| Скачать .docx |
Реферат: Полимеры
Содержание
1. Свойства полимера и выбор мономера
2. Молекулярная масса — важнейшая характеристика полимера
3. Проблемы, возникающие при растворении полимеров
4. Вязкость растворов полимеров
5. Фазовое разделение растворов полимеров
6. Фазовое разделение при нагревании водных растворов полимеров с оксиэтиленовыми группами
7. Влияние растворителей и поверхностно-активных веществ на растворы полимеров
1. Свойства полимера и выбор мономера
Синтетические полимеры получают полимеризацией мономеров. Мономеры в процессе полимеризации поставляют повторяющиеся единицы; например, акриловая кислота полимеризуется в полиакриловую кислоту. Полимер может быть линейным, разветвленным или поперечно сшитым, как показано на рис. 1, а. Чтобы понять поведение полимера в растворе, важно представлять, к какому типу полимеров принадлежит данный полимер, поскольку свойства их растворов сильно различаются.
Если в синтезе полимера участвовало более одного вида мономеров, его называют сополимером. Мономерные звенья в сополимере могут быть либо статистически распределены, либо образовывать блоки, либо цепи одного из мономеров прививаются к цепи другого мономера как к основе, как это показано на рис. 1, б. Свойства растворов и поверхностные химические свойства очень сильно зависят от того, к какой группе принадлежит сополимер. Некоторые структуры, приведенные на рис. 1, б, обладают поразительной поверхностной активностью.
Синтетические полимеры удобно классифицировать по полярности мономерных звеньев: 1) неполярные полимеры; 2) полярные, но нерастворимые в воде полимеры, например поли и поли; 3) водорастворимые полимеры, например поли и поливиниловый спирт; 4) ионизующиеся полимеры, например полиакриловая кислота.


Рис. 1. Полимеры классифицируются по структуре и химическому составу макромолекул
Конфигурация полимера в растворе зависит от баланса между взаимодействием сегментов с растворителем и взаимодействием сегментов друг с другом. Полимер может быть в состоянии статистического клубка, иметь вытянутую или спиральную конфигурацию. Синтетические полимеры обычно имеют конфигурацию статистического клубка. Полиэлектролиты, в которых мономерные единицы заряжены, при определенных условиях образуют жесткие стержни.
2. Молекулярная масса — важнейшая характеристика полимера
За исключением белков, почти невозможно найти полимер, в котором все макромолекулы имели бы одну и ту же молекулярную массу. Синтетические полимеры, а также полисахариды характеризуются распределением по молекулярным массам, которое зависит от метода синтеза полимера и способов фракционирования. Схематически молекулярно-массовое распределение полимера показано на рис. 2. Важно понимать, что некоторые физические свойства полимеров более чувствительны к наличию низкомолекулярных фракций, другие — к наличию высокомолекулярных фракций. Молекулярно-массовое распределение удобно определять методом гель-проникающей хроматографии. Величину молекулярно-массовой полидисперсности можно получить, определив среднюю молекулярную массу двумя методами с различным способом усреднения.
Среднечисленная молекулярная масса Mn концептуально наиболее проста и определяется как
![]()
где Ni — число молекул, имеющих молекулярную массу Mi . Величину Mn можно определять по понижению точки замерзания, по осмотическому давлению, а также с помощью химического анализа концевых групп.
Другая усредненная характеристика — средневесовая молекулярная масса Mw , когда усредняющим множителем служит масса w. Средневесовая молекулярная масса определяется как
![]()

Рис. 2.Схема распределения полимера по молекулярным массам
Экспериментально величину Mw можно найти методами светорассеяния, классического или квазиупругого. Молекулярная масса Mw чувствительна к высокомолекулярным фракциям, поэтому всегда превышает величину Mn . Для пояснения этого проведем следующий расчет. Если мы имеем 100 молекул с молекулярной массой 100 и одну молекулу с молекулярной массой 10000, Mn равна -200, a Mw — 5000. Поэтому при определении молекулярной массы методом светорассеяния очень важно контролировать условия для избежания загрязнения дисперсными частицами, например пылью, поскольку это будет сильно влиять на результат. Отношение средневесовой молекулярной массы к среднечис-ленной молекулярной массе служит мерой полидисперсности образца. Образец можно считать монодисперсным, если это соотношение не превышает 1.1.
3. Проблемы, возникающие при растворении полимеров
Растворение полимера иногда вызывает проблемы не только в лаборатории, но и в промышленном масштабе. Процесс растворения полимера начинается с того, что растворитель, более подвижный, чем полимерные цепи, проникает между ними и вызывает набухание полимера. Раствор полимера затем становится очень вязким и липким. В результате весь полимер налипает на стенки контейнера. На следующей стадии процесса растворения полимерные цепи распутываются и диффундируют из геля в растворитель. Это медленный процесс, поскольку динамика полимерных цепей, которая в свою очередь зависит от молекулярной массы полимера, является лимитирующей стадией растворения. Полимер, налипший на стенки контейнера, имеет небольшую площадь контакта с растворителем, поэтому растворение занимает много времени. Например, растворение поли в воде при нейтральном рН занимает по крайней мере 24 часа.
Известны некоторые приемы, позволяющие преодолеть проблему растворения полимеров. В промышленности применяют разбавление готовых высококонцентрированных растворов полимера. Другой путь — использование порошкообразных полимеров. Например, поли при высоких рН не растворяется в воде, но порошок полимера легко диспергируется в воде при рН выше 8 при сильном перемешивании. Затем рН быстро снижают до 3-4 при энергичном перемешивании. При этом частицы полимера не агломерируют, а наоборот начинают растворяться. Таким образом процесс растворения будет протекать на несколько порядков быстрее, поскольку суммарная площадь полимерных частиц гораздо больше, чем у полимера, налипшего на стенки контейнера.
4. Вязкость растворов полимеров
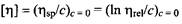
Измерение вязкости растворов полимеров при низких концентрациях позволяет получить важную информацию. Для измерения вязкости можно воспользоваться капиллярным вискозиметром Убеллоде. Метод заключается в измерении времени / истечения из капилляра раствора полимера, которое сравнивается с соответствующим временем to для растворителя. Вязкость пропорциональна произведению времени истечения и плотности жидкости. Плотность разбавленных растворов мало отличается от плотности чистого растворителя. Ниже приведены общепринятые обозначения вязкостей растворов.
Относительная вязкость =![]()
Удельная вязкость =![]()
Приведенная вязкость =![]()
Собственная вязкость =![]()
Характеристическая вязкость![]()
Удельная вязкость является мерой «сгущения» раствора полимера по сравнению с растворителем. Эта величина сильно зависит от концентрации полимера, поэтому приведенная вязкость несет больше информации о специфических особенностях раствора полимера. Зависимость приведенной вязкости или собственной вязкости от концентрации полимера обычно имеет вид прямой. Экстраполяция этой зависимости к нулевой концентрации позволяет определить характеристическую вязкость
которую также называют предельным числом вязкости. Характеристическая вязкость не зависит от концентрации полимера, но зависит от свойств растворителя. Эта величина также зависит от молекулярной массы полимера, и ее можно использовать для определения средневязкостной молекулярной массы
, пользуясь уравнением Марка-Хаувинка:
![]()
где К и б — постоянные. Для большинства сочетаний полимер-растворитель эти постоянные известны, их можно найти в литературе, например в справочнике «Polymer HandbooL·, Brandrup, Immergut. Средне-вязкостная молекулярная масса занимает по величине промежуточное положение между среднечисленной и средневесой молекулярными массами.
5. Фазовое разделение растворов полимеров
В растворах двух жидкостей молекулы «свободно блуждают» внутри сосуда, следствием чего является большая энтропия жидкой смеси. В полимере сегменты связаны друг с другом, образуя «гирлянды». Поэтому энтропия одного сегмента полимера намного меньше, чем энтропия свободной молекулы растворителя. Таким образом, растворы полимеров имеют пониженную суммарную энтропию и, следовательно, они менее стабильны и более склонны к фазовому разделению, нежели смеси обычных низкомолекулярных жидкостей. Флори и Хаггинс в конце 1940-х гг. впервые провели соответствующие количественные оценки. Результат этих исследований позже стал известен как теория растворов полимеров Флори-Хаггинса. Растворы полимера с большой молекулярной массой менее устойчивы по отношению к фазовому разделению, нежели растворы того же полимера с низкой молекулярной массой. Следовательно, при фазовом разделении раствора полимера высокомолекулярные частицы выделяются из раствора в первую очередь, а более низкомолекулярные частицы остаются в растворе. На этом явлении основано фракционирование полимеров по молекулярной массе.
Температура, при которой происходит фазовое разделение 1%-ного раствора полимера, называется точкой помутнения. Называется она так из-за резкого помутнения раствора полимера при достижении этой температуры. Самую высокую или самую низкую температуру, при которых происходит фазовое разделение, называют критической температурой, а соответствующая концентрация полимера называется критическим составом. Температура и концентрация при этих условиях называется критической точкой. Следует обратить внимание на отличие критической точки и температуры помутнения. Последняя представляет собой температуру фазового разделения раствора при определенной концентрации полимера, обычно равной 0.1 или 1%. Тогда как первая величина представляет собой минимум или максимум зависимости температура-концентрация для фазового разделения на фазовой диаграмме.
Будет ли полимер растворяться в данном растворителе, определяется балансом двух членов в уравнении свободной энергии. Первый из них связан с энтропией смешения', для полимеров в растворе он минимален. Энтропия смешения всегда способствует смешению компонентов. Второй — энтальпия смешения, которая является мерой энергии взаимодействия полимерных сегментов с растворителем по сравнению с энергией взаимодействия сегментов друг с другом и молекул растворителя между собой. Этот член обычно положителен и поэтому противодействует смешению двух компонентов. Так, для большинства систем полимер-растворитель устойчивость к фазовому разделению понижается с уменьшением температуры. В таких системах при достаточном понижении температуры происходит фазовое разделение раствора. При этом отделяется фаза концентрированного раствора, которая находится в равновесии с разбавленным раствором полимера. Кроме того, фазовое разделение раствора полимера можно вызвать добавлением нерастворяющей жидкости к системе полимер-растворитель. С хорошим приближением смесь растворителей можно считать «усредненной» жидкостью, обеспечивающей усреднение энергий взаимодействия с полимерными сегментами.
6. Фазовое разделение при нагревании водных растворов полимеров с оксиэтиленовыми группами
Водные растворы некоторых полимеров характеризуются необычным фазовым поведением с фазовым переходом при повышении температуры. Почти все системы, содержащие полиэтиленоксиды, принадлежат к этой группе полимеров. При очень высоких температурах двухфазная область сокращается, и система снова становится гомогенной благодаря тому, что повышенная тепловая энергия противодействует другим силам, действующим в системе. Высокомолекулярные фракции полимера выделяются из раствора при ~98°С, а низкомолекулярные фракции начинают выделяться из раствора при более высоких температурах.
Если увеличить гидрофобность полимера, например путем присоединения к полимерной цепи углеводородных остатков, температура фазового разделения понижается. Температуру фазового разделения обычных неионных ПАВ, которые можно рассматривать как сополимер полиэтиленоксида и полиэтилена, называют точкой помутнения, которая определяется при концентрации НПАВ 1 мас.%.
Температура фазового разделения системы полиэтиленоксид-вода сильно зависит от добавок солей, причем влияет не только концентрация соли, но и ее природа. Роль катиона в этом случае незначительна, тогда как тип аниона оказывает на фазовое разделение существенное влияние. На рис. 3, б показано влияние галогенидионов на точку помутнения. Различное понижение точки помутнения при введении в систему галогенид-ионов объясняют более сильной адсорбцией поляризующихся ионов на полиэтиленоксидной цепи, что сообщает полимеру полиэлектролитные свойства. В результате устойчивость системы к фазовому разделению повышается. Другие типы полимеров с полиэтиленоксидными цепями также обнаруживают фазовое разделение при нагревании. К таким полимерам относится, например, этилгидроксиэтилцеллюлоза. На рис. 4 показано, как различные соли влияют на точку помутнения водных растворов ЭГЭЦ. Сильно поляризующиеся ионы, к которым относятся иодид- и тиоцианат-ионы, существенно повышают точку помутнения вследствие адсорбции на полимере. В то же время точка помутнения понижается при больших концентрациях соли. Таким образом, при большой ионной силе полимер «высаливается» из раствора. Наиболее сильно снижают точку помутнения сульфаты и фосфаты.
7. Влияние растворителей и поверхностно-активных веществ на растворы полимеров
Как и поляризующиеся ионы, высшие спирты адсорбируются на макромолекулах этилгидроксиэтилцеллюлозы. Однако в этом случае точка помутнения полимера понижается, поскольку комплекс полимер-спирт оказывается более гидрофобным.
Поверхностно-активные вещества адсорбируются на макромолекулах ЭГЭЦ. Понижение точки помутнения проявляется сильнее с увеличением ионной силы вследствие экранирования зарядов при адсорбции додецилсульфат-иона. При дальнейшем увеличении концентрации ПАВ точка помутнения снова увеличивается из-за образования мицелл на макромолекулах.
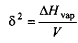
При поиске растворителя для конкретного полимера полезно использовать параметр растворимости. Концепция параметра растворимости базируется на предположении, что «подобное растворяется в подобном». Как упоминалось выше, полимер не растворяется в некоторых жидкостях из-за большой разницы энергий взаимодействия сегментов полимера с молекулами растворителя и энергии взаимодействия сегмент-сегмент и молекул растворителя друг с другом. Чтобы достичь некоторой растворимости полимера энергия взаимодействия сегмент-растворитель должна по возможности быть близкой к энергии взаимодействия сегмент-сегмент и молекула растворителя-молекула растворителя. Энтальпия испарения, отражающая силы когезии жидкости, используется как мера энергии взаимодействия. Однако энтальпия испарения AHvap зависит от молярного объема V9 поэтому ее необходимо нормировать. А нормированная величина дает плотность энергии когезии:
![]()

Рис.4. Понижение температуры помутнения этилгидроксиэтилцеллюлозы в растворах различных солей

Рис. 5.Температура помутнения водных растворов 0.1% ЭГЭЦ в отсутствие солей сильно зависит от введения алифатических спиртов
Чтобы найти подходящий растворитель для определенного полимера, прежде всего нужно найти его параметр растворимости, а затем выбрать растворители, имеющие значения параметров растворимости, близкие к параметру растворимости полимера. Например, параметр растворимости полистрирола равен 1 кал см, хорошими растворителями для него служат циклогексан, бензол и метилэтилкетон, тогда как н-гексан и этанол относятся к «нерастворителям», т. е. они не растворяют полистирол.
Для более детального анализа параметр растворимости разлагают на вклады дисперсионных сил, полярных сил и водородных связей. Тогда параметр растворимости можно записать в виде где индексы d, с и h относятся к вкладам дисперсионных и полярных взаимодействий и водородных связей в общий параметр растворимости. Существует другой подход, в котором учитывают вклады в параметр растворимости ван-дер-ваальсовых и кислотно-основных взаимодействий.
Тета температура является одним из важнейших параметров, описывающих систему полимер-растворитель. При этой температуре сегменты полимера не могут «различить», находятся они в контакте друг с другом или в контакте с молекулами растворителя. При этом полимер будет принимать конфигурацию, которой он обладал бы в жидком состоянии. Можно сказать, что полимер находится в «невозмущенном» состоянии по размеру. Обычные растворители повышают качество растворителя при увеличении температуры вследствие роста тепловой энергии. В результате сегменты полимера стремятся контактировать преимущественно с молекулами растворителя, а не находиться в контакте друг с другом. Это приводит к увеличению клубка макромолекулы. В то же время при температурах ниже тета-температуры сегменты полимера предпочтительно взаимодействуют между собой, а не с молекулами растворителя. При этом макромолекула сжимается. Тета-температуру называют также температурой Флори, а растворитель или смесь растворителей, использующихся при этой температуре, называют тета-растворителем.
Размер макромолекулярного клубка обычно характеризуют радиусом инерции Rg , а расширение или сжатие клубка по сравнению с размерами при те-та-условиях описывается выражением
![]()
где Rg — радиус инерции полимерного клубка при тета-температуре. Попутно заметим, что полимеры используются в смазочных маслах для предотвращения снижения вязкости с увеличением температуры, что характерно для масел. При повышенной температуре полимер увеличивается в объеме, что регулирует вязкость смазочного масла.
Возвращаясь к фазовым диаграммам, отметим, что критическая температура системы асимптотически стремится к некоторому значению при увеличении молекулярной массы полимера. Предельное значение критической температуры при сколь угодно большой молекулярной массе полимера идентифицировано как тета-температура. Тета-температура может быть определена из зависимости обратной критической тепературы от суммы обратной молекулярной массы и обратного корня квадратного из молекулярной массы. Примеры таких зависимостей приведены на рис. 6 для двух систем полимер-растворитель.
Повысить устойчивость коллоидных частиц или капелек эмульсий против флокуляции можно за счет адсорбции полимера на поверхности частиц. Если частица достаточно хорошо покрыта полимером, а сегменты полимера распространяются в раствор, частица ведет себя как полимер с бесконечно большой молекулярной массой. Этот факт имеет фундаментальное значение для понимания устойчивости дисперсных систем. Отсюда вытекает, что такая система будет подвергаться флокуляции при тех же условиях, когда система полимер-растворитель оказывается в тета-условиях. Полимерная система с бесконечно большой молекулярной массой в этих условиях будет претерпевать фазовое разделение. Это было убедительно доказано для большого числа систем.

Рис. 6.Определение и-температуры для растворов полистирола в циклогексане и полиизобу-тилена в диизобутилкетоне
Знание тета-условий имеет принципиальное значение для получения дисперсных систем, стабилизированных полимерами.