| Скачать .zip |
Реферат: Синтез цифровой системы управления
1. Что такое момент инерции?
Отношение вращающего момента к угловой скорости.
2. Что такое передаточная функция?
Отношение выходного сигнала к входному.
3. Что такое переходная функция?
Реакция системы на единичный ступенчатый импульс.
3. Что такое весовая функция?
Реакция системы на функцию Дирака (единичный импульс в бесконечность).
4. Определение наблюдаемости.
Система наблюдаема если нет двух одинаковых начальных условий, которые приводят систему к одному и тому же конечному состоянию.
5. Определение управляемости.
Система управляема если выбором соответствующего управляющего воздействия её можно из любого начального состояния перевести в любое конечное состояние за конечное время.
6. Зачем надо проверять на наблюдаемость и управляемость.
Если мы проверим систему на наблюдаемость, а она не наблюдаема то мы не сможем потом выбрать управляющее воздействие, так как мы выбираем его после оценки состояния системы (в наблюдателе), а если она не наблюдаема, то мы и не можем его выбрать.
А если система не управляема, то мы соответственно не можем ею управлять, а нас это не устраивает.
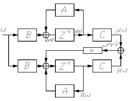
7. Где на схеме замкнутой системы наблюдатель, а где сам объект?
Верху сам объект, а снизу наблюдатель. И вообще всюду, где стоят над переменными тильды (волнистые линии), то это относится к наблюдателю, все остальное к объекту.
8. От чего зависит управление?
Управление зависит от переменных состояния системы:
Объясняется
это тем, что на
регулятор мы
подаем именно
переменные
состояния, а
на его выходе
получаем управляющее
воздействие,
которое мы
потом подаем
на объект: U=-RX. Где
R-матрица регулятора.
9. Где на схеме оценка состояния?
Всюду где стоят над переменными тильды, то это относится к наблюдателю, все остальное к объекту. А наблюдатель и дает нам оценку состояния.
10. Зачем находим матрицу Acr и Ach?
Матрицу Acr находим для того, что бы посмотрев её в 3й степени убедиться что, переходный процесс в объекте заканчивается за 3 такта (отсюда и третья степень).
Матрицу Ach находим для того, что бы посмотрев её в 3й степени убедиться что, переменные состояния совпадают с их оценкой.
11. Что связывает матрица A0?
Она
связывает
вектор XX который
равен:
,
где
и
.
Так вот она связывает этот вектор на ком шаге и этот же вектор на к+1 шаге, т.е.:
XX(k+1)=A0XX(k), (*)-запомните что это уравнение звездочка.
12. Как с помощью матрицы A0 получить таблицу?
Мы знаем начальные данные:
0
wноминальная
iноминальный
0
0 (последние три цифры это начальное состояние наблюдателя)
0
Так вот: зная эти начальные данные (они на нулевом такте, т.е. при к=0), подставляем их в уравнение (*)(да это именно то уравнение которое вы должны были запомнить), получаем значение вектора XX на к+1 такте, т.е. в нашем случае на 1 такте, и так далее по кругу, вычисляем значения вектора XX на всех тактах и видим что за 6 тактов процесс полностью заканчивается.
13. Как написать передаточную функцию по дифуру?
Передаточная функция представляет собой дробь, числитель которой получается путем замены производных степенями р в правой части дифура, а знаменатель - в левой.
14. Как по передаточной функции найти выходной сигнал зная входной?
Выходной сигнал получается так:
его амплитуда равна амплитуде входного сигнала домноженного на модуль передаточной функции на частоте входного сигнала.
а к фазе входного сигнала надо прибавить значение фазовой характеристики, опять же на частоте входного сигнала.
(это всё справедливо для синусоидального входного сигнала).
15. Если матрица R=(1 2 3) то чему будет равно управляющее воздействие?
Оно равно:
U=-R*X т.е. в нашем случае: U=-(1 2 3)*X.
16. Почему изображение переходной функции мы получаем деля изображение передаточной на р.
Потому что изображение единичной ступеньки (а как уже говорилось, переходная функция есть реакция на единичную ступеньку) равно 1/p.
17. Как построили структурную схему объекта зная уравнения?
Начинаем строить её с нижнего дифура.
Принцип таков:
Берем три входных сигнала u, w, i, пропускаем через звенья с передаточными коэффициентами равными коэффициентам перед ними в дифуре, суммируем их, смотрим что получилось если производная то пропускаем сигнал через интегратор, получаем сам сигнал, далее соединяем ветви с одинаковыми сигналами. Так делаем со всеми дифурами, в итоге получаем вход, куда мы подаем U, и выход - y.
18. За сколько тактов заканчивается переходный процесс при выборе матрицы управления?
Он заканчивается за минимальное число тактов, которое равно порядку системы, в нашем случае - 3.
19. А за сколько тактов состояние наблюдателя совпадет с состоянием объекта?
20. А почему переходный процесс в замкнутой системе с наблюдателем и регулятором заканчивается за 2n тактов?
Потому что там уже есть и наблюдатель и система, а состояние наблюдателя совпадет с состоянием объекта через три такта, а переходный процесс в объекте закончиться еще через три такта, вот и получили 3+3=6 тактов.
21. Что такое ранг матрицы?
Это порядок наибольшего минора определитель которого не равен нулю.
1. Составить структурную схему объекта управления.
Исходные данные:
|
Номер варианта |
15 |
|
Модель |
ДПМ-12А |
|
Мощность, Вт |
- |
|
Напряжение, В |
14 |
|
Ток, А |
0,11 |
|
Скорость вращения, об/мин |
6000 |
|
Вращающий момент, Нм |
0,0018 |
|
Момент инерции, кгм2 |
0,003 |
|
Сопротивление, Ом |
28 |
|
Индуктивность, Гн |
- |
Объект управления – электрический привод с двигателем постоянного тока, описываемый уравнениями:
уравнение электрической цепи двигателя:
![]()
уравнение моментов:
![]()
уравнение редуктора:
![]()
где:
- напряжение
на якоре двигателя.
- ток якоря.
- ЭДС вращения.
- момент,
развиваемый
двигателем.
- угол
поворота вала
двигателя.
- угол
поворота вала
редуктора.
- угловая
скорость.
- коэффициент
передачи редуктора.
- сопротивление
и индуктивность
якоря.
- конструктивные
параметры
двигателя.
- момент
инерции.
![]()
Рассчитаем коэффициенты К1, К2:
![]()
![]()
![]()
Найдем индуктивность якоря:
![]()
Запишем систему уравнений описывающих систему:

Структурная схема объекта управления:

Система дифференциальных уравнений в форме Коши:

где:

2. Определить передаточную функцию объекта управления.
Из написанной выше системы выразим:
![]()
далее:

Передаточная функция:
![]()
![]()
после подстановки:

после подстановки моих значений:
![]()
;
;
![]()
т.к.
,
то представим
передаточную
функцию в виде:
![]()
![]()
3. Построить логарифмические и переходные характеристики объекта.
Изображение переходной характеристики:
![]()
Воспользовавшись программой RLT.EXE (обратное преобразование Лапласа), получаем оригинал переходной характеристики:
![]()
График переходной функции.

4. Составить уравнения состояния непрерывного объекта.



;
![]()
5. Определить период квантования управляющей ЦВМ.
Воспользовавшись программой, которая помогает построить переходную характеристику, получаем время переходного процесса:
![]()
а соответственно период квантования центральной ЦВМ составит:
![]()
Получили
большое время
дискретизации,
для того, что
бы в расчетах
воспользоваться
программой
SNT2.EXE уменьшим
его до:
![]()
6. Составить уравнения состояния дискретной модели объекта.



Матрица управляемости дискретной модели объекта:
![]()
в числах:

![]()
т.е. система полностью управляема.
Матрица наблюдаемости дискретной модели объекта:

в числах:

![]()
т.е. система полностью наблюдаема.
7. Рассчитать параметры цифрового регулятора состояния.
Матрица управления из условия окончания переходного процесса за минимальное число тактов:
![]()
где:
![]()
в числах:
![]()
8. Рассчитать параметры оптимального быстродействию наблюдателя состояния и составить его структурную схему.
Вектор обратной связи наблюдателя:

Структурная схема наблюдателя:

9. Записать уравнения состояния замкнутой цифровой системы и составить её структурную схему.
Уравнения состояния наблюдателя:


Структурная схема замкнутой цифровой системы, с наблюдателем:


Матрица замкнутой системы с регулятором состояния:

![]()
Если
посмотреть
матрицу
то увидим, что
она очень мала,
т.е. за три такта
процесс полностью
устанавливается.
Собственная матрица наблюдателя:

![]()
Если
посмотреть
матрицу
то увидим, что
она очень мала,
т.е. за три такта
процесс полностью
устанавливается.
Вектор состояния замкнутой системы с регулятором и наблюдателем:

где:
- переменные
состояния
объекта.
- переменные
состояния
наблюдателя.
![]()

Матрица замкнутой системы с регулятором состояния и наблюдателем:

![]()
10. Рассчитать и построить графики сигналов в цифровой системе с наблюдателем и регулятором состояния.
Вектор начальных условий:
![]()
![]()
![]()
![]()
Решение уравнений состояния представим в виде таблицы:
|
|
|
|
|
|
|
|
|
|
0 |
0 |
628,3 |
0,11 |
0 |
0 |
0 |
0 |
|
1 |
25 |
0 |
630 |
0 |
-0,36 |
0 |
0 |
|
2 |
50 |
49 |
630 |
610 |
-0,34 |
-0,059 |
-5,6105 |
|
3 |
36 |
36 |
-1,4103 |
-1,4103 |
-1,7104 |
-1,7104 |
3,6105 |
|
4 |
2,8 |
2,8 |
-170 |
-170 |
1,2104 |
1,2104 |
3,3104 |
|
5 |
0,058 |
0,058 |
-4,7 |
-4,7 |
520 |
520 |
710 |
|
6 |
0 |
0 |
0 |
0 |
0 |
0 |
0 |
Графики
сигналов в
цифровой системе
с наблюдателем:






