| Скачать .docx |
Курсовая работа: Курсовая работа: Свойства адамантана
Федеральное агентство по образованию
Российский государственный университет
Нефти и газа имени И. М. Губкина
Кафедра органической химии и химии нефти
Курсовая работа по теме
"Свойства адамантана"
Выполнили:
Ст. гр. ХТ-08-5
Волкова В.С.
Проверил:
Ст.пр. Гируц М.В.
Москва 2010
Содержание
1. Общие сведения
2. Номенклатура
3. Получение
3.1 Из природных источников
3.2 Синтетические методы
4. Физические свойства
4.1 Индивидуальное вещество
4.2 Структурные свойства
4.3 Спектральные свойства
5. Химические свойства
5.1 Адамантильные катионы
5.2 Реакции по узловым положениям
5.2.1 Бромирование
5.2.2 Алкилирование
5.2.3 Фторирование
5.2.4 Карбоксилирование
5.2.5 Гидроксилирование
5.2.6 Нитрование
5.3 Реакции по мостиковым положениям
6. Применение
7. Экспериментальная часть
Литература
адамантан углеводород синтез узловой мостиковый
1. Общие сведения
Адамантан – это химическое соединение, насыщенный трициклический мостиковыйуглеводородсформулойC10 H16 .Молекула адамантана состоит из трёхциклогексановыхфрагментов, находящихся в конформации "кресло". Пространственное расположение атомовуглеродав молекуле адамантана повторяет расположение атомов вкристаллической решёткеалмаза. Свое название адамантан получил от ἀδάμας ("непобедимый" - греческое название алмаза).

2. Номенклатура
Согласно правилам систематической номенклатуры, адамантан следует называть трицикло[3,3,1,13,7 ]декан. ОднакоИЮПАКрекомендует использовать название "адамантан" как более предпочтительное. Молекула адамантана обладает высокой симметрией. Вследствие этого 16 атомовводородаи 10 атомовуглерода, образующие её, могут быть отнесены всего к двум типам.

Положения типа1называютсяузловыми, а положения типа2 —мостиковыми. В молекуле адамантана насчитывается четыре узловых и шесть мостиковых положений.
Обычно используют такие изображения структурной формулы молекулы адамантана:

Таким образом, узловые атомы углерода – 1,3,5,7, а мостиковые – 2,4,6,8,9,10.
В дизамещенных производных адамантана с одним мостиковым заместителем пространственная ориентация мостикового заместителя может быть аксиальной (а) или экваториальной (е) в зависимости от расположения заместителя по отношению к плоскости общего для обоих заместителей циклогексанового кольца или ее можно обозначить как цис- и транс- :

1. В случае отсутствия узловых заместителей нумерацию атомов углерода проводят с учетом предпочтительности заместителя таким образом, чтобы более предпочтительный мостиковый заместитель имел меньший номер, а сумма номеров углеродных атомов была минимальной. При обозначении алкиладамантанов меньший номер получает более простой заместитель.
2. При наличии одного узлового заместителя ему придается номер 1, нумерация других атомов углерода ядра при этом производится с соблюдением положений пункта 1.
3. При наличии нескольких узловых алкильных заместителей номер 1 получает узловой заместитель, более предпочтительный согласно правилам ИЮПАК.
4. Атомы углерода, получившие, согласно приведенным выше правилам, номера 1-9, составляют рациональный фрагмент бицикло[3,3,1]нонана данного производного адамантана, при этом положения мостиковых заместителей углеродных атомов 2,4,6 и 8 определяются как экзо- или эндо- в зависимости от того, направлен ли заместитель соответственно вверх или вниз по отношению к плоскости рационального фрагмента бицикло[3,3,1]нонана, у атома 10 – как цис- или транс- по отношению к атому 1, а у 9 – как син- или анти- в зависимости от того, направлен ли он вправо или влево относительно заместителя 1.
3. Получение
3.1 Из природных источников
В настоящее время единственным природным продуктом, содержащим адамантан и его гомологи, является нефть. Содержание этого углеводорода в нефти составляет всего 0,0001—0,03 % (в зависимости от месторождения), вследствие чего такой способ получения адамантана является экономически невыгодным. Помимо самого адамантана, в нефти присутствуют его многочисленные производные. Таких соединений известно более тридцати. Методы идентификации адамантана в нефтях и его выделения основаны на его необычных для углеводородов данной молекулярной массы свойствах: высокая температура плавления, летучесть, малая растворимость, а также способность образовывать устойчивые аддукты с тиокарбамидом.
Выделение адамантана из нефти, не имеющей бензиновых фракций, осуществляется путем однократной обработки тиокарбамидом дистиллатов, отогнанных из нефти с водяным паром. При охлаждении полученного тиокарбамидного экстракта до –50°С адамантан выкристаллизовывается и легко отделяется фильтрованием. Та получают около 75% адамантана, присутствующего в нефти.
Если в нефти имеются легкие фракции и содержание адамантана небольшое, то обработку дистиллата тиокарбамидом повторяют, используя небольшое его количество, и получают высокоселективные экстракты. Дальнейшее количественное выделение адамантана может быть осуществлено также методами препаративной ГЖХ. Для выделения адамантана из нефти может быть также использован метод азеотропной перегонки циклопарафинового концентрата с три(лерфторбутил)амином.
Выделение адамантана из парафиновых нефтей требует более эффективных методов его концентрирования, таких, как термодиффузия и препаративная ГЖХ. Как показали исследования, наилучшие результаты при выделении адамантана дает метод, сочетающий перегонку дистиллата (с перегретым водяным паром) с последующим выделением путем препаративной ГЖХ.
3.2 Синтетические методы
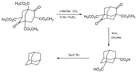
Первый успешный синтез адамантана из эфира Меервейна был осуществлёнВ. Прелогомв1941 году. Синтез включал несколько стадий, а выход адамантана не превышал одного процента.

Этот метод уже не используется для синтеза адамантана в связи с высокой трудоёмкостью и низким выходом конечного продукта. Однако он имеет некоторую ценность в плане получения различных производных адамантана, в частности 1,3-адамантандикарбоновой кислоты.
Для получения этого углеводорода в лабораторных условиях в настоящее время используют метод Шлейера. Димерциклопентадиена(который является вполне доступным соединением) подвергается каталитическомугидрированию, после чего изомеризуется в адамантан в присутствии катализатора — кислоты Льюиса. Методика, описанная в Organic Syntheses, предусматривает использованияоксида платиныв качествекатализаторагидрирования, а такжехлорида алюминияв качестве катализатора изомеризации.При этом выход составляет 13—15 %.

Адамантан является вполне доступным химическим соединением. Стоимость одного грамма у различных фирм-производителей не превышает одногодоллара США.
4. Физические свойства
4.1 Индивидуальное вещество
Химически чистый адамантан представляет собой бесцветное кристаллическое вещество, имеющее характерный камфорный запах. Он практически нерастворим в воде, но зато легко растворяется в неполярныхорганических растворителях.Адамантан имеет необычно высокую дляуглеводородовтемпературу плавления(268 °C), однако при этом медленносублимируетуже при комнатной температуре.Кроме того, он можетперегонятьсяс водяным паром.
4.2 Структурные свойства
Молекула адамантана включает в себя три конденсированныхциклогексановыхкольца, находящихся вконформации"кресло". Параметры молекулы адамантана были определены методом дифракции электронов ирентгеновских лучей. Было установлено, что длина каждой связи "углерод — углерод" составляет 1,54Å, а каждой связи "углерод — водород" — 1,112Å.

Молекула адамантана обладает высокой симметрией (точечная группаTd
). Кристаллический адамантан существует в виде гранецентрированной кубической решётки (очень редкая для органических соединений пространственная группа
, a = 9,426 ± 0,008Å, четыре молекулы на ячейку).При охлаждении этой формы до температуры ниже −65 °C наблюдается фазовый переход с образованием объёмно-центрированной тетрагональной решётки (a = 6,641Å, c = 8,875Å).
4.3 Спектральные свойства
Вспектре ЯМРадамантана присутствуют два слабо разрешённых сигнала, которые соответствуют протонам, находящимся около мостиковых и узловых атомов углерода. В спектре1 H-ЯМР, записанном в CDCl3 , сигналы протонов, расположенных возле узловых атомов углерода, наблюдаются при 1,873 м. д., а сигналы протонов при мостиковых атомах углерода — при 1,756 м. д. В спектре13 С-ЯМР сигналы узловых и мостиковых атомов углерода проявляются при 28,46 и 37,85 м. д. соответственно.
Масс-спектрыадамантана и его производных довольно характеристичны. Положение основного пика в масс-спектре адамантана обусловлено наличием в продуктах ионизации иона
с соотношением m/z = 136. В результате фрагментации молекулярного иона обнаруживаются пики со значениями m/z равными 93, 80, 79, 67, 41, 39.
Оптическая активность
Молекулы адамантана, содержащие четыре разных заместителя при узловых атомах углерода, являютсяхиральнымии оптически активными.При этом центр хиральности, как и у оптически активныхбифенилов, не приходится на какой-либо конкретный атом.R,S-номенклатурав этом случае может применяться так же легко.
Впервые такой вид оптической активности был описан в1969 годудвумя группами учёных.Оптическая активность была обнаружена у адамантана, содержащего в узловых положениях четыре разных заместителя:водород,бром,метиликарбоксильную группу. Учёным удалось провести разделениеэнантиомеровэтого соединения и продемонстрировать, что оптически активные адамантаны обладают очень маленькими значениямиудельного вращения(обычно до 1°). Это можно объяснить большей удалённостью заместителей от центра хиральности, чем, к примеру, в случае асимметричного атома углерода.

Оптически активные адамантаны не нашли практического применения.
5. Химические свойства
Углеводороды, структура которых образована только σ-связями, отличаются химической инертностью. Однако, несмотря на это, адамантан и его производные весьма реакционноспособны. Это их свойство особенно ярко проявляется в реакциях ионного типа, которые протекают с образованиемкарбокатионовв качестве интермедиатов.
5.1 Адамантильные катионы
1-адамантил-катион обладает высокой стабильностью по сравнению с другими третичными карбокатионами. Он легко образуется в результате взаимодействия 1-фтор-адамантана с SbF5 .
Повышенная стабильность этого катиона связана с участием удалённых центров молекулы в делокализации заряда, подтверждением чего могут служитьЯМР-спектрысоответствующих соединений. Как известно, наличие в молекуле положительно заряженного центра приводит к сдвигу сигналов тех атомов, которые взаимодействуют с ним, в слабое поле. Как видно из спектров ПМР, а особенно13 С, сигналы γ-углеродных атомов более дезэкранированы, хотя и расположены дальше от положительно заряженного центра. Первоначально причиной этого явления считали перекрывание вакантной орбитали положительно заряженного атома, с С-Н орбиталями в γ-положениях. Но расчёты показали, что для адамантана такое взаимодействие не может быть эффективным. Скорее всего стабильность катиона обусловлена взаимодействием вакантной орбитали с σ-орбиталями С(β)-С(γ) связей.
Дикатион адамантана был получен в растворахсуперкислот. Он обладает повышенной стабильностью благодаря явлению, которое получило название "трёхмерная ароматичность".

Адамантан является удобным модельным соединением для изучения карбокатионов и факторов, влияющих на их стабильность.

Адамантильный карбокатион
5.2 Реакции по узловым положениям
Наиболее реакционноспособными положениями молекулы адамантана являются узловые. Существует множество методов модификации по ним.
5.2.1 Бромирование
Адамантан легко вступает в реакцию с различными бромирующими реагентами, в первую очередь смолекулярным бромом. Состав и соотношение продуктов реакции могут быть различными и зависят от условий проведения реакции, в частности, наличиякатализаторов.

При кипячении адамантана сбромомобразует монозамещённый продукт — 1-бромадамантан. При использовании в качествекатализаторовразличных кислот Льюиса возможно образование двух-, трёх- или четырёхзамещённых бромадамантанов.
Реакция бромирования протекает по ионному механизму с образованием адамантильногокарбокатионав качестве интермедиата. Это подтверждается, например, тем, что скорость реакции увеличивается в присутствии кислот Льюиса и не изменяется при облучении реакционной смеси или добавлении доноровсвободных радикалов.
5.2.2 Алкилирование



5.2.3 Фторирование
Первые синтезы 1-фторадамантана были проведены с использованием 1-гидроксиадамантанаи производных 1-аминоадамантана в качестве исходных соединений. Позднее была описана реакция прямого фторирования адамантана.Во всех перечисленных случаях генерировался адамантильный катион, который впоследствии взаимодействовал с фторсодержащим нуклеофилом.
Известна также реакция адамантана с газообразнымфтором, в ходе которой образовывался 1-фторадамантан.
5.2.4 Карбоксилирование
В 1-е положение адамантана может быть введенакарбоксильная группа.Соответствующая реакция была впервые описана в1960 году.[28] В качестве карбоксилирующего агента была использованамуравьиная кислота, в качестве растворителя —тетрахлорид углерода.

Роль трет-бутанола и серной кислоты заключается в генерировании адамантильного катиона, который впоследствии подвергается карбонилированиюмоноксидом углерода, генерируемымin situпри взаимодействиимуравьинойисерной кислот.Выход 1-адамантанкарбоновой кислоты в препаративном варианте метода составляет 55—60 %.
5.2.5 Гидроксилирование
Простейшим адамантановым спиртом является 1-гидроксиадамантан. Он достаточно легко образуется при гидролизе 1-бромадамантана в водномацетоне. Кроме того, существует методика синтеза 1-гидроксиадамантана путёмозонированиясамого адамантана.

5.3 Реакции по мостиковым положениям
Мостиковые положения менее реакционноспособны, чем узловые, в связи с чем производные адамантана этого типа менее доступны. Важной реакцией, позволяющей получать производные этого типа, является взаимодействие адамантана с концентрированнойсерной кислотой, в результате чего образуетсякетон — адамантанон.

Наличие в адамантанонекарбонильной группыдаёт возможность проводить дальнейшую модификацию по мостиковому положению путёмвзаимодействияэтого соединения с нуклеофильными реагентами. Например, адамантанон служит исходным соединением для получения таких производных адамантана, как 2-адамантанкарбонитрили 2-метиладамантан.
6. Применение
Адамантан и его соединения применяются для получения медицинских препаратов, высокомолекулярных (полимерных) материалов, синтетических смазочных масел, резин, устойчивых к растворителям.
Как показали многочисленные исследования, диапазон возможного использования адамантановых углеводородов и их производных чрезвычайно широк. Они перспективны для получения на их основе термостабильных смазочных материалов, полимеров, а также взрывчатых веществ.
Адамантан может быть использован в качестве основы для получения душистых веществ, адамантилгексанол и 1-(фенилэтокси)адамантан – в качестве душистых веществ; перфторированный адамантан предложен в качестве компонента искусственной крови, различные производные адамантана – возможные антистатики, поверхностно-активные вещества, пластификаторы, инсектициды, бактерициды, замасливатели для волокон и т.д.
На основе адамантана получают алмазоподобные пленки, по своей твердости лишь в 3 раза уступающие алмазу. Такие пленки, нанесенные на кварцевую или молибденовую поверхность, увеличивают твердость поверхности. Пероксидные производные адамантана, в частности 1-адамантил-трет-бутилмонопероксикарбонат, используются в качестве инициаторов блочной полимеризации метилметакрилата.
Алкиладамантаны обладают бактерицидным действием, вследствие чего рекомендовано использовать их в качестве антимикробных присадок к смазочным материалам. Простые эфиры алкиладамантанов могут служить добавками, повышающими окислительную стабильность и вязкость смазочных масел и трансмиссионных жидкостей. В качестве антиоксидантов и синтетических добавок предложено использовать N-галоформамидо- и бис-(N-галоформамидо)алкиладамантаны.
Следует остановиться также на использовании углеводородов ряда адамантана и их производных для научных исследований. Так, адамантан служит в качестве матрицы при исследовании методом ЭПР радикалов, образующихся при рентгеновском облучении алифатических кетонов, и в ряде других исследований для получения и консервирования радикалов.
7. Экспериментальная часть
Синтез адамантана проводили по следующим литературным данным:
Stetler H., Sehwaz M., Hirschow A., Uber Verbingbunger mit Urotropin – Structur XII. Monofunctionelle Adamantan – Perivate.
Chemical, Berlin, 1959, 9(27), 1629-1635
Основная реакция:

Расчет количеств исходных веществ
А. Расчет по уравнению реакции
1) Адамантан
136,2 г/моль – 215,13 г/моль
x г – 7 г
х = 4,4 г; ν = 0,0323 моль;
мл
2) Бром
159,81 г/моль – 215,13 г/моль
х г – 7 г
х = 5,2 г; ν = 0,0325 моль;
мл
Б. Расчет по методике
В практикуме для получения 198,5 г 1-бромадамантана берется 136 г адамантана берется 207 мл брома. Добавляют 150 мл CCl4 , и затем ещё 200 мл.
1) Адамантан
136 г/моль – 198,5 г/моль
х г – 7 г
х = 4,8 г; ν = 0,0352 моль;
мл
2) Бром
207 мл – 198,5 г
х мл – 7 г
х = 7,3 мл; ν = 0,1427 моль;
г
3) Четыреххлористый углерод
350 мл – 198,5 г
х мл – 7 г
х = 12,3 мл
Характеристики и количества исходных веществ
| Название реактивов | Брутто формула | Мол. масса г/моль |
Основные константы | Количества исходных реагентов | ||||||||
| по ур-ю реакции | по методике | Избыток | ||||||||||
| Ткип, ºС | Тпл, ºC | ρ, г/см3 |
г | мл | моль | г | мл | моль | ||||
| Адамантан | С10 Н16 | 136,23 | – | 268,0 | – | 4,4 | – | 0,0323 | 4,8 | – | 0,0352 | 0 |
| Бром | Br2 | 159,91 | 58,8 | -7,3 | 3,12 | 5,2 | 1,7 | 0,0325 | 22,8 | 7,3 | 0,1427 | 0,1073 |
Описание хода синтеза
В трехгорлую колбу, снабженную механической мешалкой, капельной воронкой и обратным холодильником, помещают 4,8г адамантана и при перемешивании и нагревании на воздушной бане при t = 85ºС по каплям в течении пяти часов приливают 7,3 мл брома.
По окончании добавления брома смесь нагревают 6 часов при t = 105-108ºС на воздушной бане.
После охлаждения в реакционную смесь приливают 5,3 мл CCl4 и отгоняют раствор брома в CCl4. Операцию проводят до тех пор, пока отгоняющийся растворитель не станет почти бесцветным. К остатку добавляют 7 мл CCl4 и промывают 10% Na2 SO3 , а затем водой, высушивают надсульфатом магния.
Расчет теоретического выхода: (по недостатку – адамантану)
г
Масса образовавшегося вещества:
mk = 23,86 г
mk +в = 32,28 г =>
mв = 8,42 г (в т.ч. С10 Н15 Br)
Пусть общая площадь пиков - ∑S = 100%
SС10Н15 Br = 0,515
SС10Н16 = 0,4
SBr 2 = 0,085
Т.о., масса 1-бромадамантана равна:
г
Расчет выхода:
по синтезу:
![]()
по методике:
![]()
Основные константы и выход:
| Название вещества | Константы вещества | Выход вещества | |||||
| при синтезе | по методике | г | % масс | ||||
| Ткип,ºС | Тпл, ºС | Ткип, ºС | Тпл, ºС | методика | теоретич. | ||
1-бромадамантан С10 Н15 Br |
– | 108-110 | – | 115-117 | 4,3 | 57 | 62 |
Вывод
В результате одностадийного синтеза было получено 4,33 г 1-бромадамантанас выходом 57% (62%). Потери вещества обусловлены трудоемкостью выполнения работы и высокой летучестью брома.
Литература
1. Багрий Е. И. Адамантаны: Получение, свойства, применение. — М.: Наука, 1989.
2. Несмеянов А. Н. Начала органической химии. — М.: Химия, 1969. — Т. 1
3. Смит В., Бочков А., Кейпл Р. Органический синтез. Наука и искусство. — М.: Мир, 2001.
4. И.Губен, Методы органической химии, перевод с немецкого под редакцией А.Я. Берлина,Т.4, выпуск первый, книга вторая,Л.:издательство ГХИ,1949..
5. А.А. Петров, Органическая химия: Учебник для вузов- 5-е изд., перераб. и доп.-СПб.: "Иван Федоров", 2002.
6. В.Ф.Травень, Органическая химия, Учебник для вузов,
Том 2, М.:ИКЦ "Академкнига",2006.
