| Скачать .docx |
Реферат: Полистирол и ударопрочный полистирол
1.Характеристика исходного вещества
Полистирол и ударопрочный полистирол получают полимеризацией стирола в массе.
Стирол(винилбензол, фенилэтилен),
- бесцветная жидкость со своеобразным запахом.
Некоторые физические свойства:
Стирол смешивается с большинством органических растворителей, с низшими спиртами, ацетоном, эфиром, сероуглеродом; в многоатомных спиртах растворим ограниченно. В смеси с воздухом в объемных концентрациях 1,1 – 6,1% образует взрывоопасные смеси. Стирол легко полимеризуется и сополимеризуется с большинством мономеров по радикальному и по ионному механизмам. В промышленности стирол получают несколькими способами:
1. Дегидрированием этилбензола в присутствии окисных катализаторов следующего
состава: (
-18,4 %; MgO-72,0 %; 2
-4,6 %)

2. В присутствии п- дивинилбензола при полимеризации стирола происходит сшивание
линейных макромолекул ПС, в результате чего получается неплавкий и нерастворимый продукт сетчатого строения, который не поддаѐтся переработке. Нежелательной примесью является этилбензол, который при выделении из ПС вызывает его растрескивание и потускнени
3.Из бензола и этилена жидкофазным методом в присутствии AlCl3 в качестве катализатора.

4.Реакция алкилирования протекает не только с образованием моноалкилбензола, но и
полиалкилбензолов. Очистку сырого этилбензола производят ректификацией, особенно
важно из него удалить п- дивинилбензол.

Описание полистирола
Полистирол – термопластичный полимер преимущественно линейного строения с формулой[-СН2 -С(С6 Н5 )Н-]n и структурной формулой:

Полистирол – прозрачное стеклообразное вещество, молекулярная масса 30-500 тыс., плотность 1,06 г/см3 (20 °С), температура стеклования 93°С.
Для полистирола характерно коптящее пламя с цветочным сладковатым запахом (Этот запах корицы обычно можно обнаружить, уколов исследуемый предмет раскаленной иглой). Если к тому же предмет падает на пол с металлическим звоном то, скорее всего полистирол.
Полистирол – дешёвый крупнотоннажный термопласт; характеризуется высокой твёрдостью, хорошими диэлектрическими свойствами, влагостойкостью, легко окрашивается и формуется, химически стоек, растворяется в ароматически и хлорированных алифатических углеводородах. Лучшими эксплуатационными свойствами обладают различные сополимеры стирола.
Получение полистирола
В присутствии п- дивинилбензола при полимеризации стирола происходит сшивание
линейных макромолекул ПС, в результате чего получается неплавкий и нерастворимый
продукт сетчатого строения, который не поддаѐтся переработке. Нежелательной примесью
является этилбензол, который при выделении из ПС вызывает его растрескивание и
потускнение.

Затем активные частицы активируют следующие молекулы стирола II соединяются с ними, образуя цепь (следующая стадия):

Рост цепи прекращается, если соединяются две растущие цепи или если к растущей цепи присоединяется другой остаток, например фрагмент катализатора. Эта стадия называется обрывом цепи:

Упрощенная формула полистирола имеет вид:

2.Основные реакции синтеза
Синтез ВМС осуществляют путем реакций полимеризации и поликонденсации. Различие этих процессов заключается в том, каким образом происходит формирование макромолекул. Основным отличием является то, что в поликонденсации есть молекулы, которые имеют по две функциональные группы, в результате выделяется молекула воды.
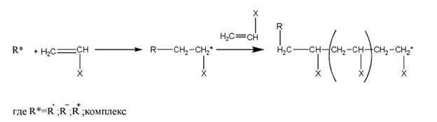
1. Реакция полимеризации – рост каждой макромолекулы происходит в результате
последовательного присоединения молекул мономера к активному центру, локали-
зованному на конце растущей цепи. При этом реакционный центр регенерируется в
каждом акте роста. Применительно к непредельным мономерам процесс полимери-
зации можно выразить следующей схемой:

2. В поликонденсации рост макромолекул происходит путем химического взаимодей-
ствия исходных молекул друг с другом, с реакционноспособными группами n-
меров, накапливающихся в ходе реакции конденсации, а также молекул n-меров
между собой. В поликонденсации реакционный центр гибнет в каждом акте роста,
а развитие цепи происходит за счет реакции замещения, сопровождающейся или не
сопровождающейся отщеплением низкомолекулярных продуктов:

СИНТЕЗ ПОЛИСТИРОЛА В ПРИСУТСТВИИ ДИ-ТРЕТ.БУТИЛАМИНА И ГИДРОПЕРОКСИДА ТРЕТИЧНОГО БУТИЛА
Псевдоживая полимеризация по механизму обратимого ингибирования явля-
ется одним из наиболее значительных явлений в химии высокомолекулярных со-
единений последних десятилетий. Анализ реакционной способности
исследуемых соединений и известных литературных данных позволяет
обоснованно предположить протекание в процессе полимеризации стирола сле-
дующих реакций:


Увеличение скорости полимеризации стирола в присутствии ди-
трет.бутиламина по сравнению с процессом без добавки может быть связано с
образованием в системе алкильных радикалов.
3. Структура полимера
Первичные ламели имеют значительную поверхностную энергию, поэтому происходит их агрегация, приводящая к образованию монокресталов - более сложных надмолекулярных образований. При кристаллизации из расплава или концентрированного раствора полимера наиболее общего типа вторичного кристаллического образования является сферолит (рисунок 3), имеющий кольцевую или сферическую форму и достигающую гигантских размеров до 1см. В радикальных или сферических сферолитах каркас формируется из ленточных, кристаллических образований направленных от центра к периферии [6].

Рисунок 3 – Надмолекулярная структура полимеров:
г) сферолитная лента (изотактический полистирол)
Конфигурация макромолекулы
Конфигурация – порядок расположения химических связей, соединяющих атомы или
атомные группы в макромолекуле.
Конфигурация формируется в процессе синтеза и не может быть нарушена иным обра-
зом, как разрушение химических связей.
Конформация макромолекул
Конформация – это форма, которую приобретают макромолекулы данного конфигураци-
онного состава под действием теплового движения или физических полей.
Виды конформации :
· Конформация транс-зигзаг
· Конформация "клубок"
· Конформация "глобула"
· Конформация "спираль"
· Конформация "складка"
Полученные обычным способом поливинилхлорид, поливинилфторид и полистирол обладают гораздо меньшей степенью кристалличности и имеют более низкие температуры плавления; у этих полимеров физические свойства сильно зависят от стереохимической конфигурации. Полистирол, полученный методом свободнорадикальной полимеризации в растворе, является атактическим. Этот термин означает, что если ориентировать углеродные атомы полимерной цепи, придав ей, правильную зигзагообразную форму, то фенильные боковые группы окажутся распределенными случайным образом по одну и по другую сторону вдоль цепи (как это показано на рисунке 4). При полимеризации стирола в присутствии катализатора Циглера образуется изотактический полистирол, отличающийся от атактиче-ского полимера тем, что в его цепях все фенильные группы расположены по одну или по другую сторону цепи. Свойства атактического и изотактического полимеров различаются весьма существенно. Атактический полимер можно формовать при значительно более низких температурах, и он растворим в большинстве растворителей намного лучше изотактического. Существует много других типов стереорегулярных полимеров, один из которых назван синдиотакти ческим; в цепях этого полимера боковые группы расположены попеременно то по одну, то по другую сторону цепи, как это показано на рисунке 4 .

Рисунок 4 – Конфигурации атактического, изотактического и синдиотактического полистирола
4. Молекулярная масса. Молекулярно- массове распределение (ММР)
Молекулярная масса является мерой длины молекулы для полимеров
M n = m 0 * P n
m0 – масса одного составного звена
Pn – степень полимеризации
Молекулярная масса полистирола равно примерно 30-500 тыс.
Молекулярно- массовое распределение (ММР)
Вводят функции распределения по молекулярным массам
Существуют дифференциальные и интегральные функции распределения.
Их, в свою очередь, подразделяют на числовые и весовые.
Дифференциальное распределение - описывает долю от общего числа ве-
щества или от общего веса макромолекул с ММ в интервале от М i до M i +dM.
Интегральное распределение – долю от общего количества/веса вещества,
приходящуюся на молекулы с ММ в интервале от массы мономера до М i (массы
полимера на i-степени превращения)
Числовая ММР – отношение числовой доли dn молекул, имеющих массу М в ин-
тервале M+dM, к значению этого интервала:
![]()
Аналогично, весовая ММР:
![]()
Для промышленного полистирола ММР будет равен 2 – 4 (в зависимости от условий получения)
Для полистирола существуют критические величины молекулярной массы выше которых прочность при растяжении и относительное удлинение мало зависят от молекулярной массы.Молекулярная масса и ММР полимера определяются температурой и мало зависят от степени превращения мономера. Это объясняется превалирующим влиянием реакции передачи цепи на мономер из всех реакций ограничения роста цепей. При изотермическом режиме удается получить полистирол с найболее узким ММР. Регулирование молекулярной массы и ММР позволяет получить полистирол с заданным индексом расплава.
5. Химические превращения полимера
В химии полимеров различают следующие типы химических реакций:
1. Реакции деструкции
2. Реакции сшивания
3. Реакции функциональных групп
Реакции деструкции
Реакциями деструкции называю реакции, протекающие с разрывом химических связей в главной цепи макромолекулы. В зависимости от типа химической связи (Ковалентной или ионной) возможны три механизма деструкции полимеров: радикальный, ионный и ионно-радикальный. При наличии ковалентной связи между атомами главной цепи разрыв макромолекулы протекает с образованием свободных макрорадикалов.

В зависимости от природы агента, вызывающего разрыв связей в цепи, различают физическую и химическую деструкцию. Физическая деструкция подразделяется на термическую, механическую, фотохимическую и деструкцию под влиянием ионизирующего излучения, Химическая деструкция протекает под действием различных химических агентов. Наиболее важными видами химической деструкции являются окислительная деструкция, гидролиз, алкоголиз, ацидолиз, аминолиз.
Реакции сшивания
Реакциями сшивания (структурирования) называют реакции образования поперечных химических связей между макромолекулами, приводящие к получению полимеров сетчатого строения. Реакции могут протекать в процессе синтеза полимеров, а также при переработке уже полученных линейных полимеров. При синтезе полимеров сшивание цепей в большинстве случаев не желательно, так как при Этом получаются нерастворимые и не плавкие продукты, которые трудно извлечь из реактора. Поэтому полимеризации и поликонденсации обычно получают полимеры линейного или разветвленного строения. При изготовлении из таких полимеров изделий часто специально проводят реакции сшивания(структурирования). В резиновой промышленности эти реакции называются вулканизацией, в промышленности пластических масс – отверждением. Такие реакции могут протекать при нагревании или при действии ионизирующих излучений. Сшивание полимеров под влиянием ионизирующих излучений называется радиационным сшиванием.
Реакции функциональных групп
Многие полимеры нельзя получить путем полимеризации или поликонденсации непосредственно из низкомолекулярных соединений потому, что исходные мономеры неизвестны, или потому что они не полимеризуются. Поэтому особое значение приобретает синтез полимеров из других высокомолекулярных соединений, содержащих реакционноспособные группы. Для проведения этого синтеза условия реакции должны подбираться так, чтобы предотвратить возможность деструкции молекулярных цепей. Тогда в результате химических превращений происходит изменение химического состава полимера без существенного уменьшения степени полимеризации. Такие реакции были названы Штаундингером Полимераналогичными превращениями. Очень интересна реакция получения высокомолекулярных соеденений, содержащих щелочные и щелочноземельные металлы, например синтез поли-n-литийстирола. Сначала изотактический кристаллический полистирол превращают в поли-n-иодстирол, который, реагируя с бутиллитием, образует поли-n-литийстирол:

Таким образом, полимераналогичные превращения дают возможность создавать новые классы полимеров и в широком диапазоне изменять свойства и области применения готовых продуктов.
6. Деструкция и старение
Полистирол стоек к действию щелочей и галогеноводных к-т, разрушается конц. азотной и ледяной уксусной кислотами. Легко окрашивается в различные цвета.
Термическая деструкция полистирола протекает с заметной скоростью при температурах несколько выше 260 °С, термоокислительная деструкция начинается около 200 °С; процессы сопровождаются выделением мономера, пожелтением и снижением вязкости расплаваостатка. Механохимическая деструкцияв присутствии следов кислорода происходит уже при 160 °С; она также приводит к снижению вязкости и изменению ММР материала. Под действием УФ- лучей происходит помутнение и пожелтение полистирола, увеличивается его хрупкость. Для фотостабилизации полистирола используют люминофорные красители и другие стабилизаторы, которые вводят в полистирол при гранулировании.
7. Технологические свойства и области применения полимера
Существуют 2 основных вида полистирола полистирол общего назначения (GPPS), ударопрочный полистирол (HIPS)
Прозрачный полистирол (GPPS - General Purpose PolyStyrene) —неударопрочный материал. Используется в основном для внутреннего остекления, служит экономичной альтернативой оргстеклу.
HIPS (High Impact Polystyrene) обладает повышенной ударопрочностью, благодаря добавкам из бутадиенового или других специальных каучуков, которые обладают ударной вязкостью до 60-70 кДж/м2 . Его область применения довольна широка – наружная реклама, торговое оборудование, детали холодильников и так далие.
Полистирол общего назначения (GPPS)
Материал используется в основном для внутреннего остекления, служит экономичной альтернативой оргстеклу. Основные преимущества: влагоустойчивы, долговечны легкость в обработке, обладают великолепной оптической прозрачностью – 94 %, имеют хорошую гладкую поверхность, имеют низкую плотность, устойчивы к химическим воздействиям, обладают высокой жесткостью.
Экструдированный полистирол изготовляется в виде прозрачных, молочных, дымчатых, цветных листов. Изготавливаются антибликовые и декоративные листы с разнообразной фактурой. По специальному заказу листы полистирола могут производиться без УФ – стабилизации. Такие листы можно использовать в контакте с пищевыми продуктами, поскольку они отвечают всем действующим правилам использования материала в контакте с продуктами питания.
Прозрачный полистирол – хрупкий, ломкий и неударопрочный. В связи с этим возникают осложнения при хранении и транспортировке изделий из него. Помимо этого, для достижения необходимого светорассеивания приходится использовать листы с рифленой поверхностью, что зачастую не соответствует современному дизайну. Существенным недостатком ПС является и его низкая устойчивость к воздействию УФ-излучения. Однако полистирол является очень экономичным материалом.
Типичное применение: декоративные перегородки и ширмы защитное покрытие изображений остекление душевых кабин ценники подставки производство светильников все виды остекления внутри помещения и др.
Полистирол ударопрочный ( HIPS )
Ударопрочный полистирол высококачественный листовой материал, производится для процессов термо – или вакуумного формования. HIPS используется в производстве наружной рекламы, деталей холодильников, сантехники, игрушек, пищевой упаковки и тому подобное. Поверхность материала может быть глянцевой, матовой, гладкой или тисненой, с зеркальной поверхностью, различных цветов. Возможно изготовление листов методом соэкструзии. Это позволяет соединить два слоя различных цветов или добавить верхний слой с глянцевой поверхностью.
Ударопрочный полистирол обладает определенной эластичностью и тем самым расширяет возможность его использования при изготовлении светотехнических изделий сложной конфигурации с глубокой вытяжкой. Коэффициент светопропускания (35–38 %) и белизна полностью соответствуют существующим в России стандартам на светотехнические изделия.
Основные преимущества: повышенная ударопрочность слабая чувствительность к надрезам легкость морозостойкость до –40°С влагостойкость отличная формуемость легкость в обработке химическая стойкость к кислотам и щелочам
В своем «родном» состоянии полистирол представляет собой довольно хрупкий материал, непригодный для многих задач. Поэтому в производстве в исходное сырье добавляют специальные добавки, повышающие ударную прочность и гибкость, и таким образом получают ударопрочный полистирол. Одной из разновидностей ударопрочного полистирола является фреоностойкий полистирол, применяемый в производстве холодильного оборудования. Структура поверхности: матовая с обеих сторон или с одной стороны глянцевая (верхний глянцевый слой получают путем соэкструзии с полистиролом обшего назначения), тисненная. При необходимости лист с одной стороны обрабатывается коронным разрядом, на лист наносится защитная термоформуемая пленка. При наружном применении добавляется УФ-стабилизатор, обеспечивающий защиту от пожелтения под воздействием УФ-излучения.
Полистирол светотехнический является одной из разновидностей ударопрочного полистирола, полностью заменяет акриловое стекло при изготовлении конструкций с внутренней подсветкой. В отличие от оргстекла имеет только одну глянцевую поверхность. Высокая популярность светотехнического полистирола обуславливается большей ударной прочностью (по сравнению с акрилом), легкостью обработки, стойкостью к окружающей среде и меньшей стоимостью.
Ударопрочный полистирол является более экономичным вариантом по сравнению с оргстеклом из-за низкой плотности, а так же возможностью применения более тонких (2-3 мм) листов благодаря повышенной ударопрочности по сравнению с оргстеклом (3-5 мм), что обеспечивает экономию в 2 раза, из расчета на 1 кв. м. светорассеивателя .
Катушки, кассеты и бобины для магнитофонной ленты, цоколи радиоламп, облицовочные плиты, шкалы приборов, скобы и хомуты для крепления кабелей, аккумуляторные банки, ручки инструментов и приборов, пленки, абажуры, детали клемм, футляры, принадлежности для бритья, игрушки, посуда, плитки для отделки мебели, пудреницы, крышки для банок и бутылок, коробки, детали электрических выключателей, авторучки – этот перечень изделий из полистирола можно было бы продолжать еще долго. Применение полистирола очень разнообразно - от пленки в конденсаторах толщиной 0,02 мм до толстых плит из пенополистирола, используемых в качестве изоляционного материала в холодильной технике .
8. Экологические проблемы вызванные использованием данного полимера. Предложения по регенерации и утилизации
Начиная с 1960-х годов мировое производство полимеров удваивается через каждые пять лет, и эти темпы роста в соответствии с прогнозом сохраняется до 1990г. Одним из сопутствующих эффектов бурного развития промышленности полимеров является одновременное увелечение количества полимерных отходов. Так, в ФРГ они составили в 1977г. 1,2 млн т, в США отходы полимеров в 1980 году достигли 6,4 млн тонн. Изделия из пластмасс имеют разные сроки службы:
Упаковка и фотопленка – 1 год
Обувь и строительные материалы – 2 года
Игрушки – 5 лет
Спортивные товары – 6 лет
Кабель – 15 лет
Детали машин, посуда, мебель – 10-20 лет
Основным источником загрязнения окружающей среды становятся изделия с коротки сроком службы, главным образом тара и упаковки. Угроза такого загрязнения постепенно становится глобальной экологической проблемой. Полимерные отходы ни гниют, не разлогаются и засоряют не только землю, но и реки и морские побережья.
До начала 1970-х годов уничтожению полимерных отходов препятствовала устойчивость большинства многотоннажных полимеров к действию природных факторов – микроорганизмов, солнечного света и воды. Именно эта деградационная устойчивость большинства пластмасс побудила ученых к созданию специальных био- и фоторазлагаемых, а также водорастворимых полимерных материалов.
Такие широко применяемые полимеры как полиэтилен, полипропилен, полистирол и поливинил хлорид, в отличии от природных целлюлозы и каучука, которые могут ассимилироваться бактериями и грибками в процессе энзимологических реакций, обладают почти абсолютной стойкостью к микроорганизмам. Попытки сделать их биоразлагаемыми путем модификации различными функциональными группами не дают желаемого результата. Оказалось что полиэтилен становится «по зубам» микроорганизмам только в том случае, когда его молекулярная массауменьшена в 30-40 раз, тоесть практически в виде олигомера.
Перспективным путем придания этим полимерам биоразлагаемости может быть введением в них наполнителей, которые при определенных условиях служат источником питания микроорганизмов. Присутствие таких наполнителей приводит к ухудшению стойкости полимера по отношению к внешним воздействиям, что в конечном итоге способствует деструкции полимерных цепей и ассимиляции образующихся олигомерных фрагментов бактериями и грибками.
Список использованной Литературы:
1. А.А Тагер «Физико-химия полимеров» издательство второе 1968 г.
2. Лосев И.П «Химия синтетических полимеров»
3. Малкин А.Я.Полистирол. Физ. хим. основы получения и переработки. – М.: Химия, 1975 – 263 с.
4. Лекционный материал по химии
Содержание
1.Характеристика исходного вещества
2.Основные реакции синтеза
3. Структура полимера
4. Молекулярная масса. Молекулярно- массове распределение (ММР)
5. Химические превращения полимера
6. Деструкция и старение
7. Технологические свойства и области применения полимера
8. Экологические проблемы вызванные использованием данного полимера. Предложения по регенерации и утилизации
Национальный университет кораблестроения имени адмирала Макарова
Реферат на тему:
Выполнил студент группы 1161:
Бондарь Юрий Андреевич
Проверила:
Личко Елена Ивановна
Николаев 2010