| Скачать .docx | Скачать .pdf |
Реферат: Белки – основа жизни
Курсовая работа
Выполнил студент 1 курса 151 группы Фирсов Михаил Сергеевич
ФГБОУ ВПО НИУ Саратовский Государственный Университет им. Н.Г. Чернышевского
Саратов 2012
Введение
В клетках живых организмов постоянно происходит синтез органических веществ, среди которых особо можно выделить полимерные макромолекулы , такие как белки ,нуклеиновые кислоты и полисахариды.
Одну из ведущих ролей в жизнедеятельности живых организмов играют белки. От родителей детям передается генетическая информация о специфической структуре и функциях всех белков данного организма. Синтезированные белки выполняют многообразные функции : ускоряют химические реакции (белок – катализатор) ,выполняют транспортную функцию , структурную , защитную функции , участвуют в передаче сигналов от одних клеток к другим и таким образом реализуют наследственную информацию. Поэтому белки называют также протеинами (от греч. proteos –первый ).
На долю белков внутри клетки приходится более половины их сухого вещества. Белки составляют 10 – 18 % от общей массы клетки. Это высокомолекулярные полипептиды с молекулярной массой от 6000 до 1 млн. Д и выше. В организме человека встречается около 5 млн. типов белковых молекул , отличающихся по своей массе , структуре и функциям не только друг от друга, но и от белков других организмов. Из них насчитывается около 50 000 индивидуальных белков. Видовая и индивидуальная специфичность набора белков в данном организме определяет особенности его строения и функционирования. Набор белков в дифференцирующихся клетках одного организма определяет морфологические и функциональные особенности каждого типа клеток.
Несмотря на такое разнообразие и сложность строения , все белки построены из мономерных единиц. В белках человеческого организма такими мономерами служат 20 из нескольких сотен известных в природе аминокислот. Аминокислоты связываются между собой особой ковалентной связью , называемой пептидной. Линейная последовательность аминокислот в белке уникальна для каждого индивидуального белка; информация о ней содержится в участке молекулы ДНК , называемой геном.
Белки , входящие в состав живых организмов , включают сотни и тысячи аминокислот. Порядок их соединения в молекулах белков самый разнообразный , чем и определяется различие свойств белков.
Полипептидные цепи за счёт внутримолекулярных взаимодействиях образуют пространственные структуры – конформации белков. Изменения последовательности аминокислот в белках могут приводить к изменению пространственной структуры и функций данных белков и развитию заболеваний.
По своему составу белки делятся на простые и сложные. Простые белки состоят только из аминокислот. Сложные белки помимо аминокислот имеют в своем составе другие органические соединения (нуклеиновые кислоты, липиды, углеводы) , соединения фосфора, металлы. Соответственно они носят названия нуклеопротеидов, липопротеидов, гликопротеидов, фософо- и металлопротеидов.
Одним из интересных свойств белков является процесс денатурации , в ходе которой происходит утрата белковой молекулы своей структурной организации. Денатурация может быть вызвана изменением температуры, обезвоживанием, облучением рентгеновскими лучами и другими воздействиями. Вначале разрушается самая слабая структура – четвертичная, затем третичная, вторичная и при наиболее жестких условиях – первичная. Если при изменении условий среды первичная структура молекулы остается неизменной, то при восстановлении нормальных условий среды полностью воссоздается и структура белка. Процесс восстановления структуры денатурированного белка называется ренатурация.
Это свойство белков полностью восстанавливать утраченную структуру широко используется в медицинской и пищевой промышленности для приготовления медицинских препаратов, например вакцин и сывороток для получения пищевых концентратов , сохраняющих в высушенном виде свои питательные свойства.
К числу актуальных проблем современности относится химический синтез белка.
Растения способны синтезировать аминокислоты и белки , используя в качестве источника азота неорганические соединения. Животные же для нормального существования должны получать белки с пищей. В процессе пищеварения белки расщепляются на аминокислоты , которые всасываются в кишечнике, током крови разносятся по всему организму и служат строительным материалом, из которого организм создает белки своего тела. Таким образом, белки в питательном рационе вполне могут быть заменены аминокислотами. В настоящее время, в промышленном масштабе выпускается дипептид аспартам, обладающий почти в 200 раз более сладким вкусом , чем сахароза. Однако часть необходимых для жизни аминокислот организм может вырабатывать сам из других азотосодержащих соединений, поступающих с пищей. Другую же часть аминокислот организм синтезировать не в состоянии, они должны поступать в готовом виде с белковой пищей. Такие аминокислоты получили название незаменимых. При недостаточном поступлении этих аминокислот нарушается нормальное существование организма.
В перспективе химия способна обеспечить потребность человечества в аминокислотах (белках), путем непосредственного синтеза.
В настоящее время наиболее перспективным представляется микробиологический синтез белков из углеводородов нефти. В конце 50-х годов 20 века были найдены микроорганизмы, способные питаться парафиновыми углеводородами. При этом из тонны углеводородов получается около тонны полноценных белковых веществ. В образовавшейся массе также содержатся витамины группы B. Собестоимость такого белка ниже в 10-15 раз чем собестоимость белков мяса.
Получение синтетическим путем аналогов природных пептидов и белков может способствовать выяснению механизмов действия этих соединений в клетке, установлению взаимосвязи их активности с пространственным строением, созданию новых лекарственных средств.
Проблема химического синтеза белка ,кроме того тесно связана с задачей синтеза полноценных продуктов питания. Темпы развития сельскохозяйственного производства не позволяют полностью удовлетворять потребность человечества в белках. Одним из путей решения этой проблемы является создание искусственного пищевого белка. В этой области ведутся широкие исследования , в результате которых возникло и развивается производство кормовых дрожжей на основе углеводородов нефти и отходов промышленности. Полученная белковая масса используется как корм в животноводстве.
Таким образом белки являются важнейшим высокомолекулярным соединением, являющимся многофункциональным химическим комплексом. Наша жизнь всецело зависит от химии белков, что позволяет утверждать , что белки – это основа жизни.
1.История исследования
Белок попал в число объектов химических исследований 250 лет тому назад. В 1728 году итальянский ученый Якопо Бартоломео Беккари получил из пшеничной муки первый препарат белкового вещества - клейковины. Он подверг клейковину сухой перегонке и убедился, что продукты такой перегонки были щелочными. Это было первое доказательство единства природы веществ растительного и животного царств. Он опубликовал результаты своей работы в 1745 году, и это была первая статья о белке.
В XVIII - начале XIX веков неоднократно описывали белковые вещества растительного и животного происхождения. Особенностью таких описаний было сближение этих веществ и сопоставление их с веществами неорганическими.
Важно отметить, что в это время, еще до появления элементного анализа, сложилось представление о том, что белки из различных источников - это группа близких по общим свойствам индивидуальных веществ.
В 1810 году Жозеф Гей-Люссакк и Луи Тенар впервые определили элементный состав белковых веществ. В 1833 году Ж. Гей-Люссак доказал, что в белках обязательно присутствует азот, а вскоре было показано, что содержание азота в различных белках приблизительно одинаково. В это же время английский химик Джон Дальтон попытался изобразить первые формулы белковых веществ. Он представлял их довольно просто устроенными веществами, но чтобы подчеркнуть их индивидуальное различие при одинаковом составе, он прибег к изображению молекул, которые бы сейчас назвали изомерными. Однако понятия изомерии во времена Дальтона еще не было.
рис. 1. Формулы белков Д. Дальтона.
Одной из самых распространенных теорий доструктурной органической химии была теория радикалов - неизменных компонентов родственных веществ. В 1836 году голландец Г. Мульдер высказал предположение о том, что все белки содержат один и тот же радикал, который он назвал протеином (от греческого слова "первенствую", "занимаю первое место").
В середине XIX века были разработаны многочисленные методы экстракции белков, очистки и выделения их в растворах нейтральных солей. В 1847 году К. Рейхерт открыл способность белков образовывать кристаллы. В 1836 году Т. Шванн открыл пепсин - фермент, расщепляющий белки. В 1856 году Л. Корвизар открыл еще один подобный фермент - трипсин. Изучая действие этих ферментов на белки, биохимики пытались разгадать тайну пищеварения. Однако наибольшее внимание привлекли вещества, получающиеся в результате действия на белки протеолитических ферментов (протеаз, к ним относятся вышеприведенные ферменты): одни из них были фрагментами исходных молекул белка (их назвали пептонами), другие же не подвергались дальнейшему расщеплению протеазами и относились к известному еще с начала века классу соединений - аминокислот (первое аминокислотное производное - амид аспарагин был открыт в 1806 году, а первая аминокислота - цистин в 1810). Аминокислоты в составе белков впервые обнаружил в 1820 году французский химик Анри Браконно. Он применил кислотный гидролиз белка и в гидролизате обнаружил сладковатое вещество, названное им глицином. В 1839 году было доказано существование в составе белков лейцина, а в 1849 году Ф. Бопп выделил из белка еще одну аминокислоту - тирозин.
К концу 80-х гг. XIX века из белковых гидролизатов было выделено уже 19 аминокислот и стало медленно укрепляться мнение, что сведения о продуктах гидролиза белков несут важную информацию о строении белковой молекулы. Тем не менее, аминокислоты считались обязательным, но неглавным компонентом белка.
Немецким химиком Э.Фишер была разработана пептидная теория, получившая общее признание во всем мире.
Немаловажно, что Фишер построил план исследования, резко отличающийся от того, что предпринималось раньше, однако учитывающий все известные на тот момент факты. Прежде всего он принял, как наиболее вероятную гипотезу о том, что белки построены из аминокислот, соединенных амидной связью:

Рис.2. Амидная связь по представлению Фишера.
Такой тип связи Фишер назвал (по аналогии с пептонами) пептидной. Он предположил, что белки представляют собой полимеры аминокислот, соединенных пептидной связью. Доказывая пептидный тип соединения аминокислотных остатков. Э. Фишер исходил из следующих наблюдений. Во-первых, и при гидролизе белков, и при их ферментативном разложении образовывались различные аминокислоты. Другие соединения было чрезвычайно трудно описать а еще труднее получить. Кроме того Фишеру было известно, что у белков не наблюдается преобладания ни кислотных, ни основных свойств, значит, рассуждал он, амино- и карбоксильные группы в составе аминокислот в белковых молекулах замыкаются и как бы маскируют друг друга (амфотерность белков, как сказали бы сейчас).
Решение проблемы строения белка Фишер разделил, сведя ее к следующим положениям:
1) Качественное и количественное определение продуктов полного гидролиза белков.
2) Установление строения этих конечных продуктов.
3) Синтез полимеров аминокислот с соединениями амидного (пептидного) типа.
4) Сравнение полученных таким образом соединений с природными белками.
В дальнейшем пептидная теория Фишера была многочисленно пересмотрена и дополнена.
2. Аминокислотный состав белка
Общие структурные особенности
Белки являются полимерными молекулами, мономерами которых являются аминокислоты. Общее число встречающихся в природе аминокислот достигает 100, однако некоторые из них обнаружены лишь в определенном сообществе организмов или даже в одном их виде. Нами известно 20 α-аминокислот , постоянно встречающихся во всех белках. Но все они обладают общей структурной особенностью – наличием амино- и карбоксильной групп, соединенных с одним и тем же α-углеродным атомом. R – радикал аминокислот – в простейшем случае представлен атомом водорода (глицин), но может иметь и более сложное строение.

Рис.3. общая структурная формула α-аминокислот.
α-аминокислоты – кристаллические вещества, растворимые в воде. Многие из них обладают сладким вкусом. Это свойство нашло отражение в названии первого гомолога в ряду α-аминокислот – глицина, явившегося также первой α-аминокислотой, обнаруженной в природном материале.
Первой открытой аминокислотой был аспаргин, выделенный из сока спаржи (asparagus).
В водных растворах при нейтральном значении pH α-аминокислоты существуют в виде биполярных ионов.
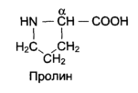
В отличие от 19 остальных α-аминокислот, пролин – это единственная аминокислота, радикал которой связан как с α-углеродным атомом , так и с аминогруппой, в результате чего молекула приобретает циклическую структуру. Особенно богат пролином основной белок соединительной ткани — коллаген. В составе коллагена пролин, чередуясь с гидроксипролином способствует созданию стабильной трёхспиральной структуры коллагена, придающей молекуле прочность.

19 из 20 аминокислот содержат в α-положении асимитричный атом углерода, с которым связаны 4 разные замещающие группы. В результате эти аминокислоты в природе могут находиться в двух разных изомерных формах – L иD. Исключение составляет глицин, который не имеет ассиметричного α-углеродного атома, так как его радикал представлен только атомом водорода. В составе белков присутствуют только L-изомеры аминокислот.

Чистые L- или D-стереоизомеры могут за длительный срок самопроизвольно и неферментативно превращаться в эквимолярную смесь L- и D- изомеров. Это процесс называют рацемизацией. Рацемизация каждой L-аминокислоты при данной температуре идет с определенной скоростью. Это обстоятельство можно использовать для установления возоаста людей и животных. Так, в твердой эмали зубов имеется белок дентин, в котором L-аспартат переходит в D-изомер при температуре тела человека со скоростью 0,01» в год. В период формирования зубов в дентине содержится только L-изомер, поэтому по содержанию D-аспартата можно рассчитать возраст обследуемого.
В медико-биологическом значении, α-аминокислоты участвуют в азотистом обмене, многие из них используются в качестве лекарственных средств. К примеру, глицин улучшает метаболические процессы в тканях мозга, оказывает положительное действие при мышечной дистрофии. Глутаминовая кислота применяется для лечения заболеваний центральной нервной системы, метионин и гистидин – лечения и предупреждения заболеваний печени, цистеин – глазных болезней.
2.1.Классификация аминокислот по химическому строению радикалов
По химическому строению аминокислоты делятся на алифатические, ароматические и гетероциклические (табл.1).
В составе алифатических радикалов могут находиться функциональные группы, придающие им специфические свойства: карбоксильная (-COOH), амино (-NH2), тиольная (-SH), амидная (-CO-NH2),
гидроксильная (-OH) и гуанидиновая группы.
Также общей чертой всех 20 аминокислот в белках организма человека можно сгруппировать по способности их радикалов растворяться в воде. Радикалы можно выстроить в непрерывный ряд, начинающийся полностью гидрофобными и заканчивающийся сильно гидрофильными.
Растворимость радикалов аминокислот определяется полярностью функциональных групп, входящих в состав молекулы (полярные группы притягивают воду, неполярные её отталкивают).
Наибольшей растворимостью в воде обладают полярные заряженные радикалы аминокислот.
2.2.Модифицированные аминокислоты присутствующие в белках
Непосредственно в синтезе белков организма человека принимают участие только 20 аминокислот. Однако в некоторых белках имеются нестандартные модифицированный аминокислоты – производственные одной из этих 20 аминокислот. Например, в молекуле коллагена (фибриллярного белка межклеточного матрикса) присутствуют гидроксипроизводные лизина и пролина – 5-гидроксилизин и 4-гидроксипролин. Модификация аминокислотных остатков осуществляется уже в составе белков, т.е только после окончания синтеза.

Рис.1. Модифицированные кислоты, найденные в составе белков.
Введение дополнительных функциональных групп в структуру аминокислот придает белкам свойства, необходимые для выполнения ими специфических функций. Так, γ-карбоксиглутаминовая кислота входит в состав белков, участвующих в свёртывании крови, и две близко лежащие карбоксильные группы в их структуре необходимы для связывания белковых факторов с ионами Ca2+. Нарушение карбоксилирования глутамата приводит к снижению свёртываемости крови.
2.3.Стереоизомерия
Принцип построения α-аминокислот, т.е нахождение у одного и того же атома углерода двух различных функциональных групп, радикала и атома углерода, уже сам по себе предопределяет хиральность α-атома углерода. Исключение составляет простейшая α-аминокислота глицинH2NCH2COOH , не имеющая углеводородного радикала R и соответственно центра хиральности.
Большинство α-аминокислот содержит в молекуле один ассиметричный атом углерода и существует в виде двух оптически активных энантиомеров и одного оптически неактивного рацемата.
Почти все природные α-аминокислоты принадлежат к L-ряду.

α-Аминокислоты – изолейцин, треонин, 4-гидроксипролин – содержат в молекуле по два центра хиральности.

Эти аминокислоты могут существовать в виде четырех диастереомеров, представляющих собой две пары энантиомеров, каждая из которых образует рацемат. Из этих четырех стереоизомеров для построения белков человеческого организма используется только один.
Использование для построения белков человеческого организма только одного вида стереоизомеров α-аминокислот , а именно L-энантиомеров, имеет важнейшее значение для формирования пространственной структуры белков. С этим непосредственно связана стереоспецифичность действий ферментов, построенные из α-аминокислот вступают во взаимодействие только с теми субстратами, которые также имеют определенную конфигурацию.
α-Аминокислоты D-ряда называют «неприродными», так как они не используются для построения белков человеческого организма. Однако D-α-аминокислоты встречаются в составе пептидов, продуцируемых микроорганизмами, например в антибиотиках (грамицидин, актиномицин, полимиксин), а также в составе биополимеров клеточной стенки бактерий, например остаток D-глутаминовой кислоты – в оболочке бактерий сибирской язвы. Против этого вида бактерий бессильны расщепляющие ферменты человека и животных.
α-Аминокислоты, относящиеся к разным стереохимическим рядам, различаются по вкусу. Так, D-глутаминовая кислота безвкусна, а L-глутаминовая кислота имеет вкус мяса. Поэтому L-глутаминовую кислоту, получаемую путем гидролиза клейковины пшеницы, применяют в виде глутамата натрия в качестве вкусовой добавки к пишевым концентратам. Сладкий вкус имеют, как правило, α-аминокислоты D-ряда: Валин, лейцин, треонин, метионин, аспаргиновая кислота, тирозин, триптофан, гистидин. В то же время их энантиомеры либо безвкусны, либо обладают горьким вкусом. В этом отношении α-аминокислоты привлекают внимание как возможные заменители сладких веществ углеводной природы в связи с проблемой диабета.
2.4.Разделение рацематов
Источником получения α-аминокислот L-ряда служат белки, которые подвергают для этого гидролитическому расщеплению. Синтетическим путем, например амонолизом α-галогенкарбоновых кислот, получается только рацемические α-аминокислоты. В связи с большой потребностью в отдельных энантиомерах (для синтеза белков, лекарственных веществ и т.д) разработаны химические методы расщепления синтетических рацемических α-аминокислот. Более предпочтительным является ферментативный способ расщепления с использованием ферментов ацилаз, способных гидролизовать N-ацетил-L- α-аминокислоты.
Смесь энантиомеров ацетилируют уксусным ангидридом и получают смесь N-ацетилпроизводных α-аминокислоты, которую обрабатывают ферментом, выделенным из животного жира (например почек свиньи). При этом гидролизуются производные амнокислоты только L-ряда. Свободная амнокислота отличается от ацетилированной растворимостью: кислота растворяется как в кислотах, так и в щелочах, а N-ацетил-α-аминокислота – только в щелочах. После отделения L- α-аминокислоты, с помощью кислотного гидролиза можно получить свободнуюD-α-аминокислоту.

Рис.5. ферментативный способ разделения
α-аминокислоты на энантиомеры
В настоящее время для разделения рацемических смесей используют хроматографию на хиральных адсорбентах.
2.5.Кислотно – основные свойства.
Амфотерность α-аминокислот обусловлена наличием в их молекулах функциональных групп кислотного (COOH) и основного (NH2) характера. Поэтому α-аминокислоты образуют соли как с щелочами, так и с кислотами.
С катионами тяжелых металлов α-аминокислот, как бифункциональные соединения, образуют внутрикомплексные соли.
В твердом состоянии α-аминокислоты существуют в виде диполярных ионов; в водном растворе – в виде равновесной смеси диполярного иона, катионной и анионной форм (обычно используемая запись строения α-аминокислоты в неионизированном виде служит лишь для удобства). Положение равновесия зависит от pHсреды. Общим для всех α-аминокислот является преобладание катионных форм в сильнокислых (pH 1-2) и анионных – в сильнощелочных (pH13-14) средах.

Рис.7.Зависимость положения равновесия в α-аминокислотах от pH стреды.
Ионное строение обуславливает некоторые особенности: высокую температуру плавления (выше 200 оС), нелетучесть, растворимость в воде и нерастворимость в неполярных органических растворителях. Способность α-аминокислот растворяться в воде является важным фактором обеспечения их биологического функционирования – с ней связаны всасываемость α-аминокислот, их транспорт в организме и т.п.
В организме основные α-аминокислоты находятся в виде катионов, т.е. у них протонированы обе аминогруппы.
Содержащиеся в радикалах α-аминокислот другие ионогенные группы способны к ионизации при различных значения pH. Например, фенольная гидроксильная группа в тирозине ионизирована при pH 10,1; тиольная группа в цистеине – при pH8,1 – 8,3 и т.д. В целом ни одна α-аминокислота внутри организма не находится в своей изоэлектрической точке и не попадает в состояние, отвечающее наименьшей растворимости в воде, т.е. α-аминокислоты в организме находятся в ионной форме.
Кислотно-основные свойства α-аминокислот обуславливают их разделение и идентификацию методом ионообменной хроматографии.
2.6.Химические свойства
α-Аминокислоты как гетерофункциональные соединения вступают в реакции, характерные для карбоксильной группы и аминогруппы. Некоторые химические свойства α-аминокислот обусловлены наличием функциональных групп в радикале.
К основным химическим реакциям, происходящими с аминокислотами, можно отнести: образование эфиров, образование галогенангидридов, образование N-ацильных производных, образование оснований Шиффа, образование ДНФ-производных, образование ФТГ-производных.
3. Структурная организация белков.
Выяснение структурной организации белков считается одной из главных проблем современной биохимии. Оно имеет важное научно-практическое значение для понимания огромного разнообразия функций белков, выполняемых ими в живых организмах. Белковые молекулы представляют собой продукт полимеризации 20 различных мономерных молекул (аминокислот), соединенных не хаотично, а в строгом соответствии с кодом белкового синтеза. Вопрос о том, каким образом соединяются между собой многие десятки и сотни аминокислот в белковой молекуле, был предметом пристального внимания многих лабораторий мира, занимавшихся химией белка.
Впервые А.Я.Данилевский (1888), изучая биуретовую реакцию, высказал предположение о существовании во всех белковых веществах одинаковых групп атомов и связей, аналогичных биурету
NH2-СО-NH-СО-NH2. Тем самым А.Я. Данилевский первый указал на связь
-NH-СО- (позднее получившую название пептидной связи) как на наиболее вероятный способ соединения аминокислот в белковой молекуле.
Однако только Э. Фишер сформулировал полипептидную теорию строения. Согласно этой теории, белки представляют собой сложные полипептиды, в которых отдельные аминокислоты связаны друг с другом пептидными связями, возникающими при взаимодействии α-карбоксильных СООН- и α-NН2-групп аминокислот. На примере взаимодействия аланина и глицина образование пептидной связи и дипептида (с выделением молекулы воды) можно представить следующим уравнением:

Аналогичным способом к дипептиду могут присоединяться и другие аминокислоты с образованием три-, тетра-, пентапептида и т.д. вплоть до крупной молекулы полипептида (белка). Наименование пептидов складывается из названия первой N-концевой аминокислоты со свободнойNH2-группой (с окончанием -ил, типичным для ацилов), названий последующих аминокислот (также с окончаниями -ил) и полного названия С-концевой аминокислоты со свободной СООН-группой. Например, пентапептид из 5 аминокислот может быть обозначен полным наименованием: глицил-аланил-серил-цистеинил-аланин, или сокращенно Гли–Ала–Сер–Цис–Ала.
Химический синтез полипептидов и современные физико-химические методы исследования белков полностью подтвердили существование пептидных связей в структуре белка. Получены следующие экспериментальные доказательства полипептидной теории строения белка.
1. В природных белках сравнительно мало титруемых свободных СООН- и NH2-групп, поскольку абсолютное их большинство находится в связанном состоянии, участвуя в образовании пептидных связей; титрованию доступны в основном свободные СООН- и NН2-группы у N- и С-концевых аминокислот пептида.
2. В процессе кислотного или щелочного гидролиза белка образуются стехиометрические количества титруемых СООН- и NH2-групп, что свидетельствует о распаде определенного числа пептидных связей.
3. Под действием протеолитических ферментов (протеиназ) белки расщепляются на строго определенные фрагменты, называемые пептидами, с концевыми аминокислотами, соответствующими избирательности действия протеиназ. Структура некоторых таких фрагментов неполного гидролиза доказана последующим химическим их синтезом.
4. Биуретовую реакцию (сине-фиолетовое окрашивание в присутствии раствора сульфата меди в щелочной среде) дают как биурет, содержащий пептидную связь, так и белки, что также является доказательством наличия в белках аналогичных связей.
5. Анализ рентгенограмм кристаллов белков подтверждает полипептидную структуру белков. Таким образом, рентгеноструктурный анализ при разрешении 0,15–0,2 нм позволяет не только вычислить межатомные расстояния и размеры валентных углов между атомами С, Н, О и N, но и «увидеть» картину общего расположения аминокислотных остатков в полипептидной цепи и пространственную ее ориентацию (конформацию).
6. Существенным подтверждением полипептидной теории строения белка является возможность синтеза чисто химическими методами полипептидов и белков с уже известным строением: инсулина – 51 аминокислотный остаток, лизоцима – 129 аминокислотных остатков, рибонуклеазы – 124 аминокислотных остатка . Синтезированные белки обладали аналогичными природным белкам физико-химическими свойствами и биологической активностью.
Полипептидная теория строения не отрицает существования в молекуле белка и других связей, включая ковалентные (например, дисульфидные —S—S-связи) и нековалентные (например, водородные связи и др.). Они будут рассмотрены далее.
Пептидные связи играют исключительную роль как в «архитектуре», так и в функции белков. Поэтому следует указать на некоторые особенности строения полипептидной цепи. Во-первых, это своеобразие расположения атомов углерода и азота, находящихся примерно в одной плоскости, и атомов водорода и радикалов, направленных к этой плоскости под углом 109°28'. Во-вторых, это своеобразие петидной связи. Расстояние между атомами С и N в пептидной связи (равное 0,132 нм) является промежуточным между простой (ординарной) связью (связь —С—N—, равная 0,147 нм) и двойной связью (связь —C=N—, равная 0,125 нм). Это создает предпосылки для осуществления по месту двойной связи таутомерных перегруппировок и для образования енольной (лактимной) формы. Последняя в свою очередь дает молекуле белка ряд преимуществ (повышение реакционной способности, возникновение дополнительных возможностей вращения и др:

Наконец, следует указать на своеобразие радикалов, которые являются полифункциональными, несущими свободные NH2-, СООН-, ОН-, SH-группы и, как было указано, определяют структуру (пространственную) и многообразие функций молекул белка. Взаимодействуя с окружающими молекулами растворителя (Н2О), функциональные группы (в частности, NH2- и СООН-группы) ионизируются, что приводит к образованию анионных и катионных центров белковой молекулы. В зависимости от соотношения ионов молекулы белка получают суммарный положительный (+) или отрицательный (–) заряд с определенным значением изоэлектрической точки.
Получены доказательства предположения К. Линдерстрёма-Ланга о существовании 4 уровней структурной организации белковой молекулы: первичной, вторичной, третичной и четвертичной структуры. Техника современной белковой химии разработана настолько хорошо, что позволяет в принципе расшифровать структурную организацию любого белка.
К настоящему времени расшифрована первичная структура десятков тысяч разных белков, что является несомненным достижением биохимии. Однако это число ничтожно мало, если учесть, что в природе около 1012 разнообразных белков. Под первичной структурой подразумевают порядок, последовательность расположения аминокислотных остатков в полипептидной цепи. Зная первичную структуру, местоположение каждого остатка аминокислоты, можно точно написать структурную формулу белковой молекулы, если она представлена одной полипептидной цепью. Если в состав белка входит несколько полипептидных цепей, объединенных в одну белковую молекулу посредством дисульфидных связей и нековалент-ных взаимодействий, или если одна полипептидная цепь содержит внутренние дисульфидные связи, то задача определения первичной структуры несколько осложняется, так как необходимо предварительное разъединение этих цепей и связей. Разъединение таких полипептидных цепей производят с помощью денатурирующих агентов (растворы 8М мочевины или 6М гуанидингидрохлорида), разрывающих нековалентные связи. Дисульфид-ные связи разрушают путем окисления или восстановления (надмуравьиной кислотой или β-меркаптоэтанолом соответственно), при этом образуются свободные полипептиды, содержащие или остатки цистеиновой кислоты, или цистеина:

Для определения первичной структуры отдельной, химически гомогенной полипептидной цепи в первую очередь методами гидролиза выясняют аминокислотный состав, точнее, соотношение каждой из 20 аминокислот в образце гомогенного полипептида. Затем приступают к определению химической природы концевых аминокислот полипептидной цепи, содержащей одну свободную NH2-группу и одну свободную СООН-группу.
Классификация белков
Белки входят в состав всех живых организмов, но особо важную роль они играют в животных организмах, которые состоят главным образом из тех или иных форм белков. Мышцы, покровные ткани, внутренние органы, хрящи, кровь – все это белковые вещества.
Растения синтезируют белки и аминокислоты из CO2 и H2O за счет фотосинтеза, усваивая остальные элементы белков (N,P,S,Fe,Mg) из растворимых солей, находящихся в почве. В последние годы доказано, что растения могут усваивать и непосредственно азот атмосферы. Животные организмы в основном получают готовые аминокислоты с пищей и на их базе строят белки своего организма. Ряд аминокислот, называемых заменимыми, может синтезироваться непосредственно животными организмами.
Белки представляют собой биополимеры α-аминокислот. Если при гидролизе белкового вещества распадаются в итоге до α-аминокислот, то мы имеем дело с простыми белками – протеинами. Но существуют и сложные белки, или протеиды, в состав которых входят остатки соединений, принадлежащих к другим классам органических и неорганических веществ.
По ряду характерных свойств протеины можно разделить на несколько подгрупп.
| 1. Альбумины |
Альбумины растворимы в воде, свертываются при нагревании,нейтральны,сравнительно трудно осаждаются растворами солей. Примерами их могут служить альбумин белка куриного яйца, альбумин кровяной сыворотки, альбумин мышечной ткани, молочный альбумин. |
|
| 2. Глобулины |
Нерастворимы в воде, но растворяются в очень слабых растворах солей. Более концентрированными растворами солей они вновь осаждаются; осаждение происходит при меньшей концентрации, чем необходимая для осаждения альбуминов. Эти белки являются очень слабыми кислотами. Примерами глобулинов могут служить фибриноген, глобулин мышечной ткани, глобулин кровяной сыворотки, глобулин белка куриного яйца. из глобулинов состоят и многие растительные белки. |
|
| 3. Гистоны |
Белки основного характера. Содержатся в нуклеопротеидах лейкоцитов и красных кровяных шариков |
|
| 4. Протамины |
Не содержат серы, обладают сравнительно сильными основными свойствами, дают кристаллические соли. |
|
| 5. Проламины |
Содержатся в зернах различных хлебных злаков. Замечательной их особенностью является растворимость в 80%-ном спирте. Представителем этих белков может служить глиадин, составляющий главную часть клейковины. |
|
| 6. Склеропротеины |
Склеропротеины – это нерастворимые белки, из которых сосоят наружные покровы тел животных, они содержатся также в скелете и в соединительной ткани. К ним относятся кератин ,коллагены, эластин, фиброин. |
|
К сложным белкам протеидам относятся следующие.
| 1. Фосфопротеиды |
В состав фософпротеидов входит фосфорная кислота. Обладает кислотным характером. Главным представителем фосфопротеидов является казеин молока. В молоке казеин содержится в виде кальциевой соли. Из других Ф. можно отметить вителлин, входящий в состав желтка куриного яйца. |
| 2. Нуклеопротеиды |
Нуклеопротеиды содержатся в клеточных ядрах. При осторожном гидролизе они расщепляются на белки и нуклеиновые кислоты. Нуклеиновые кислоты являются весьма сложными веществами, расщепляющимися при гидролизе на фосфорную кислоту, углеводы и азотосодержащие органические вещества групп пиримидина и пурина. |
| 3. Хромопротеиды. |
Представляют собой сочетание белков с окрашенными веществами. Из хромопротеидов наиболее изучен гемоглобин - красящее вещество красных кровяных шариков. Гемоглобин играет роль переносчика кислорода от легких к тканям, а также регулирует pHкрови и перенос углекислоты в организме. При соединении с CO теряет способность соединяться с O2. Этим объясняется ядовитое действие окиси углерода. |
| 4. Гликопротеиды |
Некоторые белки этой группы встречаются в слизистых выделениях животных организмов и обуславливают свойство этих выделений вытягиваться в нити даже при сравнительно большом разбавлении. Эти белки образуются в подчелюстной железе, печени, железах желудка и кишечника. Другие гликопротеиды содержатся в хрящах, яичном белке, стекловидном теле глаза и т.д. |
| 5. Липопротеиды |
При гидролизе липопротеиды распадаются на белок и растворимые в эфире жиры, лецитины и другие фосфатиды. |
Строение белковых молекул
Специфика строения белковых молекул обуславливается не только длинной, составом и строением входящих в молекулу полипептидных цепей, но и их пространственной ориентацией – комформаций. Данные конформации, как правило, обладают различной степенью гидратации. Подобная метастабильность обуславливает изменения, быстро и необратимо происходящие при нагревании яичного белка. Они служат наглядным примером реакций, происходящих при денатурации.
Значительное внимание уделялось исследованию возможных способов расположения пептидных цепей, приводящих к устойчивым комформациям. В 1952 Л.Полинг показал, что наиболее выгодным расположением, которое осуществляется во многих пептидах и белках, является α-спирали свернутые таким образом, что возможно образование водородных связей между амидными водородными атомами и карбонильными группами, разделенными тремя-четырьмя аминокислотными фрагментами.

Рис.8. Уровни структуры белков
Всего различают 4 уровня структурной организации белков, называемых первичной, вторичной, третичной и четвертичной структурами.
3.1 Первичная структура
Первичная структура представляет собой последовательность аминокислот в полипептидной цепи (рис.9). Структура каждого индивидуального белка закодирована в участке ДНК, называемом геном. В процессе синтеза белка, информация, находящаяся в гене , сначала переписывается на мРНК в качестве матрицы, на рибосоме происходит сборка первичной структуры белка.
Каждый из 50 000 индивидуальных белков организма человека имеет уникальную для данного белка первичную структуру.
Изучая порядок чередования аминокислотных остатков в индивидуальных белках и сопоставляя эти знания с особенностями пространственного расположения молекулы, можно выявить общие фундаментальные закономерности формирования пространственной структуры белков.

Рис.9.Первичная структура белка
3.2 Вторичная структура
Вторичной структурой белка называют пространственную структуру, образующуюся в результате взимодействий между функциональными группами, вхоядщими в состав пептидного остова. При этом пептидные цепи могут приобретать регулярные структуры двух типов: α-спирали (рис.10) и
β-структруа (рис.11).

Рис.10. α-Спираль
Под α-спиралью понимают структуру, в которой пептидный остов закручивается в виде спирали за счёт образрвания водородных связей между атомами кислорода карбонильных групп и атомами азота аминогрупп, входящих в состав пептидных групп через 4 аминокислотных остатка.
α-Спираль наиболее устойчивая комформация пептидного остова, это обусловлено наличием множества водородных связей, «стягивающих» α-спираль.
Под β-структурой понимают фигуру, подобную листу, сложенному «гармошкой». Фигура формируется за счет образования множества водородных связей между атомами пептидных групп линейных областей одной полипептидной цепи, делающей изгибы, или между разными полипептидными группами.

Рис.11. вторичная структура белка в виде β-складчатого слоя.
В отличие от α-спиралей, разрыв водородных связей, формирующих β-структуры, не вызывает удлинения данных участков полипептидных цепей.
Как α-спираль так и β-структуры обнаружены в глобулярных и фибриллярных белках.
3.3 Третичная структура
Третичная структура белка представляет собой трехмерную пространственную структуру, образующаяся за счёт взаимодействий между радикалами аминокислот, которые могут располагаться на значительном расстоянии друг от друга в полипептидной цепи (рис.12.).
Структурно состоит из элементов вторичной структуры, стабилизированных различными типами взаимодействий, в которых гидрофобные взаимодействия играют важнейшую роль.

Рис.12. Третичная структура белка.
При взаимодействии с окружающими молекулами воды белковая молекула «стремится» свернуться так, чтобы неполярные боковые группы аминокислот оказались изолированы от водного раствора; на поверхности молекулы оказываются полярные гидрофильные боковые группы.
3.4.Четвертичная структура белка
Четвертичной структурой называют взаимное расположение нескольких полипептидных цепей в составе единого белкового комплекса (рис.13.)
.
Рис.13. Четвертичная структура белка.
Белковые молекулы, входящие в состав белка с четвертичной структурой, образуются на рибосомах по отдельности и лишь после окончания синтеза образуют общую надмолекулярную структуру. В состав белка с четвертичной структурой могут входить как идентичные, так и различающиеся полипептидные цепочки. В стабилизации четвертичной структуры принимают участие те же типы взаимодействий, что и в стабилизации третичной. Надмолекулярные белковые комплексы могут состоять из десятков молекул.
4. Функции белков в живых организмах.
Функции белков в организме разнообразны. Они в значительной мере обусловлены сложностью и разнообразием форм и состава самих белков.
Белки - незаменимый строительный материал. Одной из важнейших функций белковых молекул является пластическая. Все клеточные мембраны содержат белок, роль которого здесь разнообразна. Количество белка в мембранах составляет более половины массы.
Многие белки обладают сократительной функцией. Это прежде всего белки актин и миозин, входящие в мышечные волокна высших организмов. Мышечные волокна - миофибриллы - представляют собой длинные тонкие нити, состоящие из параллельных более тонких мышечных нитей, окруженных внутриклеточной жидкостью. В ней растворены аденозинтрифосфорная кислота (АТФ), необходимая для осуществления сокращения, гликоген - питательное вещество, неорганические соли и многие другие вещества, в частности кальций.
Велика роль белков в транспорте веществ в организме. Имея различные функциональные группы и сложное строение макромолекулы, белки связывают и переносят с током крови многие соединения. Это прежде всего гемоглобин, переносящий кислород из легких к клеткам. В мышцах эту функцию берет на себя еще один транспортный белок - миоглобин. Также существует особый вид интегральных белков, оказывающих влияние на избирательную проницаемость мембраны. Они пронизывают мембрану насквозь, образовывая своего рода проход. Для элементов K, Na и Cl есть свои каналы. При прохождении канала концентрация ионов меняется, при этом происходит дисбаланс мембранного потенциала, но позже он снова восстанавливается. На этом принципе основана работа электрокардиографии.
Еще одна функция белка - запасная. К запасным белкам относят ферритин - железо, овальбумин - белок яйца, казеин - белок молока, зеин - белок семян кукурузы.
Регуляторную функцию выполняют белки-гормоны.
Гормоны - биологически активные вещества, которые оказывают влияние на обмен веществ. Многие гормоны являются белками, полипептидами или отдельными аминокислотами. Одним из наиболее известных белков-гормонов является инсулин. Этот простой белок состоит только из аминокислот. Функциональная роль инсулина многопланова. Он снижает содержание сахара в крови, способствует синтезу гликогена в печени и мышцах, увеличивает образование жиров из углеводов, влияет на обмен фосфора, обогащает клетки калием. Регуляторной функцией обладают белковые гормоны гипофиза - железы внутренней секреции, связанной с одним из отделов головного мозга. Он выделяет гормон роста, при отсутствии которого развивается карликовость. Этот гормон представляет собой белок с молекулярной массой от 27000 до 46000.
Регуляторную функцию выполняют и белки, содержащиеся в щитовидной железе - тиреоглобулины, молекулярная масса которых около 600000. Эти белки содержат в своем составе йод. При недоразвитии железы нарушается обмен веществ.
Другая функция белков - защитная. На ее основе создана отрасль науки, названная иммунологией.
Иммунная функция белков играет очень важную роль в организме животных. В тот момент, когда в организм попадают возбудители — вирусы или бактерии, в специализированных органах начинают вырабатываться специальные белки — антитела, которые связывают и обезвреживают возбудителей. Особенность иммунной системы заключается в том, что за счет антител она может бороться с почти любыми видами возбудителей.
В иммунной системе играют важную роль не только белки-антитела, но и лизоцимы и белки системы комплемента. Лизоцимы — белки-ферменты, которые разрушают стенки бактерий путем гидролиза их компонентов. Белки комплемента запускают каскад реакций, в результате которых образуется белок МАК (мембраноатакующий комплекс). МАК атакует бактерию, разрушая ее клеточную мембрану. Если этого не произошло, другие белки системы комплемента помечают эту клетку для последующего её уничтожения фагоцитами.
К защитным белкам иммунной системы относятся также интерфероны. Эти белки производят клетки, зараженные вирусами. Их воздействие на соседине клетки обеспечивает противовирусную устойчивость, блокируя в клетках-мишенях размножение вирусов или сборку вирусных частиц. Интерфероны обладают и иными механизмами действия, например, влияют на активность лимфоцитов и других клеток иммунной системы.
В последнее время в отдельную группу выделены белки с рецепторной функцией. Есть рецепторы звуковые, вкусовые, световые и др. рецепторы.
Следует упомянуть и о существовании белковых веществ, тормозящих действие ферментов. Такие белки обладают ингибиторными функциями. При взаимодействии с этими белками фермент образует комплекс и теряет свою активность полностью или частично. Многие белки - ингибиторы ферментов - выделены в чистом виде и хорошо изучены. Их молекулярные массы колеблются в широких пределах; часто они относятся к сложным белкам - гликопротеидам, вторым компонентом которых является углевод.
Если белки классифицировать только по их функциям, то такую систематизацию нельзя было бы считать завершенной, так как новые исследования дают много фактов, позволяющих выделять новые группы белков с новыми функциями. Среди них уникальные вещества - нейропептиды (ответственные за важнейшие жизненные процессы: сна, памяти, боли, чувства страха, тревоги).
В основе всех жизненных процессов лежат тысячи химических реакций. Они идут в организме без применения высокой температуры и давления, т. е. в мягких условиях. Вещества, которые окисляются в клетках человека и животных, сгорают быстро и эффективно, обогащая организм энергией и строительным материалом. Но те же вещества могут годами храниться как в консервированном (изолированном от воздуха) виде, так и на воздухе в присутствие кислорода. Возможность быстрого переваривания продуктов в живом организме осуществляется благодаря присутствию в клетках особых биологических катализаторов - ферментов. В процессе пищеварения ферменты разрушают потреблённые белки до аминокислот, которые используются при биосинтезе белков организма или подвергаются дальнейшему распаду для получения энергии.
Белки — важная часть питания животных и человека (основные источники: мясо, птица, рыба, молоко, орехи, бобовые, зерновые; в меньшей степени: овощи, фрукты, ягоды и грибы), поскольку в их организме не могут синтезироваться все необходимые аминокислоты и часть из них поступает с белковой пищей
Ферменты - это специфические белки, входящие в состав всех клеток и тканей живых организмов играющие роль биологических катализаторов.
Важнейшим свойством ферментов является наступление одной из нескольких теоретически возможных реакций. В зависимости от условий, ферменты способны катализировать как прямую ,так и обратную реакцию. Это свойство ферментов имеет большое практическое значение.
Другое важнейшее свойство ферментов - термолабильность, т. е. высокая чувствительность к изменениям температуры. Так как ферменты являются белками, то для большинства из них температура свыше 70 C приводит к денатурации и потере активности. При увеличении температуры до 10 С реакция ускоряется в 2-3 раза, а при температурах близких к 0 С скорость ферментативных реакций замедляется до минимума.
Следующим важным свойством является то, что ферменты находятся в тканях и клетках в неактивной форме (проферменте). Классическими его примерами являются неактивные формы пепсина и трипсина. Существование неактивных форм ферментов имеет большое биологическое значение. Если бы пепсин вырабатывался сразу в активной форме, то пепсин "переваривал" стенку желудка, т. е. желудок "переваривал" сам себя.
Когда в пищеварительном тракте или в эксперименте белки расщепляются на более простые соединения, то через ряд промежуточных стадий ( альбумоз и пептонов) они расщепляются на полипептиды и, наконец, на аминокислоты. Аминокислоты в отличие от белков легко всасываются и усваиваются организмом. Они используются организмом для образования собственного специфического белка. Если же вследствие избыточного поступления аминокислот их расщепление в тканях продолжается, то они окисляются до углекислого газа и воды.
Желудочный сок обладает свойством переваривать пищу, что связано с наличием в нем ферментов. Он содержит пепсин - фермент, расщепляющий белок. Под влиянием пепсина белки расщепляются на пептоны и альбумозы. Железами желудка пепсин вырабатывается в неактивном виде, переходит в активную форму при воздействии на него соляной кислоты. Пепсин действует только в кислой среде и при попадании в щелочную среду становится не активным.
Заключение
Белки по праву можно назвать основой жизни всех организмов. Так как без них нормальное функционирование любого организма невозможно. Все многочисленные функции организма напрямую зависят от них.
Без белков или их составных частей – аминокислот – не может быть обеспечено воспроизводство основных структурных элементов органов и тканей, а также образование ряда важнейших веществ, как, например, ферментов и гормонов.
Белки – основная и необходимая часть всех организмов. Белки осуществляют обмен веществ и энергетические превращения, они неразрывно связаны с активными биологическими функциями. Если исключить из рациона питания белковую пищу, то организм начнет слабеть, и при длительном отсутствии белковой пищи погибнет.
Фридрих Энгельс дал следующее определение жизни : «Жизнь есть способ существования белковых тел, существенным моментом которого является постоянный обмен веществ с окружающей их внешней природой, причем с прекращением этого обмена веществ прекращается и жизнь, что приводит к разложению белка.»
Список литературы
Потапов В.М. Органическая Химия // М.: Просвещение, 1976. – 376 с.
Гранденберг И.И. Органическая химия // М.: Высшая школа, 1987. – 480 с.
Мамонтов С.Г. Биология для поступающих в вузы // М.: Дрофа, 1997. – 477 с.
Северин Е.С. Биохимия // М.:ГЭОТАР – МЕД , 2004. – 784 с.
Тюкавкина Н.А. Биоорганическая Химия // М.: Дрофа, 2006. – 542 с.
http://ru.wikipedia.org/wiki/Белки
http://belok-s.narod.ru
http://xumuk.ru
Приложение
Таблица с классификацией основных аминокислот по их химическому строению

Здесь представлены основные 20 аминокислот, участвующие в синтезе белка в теле человека.