| Скачать .docx |
Реферат: Общая модель волн материи. Формула Де-Бройля. Частица в "ящике" и частица на "орбите"
Раздел 1. Общая модель волн материи. Формула Де-Бройля
Частица в "ящике" и частица на "орбите"
Самое простое, но очень полезное введение в теорию квантовых эффектов связано с представлениями о волнах материи. Этот подход старый, его очень любил Я.К. Сыркин. Он нагляден. По словам Мелвин - Хьюза "менее всего физико-химика интересует способ получения точной формулы. Ему важно понять, как устроена материя на уровне его интересов химика... ".
Этим и воспользуемся. Ещё не начитаны лекции, а мы уже очень многое сможем обсудить о квантовании важнейших движений, и даже их сравнить…
1. Два взгляда на фотон. Волна света и частица – её носитель
Носители волны света частицы - фотоны.
Это дискретные частицы поля без массы покоя.
Для них справедливы формулы:
Из волновой теории (Максвелл-Хевисайд-Эйнштейн) E=mc2(1.1).
Из квантовой модели света (Планк-Эйнштейн) E= h, где (1.2).
частота равна = c/ (1.3).
Сравнивая оба выражения, получаем равенство E = mc2 = h = hc/(1.4).
Длина световой волны получается равной = h / mc= h/pc (1.5).
Величина mc= pc это импульс материального носителя светового поля, фотона – частицы, у которой нет массы покоя.
2. Два взгляда на частицу. Волна материи и механический объект.
Волны Де-Бройля. Импульс и длина волны. Стоячие волны материи.
Суть идеи Де-Бройля в том, что аналогично фотону любое материальное тело характеризуется волновым процессом, а длина такой волны определяется аналогичной же формулой, где скорость фотона - света, заменена механической скоростью V материальной частицы – корпускулы с массой покоя V. В таком случае длина волны материи равна = h / mV= h/p(2.1).
На замкнутую траекторию движения частицы на линейном интервале должно укладываться целое число стоячих волн. Совсем так же, как и у обычной стоячей волны – у струны, например.
Это легко приводит к двум очень простым и важнейшим моделям движения. Это одно из крупнейших открытий физики начала 20-го века.
С этого началась ядерная и электронная эра.
"…Не следует стесняться истории науки – это один из очень важных аспектов преподавания…" (акад. Я.К. Сыркин и проф.Н.И. Гельперин)
1. Линейное движение на ограниченном интервале–потенциальный ящик. Задача 1. Получить формулу поступательных уровней частицы, движущейся на ограниченном интервале. Использовать формулу Де-Бройля.
Модель движения предельно идеализированная. Тем не менее, она с удивительной общностью описывает ряд фундаментальных эффектов и явлений.
Условия задачи:
В этой простейшей системе частица…
- движется на прямолинейном интервале L между двумя идеально отражающими стенками,…
- претерпевает абсолютно упругие удары о стенки, …
- отражается и движется вспять…
Изменяется направление вектора скорости (импульса), но модуль сохраняется. Это поступательное движение строго периодическое.
Потенциальная энергия внутри “ящика” намного меньше, чем за его пределами, и для простоты принята равной нулю
U(<0x<L) =0(3.1).
Полная энергия частицы содержит только кинетическую составляющую. T=mV2/2=p2/2m (1.1).
Подобно вибрации ограниченной струны, на отрезке пути длиною L может укладываться лишь целое число полуволн де Бройля, и отсюда следует квантование и модуля импульса, и энергии.
Полагая n (/2) = L "nÎN(1,2,3,…¥), (1.2)
получаем =2L /n=h/p, (1.3)
а далее p/h = n /2L, (1.4)
откуда p = n h /2L "nÎN(1,2,3,…¥), (1.5)
и кинетическая энергия – она же и полная энергия, поскольку потенциальная равна нулю, естьE=T= p2/2m = n2h2/22L2´2m. (1.6)
Окончательно формула полной энергии предписывает дискретные значения, зависящие от внешнего "чужого" целочисленного параметра - числа nÎN(1,2,3,…),
которое может быть любым в пределах множества N чисел натурального ряда.
Получилась формула квантования энергии в виде дискретных энергетических уровней. Уровни суть просто численные значения полной энергии. Они дискретны - квантованы, и потому нумеруемы:
En= n2 (h2/8mL2) "nÎN(1,2,3,…¥) (1.7).
Множество всех уровней называется энергетическим спектром данной системы. Графическое изображение энергетических уровней в масштабеназывается энергетической диаграммой. Для её построения введём постоянную энергии для данного "ящика":
Bt=h2/8mL2 (1.8).
Уровни располагаются тем выше, чем больше эта величина. Её удобно вычислить отдельно. Например, рассмотрим результаты для электрона на расстоянии порядка атомных размеров (примерно L»2-3 Ao).
Расстояние между квантованными уровнями энергии частицы в “ящике” зависит от массы частицы и размеров ящика, и квантование проявляется только для микрочастиц в пространстве, соответствующем атомным размерам.
В системе SI
диэлектрическая константа вакуума в СИ:
1/40´н´м2Кл-2,
масса электрона m=9.1´10-31 кг,
константа Планка h=6.62´10-34 Дж´с;
циклическая константа Планка h’=1.05´10-34 Дж´с;
Длина ящика L=2.5´10-10 м.
В системе CGSE
диэлектрическая константа вакуума в СИ: 1/40,
масса электрона m=9.1´10-28 г,
константа Планка h=6.62´10-27 э´с;
циклическая константа Планка h’=1.05´10-27 э´с/рад;
Длина ящика L=2.5´10-8 см.
Подставляя в формулу для постоянной ящика, находим её значение:
Bt=h2/8mL2 = (6.62´10-34 Дж´с) 2 /
[8´9.1´10-31 кг ´ (2.5´10-10 м) 2] =
= 9.63´10-19 Дж2´с2´кг –1´м –2
Размерность: Дж2´с2´кг –1´м –2 = Дж2´ (н-1´м-1) = Дж 2´ Дж-1= Дж
Bt=9.63´10-19 Дж
В системе CGSE эта величина в эргах по модулю на 7 порядков больше:
Bt=9.63´10-12 эрг
Легко построить диаграмму уровней "ящика", откладывая соответствующие отметки на оси ординат – оси энергии (см семинар по ящику с применением уравнения Шрёдингера). В пересчёте к привычной шкале на один моль это даёт
Bt=9.63´10-19´6.023´1023 Дж » 57.7´104 Дж/моль » 577 кДж/моль.
Получен порядок величин энергетических уровней в систем СИ, для частицы, "зажатой" в объём, который примерно вдвое - втрое больше размера атома. Это значение резко и быстро падает, если размер "ящика" возрастает…
На дистанции, скажем в 15 ангстрем (это примерно расстояние между частицами газа при нормальных условиях) это значение упадёт в 36 раз и будет порядка лишь 15 кДж/моль. Дальше-больше!
И это для очень лёгкого электрона.
А если частица уже хотя бы атом водорода, который примерно в в 1840 (»2000) раз более тяжёлая частица, то дистанция между поступательными уровнями становится очень малой – практически неощутимой. Джоули на один моль – этот порядок величины экспериментально неуловим. Возникает практически континуум –непрерывное распределение поступательной энергии молекулярного движения. Этот результат для нас необычайно важен.
2. Частица на круговой орбите.
Простая количественная модель, позволяющая воспроизвести количественно уровни АО атома H и водородоподобных ионов (формулу Бора) также основана на волнах Де-Бройля.
В этой, также идеальной, задаче вычисления почти столь же несложные, как и в предыдущей.
Мы будем далее многократно иметь дело с её физическим содержанием.
Наша первая цель: пусть эклектическая, “лоскутная”, в какой-то мере теоретически дерзкая и живописная попытка количественно описать уровни реальных физических систем с их хорошо регистрируемыми в эксперименте проявлениями.
Строгость выводов – потом, а сейчас - поскорее к цели...
Задача 2.1.
Получить формулу квантования уровней частицы, обращающейся по круговой орбите.
Условия задачи:
Пусть частица движется по кругу в поле центральной кулоновской силы, создаваемой ядром с порядковым номером Z. Это атом водорода (Z=1) или водородоподобный ион (Z>1). Заряд ядра равен
, в его поле движется всего один электрон.
Центростремительная сила, удерживающая частицу на круговой орбите, имеет кулоновскую природу, т.е. обратно пропорциональна квадрату расстояния.
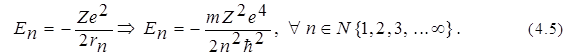
Отсюда следует “теорема вириала”, определяющая взаимосвязь между кинетической и потенциальной энергиями в поле центральной силы.
По этой теореме: Кинетическая энергия равна половине потенциальной, но с положительным знаком, а полная энергия равна половине потенциальной и также отрицательна (2.5).
ВНИМАНИЕ! Используется система СГСЕ.

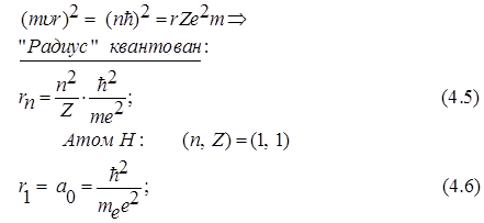
При стационарном движении частицы по кругу в поле центральной кулоновской силы, на замкнутой “круговой орбите” укладывается целое число волн материи
2p r = nl, "nÎN{1,2,3,... }. (4.3)
Использование длины волны де Бройля приводит к выводу о том, что квантованной оказывается величина L, похожая на модуль момента импульса:
L =½mu r ½ = n(h/2p) = nħ, "nÎN. (4.4)
Сочетание уравнений (2.3) и (2.6) показывает, что возможные значения радиуса классической "орбиты" дискретны – квантованы (2.7).

Задача 2.2. Рассчитайте численно боровский радиус.
По теореме вириала соответственно квантованы значения полной энергии (2.9). Результирующее выражение для дискретных энергетических уровней называется формулой Бора.

Для разносторонних расчётов свойств системы, состоящей из двух взаимно обращающихся частиц с конечными массами, следует использовать общую приведённую массу.
Приведённая масса m системы, состоящей из электрона и протона, учитывает их обращение вокруг общего центра масс и мало отличается от массы электрона. Она равна
m= meMp /(me+Mp) =1840/1841
Введя приближение me<< Mp, можно принять m = me.
Формула Бора строго вытекает из решения уравнения Шрёдингера для атома H. Квантово-механический вывод логически строен, но это достигается за счёт весьма существенного усложнения математического аппарата.
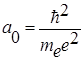
Величина a0 = 0.529 Ao называется боровским радиусом. В полуклассической квантовой теории он считается радиусом первой круговой орбиты, на которой электрон движется в основном квантовом состоянии, но эта примитивная картина требует коррекции. Её содержание будет раскрыто лишь в квантовой механике.
На самом деле боровский радиус это расстояние наиболее вероятного удаления электрона от ядра на низшем энергетическом уровне - в основном состоянии атома H.
Задача 4.3. Вычислить ребро кубического ящика, в котором энергия первого электронного возбуждения совпадает с энергией первого перехода в атоме водорода. Сравните размеры атома и “ящика”.
ПРИМЕЧАНИЕ: Решение можно проводить в числах или в виде формул.
Теория к задаче 4.3.
Расстояние между квантованными уровнями энергии частицы в “ящике” зависит от массы частицы и размеров ящика, и квантование проявляется только для микрочастиц в пространстве, соответствующем атомным размерам.
Уровни трёхмерного кубического “ящика” легко получаются суммированием трёх одномерных уровней с учётом движений вдоль трёх направлений.
Возникает три независимых квантовых числа по числу механических степеней свободы.
4.2.1. Движение в ограниченном кубическом объёме.

Здесь L-ребро куба; m= масса электрона; e= заряд электрона.
Суммируя одномерные уровни, получаем

В кубическом ящике все рёбра одинаковы, и его энергетическая постоянная равна Bt=h2/8mL2, и уровни выражаются через неё в виде
![]()
Вычисления.
Каждое состояние (в квантовой механике – каждая волновая функция) характеризуется тройкой независимых квантовых чисел (nx, ny, nz).
Основной уровень характеризуется единственным набором возможных квантовых чисел (nx, ny, nz) = (1,1,1).
Меньше 1 квантовое поступательное число не может быть.
Первый возбуждённый уровень характеризуется уже тремя наборами квантовых чисел (nx, ny, nz) =(1,1,2); (1, 2, 1); (2,1,1).
Каждый набор отвечает одному состоянию. Все три принадлежат к одному и тому же ТРИЖДЫ ВЫРОЖДЕННОМУ уровню. Нас интересует квантовый переход [(1,1,1) Û (1,1,2); (1, 2, 1); (2,1,1)]
или в терминах дискретных квантованных уровней E111Û E112.
Примечание:
У первого уровня статистический вес (кратность вырождения) g=1,
У второго уровня статистический вес (кратность вырождения) g=3,
Статистические веса (вырожденности уровней) на энергии не сказываются.
Таким образом разность сумм квадратов квантовых чисел будет равна
[(nx) 2 + (ny) 2+ (nz) 2] возб - [(nx) 2 + (ny) 2+ (nz) 2] основн= (1+1+4) - (1+1+1) =3
Получаем формулу для энергии первого перехода (первого возбуждения) в ящике
. (4.11)
Энергетические уровни электрона в атоме водорода равны:
(4.12)
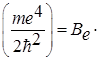
Здесь введена энергетическая постоянная для атома H:
(4.13)
Первый переход отвечает возбуждению (1®2) т.е. с уровня n=1 на уровень n=2.
Соответственно
. (4.14)
Энергии возбуждения в ящике и в атоме равны по условию задачи.
Поэтому
. (4.15)
Вспоминаем, что боровский радиус 
и преобразуем предыдущий результат
. (4.16)
Откуда следует решение в аналитическом виде
L=2 a0; (4.17)
Поскольку "диаметр" 1-й орбитали по Бору равен d0=2a0, то получается, что диаметр атома в раз меньше размера ящика.
Этот же результат можно получить непосредственно в числовых значениях.
В данном выводе не использовались особенности системы СИ в формулах сил и энергий кулоновского взаимодействия.
В системе СГС результат выводится проще без необходимости введения диэлектрической постоянной вакуума. В СГС она равна просто 1.