| Скачать .docx |
Курсовая работа: Электрохимия и химическая кинетика
Курсовая работа
по физической химии
«Электрохимия и химическая кинетика»
Вариант № 9
Задача 1
Для реакции дана константа скорости омыления – К. Вычислить время, необходимое для омыления эфира, взятого в объёме V1 и концентрации С1 (н), если для омыления к указанному количеству эфира добавить:
а) V1 (м3 ) С1 (н) раствора NaOH;
б) V2 (м3 ) С2 (н) раствора NaOH;
в) V3 (м3 ) С3 (н) раствора NaOH
для случая, когда прореагируют 10, 20, 30, … N % эфира.
Построить графики зависимостей скорости реакции (степени превращения) от времени. Сделать вывод о влиянии исходной концентрации щелочи на скорость реакции.
![]()
| К | V1 | V2 | V3 | C1 | C2 | C3 | N |
| 5.31 | 0.25 | 0.30 | 0.20 | 0.20 | 0.50 | 0.15 | 60 |
Решение.
а) Считая указанную реакцию, реакцией II порядка, выразим из соответствующего кинетического уравнения время:
(1)
для случая, когда исходные концентрации обоих реагентов равны.
Поскольку исходная концентрация эфира равна: С0 =0,20, то для моментов времени, когда прореагирует 10, 20, 30 … 60% эфира, его концентрация будет составлять:
.
Тогда представим эти концентрации в виде таблицы:
| N, % | 10 | 20 | 30 | 40 | 50 | 60 |
| Ci | 0.18 | 0.16 | 0.14 | 0.12 | 0.1 | 0.08 |
Тогда соответственно время (рассчитанное по формуле 1), затрачиваемое на реакцию:
| Ci | 0.18 | 0.16 | 0.14 | 0.12 | 0.1 | 0.08 |
| 0.102 | 0.235 | 0.404 | 0.628 | 0.942 | 1.412 |
Степень превращения эфира равна:
![]()
Получим ряд значений степени превращения в соответствующие моменты времени:
| 0.102 | 0.235 | 0.404 | 0.628 | 0.942 | 1.412 | |
| 0,1 | 0,2 | 0,3 | 0,4 | 0,5 | 0,6 |
б) В этом случае исходные концентрация и объём эфира неодинаковы, поэтому необходимо воспользоваться кинетическим уравнением реакции II порядка для случая, когда вещества взяты в различных концентрациях:
(2)
где a – исходная концентрация эфира;
b – начальная концентрация щелочи;
x – кол-во прореагировавшего эфира;
Поскольку общий объём смеси равен V0 =V1 +V2 =0.25+0.30=0.55, то начальные концентрации эфира и щелочи будут, соответственно, равны:
;
.
Тогда:
.
Для значений N = 10…60% получим:
| N, % | 10 | 20 | 30 | 40 | 50 | 60 |
| 0,0091 | 0,018 | 0,027 | 0,036 | 0,046 | 0,055 |
Подставляя полученные значения а ,b и х в уравнение (2), получаем время, необходимое для того, чтобы прореагировало количество эфира, равное х :
| 0,0091 | 0,018 | 0,027 | 0,036 | 0,046 | 0,055 | |
| 0,074 | 0,16 | 0,26 | 0,381 | 0,529 | 0,717 |
Степень превращения эфира будет равна:
,
тогда:
|
0,074 | 0,16 | 0,26 | 0,381 | 0,529 | 0,717 |
| 0,1 | 0,2 | 0,3 | 0,4 | 0,5 | 0,6 |
в) Аналогично, поскольку исходные концентрации (и объёмы) реагентов не равны между собой, воспользуемся уравнением (2) для расчета времени реакции:
![]()
Общий объём реакционной смеси в этом случае равен: V0 =V1 +V3 =0.25+0.20=0.45
Тогда:
;
.
Тогда:
.
Для значений N = 10…60% получим:
| N, % | 10 | 20 | 30 | 40 | 50 | 60 |
| 0,011 | 0,022 | 0,033 | 0,044 | 0,056 | 0,067 |
Время реакции (согласно формуле 2):
| 0,092 | 0,202 | 0,337 | 0,509 | 0,739 | 1,073 |
Степень превращения эфира будет равна:
, тогда:
| 0,092 | 0,202 | 0,337 | 0,509 | 0,739 | 1,073 | |
| 0,1 | 0,2 | 0,3 | 0,4 | 0,5 | 0,6 |
По данным рассчитанных значений времени и степени превращения для каждого из трёх случаев, построим графики зависимости
:

Как видно из графиков и приведенных выше расчетов, наименьшее время, требуемое на реакцию, достигается при добавлении щёлочи объёмом, большим исходного объёма эфира и с концентрацией, большей концентрации эфира. Если объём и концентрация щёлочи будут меньше объёма и концентрации эфира, то на реакцию потребуется большее количество времени, при той же степени превращения. Набольшее же время требуется в случае, когда исходные концентрации и объёмы щелочи и эфира одинаковы.
Для построения графика зависимости скорости реакции от времени, найдём скорость реакции омыления эфира в соответствующие моменты времени, применяя кинетическое уравнение для реакции II порядка:
![]()
Получим значения скоростей:
· Для случая а):
| 0,212 | 0,172 | 0,136 | 0,104 | 0,076 | 0,053 | 0,034 | |
| 0 | 0.102 | 0.235 | 0.404 | 0.628 | 0.942 | 1.412 |
· Для случая б):
;
.
| СА | 0,091 | 0,082 | 0,073 | 0,064 | 0,055 | 0,045 | 0,036 |
| СВ | 0,273 | 0,264 | 0,255 | 0,246 | 0,237 | 0,227 | 0,218 |
| 0,1319 | 0,1148 | 0,0988 | 0,0836 | 0,0692 | 0,0542 | 0,0417 | |
| 0 | 0,074 | 0,16 | 0,26 | 0,381 | 0,529 | 0,717 |
· Для случая в):
| СА | 0,111 | 0,1 | 0,089 | 0,078 | 0,067 | 0,055 |
| СВ | 0,0667 | 0,0557 | 0,0447 | 0,0337 | 0,0227 | 0,0107 |
| 0,0393 | 0,0296 | 0,0211 | 0,014 | 0,0081 | 0,0031 | |
| 0 | 0,092 | 0,202 | 0,337 | 0,509 | 0,739 |
По данным сводных таблиц, построим графики зависимостей скорости реакции от времени.
Как видно из анализа графиков и расчётов скорости реакции в каждом из трёх случаев, наибольшая скорость реакции достигается в случае равных объёмов и концентраций исходных реагентов, меньшая скорость – в случае, когда объём и концентрация у щелочи, больше чем у эфира, наименьшая скорость – при условии, что щелочи добавляется меньше, чем эфира, и её концентрация меньше, чем у эфира.
Задача 2
По значениям констант скоростей К1 и К2 при двух температурах Т1 и Т2 определить:
1) Энергию активации указанной реакции;
2) Константу скорости реакции при температуре Т3 ;
3) Температурный коэффициент скорости; определить подчинённость правилу Вант-Гоффа;
4) Израсходованное количество вещества за время
, если исходная концентрация равна С0
;
5) Период полураспада.
Принять, что порядок реакции и молекулярность совпадают.
![]()
К1 =0,00203;
К2 =0,000475;
Т1 =298 К;
Т2 =288 К; Т3 =338 К;
;
С0 =0,93 моль/л.
Решение.
Приняв, что молекулярность реакции и ее порядок совпадают, будем считать, что данная реакция есть реакция II порядка, поскольку в ее элементарном акте участвуют две молекулы.
1. Согласно уравнению Аррениуса:
, выразив откуда энергию активации, получим:
, подставляя заданные значения констант и температур, найдём:
Дж/моль;
2. Выразим из уравнения Аррениуса константу скорости реакции:
, получим:
.
3. Согласно уравнению Вант-Гоффа:
, откуда температурный коэффициент равен:
Как видно, температурный коэффициент изменяется и не принадлежит интервалу от 2 до 4, из этого можно сделать вывод о несоответствии реакции правилу Вант-Гоффа.
4.
Применяя кинетическое уравнение реакции II порядка, можно найти количество вещества, которое было израсходовано за время
:
, откуда:
- текущая концентрация эфира.
Тогда найдем, сколько вещества прореагировало:
· при температуре 288 К:
;
· при температуре 298 К:
;
· при температуре 338 К:
.
5. Для нахождения периода полураспада воспользуемся следующей формулой (принимая порядок данной реакции – второй):
![]()
Тогда, пользуясь этой формулой, найдём период полураспада при каждой из трёх температур: 288, 298, 338 К, подставив соответствующие константы скорости:
· при температуре 288 К:
;
· при температуре 298 К:
;
· при температуре 338 К:
.
Задача 3
Используя данные о свойствах растворов вещества А в воде:
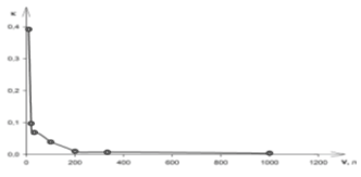
а) построить графики зависимости удельной и эквивалентной электрических проводимостей растворов вещества А от разведения V;
б) проверить, подчиняются ли растворы вещества А закону разведения Ост-вальда;
Вещество А: NH4 OH.
Зависимость сопротивления r раствора вещества А от концентрации с при 298 К:
| с, моль/л | r, Ом·м, для вещества А |
| 0,1 | 2,55 |
| 0,05 | 10,3 |
| 0,03 | 14,5 |
| 0,01 | 25,8 |
| 0,005 | 100 |
| 0,003 | 143 |
| 0,001 | 251 |
Решение.
а) Удельная электрическая проводимость, по определению, равна:
æ
,
Разведение (разбавление) есть величина, обратная концентрации, т.е.:
.
Используя эти зависимости, получим ряд значений удельной электрической проводимости и разведения:
| æ | 0,392 | 0,097 | 0,069 | 0,0388 | 0,01 | 0,006993 | 0,003984 |
| V | 10 | 20 | 33,3 | 100 | 200 | 333,3 | 1000 |
Полученные значения можно использовать для построения графика зависимости удельной электрической проводимости от разведения:

Зная зависимость эквивалентной эл. проводимости от разведения и удельной проводимости, можно рассчитать значения λ V и построить график зависимости λ V =f (V ):
æ
1·10-3
·æ
V
| λV·103 | 3.922 | 1.942 | 2,299 | 3,88 | 2 | 2,331 | 3,99 |
| V | 10 | 20 | 33,3 | 100 | 200 | 333,3 | 1000 |
б) Проверим, подчиняются ли растворы вещества А закону разведения Оствальда:
,
где степень диссоциации
; причем значение
м2
/Ом·моль – из справочника.
Тогда:
| 0,144 | 0,071 | 0,085 | 0,142 | 0,074 | 0,086 | 0,146 | |
| λV·103 | 3.922 | 1.942 | 2,299 | 3,88 | 2 | 2,331 | 3,99 |
| Kд·104 | 24,3 | 2,74 | 2,34 | 2,37 | 0,292 | 0,241 | 0,251 |
| С | 0,1 | 0,05 | 0,03 | 0,01 | 0,005 | 0,003 | 0,001 |
Сравнивая полученные значения константы диссоциации с ее табличным значением, равным 1,77·10-5 , приходим к выводу, что растворы NH4 OH практически не подчиняются закону разведения Оствальда.
Задача 4
Для реакции, протекающей обратимо в гальваническом элементе, дано уравнение зависимости ЭДС от температуры. При заданной температуре вычислить ЭДС Е , изменение энергии Гиббса Δ G , изменение энтальпии ΔН , изменение энтропии Δ S , изменение энергии Гельмгольца ΔА и теплоту Q , выделяющуюся или поглощающуюся в этом процессе. Расчет провести для 1 моль реагирующего вещества.
Т=273 К;
;
Зависимость ЭДС
от Т: ![]()
Решение.
Имея зависимость E = f ( T ) , можно рассчитать ЭДС при указанной температуре, подставив ее в это уравнение:
![]()
Изменение энтропии связано с температурой следующим соотношением:
,
найдем производную зависимости E = f ( T ) по температуре (температурный коэффициент ЭДС гальванического элемента):
.
Очевидно, значение Δ S не зависит от температуры и определяется лишь числом передаваемых электронов:
Дж/К.
Изменение энергии Гиббса равно:
кДж.
Найдём изменение энтальпии по формуле:
кДж.
Поскольку изменение энергии Гельмгольца равно
,
то
кДж/моль.
Найдём теплоту, которая выделяется (или поглощается) при работе гальванического элемента:
кДж.
Как видно из вышеприведённых расчетов, при работе гальванического элемента, выделяется 2,139 кДж (в расчёте на 1 моль) теплоты (экзотермическая реакция), на что указывает и знак температурного коэффициента ЭДС. Таким образом, в адиабатических условиях, элемент работает с нагреванием.