| Скачать .docx | Скачать .pdf |
Реферат: Характеристика и -распадов
Министерство образования Республики Беларусь
БЕЛОРУССКИЙ НАЦИОНАЛЬНЫЙ ТЕХНИЧЕСКИЙ УНИВЕРСИТЕТ
Кафедра "Экология"
РЕФЕРАТ
по дисциплине "Защита населения и хозяйственных объектов в чрезвычайных ситуациях. Радиационная безопасность"
на тему "Характеристика α и β-распадов"
Выполнила: студентка гр. 303218
Горбач А.А.
Проверил: преподаватель
Смирнова Е.К.
2010
Понятие и история открытия радиактивности. 3
Закон радиоактивного распада. 7
Список использованной литературы.. 12
Понятие и история открытия радиактивности
Почти 90 % из 2500 известных атомных ядер нестабильны. Нестабильное ядро самопроизвольно превращается в другие ядра с испусканием частиц. Это свойство ядер называется радиоактивностью. У больших ядер нестабильность возникает вследствие конкуренции между притяжением нуклонов ядерными силами и кулоновским отталкиванием протонов. Стабильных ядер с зарядовым числом Z > 83 и массовым числом A > 209 не существует. Но радиоактивными могут оказаться и ядра атомов с существенно меньшими значениями чисел Z и A. Если ядро содержит значительно больше протонов, чем нейтронов, то нестабильность обуславливается избытком энергии кулоновского взаимодействия. Ядра, которые содержат избыток нейтронов, оказываются нестабильными вследствие того, что масса нейтрона превышает массу протона. Увеличение массы ядра приводит к увеличению его энергии.
Явление радиоактивности было открыто в 1896 году французским физиком А. Беккерелем, который обнаружил, что соли урана испускают неизвестное излучение, способное проникать через непрозрачные для света преграды и вызывать почернение фотоэмульсии. Через два года французские физики М. и П. Кюри обнаружили радиоактивность тория и открыли два новых радиоактивных элемента – полоний
и радий ![]()
В последующие годы исследованием природы радиоактивных излучений занимались многие физики, в том числе Э. Резерфорд и его ученики. Было выяснено, что радиоактивные ядра могут испускать частицы трех видов: положительно и отрицательно заряженные и нейтральные. Эти три вида излучений были названы α-, β- и γ-излучениями. На рис.1 изображена схема эксперимента, позволяющая обнаружить сложный состав радиоактивного излучения. В магнитном поле α- и β-лучи испытывают отклонения в противоположные стороны, причем β-лучи отклоняются значительно больше. γ-лучи в магнитном поле вообще не отклоняются.

Рисунок 1 - Схема опыта по обнаружению α-, β- и γ-излучений.
К – свинцовый контейнер, П – радиоактивный препарат, Ф – фотопластинка, – магнитное поле
Эти три вида радиоактивных излучений сильно отличаются друг от друга по способности ионизировать атомы вещества и, следовательно, по проникающей способности. Наименьшей проникающей способностью обладает α-излучение. В воздухе при нормальных условиях α-лучи проходят путь в несколько сантиметров. β-лучи гораздо меньше поглощаются веществом. Они способны пройти через слой алюминия толщиной в несколько миллиметров. Наибольшей проникающей способностью обладают γ-лучи, способные проходить через слой свинца толщиной 5–10 см.
Во втором десятилетии XX века, после открытия Э. Резерфордом ядерного строения атомов было твердо установлено, что радиоактивность – это свойство атомных ядер. Исследования показали, что α-лучи представляют поток α-частиц – ядер гелия
, β-лучи – это поток электронов, γ-лучи представляют собой коротковолновое электромагнитное излучение с чрезвычайно малой длиной волны λ < 10–10 м и вследствие этого – ярко выраженными корпускулярными свойствами, т. е. является потоком частиц – γ-квантов.
Альфа-распадом называется самопроизвольное превращение атомного ядра с числом протонов Z и нейтронов N в другое (дочернее) ядро, содержащее число протонов Z – 2 и нейтронов N – 2. При этом испускается α-частица – ядро атома гелия
. Примером такого процесса может служить α-распад радия:
![]()
Альфа-частицы, испускаемые ядрами атомов радия, использовались Резерфордом в опытах по рассеянию на ядрах тяжелых элементов. Скорость α-частиц, испускаемых при α-распаде ядер радия, измеренная по кривизне траектории в магнитном поле, приблизительно равна 1,5·107 м/с, а соответствующая кинетическая энергия около 7,5·10–13 Дж (приблизительно 4,8 МэВ). Эта величина легко может быть определена по известным значениям масс материнского и дочернего ядер и ядра гелия. Хотя скорость вылетающей α-частицы огромна, но она все же составляет только 5 % от скорости света, поэтому при расчете можно пользоваться нерелятивистским выражением для кинетической энергии.
Исследования показали, что радиоактивное вещество может испускать α-частицы с несколькими дискретными значениями энергий. Это объясняется тем, что ядра могут находиться, подобно атомам, в разных возбужденных состояниях. В одном из таких возбужденных состояний может оказаться дочернее ядро при α-распаде. При последующем переходе этого ядра в основное состояние испускается γ-квант. Схема α-распада радия с испусканием α-частиц с двумя значениями кинетических энергий приведена на рис.2.

Рисунок 2 - Энергетическая диаграмма α-распада ядер радия.
Указано возбужденное состояние ядра радона Переход из возбужденного состояния ядра радона
в основное сопровождается излучением γ-кванта с энергией 0,186 МэВ
Таким образом, α-распад ядер во многих случаях сопровождается γ-излучением.
В теории α-распада предполагается, что внутри ядер могут образовываться группы, состоящие из двух протонов и двух нейтронов, т. е. α-частица. Материнское ядро является для α-частиц потенциальной ямой, которая ограничена потенциальным барьером. Энергия α-частицы в ядре недостаточна для преодоления этого барьера (рис. 3). Вылет α-частицы из ядра оказывается возможным только благодаря квантово-механическому явлению, которое называется туннельным эффектом. Согласно квантовой механике, существуют отличная от нуля вероятность прохождения частицы под потенциальным барьером. Явление туннелирования имеет вероятностный характер.

Рисунок 3 - Туннелирование α-частицы сквозь потенциальный барьер
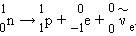
При бета-распаде из ядра вылетает электрон. Внутри ядер электроны существовать не могут, они возникают при β-распаде в результате превращения нейтрона в протон. Этот процесс может происходить не только внутри ядра, но и со свободными нейтронами. Среднее время жизни свободного нейтрона составляет около 15 минут. При распаде нейтрон
превращается в протон
и электрон ![]()
Измерения показали, что в этом процессе наблюдается кажущееся нарушение закона сохранения энергии, так как суммарная энергия протона и электрона, возникающих при распаде нейтрона, меньше энергии нейтрона. В 1931 году В. Паули высказал предположение, что при распаде нейтрона выделяется еще одна частица с нулевыми значениями массы и заряда, которая уносит с собой часть энергии. Новая частица получила название нейтрино (маленький нейтрон). Из-за отсутствия у нейтрино заряда и массы эта частица очень слабо взаимодействует с атомами вещества, поэтому ее чрезвычайно трудно обнаружить в эксперименте. Ионизирующая способность нейтрино столь мала, что один акт ионизации в воздухе приходится приблизительно на 500 км пути. Эта частица была обнаружена лишь в 1953 г. В настоящее время известно, что существует несколько разновидностей нейтрино. В процессе распада нейтрона возникает частица, которая называется электронным антинейтрино. Она обозначается символом
Поэтому реакция распада нейтрона записывается в виде
![]()
Аналогичный процесс происходит и внутри ядер при β-распаде. Электрон, образующийся в результате распада одного из ядерных нейтронов, немедленно выбрасывается из «родительского дома» (ядра) с огромной скоростью, которая может отличаться от скорости света лишь на доли процента. Так как распределение энергии, выделяющейся при β-распаде, между электроном, нейтрино и дочерним ядром носит случайный характер, β-электроны могут иметь различные скорости в широком интервале значений.
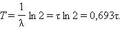
При β-распаде зарядовое число Z увеличивается на единицу, а массовое число A остается неизменным. Дочернее ядро оказывается ядром одного из изотопов элемента, порядковый номер которого в таблице Менделеева на единицу превышает порядковый номер исходного ядра. Типичным примером β-распада может служить превращение изотона тория
возникающего при α-распаде урана
в палладий ![]()
![]()
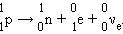
Наряду с электронным β-распадом обнаружен так называемый позитронный β+-распад, при котором из ядра вылетают позитрон
и нейтрино
. Позитрон – это частица-двойник электрона, отличающаяся от него только знаком заряда. Существование позитрона было предсказано выдающимся физиком П. Дираком в 1928 г. Через несколько лет позитрон был обнаружен в составе космических лучей. Позитроны возникают в результате реакции превращения протона в нейтрон по следующей схеме:
![]()
Закон радиоактивного распада
В любом образце радиоактивного вещества содержится огромное число радиоактивных атомов. Так как радиоактивный распад имеет случайный характер и не зависит от внешних условий, то закон убывания количества N (t) нераспавшихся к данному моменту времени t ядер может служить важной статистической характеристикой процесса радиоактивного распада.
Пусть за малый промежуток времени Δt количество нераспавшихся ядер N (t) изменилось на ΔN < 0. Так как вероятность распада каждого ядра неизменна во времени, что число распадов будет пропорционально количеству ядер N (t) и промежутку времени Δt: ΔN = –λN (t) Δt.
Коэффициент пропорциональности λ – это вероятность распада ядра за время Δt = 1 с. Эта формула означает, что скорость
изменения функции N (t) прямо пропорциональна самой функции.
![]()
Подобная зависимость возникает во многих физических задачах (например, при разряде конденсатора через резистор). Решение этого уравнения приводит к экспоненциальному закону:
N (t) = N0 e–λt ,
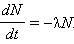
где N0 – начальное число радиоактивных ядер при t = 0. За время τ = 1 / λ количество нераспавшихся ядер уменьшится в e ≈ 2,7 раза. Величину τ называют средним временем жизни радиоактивного ядра.
Для практического использования закон радиоактивного распада удобно записать в другом виде, используя в качестве основания число 2, а не e:
N (t) = N0 · 2–t/T .
Величина T называется периодом полураспада. За время T распадается половина первоначального количества радиоактивных ядер. Величины T и τ связаны соотношением
![]()
Рис.4 иллюстрирует закон радиоактивного распада.

Рисунок 4 - Закон радиоактивного распада
Период полураспада – основная величина, характеризующая скорость процесса. Чем меньше период полураспада, тем интенсивнее протекает распад. Так, для урана T ≈ 4,5 млрд лет, а для радия T ≈ 1600 лет. Поэтому активность радия значительно выше, чем урана. Существуют радиоактивные элементы с периодом полураспада в доли секунды.
При α- и β-радиоактивном распаде дочернее ядро также может оказаться нестабильным. Поэтому возможны серии последовательных радиоактивных распадов, которые заканчиваются образованием стабильных ядер. В природе существует несколько таких серий. Наиболее длинной является серия
состоящая из 14 последовательных распадов (8 α-распадов и 6 β-распадов). Эта серия заканчивается стабильным изотопом свинца (рис.5).

Рисунок 5. - Схема распада радиоактивной серии
Указаны периоды полураспада
В природе существуют еще несколько радиоактивных серий, аналогичных серии
. Известна также серия, которая начинается с нептуния
не обнаруженного в естественных условиях, и заканчивается на висмуте
Эта серия радиоактивных распадов возникает в ядерных реакторах.
Интересным применением радиоактивности является метод датирования археологических и геологических находок по концентрации радиоактивных изотопов. Наиболее часто используется радиоуглеродный метод датирования. Нестабильный изотоп углерода
возникает в атмосфере вследствие ядерных реакций, вызываемых космическими лучами. Небольшой процент этого изотопа содержится в воздухе наряду с обычным стабильным изотопом
Растения и другие организмы потребляют углерод из воздуха, и в них накапливаются оба изотопа в той же пропорции, как и в воздухе. После гибели растений они перестают потреблять углерод и нестабильный изотоп в результате β-распада постепенно превращается в азот
с периодом полураспада 5730 лет. Путем точного измерения относительной концентрации радиоактивного углерода
в останках древних организмов можно определить время их гибели.
Радиоактивное излучение всех видов (альфа, бета, гамма, нейтроны), а также электромагнитная радиация (рентгеновское излучение) оказывают очень сильное биологическое воздействие на живые организмы, которое заключается в процессах возбуждения и ионизации атомов и молекул, входящих в состав живых клеток. Под действием ионизирующей радиации разрушаются сложные молекулы и клеточные структуры, что приводит к лучевому поражению организма. Поэтому при работе с любым источником радиации необходимо принимать все меры радиационной защиты людей, которые могут попасть в зону действия излучения.
Однако человек может подвергаться действию ионизирующей радиации и в бытовых условиях. Серьезную опасность для здоровья человека может представлять инертный, бесцветный, радиоактивный газ радон
Как видно из схемы, изображенной на рис.5, радон является продуктом α-распада радия и имеет период полураспада T = 3,82 сут. Радий в небольших количествах содержится в почве, в камнях, в различных строительных конструкциях. Несмотря на сравнительно небольшое время жизни, концентрация радона непрерывно восполняется за счет новых распадов ядер радия, поэтому радон может накапливаться в закрытых помещениях. Попадая в легкие, радон испускает α-частицы и превращается в полоний
который не является химически инертным веществом. Далее следует цепь радиоактивных превращений серии урана (рис.5). По данным Американской комиссии радиационной безопасности и контроля, человек в среднем получает 55 % ионизирующей радиации за счет радона и только 11 % за счет медицинских процедур. Вклад космических лучей составляет примерно 8 %. Общая доза облучения, которую получает человек за жизнь, во много раз меньше предельно допустимой дозы (ПДД), которая устанавливается для людей некоторых профессий, подвергающихся дополнительному облучению ионизирующей радиацией.
Список использованной литературы
http://ens.tpu.ru/POSOBIE_FIS_KUSN
http://shkola.lv/index.php?mode=lesson&lsnid=170
Грачев Н.Н. Кафедра РТУиС, МИЭМ «Радиационная среда и ее основные характеристики»