| Скачать .docx | Скачать .pdf |
Курсовая работа: Экологическая безопасность человека, биосферы и промышленных объектов в условиях техногенных чре
Экологическая безопасность человека, биосферы и промышленных объектов в условиях техногенных чрезвычайных ситуаций и аварий
1. Основные понятия
Чрезвычайная ситуация - это обстановка на определенной территории, сложившаяся в результате аварии, опасного природного явления, стихийного или иного бедствия, которые могут повлечь или повлекли за собой человеческие жертвы, ущерб здоровью людей или окружающей природной среде, значительные материальные потери и нарушение условий жизнедеятельности людей.
Зона ЧС - это территория, на которой сложилась чрезвычайная ситуация.
Приняты следующие типы классификаций ЧС:
- по причине возникновения
- по структуре возникновения;
- по скорости развития;
- по масштабам распространения последствий.
Для экологически опасных предприятий основными ЧС являются локальные, объектовые и местные.
Частные ЧС - это ситуации, действие которых ограничено производственным помещением. Такие ситуации могут возникнуть при авариях, связанных с нарушением герметизации отдельных узлов, технологических линий трубопроводов, при небольших протечках в хранилищах вредных веществ, в частности, сильнодействующих ядовитых веществ.
Объектовые ЧС - это ситуации, действие которых ограничено территорией промышленных объектов. Они могут возникать при авариях на складах, разрыве технологических линий и др.
Местные ЧС - это ситуации, распространение которых ограничено территорией города или области. Последствия местных ЧС выходят за пределы санитарно-защитной зоны предприятия и создают экологическую угрозу не только для производственного персонала предприятия, но также для населения и окружающей среды.
Основными количественными критериями, определяющими характер ЧС, являются: число пострадавших людей, материальный ущерб, кратность превышения ПДК, масса сбрасываемых вредных веществ.
Режимы работы оборудования подразделяются на регламентный - режим, в котором опасные параметры процесса находятся в расчетном диапазоне и аварийный - режим, в котором опасные параметры процесса выходят за расчетный диапазон и системой регулирования не могут быть возвращены в исходное состояние.
Катастрофа - авария, сопровождающаяся гибелью людей.
Под инженерным объектом обычно понимают сложный инженерно-технический комплекс, включающий в себя здания, сооружения, энергосистемы, оборудование, автоматизированные системы, электронную технику и т.п.
Под устойчивостью работы инженерного объекта понимают его способность выпускать установленные виды продукции в необходимых объемах и номенклатуре в условиях ЧС, а также приспособленность этого объекта к восстановлению в случае повреждения.
Необходимо помнить, что восстановлению объект подлежит, если он получил слабые или средние разрушения.
При взрывах химического оборудования воздействие ударной волны ее избыточного давления АРФ на незащищенных людей характеризуется легкими, средними, тяжелыми и крайне тяжелыми травмами.
Легкие поражения наступают при ДРФ = 20^40 кПа. Проявления: звон в ушах, головокружение, головная боль.
Поражения средней тяжести наступают при АРФ = 40-60 кПа. Проявление: вывихи конечностей, контузия головы, повреждение органов слуха, кровотечение из носа и ушей.
Тяжелые травмы возникают при ДРФ = 60-100 кПа. Они характеризуются сильной контузией всего организма, потерей сознания, возможным повреждением внутренних органов и т.п.
Крайне тяжелые травмы возникают при Рф > 100 кПа. Могут быть получены разрывы внутренних органов, переломы костей, внутренние кровотечения и другие повреждения, которые обычно приводят к смертельному исходу.
Характерными условиями возникновения экологических катастроф и аварий являются:
- наличие потенциальных источников риска;
- действие и последствия факторов риска;
- нахождение в зоне аварии людей, продуктов питания, воды, сельхозугодий и т.п.
Современная промышленность отвергла концепцию абсолютной безопасности и пришла к концепции приемлемого риска, суть которой в стремлении к такой безопасности, которую приемлет общество в данный период времени. Приемлемый риск сочетает в себе технические, экономические, социальные, политические аспекты и представляет некоторый компромисс между безопасностью и возможностями ее достижения. Максимально приемлемым уровнем индивидуального риска обычно считается 1x1 О*6 в год, пренебрежимо малым - индивидуальный риск поражающих воздействий 1x10"8 в год. Риск - это количественная оценка опасности. Риск события характеризует частоту реализации опасности за определенное время, т.е. Rc = No/NB , где N0 и NB - количество реализованных и возможных опасностей соответственно. В отечественной и мировой практике оборудование и процессы считаются безопасными, если вероятность травмы человека для данной отрасли промышленности не превышает 10" в год. Например, реальный производственный риск в СНГ составляет примерно Ю-4 , что на один-два порядка выше приемлемого риска. В РФ в настоящее время нет жестких требований по установлению уровней риска. Согласно «Временным требованиям и критериям оценки риска при нормальной эксплуатации и авариях на промышленных объектах», приняты следующие нормативные значения индивидуального риска в расчете на человека в год:
- персонал предприятий - 1x10"5 ;
- население, находящееся в санитарно-защитной зоне - 1x10"6 ;
- население региона - 1x10"6 .
Статистика показывает, что более 80% аварий и катастроф на производстве носит антропогенный характер: 64% аварий происходит за счет нарушения правил эксплуатации техники и 16% - за счет некачественного строительства и монтажа оборудования.
2. Принципы обеспечения экологической безопасности производств
Экологическая безопасность промышленных объектов при авариях и ЧС определяется вероятностью возникновения поражающих факторов и уровнем воздействия вредных веществ, проявляющегося в процессе эксплуатации. Уровень опасности и принцип обеспечения безопасности во многом связаны со свойствами перерабатываемых веществ.
При работе с нейтральными твердыми и жидкими веществами, парами и газами оборудование должно обеспечивать:
- санитарные и гигиенические нормы в рабочей зоне помещения по температуре, запыленности, содержанию паров воды и других жидкостей за счет герметизации при загрузке и разгрузке веществ и при проведении технологического процесса, а при необходимости за счет отвода пыли и паров общеобменной или местной вентиляцией;
- защиту от разрушения под давлением сжатых нейтральных паров или газов, внезапном нерегламентированном повышении давления в ходе выполнения технологических операций, а также при нерегламентированном повышении давления от внешних источников - сжатого воздуха, азота пара и т.п.
При эксплуатации оборудования с горючими жидкостями, легковоспламеняющимися жидкостями и горючими газами, в том числе сжиженными наблюдается более высокий уровень опасности за счет возможного пожара или взрыва этих веществ.
Оборудование при работе с этими веществами должно обеспечить исключение возможности:
- образования пожаро- и взрывоопасных концентраций веществ за счет выбора соответствующих технологических режимных параметров, вентиляции, продувки или подачи флегматизаторов;
- появления источников зажигания за счет применения соответствующего уровня и вида взрывозащиты электрооборудования, исключения искр трения или удара;
- самовоспламенения окружающей взрывоопасной смеси от нагретых поверхностей;
- нерегламентированного подъема температуры при нарушении условий проведения экзотермических реакций;
- разрушения оборудования под давлением при выполнении технологических операций или при нарушении правил эксплуатации.
Повышенной является опасность и при использовании вредных веществ1 I и II класса опасности, а также веществ остронаправленного действия 111 класса ввиду их токсичности. Поэтому оборудование дополнительно должно обеспечить: исключение химических ожогов и токсического поражения при транспортных операциях, погрузке-разгрузке и т.п. за счет соответствующей герметизации и устройств, нейтрализующих и улавливающих пары вредных веществ.
3. Устойчивость работы промышленных объектов в ЧС
Оценка устойчивости зданий к воздействию ударной волны
Предполагается, что разрушение здания цеха происходит в результате воздействия ударной волны, возникшей в результате аварийного разрушения какого-либо аппарата на заводской площадке. Последствия взрыва определяются величиной давления разрушения инженерного объекта и массой выброса вредного вещества.
Оценка устойчивости зданий заключается в определении избыточного давления ударной волны АРФ , вызывающего различные степени разрушения промышленного или административного здания в зависимости от типа и сейсмостойкости конструкции, вида строительного материала, высоты здания и грузоподъемности кранового оборудования внутри цеха промышленного здания.
Ориентировочно величина ЛРФ определяется по формуле:
![]()
где Кзд - коэффициент, учитывающий тип здания; Кр - коэффициент, учитывающий степень разрушения; Кк - коэффициент, учитывающий тип конструкции; Км - коэффициент, учитывающий вид строительного материала; Кв - коэффициент, учитывающий высоту здания; Кс - коэффициент, учитывающий сейсмостойкость конструкции; Ккр - коэффициент, учитывающий грузоподъемность кранового оборудования.
Значения коэффициентов Ki - К7 приведены в приложении 3.
Пример 1. Определить избыточные давления ударной волны, при которых здание цеха химического машиностроения получит различные степени разрушения. Исходные данные: тип здания - каркасный; стены -кирпичные; высота -10 м; здание не сейсмостойкое; грузоподъемность мостового крана - 10 т.
Решение: Избыточное давление ударной волны, вызывающее полное разрушение здания, находим по формуле 1.
![]()
Тогда

Оценка устойчивости технологического оборудования к воздействию ударной волны
Промышленное оборудование рассчитываются на действие скоростного напора воздуха, движущегося за фронтом ударной волны. Давление скоростного напора рассчитывается по формуле:

где ЛРФ - избыточное давление во фронте ударной волны, кПа.
При воздействии скоростного напора на объект возникает смещающая сила, которая может вызывать:
- смещение оборудования относительно основания или его отбрасывание;
- опрокидывание оборудования;
- мгновенное инерционное разрушение элементов оборудования.
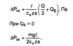
Смещение оборудования может привести к слабым, а в ряде случаев и средним разрушениям. Величина скоростного напора, вызывающего смещение оборудования, составляет

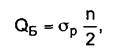
где f - коэффициент трения; т - масса объекта, кг; g - ускорение свободного падения; сх - коэффициент аэродинамического сопротивления объекта; I - длина объекта, м; h - высота объекта, м; 0Б - суммарное усилие болтов крепления, работающих на срез, Н. Величина 0Б равна

где тср - допустимое напряжение на срез, кг/мм2 ; от - предел текучести стали, кг/мм2 , для Ст. 35 от = 65 кг/мм2 = 6,33х108 н/м2 ; d6 - диаметр болта, м; п - количество болтов.
Для незакрепленного оборудования величина скоростного напора, вызывающего смещение оборудования, составляет

По величине скоростного напора ЛРСК , используя рис. 2, находят предельное избыточное давление АРф |,т , при котором предмет не смещается.
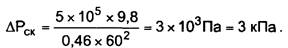
Пример 2. Определить предельное значение избыточного давления, не вызывающее смещение абсорбционной колонны относительно бетонного основания. Исходные данные: диаметр колонны d = 4 м; высота h = 60 м; масса m = 5-Ю5 кг; f = 0,2; с* = 0,46.
Решение: Определяем по формуле 6 предельное значение давления скоростного напора, при котором колонна не смещается

По величине ЛРСК = 9 кПа, используя рис. 2, находим ДРФ = 52 кПа. Таким образом, при ДРФ > 52 кПа ударная волна вызывает смещение колонны.
Опрокидывание оборудования приводит к средним и сильным разрушениям. Смещающая сила Рсм> действующая на плече z = h/2 будет создавать опрокидывающий момент, а вес оборудования на плече Ј 12 и реакция крепления Qr плече Ј - стабилизирующий момент.

где s- площадь объекта со стороны движения ударной волны, м2 .
При b = Ј = d, где b- наименьший размер объекта, м

Суммарное усилие болтов крепления, работающих на разрыв, равно

где ор - допустимое напряжение болта на разрыв, кг/мм2 .
По величине скоростного напора ЛРСК , используя рис. 2, находят предельное избыточное давление ДРф ,|т , при котором оборудование не опрокинется.
Пример 3. Определить предельное значение избыточного давления, не вызывающее опрокидывание абсорбционной колонны. Исходные данные: см. пример 2.
Решение: Определяем по формуле 9 предельное значение давления скоростного напора, при котором колонна не опрокинется:
![]()
По величине ДРСК = 3 кПа, используя рис. 2, находим АРф |,т = 30 кПа. Таким образом, при ЛРФ > 30 кПа ударная волна вызывает опрокидывание колонны.
В данном случае для опрокидывания колонны требуется меньшее давление ударной волны, чем для ее смещения, что характерно для высоких элементов объекта; для низких, наоборот, требуется меньшее давление для смещения, чем для опрокидывания.
Инерционные разрушения радиоэлектронной и оптической аппаратуры возникают от избыточного давления ударной волны и давления скоростного напора. Они приравниваются к сильной степени разрушения.
Предельное значение избыточного давления ударной волны, при котором оборудование не получит инерционных разрушений ДРф ,,т , определяется с помощью рис. 4. по найденной величине избыточного предельного лобового давления АРл0 б-

где РЛО б - лобовая сила, Н; S - площадь воздействия ударной волны, м2 ; т - масса прибора, кг; а^оп - допустимое ускорение при ударе, м/с2 ; пдоп = адог /д - допустимая ударная перегрузка, не приводящая к инерционным разрушениям.
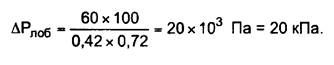
Пример 4. Определить предельное значение избыточного давления, при котором прибор не получит инерционное разрушение. Исходные данные: длина прибора Ј = 400 мм, ширина b = 420 мм, высота h = 720 мм, масса m = 60 кг, допустимое ускорение при ударе адоп = 100 м/с2 .
Решение: Определяем по формуле 11 избыточное лобовое давление, которое может выдержать прибор:

По рис. 4, зная АРЛО б. находим предельное избыточное давление ДРф ,,т = 18 кПа. Таким образом, при ДРф ||т > 18 кПа прибор получит сильное разрушение от инерционных перегрузок, вызываемых ударной волной.
Основные пути повышения инженерной устойчивости промышленных объектов:
- использование оптимальных конструкций и материалов зданий и сооружений;
- надежное закрепление оборудования на фундаменте;
^ - применение демпфирующих опор оборудования;
- создание специальных защитных упругих навесов, кожухов, зонтов, сеток и т.п.;
, • - расположение массивной техники на нижних этажах и вне помещения;
- возможность эксплуатации объекта на различных видах топлива;
- обваловывание емкостей с вредными веществами, горючими и легковоспламеняющимися жидкостями;
- закрепление оттяжками высоких элементов объекта, рассчитанными на воздействие скоростного напора ударной волны.
4. Прогнозирование экологической обстановки при авариях на химически опасных объектах
Экологическая безопасность функционирования химически опасных предприятий зависит от многих факторов, например, физико-химических свойств сырья, полуфабрикатов и готового продукта, характеристик технологического процесса и др. Особенностью работы с вредными веществами является возможность их потенциального взрыва, пожара и выброса в биосферу в количествах, представляющих опасность массового поражения людей, животных и окружающей среды.
Исходя из оценки масштабов реальной опасности, зависящей не только от токсичности вещества, но и от величины их запасов и характера распространения в атмосфере, перечень ВВ, от воздействия которых в первую очередь необходимо обеспечивать защиту, можно ограничить девятью веществами, токсилогические характеристики которых приведены в табл. 1.
Основной характеристикой зоны химического заражения является глубина распространения облака зараженного воздуха. Глубина зоны химического заражения для ВВ определяется глубиной распространения первичного или вторичного облака зараженного воздуха. Первичным облаком называется облако газа токсичного вещества, образовавшегося мгновенно в результате разрушения или разгерметизации емкости. Вторичным облаком называется облако, образовавшееся в результате испарения ВВ с площади его разлива. Вв та б л.
2 приведены глубины опасных зон распространения первичного облака ВВ, образующегося при разрушении емкостей для хранения. Они рассчитаны для средних метеоусловий. В условиях инверсии глубина распространения будет увеличиваться в зависимости от скорости ветра в 1,1-3,0 раза; при конвекции - уменьшаться.
Время воздействия опасных концентраций зависит от типа и количества выброшенного ВВ, а также метеоусловий в районе аварии, и может колебаться от нескольких часов до нескольких суток. Например, при выбросе 50 тыс. т ВВ при температуре окружающей среды +20 °С время действия хлора, аммиака, фосгена и сероводорода составляет 1,8: 3,2; 1,7 и 6,7 суток соответственно.
Масштабы заражения ВВ в зависимости от их физических свойств и агрегатного состояния рассчитываются:
- для сжиженных газов - отдельно по первичному и вторичному облаку;
- для сжатых газов - только по первичному облаку;
- для ядовитых жидкостей, кипящих выше температуры окружающей среды, - только по вторичному облаку.
5. Определение количественных характеристик выброса ВВ
Площадь зоны возможного заражения первичным облаком ВВ определяется по формуле:
S8 = 8,72 x10"3 xГ2 xф, км*,
где Г - глубина зоны заражения, км; ср - угловой размер зоны заражения, град.
В зависимости от скорости ветра угловые размеры зон возможного заражения составляют:
| И, м/с | <0,5 | 0,6-1 | 1,1-2 | > 2 |
| ф. фад | 360 | 180 | 90 | 45 |
Площадь зоны фактического химического заражения рассчитывается по формуле:
![]()
где К - коэффициент, зависящий от степени вертикальной устойчивости воздуха: при инверсии - 0,081, при изотермии - 0,133, при конвекции -0,235; /V- время, прошедшее после начала аварии, ч.
Длительность подхода зараженного облака к населенному пункту, расположенному на пути его движения, определяется по формуле:
![]()
где х - расстояние от промышленного объекта до населенного пункта, км; V- скорость переноса фронта облака зараженного воздуха, км/ч.
Критерий оценки степени загрязнения атмосферного воздуха по максимальным разовым концентрациям
| Класс опасности загрязнения | Экологическое бедствие | Чрезвычайная экологическая ситуация | ||
| Кратность превышения ПДК | % измерений выше ПДК | К | % измерений выше ПДК | |
| \ | 5 | 30 | 3-5 | 30 |
| \\ | 7,5 | 30 | 5-7г 5 | 30 |
| 111 | 12,5 | 50 | 8-12,5 | 50 |
| IV | 20 | 50 | 12,5-20 | 50 |
Критерий оценки степени загрязнения атмосферного воздуха по среднесуточным концентрациям
| Класс опасности загрязнения | Экологическое бедствие | Чрезвычайная экологическая ситуация | ||
| Кратность превышения ПДК | % проб выше К | К | % проб выше К | |
| I | 3 | 20 или 7 суток подряд | 2-3 | 20 или 7 суток подряд |
| I! | 5 | то же | 3-5 | то же |
| II! | 7,5 | 30 сут. | 5-7,5 | 30 сут. |
| IV | 12 | 30 сут. | 8,12 | 30 сут. |
Коэффициенты, отражающие конструкцию промышленного здания
| к | зд | к | кк | |||||||||||||||||||
Промыш |
офис -админ | ПОЛИ. | сильн | сред. | слаб. | бескаркасн. | каркасн. | мон ж/б | ||||||||||||||
| 14 | 23 | 1 | 0,87 | 0,56 | 0,35 | 1 | 2 | 3,5 | ||||||||||||||
| к„ | К. | |||||||||||||||||||||
| кирп | дер. | ж/б сл | ж/б норм. | < 5 м | 5-15 | > 15 м | ||||||||||||||||
| армиров | армиров | |||||||||||||||||||||
| 1,5 | 1 | 2 | 3 | 1 | 0,85 | 0,8 | ||||||||||||||||
| Кс | ||||||||||||||||||||||
| несейсмо-стойк | сейсмостойк. | Ют | 20 т | 40 т | 60 т | 100 т | ||||||||||||||||
| 1 | 1,5 | 1,05 | 1,1 | 1.2 | 1,3 | 1,45 | ||||||||||||||||
Коэффициенты трения /между поверхностями различных конструкционных материалов
| Наименование | Значение |
| трущихся материалов | коэффициента |
| Сталь по стали | 0,15 |
| Сталь по чугуну | 0,3 |
| Металл по линолеуму | 0,2-0,4 |
| Металл по дереву | 0,6 |
| Металл по бетону | 0,2-0,5 |
| Резина по твердому грунту | 0,4-0,5 |
| Резина по линолеуму | 0,4-0,5 |
| Резина по дереву | 0,5-0,8 |
| Резина по чугуну | 0,8 |
| Дерево по дереву | 0,4-0,6 |
| Кожа по чугуну | 0,3-0,5 |
| Кожа по дереву | 0,4-0,6 т |
Коэффициенты аэродинамического сопротивления Сх для объектов различной формы
| Геометрическая форма объекта | Направление движения воздуха | |
| Параллелепипед | Перпендикулярно основанию | 0,85 |
| То же (основание - квадрат, длина боковой стороны в 3 раза больше меньшей сто- | Перпендикулярно боковой грани | 1,3 |
| роны основания) | ||
| Куб | Перпендикулярно грани | 1,5 |
| Пластина квадратная | Перпендикулярно пластине | 1,45 |
| Диск | Перпендикулярно диску | 1,6 |
| Цилиндр h/d = 1 | Перпендикулярно оси ци- | 0,4 |
| h/d = 4 h/d = 9 | линдра о (* |
0,43 0,46 |
| Сфера | Вдоль поверхности | 0,25 |
| Полусфера | Параллельно плоскости основания | 0,3 |
| Пирамида | Параллельно основанию | 1,1 |
Допустимые напряжения болтов на разрыв в зависимости от размеров
| Размер болта | М12 | М16 | М20 | М24 | М27 | МЗО | М36 | М42 | М46 |
| Op,Н | 1,7х104 | 2,6х104 | 4,1x10* | 6x104 | 7,8х104 | 9,6x104 | 1,4x105 | 2х105 | 2,9x105 |
Основные нагрузки, воспринимаемые радиоэлектронной и оптической аппаратурой в процессе эксплуатации
| Вид воздействий и параметры | Группа аппаратуры | |
| Наземная | Авиационная | |
| Ударные сотрясения: | ||
| - ускорение, м/с2 | 10-15 | 6-12 |
| - длительность, мс | 5-10 | ДО 15 |
| Вид воздействий и параметры | Группа аппаратуры | |
| Наземная | Авиационная | |
| Одиночные удары: | ||
| - ускорение, м/с2 | 50-1000 | — |
| - длительность, мс | 0,5-10 | — |
| Линейное ускорение, м/с2 | 2-5 | 4-10 |
| Вибрация: | ||
| - частота, Гц | 10-70 | 5-2000 |
| - ускорение, м/с2 | 1-4 | до 20 |
| Ветровая нагрузка: | ||
| - рабочая, м/с | до 50 | - |
| - предельная, м/с | ДО 70 | - |