| Скачать .docx | Скачать .pdf |
Реферат: Влияние природы углеродных наполнителей на свойства и эксплуатационные характеристики обожженных анодов
А. Н. Савина, А. Н. Селезнев, В. Д. Лазарев, А. Ф. Жаров, В. В. Веселков
Алюминиевая промышленность является одним из основных потребителей электродного кокса. В качестве кокса-наполнителя для приготовления анодной массы на отечественных алюминиевых заводах успешно применяются нефтяной и пековый коксы. Для производства обожженных анодов используется только нефтяной кокс, дефицит которого в стране составляет -500 тыс. т/год [1] и в ближайшей перспективе маловероятно увеличение объемов производства. В то же время известен успешный опыт промышленного изготовления конструкционных графитов для нужд атомной энергетики на основе пековых коксов [2]. Обожженные аноды являются менее ответственными изделиями, чем графитированная продукция, и пековые коксы можно использовать в качестве сырья для их производства. Учитывая дефицит нефтяного электродного кокса и растущие цены на нефтепродукты, изучение возможности применения пекового кокса в производстве обожженных анодов достаточно актуально.
Для сравнительных исследований физико-химических свойств образцов, прессованных и обожженных в лаборатории, были применены прокаленный пековый кокс производства ЮАР; смесь пековых коксов, поставляемых для Иркутского алюминиевого завода (ИркАЗ); нефтяные коксы Пермского, Ангарского НПЗ и прокаленный нефтяной кокс СПЗ «Сланцы».
На первом этапе исследований были проведены физико-химические анализы указанных коксов (табл. 1) для определения содержания в них золы и
Таблица 1
Содержание зольных примесей в коксах
| Примесь | Содержание по Т"! 1913-001-00200992-%, не более | У Нефтяные коксы | Пековые коксы | |||
| ' Пермский НПЗ | Ангарский НПЗ | СПЗ «Сланцы» | смесь ИркАЗ | ЮАР | ||
| Si | 0,08 | 0,05 | < 0,01 | 0,04 | 0,06 | 0,02 |
| Fe | 0,08 | 0,01 | 0,01 | 0,04 | 0,09 | 0,02 |
| V | 0,018 | 0,047 | 0,015 | 0,008 | < 0,001 | < 0,001 |
| Na | 0,06* | 0,01 | 0,01 | 0,02 | 0,02 | следы |
| S | 1,2 | зд | 2,0 | 1,6 | 0,2 | не опр. |
| Зола | 0,6 | 0,2 | 0,4 | 0,6 | 0,3 | 0,1 |
изучения ее состава. В электролитическом способе получения алюминия наиболее вредными примесями являются железо, кремний, ванадий и сера. Первые три при электролизе полностью переходят в металл, загрязняя его.
Вредное влияние серы связано с ее окислением до сернистого ангидрида, который взаимодействует с металлическими конструкциями электролизера. Образующаяся окалина попадает в расплав, загрязняя алюминий железом. Кроме того, сера накапливается в растворах газоочистки (при «мокром» способе очистки газов) и требуется дополнительный расход содового раствора для вывода сульфатов из процесса.
Известно, что натрий является катализатором реакции горения углерода. Большое содержание данного металла приводит к повышенному расходу анодов, что увеличивает себестоимость алюминия. Поэтому содержание натрия в коксе также лимитируется. Отмечается сравнительно высокое содержание натрия в смеси коксов с ИркАЗа и в коксе СПЗ «Сланцы».
Анализируя полученные данные, можно отметить повышенное содержание железа в смеси коксов с ИркАЗа по сравнению с установленными требованиями, что может быть связано с загрязнением коксов при шихтовке, перевалке и хранении на заводском складе.
Нефтяные коксы отличаются более высоким содержанием серы и ванадия. Особенно это касается кокса Пермского НПЗ. По содержанию золы все коксы вполне укладываются в требования ТУ 1913-00200992-95. Выделяется только кокс с СПЗ «Сланцы», содержащий золу на верхнем допустимом пределе. Таким образом, с точки зрения химической чистоты пековые коксы не уступают нефтяным, а кокс производства ЮАР даже превосходит их.
При выборе кокса-наполнителя для производства обожженных анодов, жесткие требования предъявляются не только к химической чистоте. Сырье и технология должны обеспечить, с одной стороны, получение анодов с высокой плотностью и низкими пористостью и реакционной способностью при электролизе, с другой — достаточно высокую механическую прочность и электропроводность анодов.
Поэтому на втором этапе были исследованы объемно-структурные и электромеханические характеристики коксов. Для стабилизации свойств все коксы (кроме прокаленного пекового кокса производства ЮАР и прокаленного нефтяного кокса СПЗ «Сланцы») прокаливали при температурах 1100—1220 °С: нефтяные коксы — до действительной плотности (а?Дейст) 2,02, 2,05, 2,07 г/см3; смесь пековых коксов с ИркАЗа — до 1,98, 2,00, 2,02 г/см3. Полученные результаты представлены на рис. 1. На графиках не приведены характеристики по коксу ЮАР, но все показатели по этому коксу превосходят аналогичные для смеси коксов с ИркАЗа.
У всех коксов с повышением температуры прокаливания отмечено закономерное повышение объемной плотности и насыпного веса. Также было ожидаемым уменьшение величины удельного электросопротивления с ростом температуры их обработки. Обращает на себя внимание более высокая прочность пековых коксов.

Рис. 1. Зависимость свойств кокса от действительной плотности:
а — удельное электросопротивления (УЭС), мкОм • м; б — коэффициент прочности, отн. ед; в — насыпной вес, г/см3; г — общая пористость, %; 1 —кокс Пермского НПЗ, 2 — кокс Ангарского НПЗ, 3 — кокс СПЗ «Сланцы», 4 — кокс ИркАЗ
На основании результатов исследований можно сделать вывод, что пековые коксы имеют более плотную структуру и превосходят нефтяные по показателям объемного и насыпного весов и прочности при близких значениях электропроводности.
Также можно отметить специфичные свойства нефтяного кокса, прокаленного на СПЗ «Сланцы», который при одинаковой с нефтяными коксами действительной плотности имеет похожие с пековыми коксами объемно-структурные характеристики. Вероятно, это объясняется свойствами коксов, которые шихтуются перед прокаливанием, и особенностями технологии процесса прокалки кокса в ретортных печах.
Для технологии производства обожженных анодов, как и для других видов прессованной углеродной продукции, очень важным является правильный подбор упругих и пластических свойств кокса-наполнителя. Данные свойства характеризуются коэффициентом упругого расширения (Кур) и коэффициентом релаксации (Крел). Методика и устройство для определения коэффициентов разработана А. Ф. Красюковым [3].
Известно, что чем выше способность материала к релаксации (пластичность), тем он лучше уплотняется без разрушения частиц при наложении давления. В то же время, чем больше упругое расширение кокса, тем в большей степени спрессованный материал стремится вернуться в исходное состояние после снятия нагрузки. Понятно, что с повышением Кур кокса увеличивается вероятность расслоения образца и образования трещин.
Учитывая разнонаправленность изменения Крел и Кур при наложении давления прессования, А.Ф. Красюков ввел понятие коэффициента прессовой добротности (Адц), характеризующего преобладание пластических свойств над упругими.
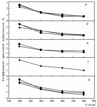
На третьем этапе, используя указанный подход к оценке технологических свойств наполнителей, проводили изучение прессовых характеристик прокаленных коксов (фракция 1,0—1,5 мм) в интервале давления прессования 200—800 кг/см2. При увеличении поверхности шлифов коксов в 1000 раз также изучалась их структура.
В интервале давления от 200 до 600 кг/см2 (см. рис. 2) происходит значительное снижение Кпд на основании чего можно сделать вывод, что в данном интервале давление прессования может влиять на физические свойства «зеленых» и обожженных образцов. При более высоком давлении от 600 до 800 кг/см2 зависимости становятся более монотонными и значения отличаются друг от друга незначительно. В указанном интервале начинает происходить раздавливание материала, вследствие этого нарушается начальный фракционный состав шихты и возникают предпосылки к возникновению трещин в «зеленых» образцах за счет сил упругого расширения после окончания прессования.
Установлено, что нефтяные коксы обладают меньшим АДЦ, за исключением кокса СПЗ «Сланцы», что указывает на их худшие прессовые характеристики и увеличение вероятности возникновения трещин и расслоений. Отмечены близкие значения АГВД пековых коксов и смеси нефтяных СПЗ «Сланцы», что вполне согласуется с полученными данными при изучении объемно-структурных характеристик коксов.
Исследование структуры коксов проводили на оптическом микроскопе. На рис. 3 светлые участки соответствуют более близкой к поверхности части кокса. Полученные снимки свидетельствуют о выраженной изотропной структуре пековых коксов, в отличие от нефтяных, имеющих более анизотропную микроструктуру с существенной долей волокнистых составляющих.

Рис. 2. Зависимость коэффициента прессовой добротности (ЛГ„д) °т давления прессования (Р):
а — кокс Пермского НПЗ, » — 4гейСт = 2,02; • — йдейст = 2,05; А — йдейст = 2,07;
б — кокс Ангарского НПЗ, » — йдейст = 2,02; • — йдейсг = 2,05; А — йдейсг = 2,07;
в — кокс СПЗ «Сланцы», » — йдейст = 2,03; • — йдейст = 2,07;
г — кокс производства ЮАР, » — йдейст = 1,99;
д — смесь коксов с ИркАЗа, » — 4вйст = 1>98; • — 4»cr = 2,00; А — йдейст = 2,02
Кокс СПЗ «Сланцы» отличается большими областями мелкопористой структуры (светлые участки) в сравнении с другими нефтяными коксами. В то же время, в сравнении с исковыми коксами, поры у этого кокса более крупные и вытянутые. Согласно имеющимся представлениям более упругими свойствами будет обладать материал, который имеет заметную долю волокнистой структуры. Этим объясняются более низкие значения Кт нефтяных коксов Ангарского и Пермского НПЗ.
На четвертом этапе изучались физико-химические свойства «зеленых» и обожженных образцов на основе представленных коксов, прокаленных предварительно при разных температурах. Гранулометрический состав шихты и удельная поверхность пыли, кроме содержания связующего, задавались близкими для всех образцов. Количество пека для пековых и нефтяных коксов изменялось в соответствии с их различной пористостью. Для пековых коксов содержание связующего составляло 15%, для нефтяных 16%. Смешивание шихты, прессование и обжиг производили при равных параметрах для всех видов коксов. Результаты физико-химических испытаний представлены в табл. 2.
Обожженные образцы на основе пековых коксов характеризуются меньшей пористостью, более высокими значениями кажущейся плотности, их электропроводность, механическая прочность, теплопроводность и модуль упругости также выше, чем у образцов из нефтяных коксов.
В то же время химическая стойкость в среде углекислого газа у образцов на основе пековых коксов с действительной плотностью 2,00 и 2,02 г/см3 значительно ниже, чем у образцов на основе пермского и ангарского коксов. Однако при плотности 1,98 г/см3 для смеси коксов ИркАЗа и 1,99 г/см3 для кокса ЮАР показатели стойкости приближаются к значениям нефтяных коксов.
Повышенную химическую активность образцов на основе смеси пековых коксов ИркАЗа можно объяснить относительно высоким содержанием отдельных элементов в зольных примесях, характером поровой структуры, высоким коэффициентом термического линейного расширения (КТЛР) самих коксов, который повышался с ростом действительной плотности коксов. Ранее было установлено [4], что чем выше КТЛР, тем интенсивнее протекает процесс образования микротрещин на границе «кокс-наполнитель— кокс из связующего», что повышает реакционную способность материала.
Отрицательное влияние зольных примесей наиболее ярко проявилось на примере нефтяного кокса СПЗ «Сланцы». При высокой зольности и сравнительно большом содержании натрия, образцы имели самую высокую реакционную способность в токе СО2.
На основании полученных данных можно сделать вывод, что температура прокалки для пековых коксов не должна быть высокой и обеспечивать действительную плотность не выше 1,98 г/см3. В этом случае обожженные аноды могут иметь не только хорошие электромеханические свойства, но и удовлетворительные показатели химической стойкости.
Специалистами R&D Carbon было определено значительное влияние на величину показателя химической стойкости поверхностных свойств пылевой фракции, а также ее количества в так называемой «связующей матрице» [5]. В связи с этим на пятом этапе была исследована возможность повышения химической стойкости образцов за счет оптимизации свойств и состава «связующей матрицы».
Таблица 2
Физико-химические свойства обожженных образцов на основе пековых и нефтяных коксов
Наименование </дейст кокса кокса, г/см3 |
«каж? «деист г/см3 обр., Г/СМ3 |
УЭС, мкОм'м | Мех. прочность, кг/см2 | Порис тость, % |
ТКЛР, ю-6 к- |
, Теплопро- '* ВОДНОСТЬ, Вт/(м • К) |
Модуль упругости, ГПа | Стойкость в среде СОг | |||
| общая раз-рушаемость, мг/(см2 • ч) | остаток, % |
осыпаемость, % | |||||||||
| Нефтяной | 2,02 | 1,51 2,04 | 92,0 | 362 | 26,6 | 2ЛЗ | 1,32 | 5,5 | 2Д2 | 88.0 | L2 |
| кокс Перм- | 2,05 | 1,53 2,06 | 86,1 | 308 | 25,4 | 3.86 | 1,68 | 6,1 | 31.9 | 87.5 | 2Л |
| ского НПЗ | |||||||||||
| 2,07 | 1,53 2,08 | 85,2 | 327 | 25,3 | 3.63 | 1,70 | 6,2 | 25.7 | 89.5 | L2 | |
| Нефтяной | 2,02 | 1,53 2,05 | 84,8 | 299 | 24,7 | 3J5. | 2,13 | 5,9 | 31.8 | 8L5 | Цг |
| кокс Ан- | 2,05 | 1,53 2,06 | 81,1 | 279 | 24,9 | 3J4 | 1,60 | LQ | 2L4 | 89.0 | L5 |
| гарского | |||||||||||
| НПЗ | 2,07 | 1,53 2,08 | 76,6 | 287 | 26,4 | 3.81 | 2,03 | 2Д | 27.4 | 89.0 | 1Л |
| Нефтяной | 2,03 | 1,53 2,06 | 80,2 | 302 | 25,8 | 3.25 | 2,27 | 6,0 | 125,8 | 49,0 | 18,8 |
| кокс СПЗ «Сланцы» | 2,07 | 1,55 2,07 | 77,0 | 299 | 25,6 | 3.98 | 1,96 | 6,6 | 119,8 | 51,0 | 17,3 |
| Смесь | 1,98 | 1.55 2,02 | 73,7 | 328 | 23Д | 5,04 | 2Л5_ | 8Л | 47,7 | 81,5 | 4,3 |
| пековых | 2,00 | 1.56 2,03 | 65,5 | 300 | 23.0 | 5,06 | 2.38 | 2Л | 95,6 | 60,0 | 13,9 |
| коксов | |||||||||||
| ИркАЗа | 2,02 | 1.55 2,01 | 68,5 | 386 | 21Z | 5,08 | 2,62 | L2 | 68,1 | 75,5 | 9,0 |
| Пековый | 1,99 | 1.56 2,00 | 51.7 | 444 | 20.9 | 6,82 | 3.16 | L5 | 48,0 | 82,0 | 5,8 |
| кокс про- | |||||||||||
| изводства | |||||||||||
| ЮАР | |||||||||||
Примечание: жирным шрифтом выделены значения, определяющие ухудшение эксплуатационных свойств анодов, подчеркнутым — улучшение эксплуатационных свойств, курсивом выделены средние значения
Для определения влияния состава «связующей матрицы» на свойства обожженных образцов использовался пековый кокс производства ЮАР, из которого готовили две пылевые фракции с удельной поверхностью 3500 и 4500 м2/г. Соответственно на их основе готовили анодную массу с гранулометрическим составом шихты, аналогичным составу предыдущего этапа. Содержание пылевых фракций (меньше 0,16 мм) изменяли от 25 до 45% (через каждые 5%) при постоянной дозировке связующего 15%. Далее образцы подготавливали для лабораторных испытаний по схеме, описанной в предыдущем этапе.
При очистке образцов после обжига отмечено прикок-совывание засыпки при дозировках пыли 25—35%, что
Таблица 3
Физико-химические свойства лабораторных образцов на основе пекового кокса (15% связующего)
| № Удельная | Содержание в (1,^, | "деист» | Пористость, | Механи- | УЭС, | Стойкость в среде СОг | |||
| поверхность пылевой фракции*, | шихте пыле- г/см3 вой фракции < 0,16 мм, % | Г/СМ3 | % | ческая прочность, МПа | мкОм'м | общая разру-шаемость, мг/(см2 • ч) | остаток, % |
осыпаемость, % |
|
| М2/Г | |||||||||
| 1 3500 | 25 | ,49 | 1,98 | 24,7 | 44,8 | 47,6 | 50,1 | 79,0 | 9,2 |
| 2 | 30 | ,49 | 1,97 | 24,4 | 45,9 | 49,3 | 40,0 | 83,0 | 4,5 |
| 3 | 35 | ,50 | 1,97 | 23,9 | 45,8 | 48,7 | 44,6 | 81,0 | 6,5 |
| 4 | 40 | ,50 | 1,97 | 23,9 | 41,0 | 49,7 | 45,3 | 82,0 | 6,0 |
| 5 | 45 | ,51 | 1,97 | 23,4 | 41,1 | 50,0 | 44,8 | 82,0 | 5,8 |
| 6 4500 | 25 | ,52 | 1,97 | 22,8 | 34,0 | 50,0 | 41,8 | 82,5 | 5,3 |
| 7 | 30 | ,52 | 1,98 | 23,2 | 39,0 | 49,6 | 33,6 | 85,0 | 3,5 |
| 8 | 35 | ,54 | 1,98 | 22,2 | 36,3 | 50,0 | 33,9 | 85,0 | 3,1 |
| 9 | 40 | ,56 | 1,97 | 20,8 | 43,3 | 49,7 | 40,5 | 83,0 | 5,2 |
| 10 | 45 | ,57 | 1,98 | 20,7 | 32,2 | 49,9 | 34,8 | 85,0 | 2,2 |
Примечание: жирным шрифтом выделены значения, приближенные к результатам на основе Пермского и Ангарского
нефтяных коксов
* По мнению научного консультанта и редакции цифры завышены.

поверхность пыли оказали на величины кажущейся плотности, пористости, механической прочности и реакционной способности в СО2.
Исследования показывают преимущество пыли с удельной поверхностью 4500 м2Д по сравнению с пылью, удельная поверхность которой 3500 м2/г. Начиная с дозировки пылевой фракции 30%, обожженные образцы имеют более высокую кажущуюся плотность, меньшую пористость и меньшую разрушаемость в токе СО2, при том же удельном электросопротивлении (УЭС). Хотя механическая прочность образца из более дисперсной пыли и снижается, полученные значения характеристик отвечают требованиям действующих ТУ и зарубежных стандартов на обожженные аноды (не менее 320 кг/см2).
Главной задачей данного этапа исследования являлось изучение возможности снижения разрушаемости образцов на основе пекового кокса в токе СО2. И как видно из графиков лучшие характеристики были достигнуты при содержании в составе «связующей матрицы» пыли 30— 35% с удельной поверхностью 4500 м2/г, при этом по уровню свойств сформованные образцы приблизились к образцам на основе нефтяных коксов.
Данные исследования позволяют сделать вывод, что производство обожженных анодов на основе пекового кокса вполне возможно, при специальной подготовке кокса и определенном составе связующей матрицы.
Список литературы
1. Обзор рынка нефтяного кокса в России и странах СНГ и перспективы его развития до 2008 года. ООО «ИНФОМАЙН РЕСЕЧ», 2004, 86 с.
2. Шеррюбле В.Г., Селезнев АН. Пековый кокс в углеродной промышленности. Челябинск: Издатель Татьяна Лурье, 2003, 296 с.
3. Красюков А.Ф. Нефтяной кокс. М.: Химия, 1966, 264 с.
4. Лазарев В.Д., Янко Э.А., Анохин Ю.М. и др. Цвет, металлы, 1982, № 1, с. 49-50.
5. Meier M.W., Fischer W.K., Perruchoud R.C. Light Metals, 1994, p. 685-694.