 90 % F=2,5; при степени очистки более 90 % F =2,0. При расчете Н min по выбросу оксидов азота, серы и углерода F =1;
C ПДК i - максимальная разовая предельно допустимая концентрация i-го вещества в атмосферном воздухе, мг/м3 ;
Сф i , - фоновая концентрация i-го вещества, характерная для данной местности,
мг/м3 ; принимаем Cф i ,= 0;
ΔT - разность между температурой выбрасываемой газовоздушной смеси Т г и средней температурой окружающего атмосферного воздуха самого жаркого месяца Та . Значения Т г приведены в табл. 1, а Тв для северных районов принимается равной +20 °С.
Высота дымовой трубы Н min вычисляется по условиям выброса каждого вредного вещества в отдельности, а также для групп веществ с суммирующимся вредным действием. Из полученных значений Hmin принимается наибольшее, а затем подбирают близкие к расчетным стандартные размеры трубы (материал, высоту трубы и диаметр устья).
После выбора стандартных размеров дымовой трубы проводят проверку правильности выбора её высоты по максимальной разовой концентрации вредных примесей с помощью безразмерных коэффициентов f , Vm , т и п.
ПРИНИМАЕМ:
Высота трубы 35 метров: H=35 м
Диаметр устья трубы: D=1,2 м
Труба кирпичная
5. ПРОВЕРКА ПРАВИЛЬНОСТИ ВЫБОРА ВЫСОТЫ ДЫМОВОЙ ТРУБЫ
Действительная скорость выхода дымовых газов
![]()
ωд
=


![]()
![]()
![]()
для золы
для SO2
для NO2
для CO
6. АНАЛИЗ ЗАВИСИМОСТИ КОНЦЕНТРАЦИИ ВРЕДНЫХ
ПРИМЕСЕЙ ОТ РАССТОЯНИЯ ДО ИСТОЧНИКА ВЫБРОСОВ
ПРИ НЕБЛАГОПРИЯТНЫХ МЕТЕОРОЛОГИЧЕСКИХ УСЛОВИЯХ
1. Расстояние Xt (м) от источника выбросов, на котором приземная концентрация i-го вещества при неблагоприятных метеорологических условиях достигает максимального значения cmax ; (мг/м3 ):
![]()
м
м
м
м
где d - безразмерный коэффициент, при f <100 находится по формулам:

![]()
2. Значение опасной скорости Umax (м/с) на уровне земли, при которой достигается наибольшее значение приземной концентрации вредных веществ:

м/с
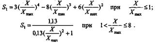
3. Приземная концентрация i-го вредного вещества сi , (мг/м3 ) в атмосфере по оси факела выброса на различных расстояниях Х(м) от источника выброса при опасной скорости ветра Umax :
Ci = S1 cmax i
где Si - безразмерный коэффициент, определяемый в зависимости от отношения Х/Х m ах,

Расстояние X при анализе принимают равным 50; 100; 200; 400; 800 и 1200м.
Для золы:
![]()
![]()
S1 = 3·0,24 - 8·0,23 + 6·0,22 = 0,18
S1 = 3·0,384 - 8·0,383 + 6·0,382 = 0,49
S1 = 3·0,764 - 8·0,763 + 6·0,762 = 0,95
S1
= ![]()
S1
= ![]()
S1
= ![]()
Для NO2 ; SO2 ; CO:
![]()
S1 = 3·0,14 - 8·0,13 + 6·0,12 = 0,05
S1 = 3·0,244 - 8·0,243 + 6·0,242 = 0,24
S1 = 3·0,54 - 8·0,53 + 6·0,5 = 0,69
S1 = 3·0,954 - 8·0,953 + 6·0,952 = 1
S1
= ![]()
S1
= ![]()
| Расстояние Х, м |
Концентрация вредных примесей, мг/м3 |
|||
| Сз |
СSO2 |
CNO2 |
CCO |
|
| 50 |
0,072 |
0,024 |
0,001 |
0,004 |
| 100 |
0,196 |
0,11 |
0,007 |
0,02 |
| 200 |
0,38 |
0,32 |
0,02 |
0,06 |
| 400 |
0,348 |
0,47 |
0,03 |
0,09 |
| 800 |
0,204 |
0,36 |
0,02 |
0,06 |
| 1200 |
0,12 |
0,26 |
0,01 |
0,05 |
4. На основании полученных значений сi , строят графики зависимости концентраций вредных веществ от расстояний до источника выброса, откладывая в масштабе по оси ординат значения ci (мг/м3 ), а по оси абсцисс - расстояния Х(м).

Литература
Пугин Б.И. Расчет концентраций в атмосферном воздухе вредных веществ, содержащихся в выбросах тепловых станций – Арх., изд .АГТУ, 2000