| Скачать .docx | Скачать .pdf |
Реферат: Химические реакторы
Ал. Ал. Берлин, Э. В. Прут
Введение
Человечество давно пользуется искусственными химическими веществами и материалами, для получения которых применяют специальные аппараты и оборудование. Конструкции химических реакторов весьма разнообразны и должны отвечать определенным требованиям для того, чтобы продукт получался с максимальной производительностью, высокого качества, минимальными затратами исходных веществ, энергии и труда.
Для создания реактора оптимальной конструкции необходимы, как говорят, исходные данные. В первую очередь следует знать кинетику химической реакции, то есть информацию об основной реакции, приводящей к целевому продукту, и о побочных процессах, приводящих к нерациональному расходу сырья и образованию ненужных, а иногда и вредных веществ (кинетика — наука о скоростях химических реакций). Далее требуются данные о теплоте, выделяющейся или поглощаемой в ходе реакции, и о предельной, возможной степени превращения исходных веществ в продукты. На эти вопросы отвечает химическая термодинамика. Поскольку для осуществления реакции молекулы исходных реагентов должны встретиться друг с другом, реакционную систему необходимо хорошо перемешивать. Эффективность смешения зависит от вязкостей компонентов, взаимной растворимости исходных веществ и продуктов, скоростей потоков, геометрии реактора и различного рода устройств ввода реагентов. Этими вопросами занимается наука, называемая гидродинамикой. Протекание химической реакции также влияет на смешение. Это изучает химическая гидродинамика. Наконец, температурный режим в реакторе следует поддерживать в соответствии с требованиями кинетики, чтобы оптимизировать скорости реакции и выход целевого и побочных продуктов. Наука, которая занимается описанием химических реакций с учетом процессов массо- и теплопереноса, получила название макрокинетика (макроскопическая кинетика). Этот термин предложил известный отечественный ученый Д.А. Франк-Каменецкий.
Таким образом, в общем виде задача расчета химического реактора чрезвычайно сложна. Однако проблему можно значительно упростить, используя некоторые предельные модели.
Основные модели химических реакторов
Реактор идеального смешения периодического действия (РИСПД). Кастрюля с борщом, стоящая на огне, — пример химического реактора идеального смешения периодического действия. Хороший повар знает, сколько времени варить борщ, чтобы он был вкусным. Одна из важнейших характеристик процесса — время пребывания реакционной смеси в реакторе, которое должно быть согласовано с кинетикой основной химической реакции. Если время меньше необходимого, будет мал выход продукта. Если время пребывания слишком велико, могут пойти нежелательные побочные реакции. Предположим, что интересующий нас целевой продукт является промежуточным в серии последовательных реакций. Например, получим монохлорбензол, используя в качестве исходных реагентов бензол и хлор. Схематически реакцию можно представить в виде
C6H6 + Cl2 → C6H5Cl + HCl,
C6H5Cl + Cl2 → C6H4Cl2 + HCl,
C6H4Cl2 + Cl2 → C6H3Cl3 + HCl
В этом случае количество монохлорбензола (целевой продукт) проходит через максимум от времени, и время пребывания должно соответствовать этому максимуму.
Вторая важная характеристика такого реактора — эффективность смешения. В промышленности существуют различные методы смешения реагентов и перемешивания реакционной смеси. Чаще всего для этих целей используют вращающиеся мешалки различной конфигурации. Каждый реактор со своим перемешивающим устройством можно охарактеризовать некоторым средним временем смешения τсм. Измерить τсм можно следующим образом. В какое-то место реактора вводится окрашенное вещество (индикатор). Затем, отбирая пробы в разных точках, определяют, за какое время весь объем реактора станет равномерно окрашенным. Реактор идеального смешения — это такой реактор, в котором выполняется условие
τсм << τхим (1)
где τхим — характерное время химической реакции. При этом концентрации всех веществ в любой момент времени будут одинаковы во всех точках реактора.
В некоторых случаях в реактор сначала вводится часть реагентов, а затем постепенно добавляется наиболее реакционноспособный реагент. Так, при получении хлорбензола в реактор с бензолом медленно вводится газообразный хлор. Если при этом также выполняется условие (1), то реактор носит название реактора идеального смешения полупериодического действия. Заметим, что в этом случае особенно важно, что критерием идеальности смешения является соотношение времени смешения и времени химической реакции, а не времени пребывания, которое может значительно превышать время химической реакции.
Реактор идеального вытеснения (РИВ). Химическую реакцию можно проводить в трубчатом реакторе, при этом предварительно перемешанные реагенты вводятся с одной стороны реактора, а конечная смесь выводится с другой. Такой реактор называется реактором идеального вытеснения. Если нет перемешивания вдоль реактора и линейная скорость перемещения реакционной массы вдоль реактора υ постоянна: реагирующая смесь как бы (или на самом деле) вытесняется поршнем. Тогда время пребывания реагирующей смеси в реакторе длиной L равно L/υ и одинаково для любой ее части. Такой реактор работает в непрерывном режиме, а каждый элемент реакционной смеси проходит такой же путь, что и в РИСПД. Поэтому описание работы обоих реакторов полностью идентично, причем параметр L/υ для РИВ просто соответствует времени реакции для РИСПД. Один из вариантов получения полиэтилена является примером промышленного процесса с РИВ.
Реактор идеального смешения непрерывного действия (РИСНД). Схема РИСНД приведена на рис. 1. В реактор непрерывно вводятся реагенты, а реакционная смесь, содержащая продукты и исходные вещества, интенсивно перемешивается и постоянно выводится из реактора. Среднее время пребывания реакционной смеси в таком реакторе равно V/W, где V — объем реактора, a W — суммарная объемная скорость подачи всех реагентов.
В отличие от рассмотренных РИСПД и РИВ в РИСНД существует широкое распределение по временам пребывания, то есть одни молекулы, попав в реактор, находятся в нем длительное время, а другие быстро его покидают. Концентрации всех веществ в этом реакторе постоянны.
Интересно проиллюстрировать различие реакторов на примере так называемой живущей полимеризации. В раствор с мономером вводится инициатор, к которому последовательно присоединяются молекулы мономера, образуя полимерную цепь. Если такую реакцию проводить в РИСПД, в РИВ или обычной лабораторной колбе с мешалкой, то все макромолекулы будут иметь практически одну и ту же длину (молекулярную массу). Если тот же самый процесс проводить в РИСНД, то полимерный продукт будет состоять из набора молекул различной молекулярной массы. Другими словами, структура и свойства полимера зависят от того, в каком реакторе он получен.

Условие идеальности смешения для РИСНД то же, что и для реактора идеального смешения периодического действия (1). Существенное значение для производительности реактора и особенно для качества продукта имеют тепловой режим работы реактора, температура и температурные поля в нем.
Для РИСПД и РИВ можно выделить два предельных режима. Первый изотермический, когда все тепло реакции (если реакция экзотермическая) отводится от реакционной смеси. Второй адиабатический, при котором все тепло, выделяющееся в ходе реакции, расходуется на нагрев реагирующей массы. Возможны и любые промежуточные режимы, когда часть тепла отводится, а часть идет на нагрев или когда температуру в реакторе принудительно изменяют во времени для РИСПД или по длине реактора (для РИВ).
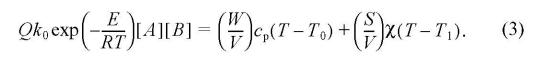
Рассмотрим установившийся тепловой режим в РИСНД. Установившимся или стационарным называется такой режим работы РИСНД, когда концентрации всех веществ и температура в реакторе постоянны по объему и не меняются во времени. Такой режим обычно наступает спустя некоторое время после начала его работы. Для определения температуры в РИСНД следует рассмотреть тепловой баланс. Скорость выделения тепла за счет химической реакции равна

где V — объем реактора, Q — теплота реакции, ωхим — скорость реакции, k — константа скорости, k0 и Е — предэкспоненциальный множитель и энергия активации, [A] и [B] — концентрации реагентов. Выражение для скорости реакции записано в предположении бимолекулярного процесса A + B → C. Тепло расходуется на нагрев исходных реагентов от начальной температуры T0 до температуры T в реакторе. Скорость расхода тепла на нагрев равна Wcр(T - T0), где cр — средняя теплоемкость реакционной массы. Кроме того, часть тепла отводится из реактора через стенки к теплоносителю со скоростью Sχ(T - T1), где χ — коэффициент теплопередачи через стенку, T1 — температура теплоносителя. Приравнивая приход и расход тепла и разделив на V, имеем

На рис. 2 представлены схематически левая (рис. 2, 1) и правая (рис. 2, 2) части уравнения (3). Точки пересечения — решения уравнения (3), то есть значения температур в стационарных условиях. В принципе могут существовать два устойчивых режима, соответствующие нижней и верхней точкам пересечения кривой 1 и прямой 2. Третья средняя точка пересечения, если она существует, отвечает неустойчивому состоянию. При эффективном теплоотводе или большой скорости подачи реагентов прямая 2 имеет большой угол наклона к горизонтальной оси и существует единственная точка пересечения. В этом случае работа реактора совершенно устойчива при различных температурах T0 и T1. Если прямая 2 касается кривой 1, то реактор может устойчиво работать только при высоких температурах. Если теплоотвод через стенки отсутствует и все тепло реакции идет на нагрев реакционной смеси (χ = 0), то такой режим работы РИСНД называется автотермическим.
Часто используют каскады реакторов, например два или три последовательно соединенных РИСНД. В таком каскаде удобно проводить многоступенчатый химический процесс, подбирая оптимальные условия проведения каждой стадии.
Однако реальные реакторы отличаются от идеальных моделей. Так, в реакторах смешения существуют застойные зоны, в которых время пребывания, температура и концентрации веществ отличаются от средних. В трубчатых реакторах вытеснения профиль скоростей может быть неплоским, распределение по временам пребывания расширяется и т.д.

Остановимся несколько подробнее на трубчатых реакторах. При ламинарном течении жидкости и постоянной температуре в гладкой трубе устанавливается параболический профиль скоростей — в центре на оси реактора самая высокая скорость течения (о ламинарном и турбулентном режимах течения см. [6]). Это обстоятельство приводит к расширению распределения по временам пребывания (при турбулентном течении фронт течения становится более плоским [5]). Ситуация усугубляется при попытке провести в таком реакторе химическую реакцию получения высокомолекулярного продукта — полимера. Обычно в реакциях полимеризации выделяется большое количество тепла, которое в трубчатом реакторе должно отводиться через внешнюю стенку. Из-за высокой вязкости и низкой теплопроводности реакционной системы температура в реакторе повышается, причем в центре температура выше, у стенок ниже. Поскольку с ростом температуры молекулярная масса образующегося полимера практически всегда уменьшается (это общее свойство большинства процессов синтеза полимеров), вязкость реакционной массы в центре снижается и профиль скоростей течения еще более вытягивается, так что при определенных условиях наблюдается проскок почти непрореагировавшего вещества по центральной части реактора. Как избавиться от нежелательного эффекта? Есть разные способы. Самый простой — обеспечить перемешивание вязкой реакционной массы поперек потока, то есть приблизиться к модели реактора идеального вытеснения. Хорошее перемешивание очень вязких полимеров уже было реализовано в процессах их переработки в экструдерах (рис. 3), напоминающих мясорубку. В этом случае удается получить однородное распределение компонентов и их высокую дисперсность при смешении. Исходные реагенты в экструдер можно вводить в любой точке по длине экструдера, тем самым контролируя время их пребывание в реакторе и препятствуя протеканию побочных реакций.
Экструдеры изготавливают двух типов: одно- и двухшнековые. Одношнековый экструдер (рис. 3, а) состоит из шнека, вращающегося внутри обогреваемого цилиндрического корпуса. Материал в виде гранул или порошка поступает через бункер загрузки в цилиндр машины. Вращающийся шнек захватывает материал, поступающий из бункера, продвигает его вдоль экструдера, плавит и равномерно нагнетает гомогенный расплав в головку.

Аналогично сконструирован двухшнековый экструдер, в котором два шнека установлены параллельно в одном общем корпусе (рис. 3, б). При этом шнеки могут вращаться либо в одном, либо в противоположных направлениях. Двухшнековые экструдеры обладают преимуществами по сравнению с одношнековыми. Одношнековые экструдеры не обеспечивают однородного смешения из-за низкого уровня сдвиговых напряжений и наличия застойных зон. Двухшнековые экструдеры дают превосходное однородное смешение и позволяют контролировать времена пребывания компонентов и реакционной смеси в экструдере. Поэтому одношнековые экструдеры удобно использовать для простых операций, таких как плавление, получение пленок, труб. Двухшнековые экструдеры должны применяться для более сложных операций, таких, как гомогенизация, диспергирование различных добавок, реакционного смешения, полимеризации.
За последние 20 лет интенсивно развиваются процессы химического формования, в которых сочетаются химические реакции (синтез полимеров, их модификация) с переработкой в готовые изделия. Следовательно, химические реакции, приводящие к формированию конечной молекулярной структуры материала, во времени и пространстве совмещаются с механическими операциями придания этому материалу формы целевого изделия, обладающего требуемыми качествами. Данные процессы называются совмещенными. Такое оформление процесса дает возможность сократить число стадий, минуя производство полуфабрикатов и получая сразу готовые изделия. Уменьшение числа стадий приводит к снижению суммарной энергоемкости и продолжительности всего цикла изготовления конечного продукта благодаря устранению необходимости повторных изменений температуры (нагрева и охлаждения), а также исключению транспортных операций. Другим фактором является уменьшение объема отходов за счет упрощения изготовления изделий сложной конфигурации. Это приводит к экономии исходных материалов и улучшению экологии. Одной из важнейших проблем при синтезе полимеров или их химической модификации является высокая вязкость, вследствие чего данные процессы проводят либо в растворителях, либо в разбавителях — в суспензии или эмульсии. При проведении реакции в экструдерах можно избежать применения растворителей или разбавителей. Это экологическое преимущество экструзионной технологии, так как отсутствует необходимость удаления растворителя (разбавителя) и последующей его регенерации. Помимо решения экологической задачи сокращаются также энергетические затраты. Таким образом, энергетические, сырьевые и экологические факторы определяют экономическую целесообразность (а в некоторых областях техническую необходимость) перехода к совмещенной технологии.
В совмещенных процессах в экструдер в его определенных точках вводят исходные реагенты и другие реакционноспособные агенты, которые гомогенизируются, реагируют друг с другом и образуют требуемые соединения. Реакционная смесь продвигается вдоль шнека, и реакция протекает до желаемой степени конверсии, которая определяется временем пребывания в экструдере (см. рис. 3). Примеры типичных совмещенных процессов приведены в табл. 1.
Было установлено, что следующие типы реакций могут быть проведены в экструдере: 1) радикальная, анионная, катионная и координационная полимеризация; 2) поликонденсация, полиприсоединение; 3) направленная деструкция и сшивание полимеров с целью получения продукта с необходимым молекулярно-массовым распределением и образованием реакционных групп для последующей прививочной и других реакций; 4) образование функциональных групп на полимере; 5) модификация полимеров путем прививки мономеров или смеси мономеров на основную полимерную цепь с применением радикальных инициаторов или ионизирующего излучения; 6) межцепные реакции с получением сополимеров; 7) реакции полимера и полифункциональных агентов с получением разветвленных полимеров; 8) получение термоэластопластов методом динамической вулканизации; 9) измельчение полимерных отходов, резин и пр.

Одним из интенсивно развивающихся процессов реакционного смешения является процесс динамической вулканизации для получения термопластичных эластомеров (ТПЭ). В данном процессе при смешении термопластичных полимеров (полиолефины, полиамид и др.) и эластомеров (тройной этилен-пропилен-диеновый сополимер, полиизопреновый каучук) происходят диспергирование эластомерной фазы до частиц размером 0, 1—5 мкм и одновременно реакция вулканизации, то есть сшивка линейных макромолекул каучука в трехмерную структуру резины. При этом получается материал, который состоит из однородно распределенного завулканизованного эластомера (дисперсная фаза) и термопластичного полимера (матрица). Такие материалы обладают резиноподобными свойствами при комнатных температурах, а перерабатываются как термопластичные полимеры. Их производство и переработка являются экологически более чистыми процессами по сравнению с традиционной переработкой резин. Основной метод переработки резин в изделия — это прессование при высоких температурах в течение достаточно большого времени. Переработка ТПЭ проводится на оборудовании, которое широко применяется для переработки термопластов (литье под давлением, экструзия). Кроме того, изделия и отходы из термопластичных эластомеров могут перерабатываться многократно без ухудшения механических характеристик. Для получения ТПЭ с наилучшими свойствами необходимо создать условия для формирования оптимальной структуры эластомеров, которая существенно зависит от степени вулканизации, являющейся функцией многих параметров. Скорость сшивания определяется природой компонентов смеси, температурой и временем теплового воздействия. Особенно перспективным является вариант, когда весь процесс динамической вулканизации протекает в одном экструдере-реакторе.
Теперь еще об одном применении экструдера — высокотемпературном сдвиговом измельчении полимерных материалов, резин. Если расплав полиэтилена охлаждать в экструдере, то при определенной температуре высыпается тонкий порошок твердого полиэтилена. Что очень важно, оказались невелики затраты энергии на процесс измельчения. Заметим, что обычно для измельчения таких мягких материалов, как полимеры, их принято замораживать, после чего они становятся хрупкими, легко разбиваются и могут быть превращены в порошок под действием обычных ударных мельниц. При этом много энергии тратится на замораживание исходного материала, и процесс в экструдере оказался энергетически более выгодным. Эксперименты показали, что в экструдере или других специально сконструированных для этих целей аппаратах можно измельчать множество различных материалов: резину, старые шины, зерно, целлюлозу, терморективные и термопластичные полимеры, смеси полимеров, полимеров с металлами и пр. Этот способ особенно перспективен для вторичной переработки полимерных материалов. Исследования также показали, что в экструдере могут идти химические реакции, даже если исходные вещества и продукты находятся в твердом состоянии. Под действием давления и сдвиговых деформаций, осуществляющихся в аппаратах типа экструдера, мельниц, вещества перемешиваются на молекулярном уровне и между ними возможно химическое взаимодействие. Примеры химических реакций полимеров в таких условиях приведены в табл. 2.

Подробно о различного типа механохимических реакциях в твердой фазе рассказано в статье В.В. Болдырева [7].
Заключение
Таким образом, подбор реактора для конкретного химического процесса, его расчет, оптимизация конструкции и условий проведения — задача очень сложная, требующая глубоких знаний в различных областях физики и химии. Применение идеальных моделей химических реакторов, конечно, значительно упрощает расчеты, однако требует внимательного и осторожного подхода, поскольку необходимо следить за соблюдением условий идеальности в каждом конкретном случае. Особые трудности возникают при проведении реакций в сильно вязких средах, где значительно ухудшаются условия массо- и теплообмена. Глубокий научный подход, с одной стороны, и случайные открытия — с другой, играют большую роль в развитии современной химической технологии.
Список литературы
1. Крамере X., Веетертеп К. Химические реакторы. М.: Химия, 1967. 264 с.
2. Денбиг К.Г. Теория химических реакторов. М.: Наука, 1968. 120 с.
3. Берлин Ал.Ал., Вольфеон С.А. Кинетический метод в синтезе полимеров. М.: Химия, 1973. 360 с.
4. Гуль. В.Е., АкутинМ.С. Основы переработки пластмасс. М.: Химия, 1985.400 с.
5. Берлин Ал.Ал. Макрокинетика // Соросовский Образовательный Журнал. 1998. № 3. С. 48-54.
6. Гершуни Г.З. Гидродинамическая неустойчивость: Изотермические течения//Там же. 1997. № 2. С. 99—106.
7. Болдырев В.В. Использование механохимии в создании "сухих" технологических процессов//Там же. № 12. С. 48—52