| Скачать .docx |
Реферат: Основы химической термодинамики
1. Основные понятия термодинамики
Термодинамика - наука, изучающая взаимные переходы теплоты и работы в равновесных системах и при переходе к равновесию. Химическая термодинамика - раздел физической химии, в котором термодинамические методы применяются для анализа химических явлений: химических реакций, фазовых переходов и процессов в растворах.
Объект изучения термодинамики - термодинамические системы , т.е. макроскопические объекты, отделенные от окружающего пространства реальной или мысленной поверхностью. Системы бывают:
- открытые , в которых существует обмен энергией и веществом с окружающей средой;
- закрытые , в которых существует обмен энергией с окружением, но нет обмена веществом;
- изолированные , в которых нет обмена с окружением ни энергией, ни веществом.
Состояние системы описывают с помощью макроскопических параметров . Параметры бывают:
- внутренние
, которые определяются только координатами тел системы, например: плотность
или внутренняя энергия U
; - внешние , которые определяются координатами тел в окружающей среде, например, объем V (при фиксированном положении стенок сосуда) или напряженность электрического поля E ;
- экстенсивные , которые прямо пропорциональны массе системы или числу частиц, например, объем V , энергия U , энтропия S , теплоемкость C ;
- интенсивные
, которые не зависят от массы системы или числа частиц, например, температура T
, плотность
, давление p
. Отношение любых двух экстенсивных параметров является интенсивным параметром, например парциальный мольный объем V
или мольная доля x
.
Среди термодинамических параметров выделяют обобщенные силы
и обобщенные координаты
. Обобщенные силы описывают состояние равновесия. К ним относят давление p
, химический потенциал
, электрический потенциал
, поверхностное натяжение
. Обобщенные силы - интенсивные параметры.
Обобщенные координаты - это величины, которые изменяются под действием соответствующих обобщенных сил. К ним относятся объем V , количество вещества n , заряд e , площадь W . Все обобщенные координаты - экстенсивные параметры.
Состояние системы описывается также с помощью термодинамических функций , которые зависят от параметров. Различают:
- функции состояния , которые зависят только от состояния системы и не зависят от пути, по которому это состояние получено;
- функции перехода , значение которых зависит от пути, по которому происходит изменение системы.
Примеры функций состояния: энергия U , энтальпия H , энергия Гельмгольца F , энергия Гиббса G , энтропия S . Термодинамические параметры объем V , давление p , температуру T также можно считать функциями состояния, т.к. они однозначно характеризуют состояние системы. Примеры функций перехода: теплота Q и работа A .
Функции состояния характеризуются следующими свойствами:
- бесконечно малое изменение функции f является полным дифференциалом (обозначается df );
- изменение функции при переходе из состояния 1
в состояние 2
определяется только этими состояниями:
; - в результате любого циклического процесса функция состояния не изменяется:

.
Параметры системы могут зависеть или не зависеть от времени. В зависимости от этого различают следующие состояния термодинамических систем:
- стационарное , когда параметры системы не зависят от времени, но в системе есть потоки (например, массы или энергии);
- равновесное , когда параметры системы не зависят от времени и нет потоков;
- неравновесное , когда параметры системы зависят от времени.
Если хотя бы один из параметров системы меняется со временем, то говорят, что в системе происходит процесс . Процессы бывают:
- обратимые , когда переход системы из одного состояния в другое и обратно может происходить по одному и тому же пути, и после возвращения в исходное состояние в окружающей среде не остается макроскопических изменений;
- квазистатические , или равновесные , которые происходят под действием бесконечно малой разности обобщенных сил;
- необратимые , или неравновесные , когда параметры меняются с конечной скоростью.
Все выводы и соотношения термодинамики основаны на двух постулатах (исходных положениях) и трех законах (началах).
Первое исходное положение, или основной постулат термодинамики:
Любая изолированная система с течением времени приходит в равновесное состояние и самопроизвольно не может из него выйти.
Это положение ограничивает размер систем, которые описывает термодинамика. Оно не выполняется для систем астрономического масштаба и микроскопических систем с малым числом частиц. Системы галактического размера самопроизвольно не приходят в состояние равновесия благодаря дальнодействующим гравитационным силам. Микроскопические системы могут самопроизвольно выходить из состояния равновесия; это явление называют флуктуациями
. В статистической физике показано, что отклонение от положения равновесия имеет амплитуду порядка
, где N
- число частиц в системе. Таким образом, нижний предел для числа частиц в термодинамической системе - порядка 1018
.
Переход системы в равновесное состояние называют релаксацией . Основной постулат термодинамики ничего не говорит о времени релаксации. В классической равновесной термодинамике вообще нет времени . Термодинамика позволяет установить только возможность протекания процессов, но не может определить скорость этих процессов.
Второе исходное положение, или нулевой закон термодинамики описывает свойства систем, находящихся в состоянии теплового равновесия:
Если система А находится в тепловом равновесии с системой В, а та, в свою очередь, находится в равновесии с системой С, то системы А и С также находятся в тепловом равновесии.
Это свойство говорит о существовании особого интенсивного параметра, характеризующего состояние теплового равновесия. Этот параметр называют температурой . Системы, находящиеся в тепловом равновесии, имеют одинаковую температуру. Таким образом, нулевой закон - это постулат о существовании температуры.
Из нулевого закона следует, что при равновесии внутренние параметры системы являются функциями внешних параметров и температуры. Уравнение, связывающее внутренние параметры с внешними параметрами и с температурой, называют уравнением состояния термодинамической системы. В общем случае уравнение состояния имеет вид:
или
, где a
- совокупность внутренних параметров, b
- совокупность внешних параметров, T
- температура. Если внутренним параметром является давление, а внешним - объем, то уравнение состояния
(1.1) называют термическим
. Если внутренним параметром является энергия, а внешним - объем, то уравнение состояния
(1.2) называют калорическим
.
Если известны термическое и калорическое уравнения состояния, то с помощью законов термодинамики можно определить все термодинамические свойства системы, т.е. получить ее полное термодинамическое описание. Сами уравнения состояния нельзя вывести методами классической термодинамики, но их можно определить экспериментально.
Простейшее уравнение состояния описывает систему невзаимодействующих частиц точечного размера - идеальный газ:
, (1.3) где n
- количество вещества (в молях), R
- универсальная газовая постоянная:
R = 8.314 Дж/(моль. К) = 1.987 кал/(моль. К) = 0.0821 л. атм/(моль. К).
Для описания реальных газов, в которых частицы имеют конечные размеры и взаимодействуют друг с другом, используют более сложные уравнения состояния:
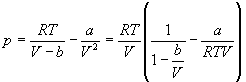
(уравнение Ван-дер-Ваальса)
(уравнение Бертло)
(I уравнение Дитеричи)
(II уравнение Дитеричи)
Все эти уравнения записаны для одного моля газа; величины a и b - индивидуальные постоянные газов.
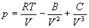
С высокой точностью поведение любого реального газа можно описать с помощью вириального разложения по степеням обратного объема:
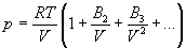
(1.4) или давления
, (1.5)
где Bi , Bi ' - i -ые вириальные коэффициенты, которые зависят от температуры.
Уравнение состояния идеального газа и вириальное уравнение состояния реального газа можно вывести методами статистической термодинамики.
Иногда уравнения состояния реальных газов записывают через так называемые приведенные переменные , которые определяют через параметры критического состояния газов: pr = p /p кр , Vr = V / V кр , Tr = T / T кр , где критические параметры определяются как координаты точки перегиба на изотерме реального газа:

ПРИМЕРЫ
Пример 1-1. Докажите, что при больших объемах уравнение Ван-дер-Ваальса переходит в уравнение идеального газа.
Решение . Уравнение Ван-дер-Ваальса:
.
При больших объемах вторым слагаемым в правой части можно пренебречь: a
/V
2
0. В знаменателе первого слагаемого можно пренебречь постоянной b
: V
-b
V
. В пределе получаем уравнение идеального газа:
.
Пример 1-2. Найдите вириальные коэффициенты Bi для газа, подчиняющегося уравнению Ван-дер-Ваальса.
Решение . В уравнении Ван-дер-Ваальса выделим сомножитель RT /V :

Если разложить первое слагаемое в скобке в ряд по степеням b /V , получим:

Из этого разложения следует, что второй вириальный коэффициент газа Ван-дер-Ваальса зависит от температуры:
, а остальные - постоянны:
.
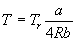
Пример 1-3. Найдите критические параметры и приведенное уравнение состояния для газа Дитеричи (I уравнение).
Решение . Запишем уравнение Дитеричи в виде:
![]()
и продифференцируем левую и правую часть этого уравнения два раза по объему при постоянной температуре:

и учтем, что в критической точке первая и вторая производная равны 0:
,
откуда находим:
.
Если продифференцировать обе части уравнения состояния по объему один раз с учетом равенства нулю первой производной, то можно найти второе соотношение между критическими объемом и температурой:
,
откуда
.
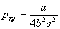
Подставляя сюда первое найденное соотношение для критических параметров, получим:
![]()
И, наконец, подставляя эти параметры в уравнение состояния, находим критическое давление:
.
Для вывода приведенного уравнения состояния подставим в уравнение Дитеричи приведенные переменные:
,
,
.
В результате получаем приведенное уравнение Дитеричи, не содержащее индивидуальных параметров:
.
ЗАДАЧИ
1-1. Приведите пример термодинамического процесса, который может совершаться как обратимо, так и необратимо. Назовите для этого процесса по одной функции состояния и перехода.
1-2. Приведите примеры систем со временем релаксации порядка: а) секунд; б) часов; в) десятилетий.
1-3. Изменение теплоты в зависимости от температуры и объема в некоторой системе описывается уравнением:
![]()
(C и R - постоянные). Является ли теплота функцией состояния в данном случае? Ответ обоснуйте.
1-4. Докажите, что при больших объемах первое уравнение Дитеричи переходит в уравнение идеального газа.
1-5.
Найдите частные производные
и
для: а) идеального газа; б) газа Ван-дер-Ваальса; в) газа, подчиняющегося I уравнению Дитеричи. Докажите, что
.
1-6. Используя вириальные разложения (1.4) и (1.5), найдите связь между вириальными коэффициентами B 2 , B 3 и B 2 ', B 3 '.
1-7. Найдите критические параметры и приведенные уравнения состояния для газов: а) Ван-дер-Ваальса; б) Бертло.
1-8. Предложено следующее уравнение состояния (для одного моля):
![]()
Выразите критические параметры через постоянные B и C и найдите фактор сжимаемости PV /RT в критической точке.