| Скачать .docx |
Реферат: Элементы d-блока периодической системы
1. Химические свойства и биологическая роль элементов d -блока
К d -блоку относятся 32 элемента периодической системы. Они расположены в побочных подгруппах периодической системы в 4-7 больших периодах между s- и p-элементами.
Характерной особенностью элементов d -блока является то, что в их атомах последними заполняются орбитали не внешнего слоя (как у s- и p-элементов), а предвнешнего [(n - 1)d] слоя. В связи с этим, у d-элементов валентными являются энергетически близкие девять орбиталей – одна ns-орбиталь, три nр-орбитали внешнего и пять (n - 1)d-орбиталей предвнешнего энергетического уровней:

Строение внешних электронных оболочек атомов d блока описывается формулой ( n -1) da nsb , где а=1~10, b =1~2.
2. Общая характеристика d -элементов
В периодах (слева направо) с увеличением заряда ядра радиус атома возрастает медленно, непропорционально числу электронов, заполняющих оболочку атома.
Причины – лантаноидное сжатие и проникновение ns электронов под d -электронный слой (в соответствии с принципом наименьшей энергии). Происходит экранирование заряда ядра внешними валентными электронами: у элементов 4-го периода внешние электроны проникают под экран электронов 3d-подуровня, а у элементов 6-го периода – под экран 4f и 5d электронов (двойное экранирование).
В периодах (слева направо) наблюдается уменьшение энергии ионизации, энергии сродства к электрону. Поскольку изменения энергии ионизации и энергии сродства к электрону незначительны, химические свойства элементов и их соединений изменяются мало.
В группах (сверху вниз) с увеличением заряда ядра атома возрастают энергия ионизации, относительная электроотрицательность элементов (ОЭО), нарастают неметаллические и кислотные свойства, уменьшаются металлические свойства элементов.
3. Кислотно-основные и окислительно-восстановительные свойства и закономерности их изменения
Элементы d-блока находящиеся в III, IV, V, VI, VIIB группах имеют незавершенный d-электронный слой (предвнешний эн. уровень). Такие электронные оболочки неустойчивы. Этим объясняется переменная валентность и возможность проявлять различные степени окисления d-элементов. Степени окисления элементов d-блока в соединениях всегда только положительные.
Соединения с высшей степенью окисления проявляют кислотные и окислительные свойства (в растворах представлены кислородсодержащими анионами). Соединения с низшей степенью окисления – основные и восстановительные свойства (в растворах представлены катионами). Соединения с промежуточной степенью окисления – проявляют амфотерные свойства.
Например: CrO основной оксид, Cr 2 O 3 – амфотерный оксид, CrO 3 – кислотный оксид.
![]()
В периоде с возрастанием заряда ядра атома уменьшается устойчивость соединений с высшей степенью окисления, возрастают их окислительные свойства.
В группах увеличивается устойчивость соединений с высшей степенью окисления, уменьшаются окислительные и возрастают восстановительные свойства элементов.
4. Окислительно-восстановительные свойства d -элементов в организме человека
Вследствие разнообразия степеней окисления для химии 3d-элементов характерны окислительно-восстановительные реакции.
В свою очередь, способность 3d-элементов изменять степень окисления, выступая в роли окислителей или восстановителей, лежит в основе большого количества биологически важных реакций.
В ходе эволюции природа отбирала элементы в такой степени окисления, чтобы они не были ни сильными окислителями, ни сильными восстановителями.
Нахождение в организме человека d-элементов в высшей степени окисления возможно только в том случае, если эти элементы проявляют слабые окислительно-восстановительные свойства.
Например, Мо+6 в комплексных соединениях в организме в организме имеет степень окисления +5 и +6.
Катионы Fe+3 и Cu+2 в биологических средах не проявляют восстановительных свойств.
Существование соединений в низших степенях окисления оправдано для организма. Ионы Mn+2 , Co+2 , Fe+3 при рН физиологических жидкостей не являются сильными восстановителями. Окружающие их лиганды стабилизируют ионы именно в этих степенях окисления.
5. Комплексообразующая способность d -элементов
Возможность создания химических связей с участием d-электронов и свободных d-орбиталей обуславливает ярко выраженную способность d-элементов к образованию устойчивых комплексных соединений.
При низких степенях окисления для d-элементов более характерны катионные, а при высоких – анионные октаэдрические комплексы.
КЧ d-элементов непостоянны, это четные числа от 4 до 8, реже 10,12.
Используя незаполненные d-орбитали и неподеленные пары d-электронов на предвнешнем электронном слое, d-элементы способны выступать как донорами электронов – дативная связь , так и акцепторами электронов.
Пример соединений с дативной связью: [ HgI ]¯, [ CdCl 4 ]¯.
6. Металлоферменты
Октаэдрическое строение иона комплексообразователя определяется способностью его орбиталей к d2 sp3 -гибридизаци. Например, для хрома (III), d2 sp3 -гибридизация будет выглядеть следующим образом:

Бионеорганические комплексы d-элементов с белковыми молекулами называют биокластерами . Внутри биокластера находится полость, в которой находится ион металла определенного размера, размер иона должен точно совпадать с диаметром полости биокластера. Металл взаимодействует с донорными атомами связующих групп: гидроксильные –ОН¯, сульфгидрильные –SH¯, карбоксильные –СОО¯, аминогруппы белков или аминокислот – NH2 .
Биокластеры, полости которых образуют центры ферментов, называют металлоферментами .
В зависимости от выполняемой функции биокластеры условно подразделяют на:
- транспортные, доставляют организму кислород и биометаллы. Хорошими транспортными формами м/б комплексы металлов с АМК. В качестве координирующего металла могут выступать: Со, Ni, Zn, Fe. Например – трансферрин.
- аккумуляторные , накопительные. Например – миоглобин и ферритин.
- биокатализаторы и активаторы инертных процессов .
Реакции, катализируемые этими ферментами подразделяются на:
Кислотно-основные реакции. Карбоангидраза катализирует процесс обратимой гидратации CO2 в живых организмах.
Окислительно-восстановительные.
Катализируются металлоферментами, в которых металл обратимо изменяет степень окисления.
А. Карбоангидраза, карбоксипептидаза, алкогольдегидрогеназа.
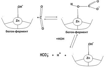
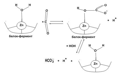
Карбоангидраза – Zn содержащий фермент. Фермент крови, содержится в эритроцитах. Карбоангидраза катализирует процесс обратимой гидратации CO2 , также катализирует реакции гидролиза, в которых участвует карбоксильная группа субстрата.
Н2 О + СО2 ↔ Н2 СО3 ↔ Н+ + НСО3 ¯ (механизм "цинк-вода")
ОН¯ + СО2 ↔ НСО3 ¯ (механизм "цинк-гидроксид")
Координационное число цинка 4. Три координационные места заняты аминокислотами, четвертая орбиталь связывает воду или гидроксильную группу.
Механизм действия:

Обратимая гидратация CO2 в активном центре карбоангидразы

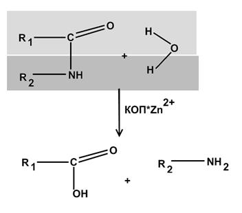
Карбоксипептидаза Zn содержащий фермент. Объектами концентрации являются печень, кишечник, поджелудочная железа.
Участвует в реакциях гидролиза пептидных связей.
Схема взаимодействия цинка карбоксипептидазы с субстратом ("цинк-карбонил"):

Схема реакции гидролиза пептидных связей карбоксипетидазы:

Алкогольдегидрогеназа это -содержащий фермент.
Б. Цитохромы, каталаза, пероксидаза.
Цитохром С . (см лекцию КС). Гемсодержащий фермент, имеет октаэдрическое строение.

Перенос электронов в окислительно-восстановительной цепи с участием этого фермента осуществляется за счет изменения состояния железа:
ЦХ*Fe3+ + ẽ ↔ ЦХ*Fe2+
Группы ферментов, катализирующие реакции окисления водородпероксидом, называются каталазами и пероксидазами . Они имеют в своей структуре гем, центральный атомом является Fe3+ . Лигандное окружение в случае каталазы представлено АМК (гистидин, тирозин), в случае пероксидазы – лигандами являются белки. Концентрируются ферменты в крови и в тканях. Каталаза ускоряет разложение пероксида водорода, образующегося в результате реакций метаболизма:
Н2 О2 + Н2 О2 ↔каталаза ↔ 2 Н2 О + О2
Фермент пероксидаза ускоряет реакции окисления органических веществ (RH) пероксидом водорода:
Н2 О2 + Н2 О*RH ↔пероксидаза ↔ 2 Н2 О + RCOOH
В. СОД, ОКГ, ЦХО, ЦП.
СОД – супероксиддисмутаза
– медьсодержащий белок. Ускоряет реакцию разложения супероксид-иона
, свободный радикал. Этот радикал вступая во взаимодействие с компонентами клети разрушает ее. СОД переводит супероксид-ион
в пероксид водорода. Который, в свою очередь, разлагается в организме под действием фермента каталазы.
Схематически процесс можно представить:
![]()
![]()
ОКГ – оксигеназы – ферменты, активирующие молекулу кислорода, которая участвует в процессе окисления органических соединений. Оксигеназы присоединяют оба атома кислорода с образованием пероксидной цепочки.
Механизм действия оксигеназ можно представить следующим образом:

Цитохромоксидаза – ЦХО – важнейший дыхательный фермент.
Катализирует завершающий этап тканевого дыхания. В ходе каталитического процесса степень окисления меди ЦХО обратимо изменяется: Cu2+ ↔Cu1+ .
Окисленная форма ЦХО (Cu2+ ) принимает электроны, переходя в восстановленную форму (Cu1+ ), окисляющуюся молекулярным кислородом, который сам при этом восстанавливается.
Затем кислород принимает протоны из окружающей среды и превращается в воду. Схема действия ЦХО:
![]()
Церулоплазмин – ЦП – медьсодержащий белок содержится в плазме млекопитающих. ЦП содержит 8 атомов меди на 1 молекулу белка. ЦП участвует в окислении железа:
![]()

Параллельно идет процесс окисления протонированных субстратов (RH) с образованием свободнорадикальных промежуточных продуктов:
HR → R + H+ + ẽ
В то же время ЦП катализирует восстановление кислорода до воды:
О2 + 4ẽ + 4Н+ →ЦП→ 2Н2 О
Выполняя транспортную функцию, ЦП регулирует баланс меди и обеспечивает выведение избытка меди из организма.
7. Железо, кобальт, хром, марганец, цинк, медь, молибден в организме: содержание, биологическая роль
| Элемент | Содержание в организме (взрослого человека) | Биологическая роль |
| Fe | 5 г (около 70% в гемоглобине) | Входит в состав гемоглобина, т.е. принимает участие в транспорте кислорода, обеспечивает процесс дыхания живых организмов. Входит в состав ферментов цитохромов, каталазы, пероксидазы. В связанной форме находится в некоторых белках, выполняющих роль переносчиков железа. |
| Co | Входит в состав витамина В12 . Влияет на углеводный, минеральный, белковый и жировой обмен, принимает участие в кроветворении. |
|
| Cr | 6 мг | Биогенный элемент. |
| Mn | 0,36 моль | Входит в состав ферментов аргиназа, холинестераза, фосфоглюкомутаза, пируваткарбоксилаза и д.р. Участвует в синтезе витаминов С и В, доказано его участие в синтезе хлорофилла. Участвует в процессе аккумуляции и переноса эрги. |
| Zn | Входит в состав ферментов катализирующих гидролиз пептидов, белков, некоторых эфиров и альдегтдов. | |
| Cu | 1,1 ммоль | Входит в состав ферментов окигеназ и гидролаз. Участвует в кроветворении. |
| Mo | Входит в состав ферментов, катализирующих ОВР: ксанингидрогеназа, ксантиноксидаза, альдегидоксидаза и д.р. Важный микроэлемент для растений: принимает участие в мягкой фиксации азота. |