| Скачать .docx | Скачать .pdf |
Реферат: экологизация экономики 2
Введение
Начиная с 60-х годов экологическая ситуация и возрастание (в основном через экономику и законодательство) экологических требований к ведению хозяйства привели в разных странах к ряду изменений в промышленном производстве, энергетике, транспорте в направлении усиления природоохранных и средозащитных функций. Прежде часто беспечное и беспорядочное отношение к отходам производства, не подлежащим утилизации или вторичной переработке, сменилось более организованным их складированием и захоронением, созданием специализированных полигонов и хранилищ. Во многих случаях эта деятельность носила стихийный характер и была связана со стремлением скрыть опасные загрязнения. Примером может служить домпинг - «утопление» в водоемах, морях вредных химических и радиоактивных отходов в емкостях или просто «навалом».
По существу концентрированно и перемещение вредных веществ в пространстве или, наоборот, их разбавление в больших объемах транспортирующих сред - воздуха и воды - до сих пор остаются главными способами «охраны окружающей среды», хотя с экологической точки зрения представляют собой «заметание сора под лавку». В последние десятилетия это направление дополнилось довольно циничной «экологической геополитикой», при которой опасные агенты экспортируются в слаборазвитые страны - как в виде строительства там высокоотходных предприятий, так и в форме натурных загрязнителей.
Более прогрессивное направление - очистка выбросов и стоков от загрязнителей - по мере совершенствования соответствующих технологий постепенно переходит к улавливанию отходов уже в виде вторичного сырья, полезных материалов. Циклы реутилизации вторичного сырья включают производство различных изделий, сжигание органических отходов с получением полезной энергии, переработку мусора в компост, получение биогаза, обеспечение биотехнологий и др. Переориентация различных производств на малоотходные циклы основана на создании совершенного очистного и средозащитного оборудования, «экологизированной» техники, мусороперерабатывающих агрегатов и предприятий. В ряде развитых стран такая «экологическая промышленность» оказывается в ряду лидирующих производств, заметно расширяет сферу занятости и приносит немалую прибыль. Возникает ситуация, при которой экологические требования не противоречат экономическим интересам, когда капитал приобретается не за счет ухудшения состояния среды, а благодаря решению экологических проблем. Другими словами, происходит экологическая конверсия производства.
1. Принципы и технологии экологизации производства
Экологизация промышленного производства нацелена на одновременное повышение эффективности и снижение его природоемкости. Она предполагает формирование прогрессивной структуры общественного производства, ориентированной на увеличение доли продукции конечного потребления при снижении ресурсоемкости и отходности производственных процессов. Существует несколько принципиальных направлений снижения природоемкости:
- изменение отраслевой структуры производства с уменьшением относительного и абсолютного количества природоемких высокоотходных производств и исключением выпуска антиэкологичной продукции;
- кооперирование разных производств с целью максимального использования отходов в качестве вторичных ресурсов; создание производственных объединений с высокой замкнутостью материальных потоков сырья, продукции и отходов;
- смена производственных технологий и применение новых, более совершенных ресурсосберегающих и малоотходных технологий;
- создание и выпуск новых видов продукции с длительным сроком жизни, пригодных для возвращения в производственный цикл после физического и морального износа; сокращение выпуска расходных материалов;
- совершенствование очистки производственных эмиссии и транспортирующих сред от техногенных примесей с одновременной детоксикацией и иммобилизацией конечных отходов; разработка и внедрение эффективных систем улавливания и утилизации отходов.
Каждое из этих направлений в отдельности способно решить лишь локальную задачу. Для снижения природоемкости производства в целом необходимо объединение всех этих способов. При этом центральное место занимают проблемы технологического перевооружения, внедрения малоотходных технологий, экономического и технического контроля экологизации.
Экологизация энергетики помимо требований, относящихся к промышленному производству, предполагает осуществление разнообразных мер, которые направлены на:
- постепенное сокращение всех способов получения энергии на основе химических источников, т.е. с помощью экзотермических химических реакций, в том числе окислительных и электрохимических, и в первую очередь - сжигания любого топлива;
- максимальную замену химических источников природными возобновимыми источниками энергии, среди которых ведущая роль должна принадлежать солнечной энергии.
О соответствующих ресурсах и технических возможностях уже говорилось (гл.5). В идеале единственным действительно экологичным химическим топливом может стать только водород, полученный на основе ге-лиоэнергетического фотолиза воды. Что касается ядерной, в том числе и будущей термоядерной энергетики (на основе того же водорода, но в существенно меньшем количестве), то даже при абсолютном устранении всех форм радиационного загрязнения (что весьма проблематично) ocraeftся неустранимое тепловое загрязнение экосферы.
Экологизация энергетики в рамках преобразования ее топливных ресурсов содержит множество резервов и принципиальных технических решений - от общего сокращения объема энергетики на основе всех форм экономии энергии до изменения структуры использования топлив и технологий преобразования энергии. Сейчас уже и энергетикам становится ясно, что главным мотивом вынужденной экологизации энергетики является не столько близость исчерпания топливных ресурсов, сколько требования глобальной экологии.
Экологизация транспорта предполагает:
- включение экологических требований в организацию транспортных потоков с целью уменьшения транспортного загрязнения за счет сокращения холостых пробегов и рационализации маршрутов;
- подавление тенденции индивидуализации транспортных средств и содействие развитию комфортного и экономичного общественного транспорта с целью уменьшения общего числа транспортных единиц:
- создание новых транспортных средств и замена одних средств транспорта другими, более экологичными, а также создание новых, более экологичных двигателей для имеющихся транспортных средств;
- разработка и применение более безопасных топлив или других энергоисточников; замена вредных топливных присадок каталитическими средствами оптимизации сжигания; дожигание и очистка выхлопов двигателей внутреннего сгорания;
- пассивная и активная защита от шума.
Все эти меры очень важны, так как без них общая природоемкость транспорта в скором времени может превзойти природоемкость стационарной энергетики и промышленного производства.
Экологизация сельского хозяйства еще в недавнем прошлом казалась бы излишним требованием, так как неиндустриализированное земледелие и животноводство были по существу самой экологичной областью хозяйственной деятельности человека. Однако в XX веке произошло быстрое превращение сельского хозяйства в агропромышленное производство со всеми последствиями механизации и химизации. Индустриализация агрокомплексов и ферм, широкое применение минеральных удобрений и ядохимикатов повысили удельную продуктивность агроценозов, но снизили их экологичность и экологические качества сельскохозяйственной продукции. Для преодоления этой тенденции необходим комплекс мер, который помимо требований экологизации, характерных для промышленности, включает также:
- ограничение использования солевых форм минеральных удобрений и замена их специально трансформированными органическими удобрениями и колловдированными органоминеральными смесями (эту технологию иногда обозначают как «биологическое» или «органическое» земледелие);
- минимизацию применения пестицидов и максимальную замену их биологическими средствами борьбы с вредителями;
- исключение гормональных стимуляторов и химических добавок при кормлении животных;
- предельную осторожность в использовании трансгенных форм сельскохозяйственных растений и других продуктов генной инженерии;
- применение наиболее щадящих методов обработки земли. Дальнейшее изложение касается в основном средств экологизации промышленного производства.
2. Модели производственных процессов с точки зрения экологии.
Любой производственный процесс представляет собой некоторую систему, органически связанную с внешней средой. Такая производственная система получает из окружающей среды исходное сырье, материалы, энергию, а отдает в нее готовую продукцию и всевозможные отходы. Функционирование системы осуществляется благодаря потоку энергии, подводимой извне (электрической, солнечной и т.п.) либо генерируемой внутри системы за счет физико-химических процессов. К отходам относятся все вещества и материалы, тепловые выбросы, физические и биологические агенты, которые попадают во внешнюю среду и в дальнейшем уже не участвуют в получении продукции или энергии.
Если пользоваться представлениями термодинамики, то, как и все системы, технологические процессы в принципе подразделяются на три категории: незамкнутые (открытые), замкнутые и изолированные. Они представлены на рис.1 в виде блоковых моделей. Абсолютное большинство реальных технологических процессов относятся к категории незамкнутых (рис. 1, А). Замкнутыми считаются такие системы, у которых отсутствует обмен с внешней средой веществом, но возможен обмен энергией. Технологическим аналогом замкнутой системы может служить такой процесс, в котором полностью отсутствуют отходы химических веществ - твердые, жидкие и газообразные выбросы (рис. 1, Б). Например, конечная сборка изделия из готовых деталей. При этом обмен с внешней средой исходным сырьем и готовой продукцией во внимание не принимается, хотя продукцию также можно рассматривать как отложенный отход. Теоретически возможны и изолированные процессы, которые не дают ни материальных, ни энергетических отходов (рис. 1, В).

Рис. 1. Принципиальные модели технологических процессов:
А - незамкнутый; Б - замкнутый; В - изолированный
В общем случае все технологические процессы можно рассматривать с точки зрения их экологического соответствия. Относительно экологичными можно считать такие технологические процессы и производства, воздействие которых на окружающую среду в рамках определенных количественных соотношений не нарушает нормального функционирования природных экосистем. Неэкологичные техпроцессы создают повышенную техногенную нагрузку и оказывает негативное воздействие на состояние окружающей природной среды.
Неэкологичным может быть любой технологический процесс. Так, замкнутый техпроцесс, не имеющий отвода химических веществ в окружающую среду, нельзя считать экологичным, если он сопровождается вредными физическими воздействиями: тепловыми выбросами, шумами, электромагнитными полями и т.п.
Экологичность производственных процессов можно оценить с помощью метода сырьевых балансов, который основан на законах сохранения: масса всех используемых ресурсов (сырья, топлива, воды и т.п.) в конечном итоге равна массе готовых продуктов и промышленных отходов. Рассмотрим схемы материальных потоков в производствах разной степени замкнутости (рис. 2). Приняты следующие обозначения:
R - поток ресурсов (исходное сырье, основные и вспомогательные материалы, полуфабрикаты);
W - поток отходов (химические вещества и энергия), загрязняющий среду и уносящий определенную часть полезных ресурсов;
Wy - поток уловленных отходов;
Р - поток готовой продукции.
Незамкнутому производственному процессу (рис. 2, А) соответствует следующее уравнение материально-технического баланса:
R = Р + W = (R –Wy ) + W. (1)
Скобки в уравнении указывают на единство потока (ресурсов и отходов). «Отходность производства» можно оценить по коэффициенту Котх = W/R. Соответственно коэффициент безотходности Кб = Р/R. Производственный процесс, предусматривающий очистку загрязняющих потоков, представлен схемой 10.2, Б, а при использовании уловленных веществ Wy в качестве вторичного сырья - схемой 10.2, В. В последнем случае материально-технический баланс описывается системой уравнений:
(R + Wy ) = (R + Wy - W)+W;
W = (W - Wy ) + Wy .
В замкнутом производственном цикле (рис. 2, Г) происходит полная переработка и утилизация потока отходов Wy , который вновь возвращается в сферу производства. Здесь потоки Wи Wy количественно равны, а поток готовой продукции Р соответствует потоку R .
В ряде работ рассматриваются математические модели экологичности техпроцессов с различными схемами входных, промежуточных и выходных потоков. В качестве характеристик потоков принимаются не только массовые расходы вещества, но и его концентрации, температура, давление, расход тепла и другие физические параметры, связанные между собой балансовыми уравнениями. Методы моделирования производственных процессов оказываются полезными при решении задач оптимизации технологий по экологическим критериям.

Рис. 2. Материальные потоки в производственных процессах различной степени замкнутости
10.2. Проблемы отходности производства
Экологизация и снижение природоемкости производства предполагают сокращение валового внесения в природную среду техногенных эмиссии. Сделать производство полностью безотходным невозможно. Задача вовсе не сводится к тому, чтобы устранить абсолютно все экологически отрицательные последствия производственных процессов. Ставить такую задачу равносильно намерению изобрести вечный двигатель второго рода - безэнтропийный. Условно безотходными могут быть только отдельные стадии технологического цикла производства. Тем не менее, существуют теории безотходных процессов (Зайцев, 1987; Кухарь, 1989) и отдельные положения, касающиеся этой проблемы.
Так, согласно определению, принятому на семинаре Европейской экономической комиссии ООН по малоотходной технологии (Ташкент, 1984), «безотходная технология - это такой способ производства продукции (процесс, предприятие, территориально-производственный комплекс), при котором наиболее рационально и комплексно используются сырье и энергия в цикле «сырьевые ресурсы - производство - потребление - вторичные сырьевые ресурсы* таким образом, что любые воздействия на окружающую среду не нарушают ее нормального функционирования».
Иногда, особенно в зарубежной литературе, употребляется термин «чистое производство», под которым понимают технологическую стратегию, предотвращающую загрязнение окружающей среды и понижающую до минимума риск для людей и окружающей среды. Применительно к процессам - это рациональное использование сырья и энергии, исключение применения токсичных сырьевых материалов, уменьшение количества и степени токсичности всех выбросов и отходов, образующихся в процессе производства. С точки зрения продукции чистое производство означает уменьшение ее воздействия на окружающую среду в течение всего жизненного цикла продукта от добычи сырья до утилизации (или обезвреживания) после использования. Чистое производство достигается путем улучшения технологии, применением ноу-хау и/или улучшением организации производства (Зайцев, 1987). Отметим, что эти определения не подразумевают возможности полной безотходности производства.
Создание малоотходных ресурсосберегающих технологий выдвигает ряд общих требований, направленных на качественное изменение производства. Это:
- комплексная переработка сырья с использованием всех его компонентов;
- интенсификация производственных процессов на основе их автоматизации, электронизации и роботизации; внедрение наукоемких, высокотехнологичных автоматизированных систем;
- цикличность и замкнутость материальных потоков при минимизации производственных отходов;
- уменьшение разделения технологического процесса на отдельные операции, сокращение числа промежуточных стадий перехода от сырья к конечному продукту; применение непрерывных процессов и сокращение времени технологических циклов;
- сокращение удельного потребления природных ресурсов и энергии, максимальная замена первичных ресурсов вторичными, рециркуляция побочных продуктов и отходов в основной процесс, регенерация избыточной энергии;
- применение комбинированных энерготехнологических процессов, обеспечивающих максимальное использование всего потенциала энергоресурсов;
- внедрение экологических биотехнологий на базе физико-химических и биологических процессов, обеспечивающих возможность использования или обезвреживания отходов путем доведения их до природного состояния;
- создание интегрированных технологий, охватывающих сферы природопользования, производства и потребления. Системный анализ производственных процессов с этих позиций позволяет определить пути создания технологий нового поколения.
Комплексная переработка сырья направлена не только на бережное расходование природных ресурсов, но и на уменьшение поступления отходов в окружающую среду и тем самым на предохранение ее от техногенных загрязнений. Предположим, что в добываемой руде содержатся полезные компоненты двух видов: Л и В. Если добывающее и перерабатывающее предприятия нацелены на извлечение только компонента Л, то компонент В попадает в отвалы и станет загрязнителем окружающей среды. В соответствии с традиционной технологией «конца трубы» (Голуб, Струкова, 1995) мы имеем две возможности (рис. 3, А): захоронить отвалы либо их переработать. По этой схеме компонент В не используется совсем либо процесс его извлечения выпадает из основного производства. Альтернативой служит комплексная переработка сырья, требующая кардинального изменения технологии (рис. 3, Б). После извлечения всех полезных компонентов пустая порода также может быть использована, например, в строительстве.
Примером комплексного использования сырья в химической промышленности может служить переработка апатитонефелиновой руды Кольского месторождения. Она содержит 13% апатита, 30-40% нефелина, известняк и другие минералы. Добытая руда методом флотации разделяется на апатитовый и нефелиновый концентраты. Из апатита получают фосфорную кислоту и фосфорные удобрения, фториды, фосфогипс и другие вещества, а из нефелинового концентрата и известняка - глинозем, соду, поташ и портландцемент. Данная технология не имеет аналогов в мировой практике, в других странах глинозем для производства алюминия получают только из бокситов.

Рис. 3. Альтернативные варианты переработки комплексных руд:
А - традиционная технология; Б - малоотходная технология
Малоотходные технологии в перерабатывающей промышленности основываются на производственных циклах, в которых сокращено число технологических переходов от сырья к готовой продукции, повышена замкнутость материальных потоков и, соответственно, уменьшен коэффициент вредного действия.
Первыми примерами таких комплексных технологических процессов, проектируемых под конкретные изделия или продукцию и работающих по схеме «мономер - изделие», «материал - конструкция», «сырье - продукция», когда число раздельных операций минимизируется, являются технологии роторных линий, порошковой металлургии, гибких автоматизированных линий «материал - агрегат», термофронтального синтеза материалов. В этих случаях получены и наиболее качественная продукция, и наиболее серьезные результаты в области создания энергосберегающих и малоотходных процессов. Технологии, основанные на сокращении числа технологических переходов и повышении их информационного содержания, так называемые наукоемкие технологии, могут быть отнесены к технологиям первого рода с точки зрения их экологического соответствия. Они предусматривают изменение организации производственных комплексов на уровне элементарных технологических структур и определяют стратегическое направление технологического перевооружения. Правда, они требуют и наибольших вложений и времени.
Другое направление связано с разработкой технологий, при которых обеспечивается рециркуляция, или возвращение побочных продуктов, в основной процесс или сопутствующую технологию. Примеры таких решений - технологий второго рода - процессы регенерации и рекуперации минеральных масел, смазочно-охлаждающих жидкостей, регенерации и коррекции отработанных травильных растворов и электролитов гальванического производства. Важной особенностью этих технологий является то, что, осуществляя коррекцию растворов, возвращая в основной процесс необходимые компоненты и регенерируя из водных растворов медь (а это важно для экологической безопасности стоков), они функционируют так, что без них основной технологический процесс невозможен. Другой пример технологий второго рода - это утилизация избыточного активного ила городских очистных сооружений для целей строительства, сельского хозяйства и извлечения некоторых ценных химических продуктов. В частности, для его гомогенизации и переработки предложен способ, в результате применения которого может быть получено жидкое топливо с калорийностью на уровне спирта. К этому роду технологий относится также получение биогаза на основе переработки отходов животноводства и другой биогенной органики.
К технологиям третьего рода могут быть отнесены операции и процессы, в которых депонированные отходы производства, обладающие потенциалом загрязнения, используются для вторичной переработки и получения новых продуктов с пониженной химической активностью. Примеры: изготовление керамзита, шлакоблоков и других строительных и облицовочных материалов с использованием отходов добывающей промышленности, металлургии и химии; переработка автопокрышек в стойкие сантехнические изделия и т.п.
Наиболее насущные потребности связаны с внедрением технологий рециркуляции и переработки отходов (технологий второго и третьего рода). Одновременно с этим необходимо определить стратегию технологического перевооружения производственных комплексов и возможности перехода к технологиям первого рода.
В черной металлургии разработана технология получения железа непосредственным восстановлением рудных концентратов водородом или синтез-газом (смесь Н2 и СО). Благодаря новому методу устраняются стадии доменного передела, производства кокса и агломерата. В результате при производстве стали по этой технологии расход воды уменьшается в 2-3 раза, резко сокращаются объемы сточных вод, выбросы в атмосферу пыли, диоксида серы и других вредных веществ.
Одним из характерных примеров малоотходных технологических процессов служит порошковая металлургия, которая позволяет создавать материалы и изделия с особыми, уникальными свойствами, иногда вообще недостижимыми при других технологиях. Если при металлообработке литья и проката уходит в стружку до 60-70% металла, то при изготовлении деталей из пресс-порошков потери материалов не превышают 5-7%. Преимущества порошковой металлургии выражаются не только в экономии черных металлов и других дефицитных материалов, но и в снижении загрязнения атмосферы и воды, характерного для обычных металлургических процессов.
В машиностроении основой малоотходных технологий являются процессы обработки металлов без снятия стружки. Это точное литье, методы обработки давлением (прокатка, дорнование), листовая и объемная холодная штамповка и др. Эти технологии позволяют значительно повысить коэффициент использования металла (КИМ) - один из основных критериев совершенства технологии. Естественно, что увеличение КИМ дает не только большие технико-экономические выгоды, но и во многом определяет экологический уровень производства в связи с уменьшением образования отходов.
Оценки отходности технологий. В настоящее время нет универсальной методики определения отходности, но в ряде отраслей промышленности такие оценки применяются. Так, в угольной отрасли коэффициент безотходности производства (Протасов, Молчанов, 1995):
Кб = 0,33(Кт + Кж + Кг ) (3)
где Кт , Кж ,, Кг - коэффициенты использования соответственно породы, образующейся при горных работах, забираемой при добыче угля воды и пылегазовых отходов.
В химической промышленности применяют такую оценку (Зайцев, 1987):
Кб = f*Км *Кэн *Кэк (4)
где Кб - коэффициент безотходности (0 < Кб < 1);
f - коэффициент пропорциональности;
Кv - коэффициент использования материальных ресурсов;
Кэн - коэффициент использования энергетических ресурсов;
Кэк - коэффициент соответствия экологическим требованиям. В соответствии с данной методикой и в зависимости от мощности предприятий производства относят к категории малоотходных, если Кб не менее 0,8-0,9, и к безотходным, когда Кб более 0,95-0,98. Кроме количественной оценки отходов необходимо учитывать также их токсичность и опасность для окружающей среды.
Для оценки экологичности химических процессов используют и так называемый обобщенный сырьевой фактор:
(5)
где Qi - теоретический расход i-го компонента, рассчитанный по уравнению химической реакции;
Q’i - фактический расход этого же компонента.
Показатели Кб и f имеют смысл коэффициентов полезного действия (КПД). С позиций экологизации производства для энергетики, промышленности и транспорта необходим еще один критерий - коэффициент вредного действия (КВД), вычисляемый как отношение ущерба, наносимого окружающей среде и реципиентам, к общему результату деятельности. КВД вносит существенную экологическую поправку к КПД:
КПДн = КПДб (1-КВД) (6)
где КПДн - «чистый», нетто-КПД; КПДб - брутто-КПД.
Принципиальное отличие КВД от КПД заключается в том, что последний всегда меньше единицы, тогда как КВД может быть и больше единицы. Это означает, что затраты на эксплуатацию приносят больше вреда, чем пользы. Если правильно считать, это бывает часто. Использование «чистого» КПД изменяет многие оценки эффективности. Например, эффективность энергетических устройств - целых ТЭЦ, котлов, турбоагрегатов, двигателей - всегда определяется отношением выхода продукции (тепла, электроэнергии, механической работы) к расходу топлива. Но давно уже пришло время оперировать более сложной схемой, включающей природоемкость. Если экономисты-энергетики кроме расхода топлива станут считать расход кислорода, чистой воды и занимаемой под шлакоотвалы земли, а из продукции тепла и электроэнергии вычитать продукцию углекислого газа, вредных веществ, загрязняющих воздух, воду и землю, и ущерб, наносимый здоровью людей, то КПД, а с ним и показатели рентабельности существенно уменьшатся. КВД может стать важным критерием природоемкости, а его снижение - критерием экологизации производства.
Переработка отходов. Ресурсосберегающие и малоотходные технологии способствуют оздоровлению окружающей среды. Но многие действующие предприятия не могут быть быстро переведены на малоотходные схемы производства. Существующие на них технологии высокоотходны, поэтому остается актуальной задача создания эффективных систем улавливания, утилизации и переработки газообразных, жидких и твердых отходов.
Многие вещества и материалы, которые относят к отходам, на самом деле таковыми не являются. В большинстве случаев они могут служить сырьем для других производств и использоваться для разных нужд. Еще Д.И.Менделеев отмечал: «В химии нет отходов, а есть лишь неиспользованное сырье». Он же указывал, что главная цель передовой технологии - получение полезного из бесполезного. Поэтому отходы производства и потребления следует рассматривать как вторичные материальные ресурсы (BMP), которые можно повторно использовать. Использование
BMP - одно из главных направлений повышения эффективности производства является одновременно важнейшим условием уменьшения промышленного загрязнения окружающей среды.
Как уже отмечено раньше, ситуация с отходами относится к числу наиболее сложных экологических проблем. Для утилизации отходов необходимо преодолеть ряд организационных и технологических трудностей. Главная организационная проблема - раздельный сбор и сортировка отходов, особенно твердых бытовых отходов (ТБО). Главные технологические трудности связаны с высокой энергоемкостью переработки отходов и вредным воздействием ее на окружающую среду, с обеспечением необходимой чистоты конечных продуктов.
Основной метод переработки ТБО в мире - сжигание их в топках, близких по конструкции к топкам энергетических установок. При таком варианте низкотемпературного сжигания с отходящими газами выносится много неразложившихся вредных соединений и продуктов их взаимодействия. Поэтому мусоросжигательные заводы становятся дополнительными источниками загрязнения атмосферы, а количество отходов, требующих захоронения, достигает 25% от массы исходных ТБО.
Большую перспективу имеют комбинированные технологии, в которых утилизация отходов происходит попутно. Так, в Московском институте стали и сплавов и институте «Стальпроект» разработана технология высокотемпературного сжигания отходов на базе металлургического агрегата жидкофазного восстановления железа. Преследовалась, прежде всего, цель создать печь, которая позволит, минуя промежуточные технологические стадии, получать чугун без использования дорогостоящего кокса из недефицитных сырьевых материалов. В процессе испытания агрегата оказалось, что он может работать на любом углеводородном топливе и с успехом использоваться для сжигания твердых органических бытовых и промышленных отходов. При этом выбросы в атмосферу содержат в несколько раз меньше загрязнителей, чем на мусоросжигательных заводах, использующих зарубежные технологии. Такие предприятия нового поколения, работающие по малоотходной технологии, не только избавляют город от мусора, но и могут вырабатывать промышленный пар и горячую воду для теплоснабжения или получения электроэнергии (за счет утилизации тепла дымовых газов), а также получать металл, стройматериалы и другие BMP.
Отходы промышленного производства весьма разнообразны. Их можно разбить на две группы - основные и побочные. К основным относятся отходы материалов, используемых непосредственно для изготовления деталей, машин, приборов и другой продукции: металлические и металлосодержащие отходы (стружка, окалина, шламы, шлак), твердые органические отходы (дерево, пластмасса, резина). Побочные отходы образуются в ходе технологических процессов. Они могут быть твердыми (абразивы, зола, пыль), жидкими (минеральные масла и нефтепродукты, эмульсии, осадки сточных вод) и газообразными (отходящие газы). Кроме того, многие техпроцессы сопровождаются выделениями тепла, т.е. энергетическими отходами.
Разработанные в настоящее время методы и технологии позволяют утилизировать практически все виды промышленных отходов. Их обработку целесообразно проводить непосредственно в местах образования, что снижает безвозвратные потери, сокращает затраты на транспортировку. Существует два пути утилизации металлических отходов: без переплавки (деловые отходы) и с переплавкой (металлолом и стружка). Основные операции первичной обработки металлоотходов - сортировка, разделка и механическая обработка, включающая рубку, резку, пакетирование и брикетирование. Переработку жидких отходов осуществляют преимущественно путем рекуперации и регенерации, т.е. извлечения ценных компонентов из отходов и восстановления исходных свойств отработанных материалов.
Существуют также различные методы утилизации промышленных газообразных отходов и переработки их в товарную продукцию. Например, в сернокислотном производстве применяют различные методы утилизации сернистых газов. Один из них, кислотно-каталитический метод, основан на окислении оксида серы в растворе серной кислоты в присутствии ионов марганца:
Mn2+
2SO2 + О2 + 2H2 О ¾¾¾® 2H2 SО4
H2 SO4
В результате получается разбавленная серная кислота, используемая в производственном цикле предприятия. При внедрении технологии поглощения диоксида серы из остаточных газов производство серной кислоты становится не только малоотходным, но и получает дополнительный источник сырья.
Наряду с использованием вторичных материальных ресурсов имеются большие возможности в использовании вторичных топливно-энергетических ресурсов. Уже многие годы применяется утилизация отходящих дымовых газов металлургического оборудования и топок для подогрева воды и воздуха. Она осуществляется с помощью теплообменных регенераторов и рекуператоров. Разрабатываются новые, более совершенные способы утилизации тепла и установки для их реализации. Тем не менее, фактически используется лишь незначительная доля возможного, экономически оправданного уровня потребления вторичных энергоресурсов.
Современный уровень развития техники, имеющиеся технологии пока не позволяют утилизировать все отходы. Поэтому для централизованного сбора, обезвреживания и захоронения токсичных отходов создаются специальные полигоны. Требования к устройству полигонов и порядок захоронения на них отходов регламентируются соответствующими нормами и правилами. Полигоны помогают лишь частично решать проблему, так как отходы в принципе не могут быть ликвидированы без глубокого преобразования входящих в них веществ и материалов.
Новосибирским институтом «Гипроцветмет» предлагается на основе реализации концепции ресурсовозобновляющих технологий создавать системы нового поколения - многопрофильные комбинаты «Экополигон» (Семенов, Максимов, 1995). По расчетам авторов проекта, такие комбинаты способны перерабатывать все виды антропогенных отходов данного региона (города), причем от 80 до 100% из них превращаются во «вторичные природные ресурсы и биосферные вещества». Заводы ресурсовозобновляющих технологий имеют узлы геохимической, физико-химической и биотехнологической переработки отходов производства и потребления. На завершающей стадии переработки формируется биосистема, в которой искусственно вырабатываются вещества, пригодные для включения в природный круговорот. Вторичные ресурсы могут применяться в промышленности и в городском хозяйстве в качестве стройматериалов, металлолома, биотоплива и других полезных продуктов. Предлагаемый вариант решения проблемы отходов помимо несомненного экологического эффекта сулит большие экономические выгоды, несмотря на значительные капиталовложения в строительство экополигонов.
Проблемы антропогенных отходов относятся к числу важнейших проблем глобальной экологии. В «Повестке дня на XXI век», принятой Конференцией ООН по окружающей среде и развитию в Рио-де-Жанейро, поставлена задача к 2000 году снизить количество опасных отходов на 30%. Однако, судя по материалам конференции «Рио-92 + 5» (1997 г.), эта задача вряд ли будет выполнена: в поступившей от 26 стран информации снижение суммарного количества накопленных высокотоксичных отходов составило за 4 года только 5,5%.
Минприроды России разработана государственная программа «Отходы» («Государственный доклад...», 1996). Основная цель этой программы - стабилизация, а в дальнейшем и сокращение загрязнения окружающей среды и экономия природных ресурсов за счет максимально возможного вторичного вовлечения отходов в хозяйственный оборот. Программа предусматривает решение всех освещенных в этом параграфе проблем, а также целенаправленное распределение финансовых и иных средств, необходимых для утилизации и удаления отходов, вовлечения вторичных ресурсов в хозяйственный оборот.
До последнего времени мало внимания уделялось отходам как объекту информационного, технологического и экономического описания. Для информационного обеспечения программы должна быть разработана государственная система учета отходов, включающая формирование банков данных по хранилищам отходов, технологиям их переработки, сведениям об отечественном и зарубежном научно-техническом потенциале в этой области, о конъюнктуре рынка отходов и пр. Программой предусматриваются также формирование эффективного экономического механизма и правового регулирования управления отходами, организация системы мониторинга отходов, разработка мер по экологически безопасному их размещению.
3. Биотехнологии
Одним из важных путей экологизации производства является расширение использования биологических технологий - применения живых организмов и биологических процессов для получения полезных продуктов и очищения окружающей среды. Человек использует биотехнологии с незапамятных времен. На биотехнологиях основано все сельское хозяйство. Хлебопечение и виноделие - это по существу микробиологические технологии. Научно-технический прогресс и связанные с ним изменения в общественном разделении труда серьезно повлияли на земледелие и животноводство. Их растущая механизация, электрификация и химизация не только привели к образованию агропромышленного комплекса, но и сделали сельское хозяйство и обслуживающие его отрасли источником существенного загрязнения природной среды. Агроценозы все больше приобретают черты антиэкологичных техноценозов.
Между тем экологизация производства требует, чтобы естественные биологические процессы не подавлялись и не вытеснялись техногенезом, а наоборот, занимали все большее место в разных областях хозяйства, в том числе и в промышленном производстве. Создание сбалансированных природно-технических систем невозможно без производственных циклов, органично вписывающихся в природу. Естественные биологические процессы по сравнению с техногенными не только более экологичны, но и более экономичны. Эволюция природы давно нашла оптимальные варианты в метаболизме живых существ, обеспечив высокую экономичность их функций.
Возможности биотехнологий намного шире, чем принято думать. Они огромны по возобновляющимся ресурсам, по резервам природного биологического сырья и организмов-продуцентов, по разнообразию процессов и получаемой продукции. Промышленные биотехнологии вносят существенный вклад в увеличение производства продуктов питания и кормов для животных, в повышение плодородия почвы, в борьбу с вредителями сельского хозяйства. Сочетания биотехнологии с культуральными формами выращивания некоторых растений и животных, синтез ценных биопрепаратов, витаминов и лекарств, производство тканевых биозаменителей, создание иммобилизованных ферментов-суперкатализаторов, применение их в тонкой органической химии и микрометаллургии, борьба с коррозией и остатками синтетических ксенобиотиков, вклад в экологичную энергетику и в очистку промышленных эмиссии - вот далеко не полный перечень возможных применений биотехнологий. Этот диапазон быстро расширяется благодаря научным достижениям в микробиологии, биохимии, генной инженерии. Биологизация открывает новые возможности для качественного роста промышленного производства и сельского хозяйства.
Все большее развитие получают биотехнологии, непосредственно связанные с защитой окружающей среды.
Экологическая биотехнология - это специфическое применение биотехнологических методов для решения проблем окружающей среды.
К сфере экологической биотехнологии относятся следующие основные направления:
- биологическая очистка сточных вод;
- биообработка твердых отходов (утилизация ила сточных вод, переработка ТБО, обезвреживание и ликвидация опасных промышленных отходов);
- биологическая очистка воздуха от ароматических веществ;
- биодеградация ксенобиотиков в окружающей среде;
- биологическая рекультивация почв, загрязненных отходами органической химии и нефтью;
- обеспечение возобновляемыми источниками энергии и сырья на основе органических отходов и биомассы (получение биогаза и других видов вторичного топлива, трансформация органических удобрений и др.);
- создание безопасных и эффективных средств биологической борьбы с болезнями и вредителями сельскохозяйственных культур, альтернативных химическим пестицидам.
Успехи биотехнологии и получение новых форм микроорганизмов позволяют рассчитывать на применение их в целях экологической защиты: для нейтрализации твердых опасных отходов, разрушения ароматических соединений газовых выбросов, для очистки воды и почвы от нефтяного загрязнения, для биодеструкции стойких ксенобиотиков и пластмасс. Последнему, в частности, способствует встречный процесс создания нового поколения пластиков - биоразлагаемых. Первый успех в этом направлении достигнут также с помощью микроорганизмов. Американской компанией JCJ в 1990 г. путем ферментации Сахаров бактериями получен первый в мире биоразлагаемый термопластик «биопол». Он будет использоваться в производстве пленок, бутылей, упаковочных нетканных материалов. Дальнейший прогресс в производстве биодеградабельных пластмасс связан с созданием фундаментальной биотехнологии изготовления полимерных материалов с различными свойствами, основные принципы которой разрабатываются в настоящее время крупнейшими лабораториями и фирмами ряда стран.
Следует помнить, что каковы бы ни были усилия и старания человека защитить окружающую среду от собственной грязи с помощью технических средств, они ничтожны по сравнению со средорегулирующей и средоочищающей функцией биосферы. Человек должен не подавлять эти механизмы, а максимально заимствовать их принципы и «технологии» в своей практической деятельности.

Рис. 4. Классификация методов и средств защиты окружающей среды
4.Средозащитная техника
Классификация средств экологической защиты. Под средозащитной техникой понимается совокупность технических средств и технологических методов, предназначенных для защиты окружающей природной среды от промышленных загрязнений. Все методы и средства защиты среды можно разделить на две большие группы: активные и пассивные (рис. 10.4).
Активные методы направлены непосредственно на источник загрязнения, они позволяют свести к минимуму поступление в среду всех видов отходов. Главные из них уже рассмотрены.
Пассивные методы и средства не оказывают прямого воздействия на источник загрязнения, они носят защитный характер и служат для ослабления негативного влияния на биосферу образовавшихся отходов и вредных физических факторов. К ним относятся рациональное размещение и локализация источников загрязнения, системы очистки газовых выбросов и сточных вод, установки для переработки, утилизации и обезвреживания отходов, глушители шума, виброизоляторы технологического оборудования, экраны для защиты от ионизирующих и электромагнитных излучений и т.п.
Мероприятия по рациональному размещению источников загрязнения решаются на различном уровне (общегосударственном, региональном, местном) в зависимости от масштабов, отраслевой структуры производства и экологической техноемкости территории с учетом всех факторов экологической обстановки.
Для ослабления действия техногенных эмиссии и вредных физических факторов применяют частичную локализацию и изоляцию как источников загрязнения, так и технических объектов и реципиентов возможного влияния (ведение технологического процесса в специальных камерах, герметизация вспомогательного оборудования, звукоизоляция, экранизация и т.п.). Очистка эмиссии включает различные механические, гидромеханические, термические, физические, физико-химические, химические и биологические средства и методы. Для оценки систем очистки воздуха и воды используют коэффициент очистки, производительность, экономичность.
Средства защиты атмосферы. Наиболее рациональным направлением охраны воздушного бассейна от загрязнения являются технологические процессы, обеспечивающие минимальный объем газообразных отходов, локализацию токсичных веществ в зоне их образования и значительную замкнутость газовых потоков. Однако до настоящего времени основным способом снижения вредных выбросов в атмосферу остается внедрение систем газоочистки.
Техника газоочистки весьма многообразна как по методам улавливания и обезвреживания вредных примесей, так и по конструкции газоочистных устройств. Классификация методов и аппаратов очистки технологических и вентиляционных газовых выбросов приведена на рис. 5. Для улавливания аэрозолей (пылей и туманов) используют аппараты сухой, мокрой и электрической очистки. Работа сухих пылеулавливающих аппаратов основана на различных механизмах осаждения взвешенных частиц: гравитационном (под действием силы тяжести), инерционном, центробежном или фильтрационном. В мокрых пылеуловителях осаждение происходит вследствие контакта взвешенных частиц с жидкостью, чаще всего водой. Метод электрической очистки основан на ионизации газа в электрическом поле высокого напряжения и осаждении заряженных частиц пыли на электродах электрофильтра. Для очистки газов от содержащихся в них газообразных и парообразных примесей применяют методы абсорбции, адсорбции, каталитические и термические методы.
Способы очистки газовых потоков характеризуются составом используемого оборудования, необходимыми ресурсами для его работы, параметрами входного и выходного потоков, влиянием на основной рабочий процесс. На выбор метода влияют состав, физико-химические свойства и концентрация извлекаемых компонентов, температура газа, наличие сорбентов, требуемая степень очистки, возможность рекуперации уловленных веществ.

Рис. 5. Классификация методов и аппаратов для очистки промышленных выбросов
С экологической точки зрения, основным показателем работы очистного оборудования является эффективность очистки:
(7)
где Свх и Свых - массовые концентрации примесей в газе до и после очистки.
Важной характеристикой аппарата очистки служит величина аэродинамического сопротивления, которое определяется как разность давлений газового потока на входе и выходе. От этой величины зависят качество очистки, мощность побудителя движения газов, необходимые энергозатраты, а, следовательно, и расходы по эксплуатации газоочистного агрегата.
Для очистки от пыли необходимо учитывать физико-химические характеристики пыли: плотность, фракционный состав, адгезивные свойства, смачиваемость, гигроскопичность, электрические свойства частиц и слоя пыли, способность пыли к самовозгоранию и образованию взрывоопасных смесей. Для улавливания пыли сухим способом используют пылеосацительные камеры, инерционные пылеуловители, жалюзийные аппараты, циклоны, ротационные и вихревые пылеуловители, фильтры и электрофильтры (рис. 6).

Рис. 6. Пылеулавливающие аппараты сухой очистки:
А - пылеосадительная камера: 1 - корпус, 2 - бункер, 3 - перегородка; Б - инерционный пылеуловитель: 1 - корпус, 2 - перегородка; В - жалюзийный пылеуловитель: 1 - корпус, 2 - решетки; Г - циклон: 1 - корпус, 2 - входной патрубок, 3 - выходная труба, 4- бункер
Для тонкой очистки газовых выбросов широко используют различные типы фильтров. Фильтрующими элементами могут быть гибкие и жесткие пористые перегородки из разнообразных материалов - от тонких тканей до перфорированных металлических стенок и керамики. Наибольшее распространение получили рукавные фильтры из тканевых материалов. В процессе эксплуатации рукава периодически встряхиваются и продуваются для восстановления фильтрующей способности. Эффективность очистки от пыли в рукавных фильтрах достигает 99%.
Аппараты мокрой очистки газов отличаются высокой эффективностью улавливания мелкодисперсных пылей, возможностью очистки от пыли горячих и взрывоопасных газов. В качестве газопромывающей жидкости обычно используется вода. Существуют разнообразные конструкции таких аппаратов. Схемы наиболее распространенных показаны на рис. 10.7.

Рис. 7. Пылеуловители мокрой очистки:
А - полный форсуночный газопромывагель: 1 - корпус, 2 - форсунки; Б - скруббер Вентури: 1 - труба-распылитель, 2 - циклоп-пылеуловитель
Электрическая очистка - один из наиболее совершенных методов очистки газов от мелкодисперсной пыли. Установка электрической очистки состоит из собственно электрофильтра и питающего устройства, предназначенного для подачи тока высокого напряжения на электроды электрофильтра. Отрицательно заряженные аэрозольные частицы под действием электрического поля движутся к осадительному электроду, а относительно небольшая масса положительно заряженных частиц оседает на коронирующем электроде.
Улавливание туманов. Для очистки газовых выбросов от туманов кислот, щелочей, масел и других жидкостей применяют волокнистые и сеточные фильтры-туманоуловители и мокрые электрофильтры. Их действие основано на захвате частиц жидкости волокнами при пропускании туманов через фильтрующий элемент с последующим отеканием жидкости. Для улавливания грубодисперсных примесей используют брызгоуловители, состоящие из пакетов металлических сеток. Часто применяют двухступенчатые установки, включающие фильтр для улавливания крупных капель и фильтр для очистки от тумана. Мокрые электрофильтры, применяемые для улавливания туманов, по принципу действия аналогичны сухим электрофильтрам.
Для очистки газов от газо- и парообразных загрязнителей применяют четыре основных способа: промывку выбросов и поглощение примесей жидкостью (абсорбция), поглощение примесей твердыми активными веществами (адсорбция), поглощение примесей за счет каталитических превращений и термическая нейтрализация отходящих газов. Для улавливания паров летучих растворителей используют также метод конденсации, в основе которого лежит уменьшение давления насыщенного пара растворителя при понижении температуры. Очистка выбросов методом абсорбции состоит в разделении газообразной смеси на составные части путем поглощения некоторых газовых компонентов жидким поглотителем (абсорбентом). Для контакта газового потока с абсорбентом газ пропускают через абсорберы - насадочные башни, форсуночные, барботажнопенные скрубберы и другие аппараты. Отработанный раствор подвергают регенерации, десорбируя загрязняющее вещество, и возвращают его в процесс очистки либо выводят в качестве побочного продукта.
Адсорбционные методы очистки газов основаны на способности некоторых твердых пористых тел - адсорбентов - селективно извлекать и концентрировать на своей поверхности отдельные компоненты газовой смеси. Различают физическую и химическую адсорбцию (хемосорбцию). При физической адсорбции поглощаемые молекулы газа удерживаются на поверхности твердого тела межмолекулярными силами притяжения. В основе хемосорбции лежит химическое взаимодействие между адсорбентом и адсорбируемым газом. В качестве адсорбентов применяют пористые материалы с развитой поверхностью: активные угли, силикогель, алюмогель, цеолиты. Процесс очистки проводят в адсорберах, которые выполняются в виде вертикальных, горизонтальных или кольцевых емкостей, заполненных адсорбентом. Наиболее распространены адсорберы периодического действия, в которых отработанный поглотитель по мере необходимости заменяют либо регенерируют. Адсорбированные вещества удаляют десорбцией инертным газом или паром, иногда проводят термическую регенерацию.
Каталитические методы очистки основаны на химических превращениях токсичных компонентов в нетоксичные или менее токсичные в присутствии катализаторов. Катализаторы существенно ускоряют химические взаимодействия удаляемых веществ с одним из компонентов газовой смеси или со специально добавляемым веществом. Очищаемые газы не должны содержать катализаторные яды. В качестве катализаторов используют металлы (платину, палладий, медь) или их соединения (оксиды меди, марганца и др.), нанесенные тонким слоем на основу из относительно недорогого металла. Наиболее многочисленную группу аппаратов составляют термокаталитические реакторы, объединяющие в одном корпусе рекуператор теплоты, подогреватель и контактный узел. Термокаталитические реакторы с электроподогревом применяют для очистки газовых выбросов сушильных камер окрасочных линии и других производств от органических веществ.
Термические методы основаны на свойстве горючих токсичных компонентов окисляться до менее токсичных при наличии кислорода и высокой температуры газовой смеси. Эти методы применяют для освобождения газов от легкоокисляемых токсичных примесей при больших объемах выбросов и высокой концентрации загрязняющих веществ. Используют три основных схемы термонейтрализации промышленных выбросов: прямое сжигание в пламени, термическое окисление и каталитическое сжигание. Область применения термических методов ограничена характером образующихся при окислении продуктов реакции.
Многоступенчатая очистка. Сложный состав промышленных выбросов и высокие концентрации содержащихся в них токсичных компонентов предопределяют применение многоступенчатых систем очистки и обезвреживания отходящих газов, представляющих комбинацию рассмотренных выше методов и аппаратов. В этом случае очищаемые газы последовательно проходят через несколько автономных аппаратов очистки либо через комплексный агрегат, включающий несколько ступеней очистки. Такие решения возможны для обеспечения высокоэффективной очистки газов от пылей, при одновременной очистке от твердых и газообразных примесей, при очистке от твердых частиц и туманов и т.п.
Эффективность систем газоочистки определяется не только степенью очистки технологических и вентиляционных выбросов от вредных примесей, но и возможностью использования или нейтрализации и изоляции уловленных продуктов.
Средства защиты воды. Меры по защите водных объектов от промышленных загрязнений включают:
- применение безводных и маловодных технологий и замкнутых циклов водоснабжения;
- предотвращение или снижение загрязнения воды, забираемой из природных источников;
- очистку сточных вод.
Водообеспечение потребителей воды может быть прямоточным, последовательным и оборотным. При прямоточном водоснабжении вся забираемая вода за исключением безвозвратных потерь (испарение, пролив, включение в продукцию) после проведения технологического процесса возвращается в водоем. При последовательной схеме вода, поступающая из источника водоснабжения, многократно используется в нескольких процессах.
Наиболее перспективный путь уменьшения потребления свежей воды и сведения к минимуму сброса стоков в водоемы - внедрение оборотных и замкнутых систем водоснабжения. Оборотную воду используют в теплообменных аппаратах для отведения избыточного тепла, для промывки деталей, изделий, а также в качестве растворителя или реакционной среды. В зависимости от целевого назначения оборотного водоснабжения возможны схемы с охлаждением, с очисткой оборотной воды и комбинированные схемы с одновременной очисткой и охлаждением воды.
Для предотвращения коррозии, биологического обрастания трубопроводов и аппаратуры часть оборотной воды выводят из системы, добавляя свежую воду из водоема или очищенные сточные воды (продувочная вода). Кроме того, некоторая часть воды теряется на охладительных установках - градирнях (испарение с поверхности, разбрызгивание). Для компенсации безвозвратных потерь воды осуществляют подпитку системы из открытых водоемов и подземных источников водоснабжения. Количество добавляемой воды, как правило, не превышает 5-10% от ее количества, циркулирующего в системе. Применение оборотного водоснабжения позволяет уменьшить потребление свежей воды в промышленных производствах в 10-50 раз.

Рис. 8. Классификация методов очистки промышленных сточных вод
В замкнутой (бессточной) системе вода используется в производственных процессах многократно без очистки или после соответствующей обработки, исключающей образование каких-либо отходов и сброс сточных вод в водоем. Замкнутые системы технически сложнее, но они в наибольшей степени соответствуют принципам безотходного производства. Их следует вводить на реконструируемых и вновь строящихся предприятиях.
Замкнутая система водоснабжения обеспечивает экономию свежей воды во всех производствах, максимальную рекуперацию сточных вод и практически исключает загрязнение окружающей среды.
Различные методы очистки сточных вод (рис. 8) подразделяют на рекуперационные и деструктивные. Первые предусматривают извлечение из промышленных сточных вод ценных веществ и дальнейшую их переработку. При деструктивных методах очистки загрязнители разрушаются путем окисления или восстановления с последующим удалением разрушенных продуктов из воды в виде газов или осадков. Механическая очистка служит предварительным этапом очистки производственных сточных вод. Удаление взвешенных примесей достигается отстаиванием, фильтрованием или циклонированием. Отстаивание производят в отстойниках (рис. 9, А), песколовках, осветлителях различных конструкций. При отстаивании отделяются и осадки, и всплывшие примеси - жиры, масла, нефтепродукты, которые удаляют с помощью нефтеловушек. Для интенсификации осаждения взвешенных частиц вода подвергается действию центробежной силы в открытых или напорных гидроциклонах и центрифугах. Конструктивная схема гидроциклона (рис. 9, Б) аналогична схеме циклона для очистки газов.

Рис. 9. Аппараты механической очистки сточных вод:
А - горизонтальный отстойник: 1 - входной поток, 2 - отстойная камера, 3 - выходной поток, 4 - приемник; Б - напорный гидроциклон
Фильтрование применяют для выделения из сточных вод тонкодисперсных примесей твердых или жидких веществ. Распространены два основных типа фильтров: зернистые и микрофильтры. В зернистых фильтрах воду пропускают через насадки из несвязных пористых материалов (антрацит, песок, мраморная крошка и др.). Фильтрующие элементы микрофильтров изготавливают из сеток с ячейками размером от 40 до 70 мкм и из сплошных пористых материалов. Для очистки сточных вод от маслопродуктов широко используют пенополиуретан, который обладает большой маслопоглотительной способностью.
Химическую очистку используют для удаления растворимых примесей из сточных вод перед спуском их в водоем или городскую канализацию, иногда до или после биологической очистки, а также в замкнутых системах водоснабжения. Основные методы химической очистки: нейтрализация, окисление и восстановление. Нейтрализации подвергают сточные воды, содержащие кислоты или щелочи с целью приведения реакции среды близкой к нейтральной (рН = 6,5 - 8,0). Нейтрализацию проводят смешиванием кислых и щелочных сточных вод, добавлением реагентов, фильтрованием сточных вод через нейтрализующие материалы. Осваивается способ нейтрализации щелочных вод дымовыми газами, содержащими СО2 , SO2 , NO4 , что позволяет одновременно проводить эффективную очистку от вредных компонентов и самих газовых выбросов.
Окисление применяют для обезвреживания сточных вод от токсичных примесей (цианидов, растворенных соединений мышьяка и др.), извлечение которых нецелесообразно либо невозможно другими способами. В качестве окислителей при очистке сточных вод используют газообразный и сжиженный хлор, кислород воздуха, озон и другие реагенты. Озон, являясь сильным окислителем, способен разрушать в водных растворах органические вещества и другие примеси. Озонирование применяется для очистки сточных вод от нефтепродуктов, фенола, сероводорода, цианидов и других примесей. Одновременно обеспечивается устранение привкусов, запахов, обесцвечивание и обеззараживание воды. К преимуществам озонирования (по сравнению с хлорированием) относится и возможность получения озона непосредственно на очистных сооружениях в озонаторах, где он образуется из кислорода воздуха под действием электрического разряда.
Биологическая очистка сточных вод играет главную роль в освобождении воды от органических и некоторых минеральных загрязнений. Она сходна с природным процессом самоочищения водоемов. Биоочистка осуществляется сообществом организмов, которое состоит из различных бактерий, водорослей, грибков, простейших, червей и др. Процесс очистки основан на способности этих организмов использовать растворенные примеси для питания, роста и размножения.
Под действием микроорганизмов могут протекать два процесса - окислительный (аэробный) и восстановительный (анаэробный). В аэробных процессах микроорганизмы, культивирующиеся в активном иле либо в биопленке, используют растворенный в воде кислород. Для их жизнедеятельности необходимы постоянный приток кислорода и температура 20-30° С. Анаэробная очистка протекает без доступа кислорода, основной процесс здесь - сбраживание ила. Эти методы применяют для очистки от органики сильно концентрированных сточных вод и для обезвреживания осадков.
Биологическая очистка сточных вод может проходить в естественных условиях (на полях орошения, полях фильтрации, биологических прудах) и в искусственных сооружениях - аэротенках и биофильтрах разной конструкции. Биологическую очистку производственных сточных вод проводят обычно в искусственных условиях, где процессы очистки протекают с большей скоростью.
Аэротенк представляет собой разделенный перегородками на отдельные коридоры железобетонный резервуар, который оборудован устройствами для принудительной аэрации. Процесс очистки в аэротенке идет по мере пропускания через него аэририруемой смеси сточной воды и активного ила, состоящего из живых организмов и твердого субстрата (отмершей части водорослей и различных твердых остатков). За несколько часов основная масса органики перерабатывается. Из аэротенка смесь обработанной сточной воды и активного ила поступает во вторичный отстойник. Осевший на дно активный ил отводится в резервуар насосной станции, а очищенная сточная вода поступает либо на дальнейшую доочистку, либо дезинфицируется. В процессе биологического окисления происходит прирост биомассы активного ила. Избыток его направляется в сооружения по обработке осадка, а основная часть в виде циркуляционного активного ила снова возвращается в аэротенк.
В биофильтрах сточная вода фильтруется через слой кусковой загрузки, в качестве которой используют щебень, гравий, шлак, керамзит, пластмассу, металлическую сетку и другие материалы, на поверхности которых образуется биологическая пленка, выполняющая те же функции, что и активный ил. Она адсорбирует и перерабатывает органические вещества, находящиеся в сточных водах. Окислительная мощность биофильтров увеличивается при подаче в них сжатого воздуха в направлении, противоположном фильтрованию.
В процессе биологической очистки сточных вод образуется большая масса осадков, которые необходимо утилизировать либо обезвредить и изолировать. С этой целью применяют уплотнение активного ила, обезвоживание, термическую обработку и другие операции. После обезвреживания осадки можно использовать в качестве органоминеральных удобрений или компонента некоторых материалов. При внесении обработанного ила на поля существуют количественные ограничения, обусловленные присутствием в иле токсичных ионов металлов и следовых количеств токсичных органических соединений. Разработаны технологии рекуперации активного ила, с помощью которых получают белково-витаминные продукты, кормовые дрожжи и технические витамины для комбикормовой промышленности.
Эффективная очистка промышленных и коммунально-бытовых сточных вод представляет одну из наиболее актуальных инженерно-экологических проблем. Она усложняется использованием общих систем канализации для бытовых и промышленных стоков, широким применением гидросмыва экскрементов человека и животных, смешиванием продуктов их жизнедеятельности с растворами стиральных порошков, шампуней и других СПАВ. Даже при очистке сточных вод биологическим методом из них извлекается не более 90% органических веществ и всего лишь 10-40% неорганических соединений.
Существующие процессы биологической очистки сточных вод позволяют разрушать только относительно простые органические соединения, степень очистки от неорганических и сложных органических веществ гораздо ниже. Это приводит к необходимости получения новых штаммов микроорганизмов, пригодных для очистки специальных промышленных стоков. Уже есть множество примеров использования селекционированных штаммов для улучшения очистки сточных вод, содержащих ионы тяжелых металлов, фенолы, цианиды и другие токсичные загрязнители.
Физико-химические методы используют для глубокой очистки сточных вод, удаления из них тонкодисперсных взвешенных частиц (твердых и жидких) и растворимых примесей. По сравнению с другими методами очистки они имеют ряд преимуществ и область их применения в последние годы постоянно расширяется. К этой группе методов относятся: коагуляция, флотация, сорбция, ионный обмен, экстракция, гилерфильтрация, электрохимическая очистка, эвапорация, десорбция, дезодорация, дегазация и другие.
К ним примыкают электрохимические методы очистки сточных вод, включающие процессы анодного окисления и катодного восстановления, электрокоагуляцию, электрофлотацию и электродиализ. Все эти процессы происходят при пропускании через сточную воду постоянного электрического тока. Электрохимическая очистка позволяет извлекать из сточных вод растворимые и взвешенные примеси без использования химических реагентов, обеспечивает возможность автоматизации технологического процесса очистки, упрощает эксплуатацию очистных сооружений. Основной недостаток электрохимических методов - большое потребление электроэнергии.
При проектировании очистных сооружений промышленных предприятий необходимо выбрать эффективные методы и схемы очистки сточных вод. Наиболее рациональным считается сочетание оборотных систем водоснабжения, методов локальной и общей очистки. Локальная очистка позволяет извлечь из стоков разных производств наиболее ценные компоненты, а также вещества, затрудняющие общую очистку. Воды, очищенные от характерных для данного производства примесей, проходят вторую ступень очистки в общезаводских очистных сооружениях. В общем стоке можно использовать нейтрализующие, коагулирующие и другие свойства компонентов локальных стоков.
Производственные сточные воды разделяют или объединяют в потоки по преобладающим загрязнителям с учетом мест образования и количества сто-' ков. При отсутствии резко выраженных видов загрязнений все производственные сточные воды объединяют в один поток, устанавливая на входе очистных сооружений специальные емкости - коллекторные усреднители.
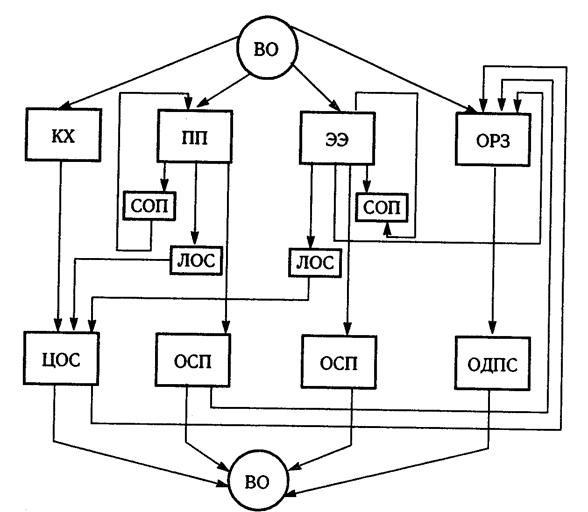
Перспективным направлением водообеспечения и защиты водных объектов от загрязнения является создание межотраслевых водохозяйственных систем, учитывающих взаимосвязанное развитие технологий производства, водопользования, обработки и утилизации отводимых вод (Кухарь и др., 1989). В представленной на рис. 10 схеме предусматриваются оборотное и повторное использование вод, локальная и общая очистка стоков на предприятиях промышленности и энергетики. Часть промышленных сточных вод, прошедших локальную очистку, и стоки коммунального хозяйства обрабатываются совместно на централизованных (региональных, городских) очистных сооружениях. Межотраслевые водохозяйственные системы позволяют использовать очищенные бытовые и промышленные сточные воды для орошаемого земледелия, а тепло сбросных вод электроэнергетики - для интенсификации сельскохозяйственного производства (например, обогрева теплиц) и рыбного хозяйства. При этом одновременно решаются и природоохранные проблемы, так как экономятся водные ресурсы, уменьшается сброс сточных вод в водоемы.

Рис. 10. Общая схема обработки, утилизации и сброса отводимых вод для основных отраслей хозяйства:
ВО - водный объект; КХ - коммунальное хозяйство; ПП - промышленное производство; ЭЭ - электроэнергетика; ОРЗ - орошаемое земледелие; СОП - система оборотного и повторного использования вод; ЛОС - локальные очистные сооружения; ЦОС - централизованные очистные сооружения; ОСП - очистные сооружения предприятий; ОДПС - система обработки дренажного и поверхностного стока
Средства защиты от вредных физических воздействия. Техногенное химическое, радиационное и тепловое загрязнение среды оказывает влияние на все элементы биосферы, имеет глобальный масштаб и несомненное общеэкодогическое значение. Техногенное волновое загрязнение имеет более локальный характер и в наибольшей мере относится к экологии или даже скорее к гигиене человека. Особую остроту оно приобретает в крупных промышленных городах, где сосредоточены мощные источники электромагнитного и акустического загрязнения.
Защита от шума. В соответствии с действующими гигиеническими нормативами уровни звукового давления постоянного шума и эквивалентные уровни непостоянного шума в жилых помещениях не должны превышать 30 дБА ночью и 40 дБА в дневное время, на территории жилой застройки - соответственно 45 дБА и 55 дБА. Возможность выполнения этих нормативов в значительной мере зависит от шумовых характеристик различных источников.
Для проектируемых объектов выбор средств защиты от шума производится на основании акустического расчета, включающего выявление расчетных точек пространства вокруг источника шума, определение ожидаемого уровня звукового давления в этих точках, сравнение его с допустимым и определение требуемого уровня снижения шума. Ожидаемый уровень звукового давления L , дБ, в расчетной точке определяется по формуле
L = Lp + 10lgF + 10lgW + 20lgr - DLp (8)
где L2 - уровень звуковой мощности источника излучения;
F - фактор направленности излучения шума;
W - пространственный угол излучения;
г - расстояние от источника шума;
DLp - потери уровня звуковой мощности на пути распространения шума. При отсутствии препятствий на пути распространения и небольших (до 50 м) расстояниях DLp » 0.
Из выражения (10.8) следует, что для снижения шума нужно:
а) уменьшить уровень звуковой мощности источника шума;
б) уменьшить направленность излучения шума;
в) увеличить угол излучения и расстояние от источника;
г) ослабить шум на пути его распространения к расчетной точке.
Первое достигается заменой источников на акустически менее мощные; следующие требования (б, в) - правильным планировочным расположением объектов шумового воздействия по отношению к источникам; последнее (г) - различными средствами звукоизоляции и виброизоляции, применением звукопоглощающих материалов и конструкций, установкой глушителей шума.
К средствам звукоизоляции относятся звукоизолирующие ограждения (стены, перегородки), звукоизолирующие кожухи и акустические экраны. Роль последних могут выполнять размещенные вдоль магистралей ленточных конструкций из двухэтажных зданий нежилого назначения, перепады рельефа, насаждения деревьев и кустарников и т.п. Глушители шума устанавливают в воздуховодах вентиляторов, компрессоров, в системах выпуска отработавших газов двигателей внутреннего сгорания и других источников шума аэродинамического происхождения. Акустическая обработка шумных производственных помещений звукопоглощающими материалами не только снижает шум внутри помещений, но и уменьшает интенсивность его излучения шума в окружающую среду.
Защита от инфразвуковых колебаний должна быть перенесена главным образом на их источники. К основным мерам относятся: уменьшение уровня колебаний в источнике; поглощение звуковой энергии при помощи глушителей; использование механических преобразователей частоты. Снижение интенсивности инфразвука может быть достигнуто за счет изменения режима работы технологического оборудования (например, увеличения числа рабочих циклов, что обеспечивает перевод частоты силовых импульсов за пределы инфразвукового диапазона), повышения жесткости крупногабаритных конструкций, устранения низкочастотных вибраций. Для уменьшения уровня инфразвуковых составляющих шума всасывания и выхлопа дизельных и компрессорных установок, турбин, ДВС целесообразно использование глушителей шума и специальных глушителей инфразвука камерного или резонансного типа. Механические преобразователи частоты, установленные в закрытых каналах на пути распространения инфразвука (например, в выхлопных трубах ДВС), позволяют преобразовывать инфразвуковые колебания в менее опасные ультразвуковые.
Защита от вредного воздействия вибраций осуществляется как воздействием на источник возбуждения вибрации, так и на пути ее распространения. Основными методами борьбы с вибрациями являются: снижение вибраций в источнике их возникновения, виброгашение, виброизоляция, вибродемпфирование. При создании нового оборудования и технологических процессов необходимо стремиться к исключению механизмов, кинематических и технологических схем, вызывающих ударную нагрузку, резкие ускорения и другие динамические процессы (устранение дисбаланса вращающихся частей; применение вместо кривошипных механизмов равномерно вращающихся; замена ковки и штамповки прессованием, пневматической клепки - сваркой и т.п.). Для снижения уровня производственных вибраций важно также предотвратить резонансные режимы работы оборудования, что обеспечивает изменение частот собственных и вынужденных колебаний машин и механизмов. Виброгашение обычно достигается путем установки тяжелых агрегатов (молотов, прессов) на массивные бетонные фундаменты, а более мелкого инженерного оборудования зданий - вентиляторов, насосов - на виброгасящие плиты и основания. Для уменьшения вибраций, создаваемых рельсовым транспортом, рельсы крепят на массивные железобетонные шпалы, погруженные в слой балласта.
Виброизоляция осуществляется путем введения в колебательную систему дополнительной упругой связи, уменьшающей передачу вибрации от источника колебаний к основанию или смежным элементам конструкций. Для этого применяют резиновые или пластмассовые прокладки, цилиндрические пружины и рессоры, воздушные подушки, гибкие вставки и их сочетания. А для уменьшения распространения вибрации от фундаментов машин по периметру фундаментов создают акустические щели или швы с засыпкой из рыхлого материала. В основе вибродемпфирования лежит увеличение активных потерь энергии путем превращения энергии механических колебаний в теплоту. Широкие возможности для защиты от вибраций имеет нанесение на вибрирующие поверхности деталей машин и инженерных коммуникаций упруговязких материалов и листовых вибродемпфирующих покрытий.
Защита от электромагнитных колебаний во многом зависит от их частотных характеристик и напряженности электромагнитных полей (ЭМП). Как уже отмечалось, основными источниками ЭМП промышленной частоты являются воздушные ЛЭП, а ЭМП радиочастотного диапазона - радиотехнические объекты (РТО). Санитарные нормы и правила защиты населения от воздействия электрического поля, создаваемого ЛЭП, устанавливают следующие ПДУ его напряженности (кВ/м): внутри жилых зданий - 0,5; на территории жилой застройки - 1; в населенной местности, вне зоны жилой застройки - 10; в ненаселенной местности, посещаемой людьми, - 15. Для ЭМП радиочастот в диапазоне 0,03-300 МГц нормируются электрическая (В/м) и магнитная (А/м) составляющие поля. В диапазоне частот 0,3-300 ГГц, где формируется единое ЭМП, устанавливается допустимая величина поверхностной плотности потока энергии (Вт/м2 ) и создаваемой им энергетической нагрузки (Втч/м2 ). В случае превышения предельно допустимого уровня напряженности и плотности потока энергии необходимо применять следующие способы и средства защиты:
- уменьшение параметров излучения в источнике ЭМП, что достигается использованием согласованных нагрузок и поглотителей мощности, правильным выбором генерирующего оборудования;
- экранирование источников излучения;
- увеличение расстояния до источников излучения.
При экранировании заземленные металлические экраны могут быть замкнутыми (полностью окружающими излучающее устройство) или незамкнутыми. Основной способ защиты - удаление от источника. При размещении РТО планировочные решения выбираются с учетом характеристик источников излучения, рельефа местности, этажности застройки. На территории РТО не допускается строительство жилых и общественных зданий. В целях защиты населения от воздействия электрического поля ЛЭП вдоль их трассы устанавливаются санитарно-защитные зоны (табл. 10.1).
Таблица 1
Границы санитарно-защитных зон вдоль трассы ЛЭП на населенной местности
| Напряжение ЛЭП. кВ | Расстояние от проекции на землю крайних фаз проводов, м |
| 1150 | 300 (55*) |
| 750 | 250 (40) |
| 500 | 150 (30) |
| 330 | 75 (20) |
| 220 | 25 |
| 110 | 20 |
| 35 | 15 |
| До 20 | 10 |
4. Технологии постиндустриальной цивилизации
Выше уже рассмотрены основные этапы техногенеза и важнейших технологических достижений человечества. Современный этап прогресса знаменуется переходом к постиндустриальной цивилизации, многие черты которой формируются под влиянием экологического императива. Индустриальный мир, построенный за счет разрушения природы планеты, достиг своей вершины и находится в состоянии климакса.
Постиндустриальный тип технологического облика цивилизации зародился и быстро развивается в передовых индустриальных странах, преодолевая инерцию и традиции социально-экономической организации общества. Здесь на первое место выходит производство услуг, а преобладающими факторами производства становятся знания. Ведущую роль приобретает труд, направленный на получение, обработку и хранение информации. Природогубительное влияние индустрии еще сохраняется и продолжает расти, но уже становится более контролируемым. И появляется все больше примеров переориентации производства и смены технологий на менее природоемкие. Ситуация экологического кризиса требует значительного ускорения этого процесса.
Для наступающей постиндустриальной эпохи характерно не только повсеместное использование достижений науки и техники во всех областях человеческой деятельности, но и целенаправленное усовершенствование самой техники. На наших глазах заканчивается эра господства механической обработки материалов. Сегодня для этого используется огромный арсенал физических, химических и биохимических процессов, в которых воздействие на преобразуемый предмет осуществляется с помощью электромагнитных полей, лазерного излучения, плазмы, отдельных молекул, элементарных частиц, живых организмов. В распоряжении человечества появился целый ряд новых технологий, связанных с микроэлектроникой и информатикой (робототехника, гибкое автоматизированное производство); создано большое число новых синтетических материалов с заранее заданными свойствами (керамики, высокопрочные пластмассы, сверхтвердые композиционные материалы, стекловолокно, биоматериалы и др.); расширяется применение лазеров в разных технологических процессах; разработаны новые методы получения силиконовых слоев и техника нанесения их на кристаллы полупроводников при сверхвысоком вакууме; развиваются новые биотехнологии.
Самым ярким признаком наступления постиндустриальной цивилизации является стремительный прогресс в сфере средств связи и информатики, в мире электроники. Возникновение новой техники здесь происходит в силу тесной связи с наукой и как логическое расширение и углубление уже существующей технологии. Важнейшими тенденциями развития электроники стали микроминиатюризация, массовое производство и распространение интегральных схем, микропроцессоров и компактносителей. Простая кремниевая или германиевая микроплата площадью в 1 мм2 , используемая в современной электронике, заменяет тысячи транзисторов и связующих элементов. Плотность рабочих элементов в электронных устройствах, как и плотность записи информации, за последние 30 лет увеличились в миллионы раз. Почти во столько же уменьшились удельные затраты материалов и труда на один операционный элемент электронного устройства или на запись бита информации.
В последнее время совершен новый колоссальный прорыв в области миниатюризации. Учеными компании «Хьюлетт-Паккард» и Калифорнийского университета показана реальная возможность создания компьютерного элемента молекулярного размера, в котором квантовые переходы в атомах используются в качестве вычислительных операций. Это - первый шаг на пути создания процессоров с тактовой частотой в сотни гигагерц, сверхмощных молекулярных компьютеров и вступления в эру молетроники - молекулярной электроники. Ф.Кьюкес из «Хьюлетт-Паккард» предсказывает фантастические путешествия микросенсоров по кровеносным сосудам людей, которые будут подавать «сигналы бедствия в случае неполадок в организме».
Миниатюризация расширяет сферу своего влияния на другие области, появились нанотехнологии (т.е. на основе «карликовых», сверхминиатюрных элементов) и за пределами электроники. Это совершенно новая ступень технического прогресса, обещающая дальнейшее снижение материальных потоков в ряде отраслей производства.
Электроника последних десятилетий XX в. наполнила мир персональными компьютерами, модемами, сотовыми телефонами, факсимильными аппаратами, видеокассетными камерами и множеством других вещей, полезность которых относительно их материале- и энергоемкости намного больше, чем у других промышленных изделий. На наших глазах создаются, растут и охватывают весь мир телекоммутационные сети широкого профиля с огромной несущей способностью, в каждой ячейке которых монитор, телефон, модем и компьютер удобно взаимодействуют или образуют единый телескрин и позволяют любому пользователю установить связь с любым другим пользователем и получить любую информацию из огромных массивов, включенных в систему. Новые информационные технологии становятся основой прогресса. Интернет стал не только новым способом получения любой информации и человеческого общения - «горизонтального», не знающего государственных границ, но и прообразом всемирной демократии.
Практически неограниченная возможность любых контактов и обмена информацией имеет огромное социально-экономическое значение. Именно телевидение, как ничто иное, способствовало разрушению мифа о «преимуществах социализма». П.Хыобер, автор статьи под названием «Чем больше у людей компьютеров, тем свободнее общество» по этому поводу пишет: «Политические и культурные последствия этого поистине огромны. Фрагментация и децентрализация возвестили конец монополии - будь то монополия западного капитализма или восточного коммунизма. Децентрализация означает наступление конкуренции и свободы». К этому следует добавить, что изменяется и сама природа конкуренции и различных противостояний, так как многие коммерческие, государственные и военные тайны перестают быть тайнами.
Рынок информации, компьютеров и программного продукта быстро догоняет рынок нефти и стали. Относительно небольшая компания «Майкрософт», в которой работает всего 22 тысячи сотрудников, по рыночной стоимости занимает второе место в мире. А глава ее - самый богатый человек планеты Билл Гейтс вкладывает большие деньги в проект по запуску 300 спутников для высокоскоростного доступа в Интернет.
Становится все более очевидным, что постиндустриальная цивилизация - это качественно новый тип общества – информационное общество, в котором информационная индустрия обретает всеобъемлющий характер, а знания и информация становятся экономической категорией, ресурсом и основным товаром. Концепция информационного общества связана с вызванными комплексной автоматизацией и компьютеризацией крупномасштабными сдвигами в структуре производительных сил, созданием индустрии информации, коммуникационно-вычислительных сетей, систем баз данных.

Рис. 11. Схема, поясняющая взаимозависимость между потоками или «потенциалами» вещества (В), энергии (Э) и информации (И) в двух хозяйственных структурах:
А - информационный тип хозяйства с относительно низкой материалеемкостью и энергоемкостью;
Б - материалоемкий тип хозяйства с пониженным информационным потенциалом
Очевидно, однако, что и в условиях всеобщей информатизации общество не сможет полностью отказаться от индустриальной сферы, так как потребление информации не может заменить потребление энергии и продуктов производства. Какое же тогда отношение имеет массовое развитие информационных технологий к общей экологизации производства? Дело не только в том, что благодаря миниатюризации снижается материалоемкость и энергоемкость соответствующих изделий. Индустриальная сфера под влиянием компьютеризации совершенствуется кардинальным образом.
Возрастание информационного потенциала общества влияет на материалоемкость и энергоемкость всей экономики, так как во всех материальных системах, способных к эволюции, существуют замещающие взаимоотношения между веществом, энергией и информацией. Это можно проиллюстрировать простой схемой (рис. 11), где представлены два варианта конфигурации триады «вещество - энергия - информация» для национального хозяйства разных стран. Это могут быть, например, Япония (А) и Россия (Б). Хозяйственная структура «информационного общества» более экологична, потому что менее природоемка: В-Э («вещество-энергия») - сектор наибольшей природоемкости.
В связи с быстрой информатизацией общества все более реальными становятся концепции «экономики культурного слоя» и «информационной деревни». Первая из них предполагает возникновение и рост слоя высоко образованных людей, для которых неограниченная доступность информации и связанная с ней работа интеллекта существенно изменяет структуру материальных потребностей, что не может не отразиться на структуре производства. Вторая также имеет в виду изменение образа жизни значительного слоя людей, которые, находясь все время дома или в избранной комфортной окружающей среде («деревне»), могут выполнять все обыденные функции и операции - учиться, служить, управлять, участвовать в международных форумах, читать лекции студентам, получать деньги, совершать покупки, общаться с друзьями и т.д. Подобные качественные изменения тесно связаны с трансформациями в экономике и производстве.
Прямая связь структурных изменений и качественного роста с экологизацией производства проявляется не только на уровне прямого снижения материалоемкости и энергоемкости промышленной продукции, но и при замене самих материалов и изделий на более экологичные по химической природе, технологии производства и потребительским качествам (например, замена металлов керамиками, пестицидов - биосинтетическими препаратами, оружия и автомобилей - компьютерами и т.п.), но особенно на уровне рационализации получения, расходования и экономии энергии, так как энергетика - наиболее природоемкая отрасль хозяйства. Информатизация энергетики связана с оптимизацией топливной структуры и заметным относительным ростом электропотребления. В этом нет ничего парадоксального, ведь только компьютеры, автоматы и роботы способны предельно точно дозировать расходы энергетических и материальных ресурсов, могут обеспечить реальное энергосбережение. При этом одновременно достигается высокое качество продукции и конкурентоспособность ее на мировом рынке. В свою очередь высокое качество и долговечность продукции - важнейший источник экономии материалов и энергии. Вместе с этим уже сейчас существуют все принципиальные и технические возможности для такого совершенного контроля в ядерной энергетике, который обеспечил бы ее высочайшую радиационно-химическую чистоту и безопасность.
Существенную роль в решении экологических проблем могут играть космические средства и технологии. Правда, ракетно-космическая техника также вносит ряд отрицательных последствий в окружающую среду (разрушение озонового слоя, замусоривание ближнего космоса и др.). Тем не менее, благодаря этой технике, человек смог выйти за пределы планеты и в определенной мере она уже сегодня выступает как предвестник новой экологизированной индустрии, использующей замкнутые экологические циклы.
Все шире космические средства привлекаются для проведения экологического мониторинга. Не исключено использование космической энергетики для решения проблемы энергетического кризиса без усугубления опасности парникового эффекта. Предлагаются различные методы восполнения убыли озонового слоя с применением космических средств. Ученые высказывают предположение, что в отдаленном будущем возможен постепенный выход промышленного производства в экологизированном варианте за пределы планеты, что существенно ослабит антропогенный пресс на биосферу. Вместе с тем широкомасштабная индустриализация космоса без обстоятельного рассмотрения экологической стороны проблемы может обернуться катастрофой.
Список литературы:
1.Акимова Т.А., Кузьмин A.П., Хаскин В.В. Экология. Природа - Человек - Техника: Учебник для вузов. - М.: ЮНИТИ-ДАНА, 2001. - 343 с.
2.Ситаров В. А., Пустовойтов В. В Социальная экология: Учеб. пособие для студ. высш. пед. учеб. заведений. - М.: Издательский центр
«Академия», 2000. - 280 с.
3.Степановских А.С. Экология. М.: ЮНИТИ-ДАНА, 2001. -703 с.
4.Тихонов А.И. Экология. Курс лекций. Иваново: ИГЭУ, 2002.
5.Экология и безопасность жизнедеятельности: Учеб. пособие для вузов/ Д.А. Кривошеин, Л.А.Муравей, Н.Н. Роева и др.; Под ред. Л.А. Муравья. – М.: ЮНИТИ-ДАНА, 2000. - 447 с.