Скачать .docx  

Реферат: Электролиз 3

Электро́лиз — физико-химический процесс, состоящий в выделении на электродах составных частей растворённых веществ или других веществ, являющихся результатом вторичных реакций на электродах, которое возникает при прохождении электрического тока через раствор либо расплав электролита.

Упорядоченное движение ионов в проводящих жидкостях происходит в электрическом поле, которое создается электродами — проводниками, соединёнными с полюсами источника электрической энергии. Анодом при электролизе называется положительный электрод, катодом — отрицательный. Положительные ионы — катионы — (ионы металлов, водородные ионы, ионы аммония и др.) — движутся к катоду, отрицательные ионы — анионы — (ионы кислотных остатков и гидроксильной группы) — движутся к аноду.

Явление электролиза широко применяется в современной промышленности. В частности, электролиз является одним из способов промышленного получения алюминия, водорода, а также гидроксида натрия, хлора, хлорорганических соединений, диоксида марганца, пероксида водорода. Большое количество металлов извлекаются из руд и подвергаются переработке с помощью электролиза (электроэкстракция, электрорафинирование).

Электролиз находит применение в очистке сточных вод (процессы электрокоагуляции, электроэкстракции, электрофлотации)

Первый закон Фарадея

В 1832 году Фарадей установил, что масса M вещества, выделившегося на электроде, прямо пропорциональна электрическому заряду Q, прошедшему через электролит:

если через электролит пропускается в течение времени t постоянный ток с силой тока I. Коэффициент пропорциональности называется электрохимическим эквивалентом вещества. Он численно равен массе вещества, выделившегося при прохождении через электролит единичного электрического заряда, и зависит от химической природы вещества.

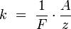
Второй закон Фарадея

Электрохимические эквиваленты различных веществ относятся, как их химические эквиваленты.

Химическим эквивалентом иона называется отношение молярной массы A иона к его валентности z. Поэтому электрохимический эквивалент

Где — постоянная Фарадея.

Расплавы

1) Активные металлы

1.Соль активного металла и бескислородной кислоты

NaCl ↔ Na+ + Cl−

K"катод"(-): Na+ + 1e = Na0

A"анод"(+): Cl− — 1e = Cl0; Cl0+Cl0=Cl2

Вывод: 2NaCl → (электролиз) 2Na + Cl2

2.Соль активного металла и кислородосодержащей кислоты

Na2SO4↔2Na++SO42−

K(-): 2Na+ +2e =2Na0

A(+): 2SO42− −4e =2SO3+O2

Вывод: 2Na2SO4 → (электролиз) 4Na + 2SO3 + O2

3. Гидроксид: активный металл и гидроксид-ион

NaOH ↔ Na+ + OH−

K(-): Na+ +1e =Na0

A(+): 4OH− −4e =2H2O + O2

Вывод: 4NaOH → (электролиз) 4Na + 2H2O + O2

2) Менее активные металлы

Точно так же

3) Неактивные металлы

Точно так же

[править]

Растворы

1) Активные металлы

1.Соль активного металла и бескислородной кислоты

NaCl ↔ Na+ + Cl−

K"катод"(-): 2H2O + 2e = H2 + 2OH−

A"анод"(+): Cl− — 1e = Cl0; Cl0+Cl0=Cl2

Вывод: 2NaCl + 2H2O(электролиз) → H2 + Cl2 +2NaOH

2.Соль активного металла и кислородсодержащей кислоты

Na2SO4↔2Na++SO42−

K(-): 2H2O + 2e = H2 + 2OH−

A(+): 2H2O — 4e = O2 + 4H+

Вывод: 2H2O (электролиз) → H2 + O2

3. Гидроксид: активный металл и гидроксид-ион

NaOH ↔ Na+ + OH−

K(-): 2H2O + 2e = H2 + 2OH−

A(+): 2H2O — 4e = O2 + 4Н+

Вывод: 2H2O (электролиз) → 2H2 + O2

2) Менее активные металлы

1.Соль менее активного металла и бескислородной кислоты

ZnCl2 ↔ Zn2+ + 2Cl−

K"катод"(-): Zn2+ + 2e = Zn0

A"анод"(+): 2Cl− — 2e = 2Cl0

Вывод: ZnCl2 (электролиз) → Zn + Cl2

2.Соль менее активного металла и кислородсодержащей кислоты

ZnSO4 ↔ Zn2++SO42−

K(-): Zn2+ + 2e = Zn0

A(+): 2H2O — 4e = O2 + 4Н+

Вывод: 2ZnSO4 + 2H2O(электролиз) → 2Zn + 2H2SO4 + O2

3. Гидроксид: невозможно (нерастворим)

3) Неактивные металлы

Точно так же