| Скачать .docx |
Реферат: Фармацевтический анализ производных фенотиазина
Курсовая работа
"Фармацевтический анализ производных фенотиазина"
Введение
Фенотиазины - исторически первый класс антипсихотических средств - по своей химической структуре представляют собой трициклические молекулы.
Все фенотиазины подразделяются на три основных подтипа:
1. алифатические,
2. пиперидиновые,
3. пиперазиновые производные.
Фенотиазины с алифатическими боковыми цепями (например, хлорпромазин) в основном являются низкопотентными соединениями (то есть для достижения терапевтического эффекта необходимо использовать более высокие дозы препарата). Пиперидиновые производные обладают антихолинергическими свойствами и в меньшей степени способны вызывать развитие экстрапирамидных расстройств (например, тиоридазин, мезоридазин). Пиперазиновые фенотиазины (например, перфеназин, трифлюоперазин, флуфеназин) являются наиболее мощными антипсихотическими соединениями.
Связь «структура-действие»
В основе химической структуры данной группы препаратов лежит гетероциклическая система, состоящая из шестичленного гетероцикла тиазина, конденсированного с двумя ядрами бензола (рис. 1).
![]() |
Препараты, производные фенотиазина, представляют собой сходные по химической структуре соединения, отличающиеся только заместителями в положении 2 и 10 фенотиазинового кольца, причем между структурой заместителей и фармакологическим действием проявляется четкая зависимость: если в 10 положении находится липофильная группировка, содержащая третичный азот во 2’ или 3’ положении, то препарат оказывает нейролептическое, седативное и противоаллергическое действие. Если же эта группировка гидрофильная (карбоксильная группа), то препарат оказывает коронарорасширяющее и антиаритмическое действие.
Фармацевический анализ фенотиазина
Фенотиазин

Получение
Фенотиазин получают нагреванием дифениламина с S при 180-250 0 C в высококипящих растворителях в присутствии I2 или AlCl3 . Общий метод получения фенотиазина и его производных - циклизация 2'-замещенных производных 2-аминодифенил-сульфида в присутствии сильных оснований:

1. Описание.
Представляет собой желтые кристаллы.
2. Растворимость.
Хорошо растворим при нагревании в этаноле, уксусной кислоте, плохо - в диэтиловом эфире и бензоле. В холодной серной кислоте растворим с выделением SO2 .
3. Качественный анализ.
3.1. Химические свойства.
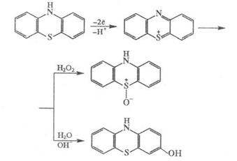
Имеет похожие свойства ароматических соединений. Является хорошим донором электронов и с различными акцепторами образует комплексы с переносом заряда. Легко вступает в электрофильное замещение, которое направляется в первую очередь в положения 3 и 7 и часто сопровождается окислением.
3.2. Реакционная способность

Бромирование фенотиазина в нитробензоле протекает с образованием 1,2,3,7,8,9-гексабромпроизводного, аналогичное хлорирование - с образованием продукта глубокого (до 11 атомов Cl) хлорирования и потерей ароматичности одного из колец.
Окисление фенотиазина действием H2 O2 или KMnO4 приводит к фенотиазин-5-оксиду или фенотиазин-5,5-диоксиду. Реакции протекают в виде последовательных стадий с промежуточным образованием катиона, в котором положение 3 чувствительно к атаке нуклеофильных реагентов, например:

4. Примеси.
5. Количественный анализ.
Хранение.
Хранить их следует в банках из оранжевого стекла, плотно закрытых пробками, залитыми парафином, в сухом месте (это связано с легкоокисляемостью, и высокой гигроскопичностью).
Применение
Фенотиазин используется в качестве инсектицида, антигельминта, антиоксиданта смазочных масел.
Фармацевтический анализ производных фенотиазина
1. Аминазин
2. Трифтазин
3. Дипразин
1. Описание.
По внешнему виду все эти препараты сходны между собой. Это в большинстве своем белые или белые с кремоватым оттенком кристаллические порошки, некоторые имеют зеленовато-желтоватый цвет (трифтазин, мепазин).
Гораздо большее значение имеют производные фенотиазина, имеющие заместителя (R) в положениях 2 и 10 цикла. Чаще R10 представляет собой остаток 3-диалкиламинопропанола

2. Растворимость.
Очень легко растворимы в воде, легко - в 95% спирте, хлороформе; практически нерастворимы в эфире и бензоле.
3. Качественный анализ.
3.1. Химические свойства.
Из химических свойств производных фенотиазина наиболее характерным является способность их к окислению. В зависимости от характера окислителя (бромная вода, азотная и серная кислоты, хлорид окисного железа и др.) образуются различного цвета продукты окисления. Поэтому эти реакции используются для идентификации препаратов фенотиазинового ряда.
3.2. Реакционная способность.
Местом наибольшей реакционной способности в молекуле фенотиазина и его производных является атом серы, которая может окисляться до S4+ и S6+ .
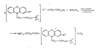
Окисление фенотиазина или его производных бромом в уксусной кислоте или другим окислителем, например перекисью водорода, приводит к образованию S-оксида (I) и диоксида-сульфона (II).

За счет третичного азота в молекуле производные феноти-азина могут вступать в реакции с общеалкалоидными реактивами (см. «Алкалоиды»).
Все препараты фенотиазинового ряда применяются в виде гидрохлоридов, поэтому после выделения основания щелочью в фильтрате обнаруживается хлор-ион с раствором нитрата серебра.
4. Примеси.
Из возможных примесей в препаратах ГФ X допускает сульфаты, тяжелые металлы и фенотиазин в пределах эталонов. Определяется также предел кислотности.
5. Количественное определение.
Методы количественного определения препаратов фенотиазинового ряда разнообразны и базируются на свойствах соединений. Фармакопейным методом является метод кислотно-основного титрования в неводных средах. Препарат растворяют в ледяной уксусной кислоте или ацетоне, добавляют ацетат окисной ртути и титруют хлорной кислотой по индикатору кристаллический фиолетовый или метиловый оранжевый.

Фармакопейным методом является и обычный метод нейтра: лизации с дифференцирующими растворителями. Этот метод ГФ X рекомендует для раствора и таблеток дипразина. Определение азота по методу Кьельдаля ГФХ рекомендует для количественного определения аминазина в растворе.
Хранение.
Хранить их следует в банках из оранжевого стекла, плотно закрытых пробками, залитыми парафином, в сухом месте, так как производные фенотиазина темнеют на свету (это связано с их способностью легко окисляться, а еще они гигроскопичны).
Меры предосторожности.
При работе с производными фенотиазина нужно исключить возможность попадания порошка и растворов на кожу и слизистые оболочки, так как они вызывают сильное раздражение, отечность кожи век, понижение артериального давления.
Использованные литературные источники
фенотиазин химический фармацевтический производный
1. Гетероциклические соединения, под ред. P. Эльдерфидда, пер. с англ., т. 6, M., 1960, с. 568-91;
2. Общая органическая химия, пер. с англ., т. 9, M., 1985, с. 627-35. Г.А. Швехгеймер, В.И. Келарев;
3. http://ru.wikipedia.org
4. Мелентьева
