| Скачать .docx |
Курсовая работа: Курсовая работа: Пиразолы, тетразолы и триазолы
Федеральное агентство по образованию
Государственное образовательное учреждение высшего профессионального образования
Самарский государственный технический университет
Кафедра: «Органическая химия»
Курсовая работа
Выполнил: студент _________________
(подпись)
Руководитель: _________________
(подпись)
Работа защищена
“___“ __________ 2008г.
Оценка _______Зав. кафедрой: доцент, д. х. н._________________
(подпись)
Самара, 2008 г.
Оглавление
1. Введение. 3
1.1.Свойства. 3
1.2.Практическое применение. 3
1.3.Методика синтеза. 4
2.Литературный обзор. Пиразолы, тетразолы и триазолы.. 5
2.1.Общие сведения. 5
2.2.Получение пиразолов реакцией синтеза кольца. 6
2.3.Свойства пиразолов. 8
2.3.1.Реакции замещения. 8
2.3.2.Реакции, приводящие к раскрытию цикла. 11
3.Выводы.. 15
Список литературы.. 16
1.1. Свойства
Циклическая система пиразола I представляет собой дважды ненасыщенное пятичленное кольцо с двумя рядом расположенными атомами азота. Кнорр впервые в 1883 г. синтезировал соединение, содержащее этот цикл. При проведении реакции ацетоуксусного эфира с фенилгидразином он получил 1-фенил-3-метил-5-пиразолон II. Вслед за изучением хинина Кнорр стал проводить исследования противолихорадочного действия II и родственных соединений; так было открыто важное жаропонижающее средство, антипирин III. Для этих соединений Кнорр ввел название пиразолы, отмечая тем самым, что данное ядро произошло из пиррола путем замены атома углерода на азот; он синтезировал много представителей этого класса и систематически изучал их свойства.

В соответствии с общими правилами номенклатуры гетероциклических соединений принята нумерация пиразолов, указанная в формулах I и II, а также названия пиразолин и пиразолидин для дигидро- и тетрагидропиразолов IV и V.

Известны три общих метода синтеза циклической системы пиразола.
Реакция гидразина и его производных, например арил- или алкилгидразинов, семикарбазида или аминогуанидина с 1,3-дикарбонильными соединениями.

Аналогичен синтез пиразолонов из β-кетоэфиров.
![]()
Реакция гидразинов с α,β-ненасыщенными карбонильными соединениями.

Пиразолоны и пиразолидоны получают из соответствующих α,β-ацетиленовых или этиленовых кислот или их производных.
Реакция алифатических диазосоединений типа диазометана или диазоуксусного эфира с ацетиленами и олефинами.

Кроме того, имеется ряд менее общих методов, находящих применение лишь в отдельных случаях.
Так как фенилгидразин является наиболее легкодоступным гидразином, особое внимание было уделено 1-фенилпиразолам, которые в настоящее время можно считать самыми важными и наиболее тщательно исследованными производными. Поскольку многие лекарственные препараты и красители содержат пиразольное ядро, этот класс соединений широко изучался и исследования продолжаются и теперь, несмотря на то, что антипирин и родственные медикаменты больше не используются в США. Пиразолоновые красители особенно важны в цветной фотографии.
2. Литературный обзор . Пиразолы, тетразолы и триазолы
2.1. Общие сведения
Производные этих гетероциклов представляют собой устойчивые ароматические соединения. Многие из них используются в промышленном производстве лекарственных препаратов, пестицидов и красителей. В качестве примеров можно привести гербицид соль пиразолия 9 (дифеиэокват), раксил (10) — фунгицид, используемый для зашиты растений, фенилбутазои (11) — противовоспалительное средство и флуконазол (12) — лекарственный препарат для лечения грибковых инфекций. Производные 1,2,3-триазола применяют в качестве оптических отбеливателей. Тетразолы имеют важное значение в медицинской химии, так как N-незамещенные тетразолы можно рассматривать как аналоги карбоновых кислот: величины их рК, сравнимы (разд. 8.1), и они представляют собой плоские, делокализованные системы с примерно такими же пространственными требованиями. Были синтезированы аналоги аминокислот и многих других природных карболовых кислот, в молекулах которых карбоксильная группа заменена тетразольным циклом.
. 
2.2. Получение пиразолов реакцией синтеза кольца
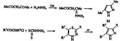
Эти гетероциклы можно синтезировать с помощью реакций замыкания цикла и циклоприсоединения. Наиболее общий метод получения пиразолов заключается во взаимодействии 1,3-дикарбонильных соединений или их аналогов (таких, как сложные эфиры енолов) с гидразинами. В качестве примера приведем синтез 3,5-диметилпиразола (13) из пентан-диона-2,4 и гидразина. Недостаток этого метода заключается в том, что несимметричные дикарбонильные соединения или их производные иногда образуют смеси изомерных пиразолов. К хорошим результатам в получении некоторых N-незамещенных пиразолов приводит взаимодействие гидразидов XCSNHNH2 (X=.SR или NR2) с а-галогенокетонами. В ходе реакции в качестве интермедиатов образуются тиадиазины 14, которые либо самопроизвольно, либо при обработке кислотами элиминируют атом серы и превращаются в пиразолы с хорошим выходом.

Пиразолы можно также получить циклизацией ацетиленовых гидразинов, электроциклизацией ненасыщенных диазосоединений, 1,3-диполярным циклоприсоединением диазосоединений и нитрилимидов.
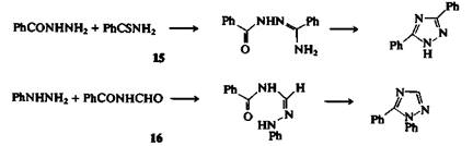
Существует много удобных методов синтеза 1,2,4-триазолов, наиболее важные из которых основаны на создании и циклизации структур типа N—С—N—N—С и С—N—С—N—N. В качестве примера первого типа можно привести термическую конденсацию ацилгидразида с амидом или (что лучше) с тиоамидом (реакция Пеллиццари); так, бензоилгидразид вступает в реакцию с тиобенза-мидом при 140 °С с образованием 3,5-дифенил-1,2,4-триазола (15). Примером второго типа циклизации служит реакция Эйнхорна — Бруннера, в которой гидразин или монозамещенный гидразин конденсируется с диациламином в присутствии слабой кислоты. Так, при взаимодействии фенилгидразина и N-формальбензамида образуется с хорошим выходом 1,5-дифенил-1,2,4-триазол (16).

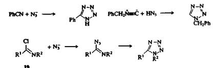
1Н-1,2,3-Триазолы могут быть получены 1,3-диполярным присоединением разнообразных ароматических азидов XN3 (X = алкил, винил, арил, ацил, арилсульфонил и т. д.) к ацетиленам. Некоторые соединения (енолят-анионы, простые эфиры енолов, енамины, а-ацил-фосфорилиды) при взаимодействии с азидами дают 1,2,3-триазолы. Например, илид 17 реагирует с азидобензолом в растворе при температуре 80 °С с образованием 1,5-дифенил-1,2,3-триазола с хорошим выходом. Эти реакции, в противоположность присоединению к ацетиленам, высоко региоселективны. Иногда при присоединении азидов (например, триметилсилил- или ацилазидов) образуются 2Н-1,2,3-триазолы; при этом, очевидно, миграция заместителя к атому N-2 происходит после замыкания цикла. Наиболее часто 2Н-1,2,3-триазолы получают из 1,2-дикетонов. Примером реакции такого типа может служить окислительная циклизация в присутствии солей меди(Н) бис-арилгидразонов 1,2-дикетонов. Возможный механизм циклизации бис-фенилгндразонов а-кетоальдегидов 18 приведен ниже.

Некоторые распространенные методы получения тетразолов заключаются в присоединении азотистоводородной кислоты (Н3N) или азид-ионов к соединениям, содержащим кратную связь углерод — азот. Примерами таких реакций могут служить:
а) синтез 5-фенилтетразола нагреванием бензонитрила и азида натрия в N,N-диметилформамиде,
б) образование 1-бензилтетразола из бензилизонитрила и азотистоводородной кислоты в присутствии следовых количеств серной кислоты
в) превращение имидоил-хлоридов 19 в 1,5-дизамещеиные тетразолы взаимодействием с НЫз или азидом натрия. 2,5-Дизамещенные тетразолы могут быть получены другим способом — реакцией амидразонов 20 с азотистой кислотой.


2.3. Свойства пиразолов
Химические свойства этих азолов отличаются от свойств пиррола тем значительнее, чем больше число атомов азота в молекуле. Для этих циклических систем относительно редки реакции злектро-фильного замещения по атому углерода, так как атомов углерода в молекуле меньше, и злектрофилы преимущественно атакуют атомы азота. Пиразолы можно хлорировать и бромировать в мягких условиях по положению 4. 4-Нитропиразол можно получить непрямым синтезом из пиразола: при взаимодействии с ацетатом нитро-ния (N02 "tAc- ) образуется 1-нитропиразол (21), который при обработке серной кислотой превращается в 4-нитропиразол. Эта реакция, по-видимому, протекает с переносом группы N02 + через стадию образования промежуточного катиона 22, так как было показано, что 1-нитропиразол можно использовать как удобный и эффективный нитрующий агент для ароматических углеводородов в присутствии кислот. 1,2,3-Триазол может быть превращен в 4,5-дибромопроизводное реакцией с гипобромитом натрия в уксусной кислоте, а 1,2,4-триазол можно прохлорировать по положению 3, причем реакция идет через образование 1-хлоропроизводиого, которое может быть выделено. Таким образом, для этих циклических систем возможно электрофильное замещение по атому углерода, но процесс идет через образование интермедиата, получаемого в результате первоначальной атаки электрофилом атома азота.

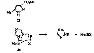
Азолы могут быть проалкилированы по атому азота с помощью разнообразных алкилирующих агентов, но часто бывает трудно предсказать, какой из возможных изомеров образуется. Со- отношение изомеров обычно в значительной степени зависит oт природы алкилирующего агента и условий проведения реакции. На пример, метиловый эфир 5-метилпиразол-З-карбоновой кислоть (23) метилируется диазометаном по атому N-1, а метилиодидом — по атому N-2. Иногда на образование тех или иных соединение оказывают влияние пространственные факторы: например, 4-фенил 1,2,3-триазол метилируется диметилсульфатом по атомам N-1 iN-2, а не N-3. Некоторые N-триметилсилилазолы можно про алкилировать селективно; например, 1-триметилсилил-1,2,4-триазо; (24), который легко получить из 1,2,4-триазола, алкилируется по положению 2. Триметилсилильная группа в ходе реакции отщепляется.

Существует много примеров кватернизации N-замещенных азолов при взаимодействии с алкилирующими агентами. Можно получить даже дичетвертичные соли: например, 1 -метил-1,2,4-триазол успешно метилируется по атомам N-4 и N-2 в избытке тетрафторобората триметилоксония, а соль 25 может быть выделена в виде твердого кристаллического вещества.

Некоторые азолы вступают в реакции нуклеофильного замещения в случае, если заместители у атомов углерода представляют собой хорошие уходящие группы. 5-Бромо- или 5-хлоро-1-замещенныететразолы могут быть превращены в другие 5-замещенные соединения взаимодействием с нуклеофилами. 1,5-Дизамещенные тетразолы реагируют легче, чем их 2,5-изомеры, вероятно, из-за того, что образующиеся интермедиаты более стабильны.

Рис. 1. Реакции нуклеофильного замещения 5-6ромо-1-метилтетразола и 5-бромо-2-метилтетразола.
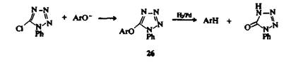
Катализируемая основаниями реакция 5-хлоро-1-фенилтетразола с фенолами приводит к образованию эфиров 26, которые могут затем подвергаться восстановительному расщеплению при взаимодействии с водородом над палладиевым катализатором, что служит хорошим методом дезоксигенировния фенолов.

Замещение галогенов в этих азолах значительно облегчается при наличии дополнительных электроноакцепторных заместителей при атомах углерода или кватернизацией атома азота; например, в катионе триазолия 27 хлор легко замещается азид-ионами.

2.3.2. Реакции, приводящие к раскрытию цикла
Азолы обычно с трудом подвергаются раскрытию цикла. Эти соединения устойчивы к окислительному расщеплению и не раскрываются под действием большинства восстановителей. При взаимодействии 1,5-дизамещенных тетразолов с алюмогидридом лития образуются амины 28.

Некоторые 1,2,3-триазолы и тетразолы достаточно легко раскрываются при нагревании. Кольчато-цепиая таутомерия довольно обычна для 1,5-дизамещенных 1Н-тетразолов (рис. 2,а), а также наблюдается, но реже, для 1-замещенных 1,2,3-триазолов (рис. 2, б). Раскрытие цикла облегчается наличием электроноак-цепторных групп в положении 1; например, 1-циано-1,2,3-триазол, в противоположность большинству 1,2,3-триазолов, существует в растворе в равновесии с его диазоиминной таутомерной формой.

Рис. 2. Кольчато-цепная таутомерия тетразолов и 1,2,3-триазолов.
Цепные таутомеры обратимо циклизуются, но в зависимости от природы заместителей и условий реакции они могут перегруппировываться и подвергаться другим реакциям, в ходе которых происходит отщепление азота. При нагревании тетразолов и 1,2,3-триазолов, имеющих аминогруппу в положении 5, происходит пере группировка Димрота . Эта реакция проиллюстрирована для 5-амино-1 -фенил-1,2,3-триазолов на рис. 3. Положение равновесия таких перегруппировок зависит от природы заместителей и от рН растворителя.

Рис. 3. Перегруппировка Димрота.
При нагревании и облучении тетразолов и 1,2,3-триазолов происходит отщепление азота. Фотолизом или термолизом 2,5-дизамещенных тетразолов получают нитрилимиды, которые затем могут вступать в реакции 1,3-диполярного циклоприсоединения или 1,5-электроциклизации в зависимости от природы заместителей. При фотолизе 1,5-дизамещенных тетразолов получают соединения, образование которых, по-видимому, идет через имидоилиитреновый интермедиат: например, 1,5-дифенилтетразол превращается в 2-фенилбензимида-зол (29). Выше был приведен другой пример синтеза имидазола.

Аналогичным образом при термолизе или фотолизе 1-замещенных 1,2,3-триазолов образуются соединения, которые могут быть получены из имидоилкарбеновых интермедиатов. Направление процесса в значительной степени зависит от природы заместителей и условий реакции, но существует надежное подтверждение того, что некоторые продукты пирролиза 1,2,3-триазолов в газовой фазе образуются через короткоживущие 1 Н-азириновые интермедиаты 30.

Возможно наиболее замечательным применением реакций, идущих с отщеплением азота, можно назвать использование хлорида тетразол-5-диазония (31) в качестве источников атома углерода. Соль 31 осторожно разлагают нагреванием в присутствии реагентов, которые могут захватывать образующийся моноатомный углерод.

При нагревании и облучении 1Н-пиразолов и 1,2,4-триазолов, в которых отсутствует группа -N=N—, редко происходит раскрытие цикла. Некоторые пиразолы подвергаются фотоперегруппировке в имидазолы (аналогично фотохимическим перегруппировкам фуранов и тиофенов). Например, 1,3-диметилпиразол (32) при облучении превращается в 1,2-диметилимидазол (33)
Попытки провести реакции замещения через С-металлированные интермедиаты не всегда приводят к успеху, так как эти промежуточные соединения легко раскрываются: например, и 5-литий-1-метилтетразол (34) и 5-литий-1,4-дифенил-1,2,3-тетразол термически неустойчивы и разлагаются с выделением азота при температуре выше - 50 °С.

Термическое или фотохимическое выделение азота из дигидро-производных таких циклических систем (например, 4,5-дигидро-ЗН-пиразолов и 4,5-дигидро-1,2,3-триазолов) происходит значительно легче, чем для полностью ароматических гетероциклов. Элиминирование азота из 4,5-дигидро-1,2,3-триазола обычно приводит к образованию азиридинов: эта реакция описана как препаративный метод синтеза азиридинов. Аналогично, разложением дигидропиразолов успешно получают циклопропаны. Подобная фрагментация может привести к образованию циклопропанов с высокими выходами, хотя стереоселективность реакции сильно зависит от природы заместителей и способа разложения. Два препаративных метода приведены на рис. 4.
1
Рис. 4. Образование и разложение 4,5-дигидро-ЗН-пиразолов.
Список литературы
1. Общая органическая химия. Карбоновые кислоты и их производные. Том 4. М., Химия, 1983, 729с.
2. Шабаров Ю.С. Органическая химия: В 2-х кн. - М.:Химия, 1994.- 848 с.
3. Петров А.А., Бальян Х.В., Трощенко А.Т. Органическая химия. – М.: Высш. шк., 1973. - 623 с.
4. Препаративная органическая химия. Изд. 2-е, М., Госхимиздат, 1964.
5. Богословский Б.Н., Казакова З.С. Скелетные катализаторы, их свойства и применение в органической химии. М., Госхимиздат, 1957.
6. Цветков Л.А. Органическая химия: Учебник для 10-11 классов общеобразовательных учебных заведений. - М.: Гуманит. изд. центр ВЛАДОС, 2001;
7. Несмеянов А. Н., Несмеянов Н. А., Начала органической химии, кн. 1-2, М.,1969-70.;
8. Глинка Н. Л. Общая химия: Учебное пособие для вузов. – 23-е изд., испр./ Под ред. В. А. Рабиновича. – Л.: Химия, 1983;
9. Голодников Г.В. Практические работы по органическому синтезу. Л., Изд-во ЛГУ, 1966, 697с.
10. Дорофеенко Г.Н., Жданов Ю.А., Дуленко В.И. и др. Хлорная кислота и ее соединения ворганическом синтезе. Ростов, изд-во Ростовского ун-та, 1965.
11. Терней А. Современная органическая химия: В 2 т. - М.: Мир, 1981. - Т.1 - 670 с; Т.2 - 615 с.
12. Лабораторные работы по органической химии. Изд. 3-е. М., Высшая школа, 1974.
13. Храмкина М.Н. Практикум по органическому синтезу. Изд. 4-ое, Л., Химия. 1977.
14. В. Ф. Травень. Органическая химия. Том 1. – М.: Академкнига, 2004, - 708 с.
15. Голодников Г.В., Низовкина Т.В., Рыскальчук А.Т. Практикум по органическому синтезу. Л., Изд-во ЛГУ, 1967.