| Скачать .docx |
Реферат: Учебное пособие: Экспериментальные данные и закономерности спектров соединения хромофоров
Рассмотрим теперь, как влияет присутствие в молекуле различных хромофоров и окружающей среды (растворителя) на спектр соединения.
Как известно, во многих случаях в электронных спектрах как в УФ-, так и в видимой области проявляется тонкая колебательная структура. Однако изменение условий регистрации спектра может привести к изменению его положения и формы, в том числе, к исчезновению колебательной структуры. Такое изменение спектра раствора фенола при переходе от растворителя, не образующего с растворенным веществом водородных связей, к растворителю, образующему такие связи, показано на следующем рисунке (рис. F1).
Влияние числа сопряженных двойных связей на спектр поглощения, положение максимума поглощения и его интенсивность показаны на следующем рисунке (рис. F2).
Видно, что с увеличением длины сопряженной системы происходит батохромный сдвиг максимума поглощения и возрастает его интенсивность (коэффициент экстинкции).
Более наглядно зависимости положения максимума поглощения показаны на рис. F3 (для линейных незамещенных полиенов) и F4 (для замещенных полиенов). Батохромный сдвиг с увеличением протяженности сопряженной системы в ароматических соединениях иллюстрирует рис. F5.
Спектры некоторых практически важных природных
хромофоров
Аминокислоты и белки
Вид спектров аминокислот определяется природой их боковых цепей. Ни одна из аминокислот не поглощает в видимой области и поэтому в отсутствие дополнительных хромофоров все белки бесцветны (не окрашены).
Аминокислоты с ароматическими заместителями в боковых цепях, в частности, триптофан и тирозин (рис. F6) ответственны за поглощение белков в области ниже 300 нм. Благодаря присутствию тирозина и триптофана поглощение белков максимально вблизи 280 нм. Это позволяет проводить оценочное определение концентрации белков в очищенных образцах или образцах, не содержащих других компонентов, поглощающих в этой области. Для количественного определения белков после элюирования с хроматографической колонки используется именно поглощение при 280 нм.
Нуклеиновые кислоты
Спектры свободных оснований и соответствующих нуклеозидов практически идентичны, так как поглощение в интервале от 250 до 270 нм при рН около 7 обусловлено только пуриновыми или пиримидиновыми компонентами (рис. F6). Максимум поглощения нуклеиновых кислот расположен около 260 нм и поглощение при этой длине волны может использоваться для оценки суммарной концентрации. Однако поглощение нуклеиновых кислот меньше суммы вкладов нуклеотидных компонентов. Это явление называется гипохромизмом нуклеиновых кислот и обусловлено слабым взаимодействием соседних звеньев двойной спирали. При денатурировании (при нагревании или в щелочном растворе) двойная спираль распадается и поглощение при 260 нм возрастает (гиперхромный эффект). Это изменение поглощения позволяет контролировать процесс денатурирования.
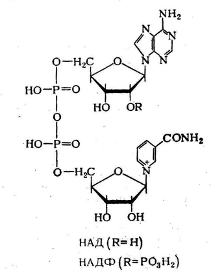
Никотинамиднуклеотидные коферменты (nadн и nadpн)
Эти коферменты в окисленном состоянии (Рис. F 6) характеризуются интенсивной полосой поглощения около 260 нм (рис. F 7), которая, кстати, совпадает с полосой поглощения аденина (рис. F 8).
Восстановление как никотинамидадениндинуклеотида, так и никотин-амидадениндинуклеотидфосфата до NADH и NADPH, соответственно, сопровождается появлением интенсивной полосы поглощения при 340 нм (молярный коэффициент экстинкции 6220). Так как эти соединения являются коферментами многих дегидрогеназ, по изменению поглощения при 340 нм можно контролировать ход многих ферментативных реакций (Рис. F7).
Каротиноиды
Каротиноиды – это наиболее важная группа природных растительных и животных пигментов, относящихся к неомыляемым липидам. Они ответственны за красную, желтую и оранжевую окраску растений. Молекулы каротиноидов содержат протяженные цепи сопряженных двойных связей С=С. Вследствие этого все каротиноиды характеризуются интенсивным поглощением в видимой области спектра со значениями e обычно больше 105 . Поэтому спектрофотометрия является удобным и чрезвычайно чувствительным методом для исследовании этих соединений. Спектры некоторых каротиноидов показаны на рис. F7. Видны исчезновение тонкой структуры при введении в молекулу сопряженного с полиеновой цепью карбонила и батохромный сдвиг в результате удлинения системы сопряжения. Очевидно также, что батохромный сдвиг в результате введения карбонила сопровождается гипсохромным эффектом.
Гемпротеины
Группа гема состоит из порфиринового цикла с координированным в центре ионом железа (рис. А6). Она является простетической группой гемоглобинов, миоглобина, гидропероксидаз и значительного числа цитохромов. Системе сопряженных связей порфиринового цикла соответствует интенсивное поглощение из трех полос, обозначаемых как a, b и g. Обычно a-полоса - самая длиннолволновая и расположена в интервале 550 – 650 нм, g-полоса – самая коротковолновая, а b-полоса расположена между ними. На рис. F7 показан спектр восстановленной (FeII ) формы цитохрома С, выделенного из сердца лошади. Отмечены полосы a (550,5 нм) и b (520,5 нм). Образование координационных комплексов гемового железа цитохромов, глобинов, оксигеназ и гидропероксидаз с различными лигандами сопровождается характернами изменениями спектров поглощения. Например, связывание окиси углерода восстановленной формой гема может быть прослежено по изменению электронного спектра поглощения. Метод обычно используется при изучении реакций этого типа.


![]() |
Зависимость максима поглощения незамещенного полиена от числа сопряженных связей с=с
l = А + В n + С n 2
или
l = (138 ± 3) + (43,6 ± 1,2) n – (1,6 ± 0,1) n 2 нм

Зависимость положения максимума поглощения от числа двойных связей в молекуле замещенного полиена
l
= А + В
n
+ С
n
2


Электронные спектры ароматических соединений в растворе

ПРИРИМИДИН ПУРИН

|


СХЕМА ВОССТАНОВЛЕНИЯ NAD + ( NADP +)
Литература
1. А. Гиллем, Е. Штерн. Электронные спектры поглощения органических соединений. ИЛ, М., 1957.
2. Ч.Н.Р. Рао. Электронные спектры в химии, «Мир». М. 1964.
3. Э. Штерн. К. Тиммонс. Электронная абсорбционная спектроскопия в органической химии. «Мир», М. 1974.
4. И.Я. Берштейн, Ю.Л. Каминский. Спектрофотометрический анализ в органический химии. «Химия». 1975.
5. Р. Сильверстейн, Г. Басслер, Т. Морил. Спектрометрическая идентификация органических соединений. «Мир», М. 1977.
6. О.В. Свердлова. Электронные спектры в органической химии. «Химия», Ленинград. 1985.
7. Д. Браун, А. Флойд, М. Сейнзбери. Спектроскопия органических веществ. «Мир». М. 1992.
8. Spectrophotometry and Spectrofluorimetry. A Practical Approach. Ed. M.G. Gore. University Press. Oxford. 2000.
9. Ю.А. Пентин, Л.В. Вилков. Физические методы исследования в химии. «Мир», М. 2003.
