| Похожие рефераты | Скачать .docx |
Курсовая работа: Химия поверхностно-активных веществ
Курсовая работа
по химии
на тему:
Химия поверхностно-активных веществ
2009
Адсорбция поверхностно-активных веществ на межфазных границах
Поверхностно-активные вещества характеризуются ярко выраженной способностью адсорбироваться на поверхностях и на межфазных границах. Термин «межфазная граница» принято относить к границе между двумя несмешивающимися фазами, термин «поверхность» указывает на то, что одной из фаз является газ, как правило, — воздух. Таким образом, существует пять различных межфазных границ:
твердое тело - пар
твердое тело - жидкость
твердое тело - твердое тело
жидкость - жидкость
Движущей силой адсорбции ПАВ на поверхностях и на межфазных границах является снижение свободной энергии границы раздела фаз. Межфазная свободная энергия, отнесенная к единице площади, равна работе, которую необходимо совершить для увеличения поверхности. Вместо термина «межфазная свободная энергия на единицу площади» часто используют термин «межфазное натяжение». Так, поверхностное натяжение воды эквивалентно удельной свободной энергии границы между водой и воздухом. Если поверхность покрыта молекулами ПАВ, поверхностное натяжение уменьшается. Чем плотнее упаковка молекул ПАВ на поверхности, тем больше снижение поверхностного натяжения.
Поверхностно-активные вещества могут адсорбироваться на любой из пяти границ раздела фаз, перечисленных выше. Примеры различных межфазных границ и системы, в которых такие границы играют важную роль, приведены в табл. 1.
| Межфазная граница | Тип дисперсной системы | Примеры |
| Твердое тело - жидкость | Суспензия | Водо-основные краски |
| Жидкость - жидкость | Эмульсия | Молоко, кремы |
| Жидкость - пар | Пена | Крем для бритья |
Во многих композиционных продуктах присутствуют одновременно несколько типов межфазных границ. Примерами могут служить водоосновные краски и красители для бумаги. С точки зрения коллоидной химии они представляют собой чрезвычайно сложные системы, в которых есть как межфазные границы твердое тело-жидкость, так и жидкость-жидкость. Кроме того, на стадии применения этих систем часто наблюдается пенообразование с возникновением границы раздела жидкость-газ. Все межфазные границы при этом стабилизированы ПАВ и общая межфазная поверхность огромна. Межфазными границами масло-вода и твердое тело- вода, существующими в одном литре краски, можно покрыть поверхность нескольких футбольных полей.
Стремление ПАВ аккумулироваться на межфазных границах является их фундаментальным свойством. В принципе, чем сильнее эта способность, тем выше эффективность ПАВ. Степень концентрирования ПАВ на поверхности зависит от строения их молекул и от природы контактирующих фаз. Поэтому не существует универсального эффективного ПАВ, пригодного для любых систем. Выбор подходящего ПАВ определяется функциями, которые оно должно выполнять в данной системе. Эффективное ПАВ должно иметь низкую растворимость в жидких фазах. Некоторые ПАВ нерастворимы в воде и в неполярных жидкостях и локализуются только на межфазных границах. С такими веществами трудно работать, но они очень эффективно снижают межфазное натяжение.
Поверхностно-активное вещество способно снижать поверхностное или межфазное натяжение до определенного предела. Обычно этот предел достигается, когда в растворе начинается мицеллообразование. Из данных, приведенных в табл. 2, видно, насколько эффективно ПАВ снижают поверхностное и межфазное натяжение. Указанные значения поверхностного и межфазного натяжения типичны для обычных мягких жидких моющих средств. Специально подбирая ПАВ, можно достичь сверхнизкого межфазного натяжения, т.е. значений порядка 10-3 мН/м или ниже. В качестве примера систем со сверхнизким межфазным натяжением можно привести трехфазную систему, состоящую из микроэмульсии в равновесии с избытком водной и масляной фаз. Микроэмульсии представляют интерес для повышения нефтеотдачи.
Таблица 2. Типичные значения поверхностного и межфазного натяжения
Вода - воздух 10%-й водный раствор NaOH - воздух Водный раствор ПАВ - воздух Вода - алифатический углеводород Вода - ароматический углеводород Водный раствор ПАВ - углеводород |
72-73 78 40-50 28-30 20-30 1-10 |
Агрегирование ПАВ в растворе
Как отмечалось выше, фундаментальное свойство ПАВ — это способность адсорбироваться на межфазных границах. Другое важное свойство поверхностно-активных веществ заключается в том, что их молекулы склонны к образованию агрегатов — так называемых мицелл. Свободные или неассоциированные молекулы ПАВ в литературе часто называют мономерами, хотя этот термин неудачен, поскольку он преимущественно используется для обозначения блоков, образующих полимерные молекулы. Мицеллообразование, можно рассматривать как механизм, альтернативный адсорбции на межфазных границах, приводящий к устранению контакта гидрофобных групп с водой, в результате чего свободная энергия системы понижается. Это чрезвычайно важное явление, поскольку свойства ПАВ определяются тем, в какой форме — мицеллярной или молекулярной — они присутствуют в системе. Только моле-кулярно растворенные ПАВ понижают поверхностное и межфазное натяжение; кроме того, динамические явления регулируются концентрацией истинно растворенного ПАВ.
Мицеллы можно рассматривать как резервуары молекулярного ПАВ. В зависимости от размера и структуры молекулы ПАВ скорость обмена молекул ПАВ между мицеллой и раствором может варьироваться по величине в пределах нескольких порядков.
В воде мицеллы возникают уже при очень небольших концентрациях. Концентрация, при которой начинают возникать мицеллы, называется критической концентрацией мицеллообразования; это одна из важнейших характеристик ПАВ. Так, ККМ = 1 мМ означает, что концентрация молекулярно растворенного ПАВ никогда не превысит эту величину независимо от количества ПАВ, введенного в раствор.
Амфифильные свойства молекул ПАВ
Термин «амфифил» часто используется как синоним ПАВ. Этот термин происходит от греческого слова amphi, означающего «оба». Его использование связано с тем, что молекулы всех ПАВ состоят по крайней мере из двух частей, одна из которых растворима в жидкости, а вторая — нерастворима. Если жидкость — вода, говорят о гидрофильных и гидрофобных частях молекулы соответственно. Гидрофильную часть обычно называют полярной группой или «головкой», а гидрофобную часть — радикалом или «хвостом».
В мицелле гидрофобные группы находятся внутри агрегата, а полярные группы направлены в сторону растворителя. Поэтому мицелла представляет собой полярный агрегат, хорошо растворимый в воде, и сама не обладает заметной поверхностной активностью. При адсорбции ПАВ из водного раствора на гидрофобной поверхности молекула ПАВ обычно ориентируется гидрофобной частью к поверхности, а полярной группой к воде. Межфазная поверхность при этом становится гидрофильной, в результате межфазное натяжение уменьшается. Адсорбция на гидрофильных поверхностях часто приводит к возникновению более сложных агрегатов молекул ПАВ.
Гидрофобная часть молекулы ПАВ может быть линейной или разветвленной. Полярная группа, как правило, но не всегда присоединена к концу алкильной цепи, которая содержит обычно от 8 до 18 атомов углерода. Степень разветвления цепи, положение полярной группы и длина цепи — важнейшие параметры, определяющие физико-химические свойства ПАВ.
Полярная группа ПАВ может быть ионогенной или неионогенной, что в значительной мере определяет свойства ПАВ. Это позволяет классифицировать ПАВ на ионные и неионные. Размер полярной группы неионного ПАВ может варьироваться в широких пределах. У ионных ПАВ размер полярной группы более или менее постоянен. Следует подчеркнуть, что физико-химические свойства ПАВ в растворе определяются соотношением размеров гидрофобной и полярной групп, а не их абсолютными размерами.

Рис. 1. Схематическое изображение молекулы поверхностно-активного вещества
Обычно ПАВ содержит только одну полярную группу. Недавно возник заметный интерес к димерным ПАВ, содержащим два гидрофобных хвоста и две полярные группы, соединенные коротким мостиком. Такие вещества пока не нашли практического применения, однако они обладают интересными физико-химическими свойствами. Эти ПАВ эффективно снижают поверхностное натяжение и имеют очень низкие значения ККМ. Для сравнения: ККМ обычного катионного ПАВ — бромида додецилтриметиламмония — равна 16 мМ, а ККМ соответствующего димерного ПАВ с двумя атомами углерода в мостике, соединяющем мономеры, составляет 0,9 мМ. Различие в величинах ККМ обычных и димерных ПАВ может иметь большое практическое значение. Типичный пример димерного ПАВ показан на рис. 2.

Рис. 2. Димерное ПАВ
Малоэффективные поверхностно-активные вещества, способные адсорбироваться на поверхности, но не образующие мицеллы, используются в качестве добавок во многие композиции ПАВ. Такие ПАВ относят к гидротропным веществам, они разрушают упорядоченную упаковку обычных ПАВ. Например, введение гидротропного вещества может предотвратить образование высоковязких жидкокристаллических фаз, возникновение которых часто создает существенные трудности при составлении композиций ПАВ. Ксилолсульфонат и кумол-сульфонат — типичные представители гидротропных веществ, используемых в составе композиций многих моющих средств. Алкилфосфаты с короткими цепочками широко применяются в качестве гидротропов в композициях на основе длинноцепочечных этоксилированных спиртов.
Природные ПАВ
К ПАВ природного происхождения прежде всего относятся полярные липиды. Они широко распространены в живых организмах. В биологических системах поверхностно-активные вещества выполняют по сути те же функции, что и синтетические ПАВ в технических системах.
Так, например, они помогают организму преодолеть проблему растворимости малорастворимых веществ, являются эмульгаторами и диспергаторами, а также модификаторами поверхности и т. д. Можно привести много интересных примеров, характеризующих роль ПАВ в биологических системах. Так, соли желчных кислот являются чрезвычайно эффективными солюбилизаторами гидрофобных компонентов крови смеси

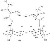
Рис. 3. Примеры полярных липидов
фосфолипидов упаковываются в упорядоченные бислои по типу жидких кристаллов ПАВ и из таких структур состоят клеточные мембраны. На рис. 3 приведены примеры наиболее распространенных полярных липидов. Ярким примером природного ПАВ, которое непосредственно, без химических процедур, получают из природных источников, является лецитин. Лецитин экстрагируется из источников, богатых фосфолипидами
Некоторые микроорганизмы эффективно продуцируют природные ПАВ. Можно получать с хорошими выходами как высокомолекулярные поверхностно-активные компоненты, например липополисахариды, так и низкомолекулярные полярные липиды, особенно если микроорганизмы культивируются на водонерастворимом субстрате. На рис. 4 приведена структура низкомолекулярного ацилированного углевода — гликолипида на основе трегалозы, высокая поверхностная активность которого уже доказана. Такие производные и некоторые другие поверхностно-активные вещества, производимые дрожжами, с недавнего времени вызывают большой интерес. Уже потрачено немало усилий на улучшение существующих процессов ферментации и на разработку новых способов культивирования микроорганизмов. Несмотря на достигнутый прогресс, коммерческое использование подобных ПАВ все еще ограниченно из-за их высокой стоимости.

Рис. 4. Поверхностно-активный гликолипид на основе трегалозы, получаемый в процессе ферментации
Нефтехимия и химия растительных масел как источники сырья для получения ПАВ
В последние годы наблюдается тенденция к использованию «зеленых» ПАВ, особенно в быту. Термин «природное ПАВ» служит указанием на природный источник вещества. Однако ни одно ПАВ, используемое сегодня в значительных объемах, нельзя считать природным в полном смысле. За небольшим исключением все ПАВ производятся в процессе органического синтеза, причем нередко в очень жестких условиях, когда неминуемо образуются побочные продукты. Например, моноглицериды широко распространены в природе, но ПАВ, поступающие на рынок как моноглицериды, получают в процессе промышленного гидролиза триглицеридных масел при температурах выше 200 °С, что приводит к образованию побочных продуктов — ди- и трипроизводных глицерина. Ал-килглюкозиды чрезвычайно распространены в живых организмах, но ПАВ этого класса, часто называемые АПГ, получают с помощью многостадийных химических процессов, и их, без сомнения, нельзя считать природными.
Чтобы правильно оценить происхождение ПАВ, полезно разделить их на два класса в зависимости от сырья, из которого их получают: олеохимические и нефтехимические ПАВ. Олеохимические ПАВ производят из возобновляемого сырья, обычно из растительных масел. Нефтехимические ПАВ производятся из небольших «строительных блоков», таких как этилен, получаемый при крекинге нефти. Часто сырьем для ПАВ одновременно служат растительные масла и продукты нефтехимии. Этоксилированные жирные кислоты — один из многочисленных тому примеров.
Иногда олеохимические и нефтехимические способы переработки приводят к получению идентичных продуктов. Например, нормальные спирты с углеводородными радикалами С10-С14, обычно используемые для введения гидрофобных групп при синтезе неионных ПАВ и анионных ПАВ, получают либо гидрированием метиловых эфиров соответствующих жирных кислот, либо по реакции полимеризации этилена с триэтилалюминием в качестве катализатора. В обоих случаях получают неразветвленные алифатические спирты, мало различающиеся по составу гомологов, поскольку он определяется процессом дистилляции. Оба способа производства широко распространены.
Производство ПАВ с использованием в качестве сырья растительных масел не всегда обеспечивает получение менее токсичных и менее экологически вредных ПАВ, чем нефтехимические производства. Однако с учетом круговорота углекислого газа химическое производство, основанное на возобновляемом сырье, всегда более предпочтительно.
Спирты с длинными линейными гидрофобными радикалами часто называют жирными спиртами независимо от способа их получения. Спирты с разветвленными углеводородными радикалами также имеют большое значение в качестве сырья для получения ПАВ. Они производятся только синтетическими способами; среди них наибольшее распространение получил так называемый оксопроцесс, в котором в результате реакции олефина с монооксидом углерода и водородом получается альдегид, восстанавливаемый затем до спирта в процессе каталитического гидрирования. В итоге получается смесь разветвленных и нормальных спиртов, соотношение между которыми можно в известной мере регулировать подбором катализатора и условий реакции. Коммерческие «оксоспирты» представляют собой смеси нормальных и разветвленных спиртов с определенной длиной алкильных цепей. Различные способы получения первичных длинноцепочечных спиртов схематически показаны на рис. 5.

Рис. 5. Различные пути получения первичных спиртов как сырья для производства ПАВ.
Слева направо: полимеризация этилена по реакции Циглеранатты; восстановление метиловых эфиров жирных кислот; гидроформилирование высших олефинов.
Классификация ПАВ по полярным группам
Первая классификация ПАВ основана на заряде полярной группы. Общепринято подразделять ПАВ на анионные, катионные, неионные и цвиттер-ионные. Молекулы ПАВ, входящих в последнюю группу, содержат при обычных условиях оба заряда: анионный и катионный. В литературе они часто называются «амфотерными» ПАВ, но этот термин не всегда корректен и не должен использоваться как синоним термина «цвиттер-ионное» ПАВ. Амфотерное ПАВ — это вещество, которое в зависимости от рН раствора может быть катионным, цвиттер-ионным или анионным. Наглядным примером амфотерных органических веществ служат простые аминокислоты. Подобными свойствами обладает и большинство так называемых цвит-тер-ионных ПАВ. Однако некоторые цвиттер-ионные ПАВ сохраняют один из зарядов в широком диапазоне рН, например соединения, в состав которых входит катионная четвертичная аммониевая группа. Таким образом, ПАВ, содержащее карбоксилатную и четвертичную аммониевую группы, будет цвиттер-ионным вплоть до весьма низких значений рН, но не будет амфотерным.
Большинство ионных ПАВ одновалентны, но встречаются и важные представители двухвалентных анионных ПАВ. На физико-химические свойства ионных ПАВ оказывает влияние природа противоиона. В большинстве случаев у анионных ПАВ в качестве противоиона выступает ион натрия, тогда как другие катионы, например ионы лития, калия, кальция или протонированных аминов, используются в таком качестве только для специальных целей. Противоионами для катионных ПАВ обычно служат галогенид-ионы или метилсульфат-ион.
Гидрофобные группы ПАВ обычно представлены углеводородными радикалами, а также полидиметилсилоксановыми или фторуглеродными группами. ПАВ двух последних типов особенно эффективны в неводных средах.
Для небольшого числа ПАВ существует некоторая неопределенность в классификации. Например, ПАВ, содержащие аминоксиды, иногда относят к цвиттер-ионным, иногда к катионным и даже к неионным ПАВ. Заряд молекул этих веществ зависит от рН водной фазы; можно ситать, что в нейтральном состоянии они несут анионные и катионные заряды или являются неионными дипольными молекулами. Этоксилированные жирные амины, содержащие атом азота аминогруппы и полиоксиэтиленовую цепь, могут быть включены в класс катионных или неионных ПАВ. Неионный характер таких ПАВ преобладает в случае очень длинных полиокси-этиленовых цепей, в то время как при коротких или средних длинах полиоксиэти-леновых цепей физико-химические свойства, как правило, соответствуют катионным ПАВ. Весьма также распространены ПАВ, содержащие в молекуле анионную группу, например сульфатную, фосфатную или карбоксилатную, и полиоксиэтиленовые цепи. Такие ПАВ, например сульфоэфиры и др., обычно содержат короткие полиоксиэтиленовые цепи, и поэтому всегда рассматриваются как анионные ПАВ.
Анионные ПАВ
Полярными группами в анионных ПАВ обычно служат карбоксилатные, сульфатные, сульфонатные и фосфатные группы. На рис. 6 представлены структуры молекул наиболее распространенных ПАВ этого класса.
Анионные ПАВ используются в значительно больших объемах, чем ПАВ других типов. По приблизительной оценке мировое производство ПАВ составляет 10 млн. т в год, из них 60% приходится на долю анионных ПАВ.

Рис. 6. Структуры некоторых типичных анионных ПАВ
Главная причина популярности этих ПАВ — простота и низкая стоимость производства. Анионные ПАВ входят в состав большинства моющих средств, причем наилучшим моющим действием обладают ПАВ с алкильными или алкиларильными группами, содержащими в гидрофобной цепи 12-18 атомов углерода.
В качестве противоионов обычно выступают ионы Na+ , К+ , NH4+ , Са2+ и различные протонированные алкиламины. Ионы натрия и калия усиливают растворимость ПАВ в воде, в то время как ионы кальция и магния способствуют увеличению растворимости ПАВ в масляной фазе. Протонированные амины и алканоламины обеспечивают растворимость ПАВ в обеих фазах.
Мыла также составляют огромный класс ПАВ. Они производятся путем омыления природных масел и жиров. Обычно мылами называют соли щелочных металлов карбоновых кислот, получаемых из животных жиров или растительных масел. Твердые мыла, как правило, содержат жирные кислоты, которые получают из таллового, пальмового и кокосового масел. При использовании в оптимальных условиях мыла являются идеальными ПАВ. Главный их недостаток — чувствительность к жесткой воде, что и определило необходимость создания синтетических ПАВ. Весьма специфическое применение находит литиевая соль жирной кислоты, а именно 12-гидроксистеарат лития, который используется в качестве основного компонента смазок.
Алкилбензолсульфонаты составляют группу синтетических ПАВ, которые принято считать основными «рабочими лошадками». Они широко используются в моющих средствах бытового назначения, а также в самых разных областях промышленности. Их получают в процессе сульфирования алкилбензолов. В крупномасштабном синтезе в качестве сульфирующего агента чаще всего используется триоксид серы, но возможно использование и других веществ например серной кислоты, олеума, хлорсульфоновой, или амидосульфоновой кислот. В ряде случаев они оказываются даже более предпочтительными. Промышленный синтез осуществляется в непрерывном процессе с использованием пленочного аппарата со свободно стекающей пленкой. На первой стадии процесса образуется пиросульфоновая кислота, которая медленно и самопроизвольно реагирует далее, образуя сульфоновую кислоту.
![]()
Затем сульфокислоту нейтрализуют каустической содой, при этом образуется соль алкилбензолсульфоната. Из-за большого объема алкильных заместителей образуются почти исключительно и-сульфокислоты. На представленной выше схеме R — это алкильная группа, обычно содержащая 12 атомов углерода. Первоначально в качестве промежуточного продукта при синтезе ПАВ использовались разветвленные алкилбензолы, но в настоящее время они почти полностью заменены на линейные производные, поэтому такие ПАВ называют линейными алкилбензолсульфонатами. Отказ от разветвленных производных и замена их на линейные обусловлены главным образом их более быстрой биодеградацией. Алкилбензолы в свою очередь получают алкилированием бензола н-алкенами или алкилхлоридами при использовании HF или AICI3 в качестве катализаторов. В результате реакции образуется смесь изомеров с фенильной группой, присоединенной к одному из неконцевых положений в алкильной цепи.
Другим типом сульфонатных ПАВ, применяемых в составе моющих средств, являются сульфонаты парафинов и а-олефинов, последние часто называют AOS. В общих случаях получаемые ПАВ представляют собой сложные смеси веществ, различающихся по физико-химическим свойствам. Сульфонаты парафинов, или вторичные сульфонаты н-алканов, в основном производят в Европе. Их получают, как правило, сульфоокислением парафиновых углеводородов диоксидом серы и кислородом при облучении ультрафиолетовым светом. В более старом процессе, который, однако, еще используется, сульфонаты парафинов получают по реакции сульфохлорирования. Оба процесса относятся к радикальным реакциям, а так как вторичные атомы углерода образуют более стабильные свободные радикалы, чем первичные атомы углерода, сульфогруппа вводится статистически к любому неконцевому атому углерода алкановой цепи. Смесь углеводородов С14-С17, иногда называемая «Евро-фракция», является наиболее распространенным гидрофобным сырьем, а конечные продукты в этом случае представлены очень сложными смесями изомеров и гомологов.
Сульфонаты а-олефинов получают по реакции линейных а-олефинов с три-оксидом серы; в результате получается смесь алкенсульфонатов, 3- и 4-гидроксиалкансульфонатов и некоторого количества дисульфонатов и других веществ. В качестве исходного сырья используют в основном две оле-финовые фракции: С12-С16 и С16-С18. Отношение алкенсульфонатов к гидро-ксиалкансульфонатам в некоторой степени регулируется соотношением количеств вводимых в реакционную смесь SO3 и олефинов: чем выше это соотношение, тем больше образуется алкенсульфоновой кислоты. Образование гидроксиалкансульфокислоты происходит через промежуточный циклический сультон, который затем расщепляется щелочью. Сультон токсичен, поэтому важно, чтобы его концентрация в конечном продукте была очень низкой. Схему получения можно записать следующим образом:

Дисульфосукцинат натрия — алкилсульфонатное ПАВ, широко используемое в исследованиях химии поверхных явлений. Это ПАВ благодаря объемной гидрофобной группе особенно удобно для получения микроэмульсий «вода в масле».
Изетионатные ПАВ с общей формулой R-COOC^C^SO^Na* являются сложными эфирами жирных кислот и соли изетионовой кислоты. Они относятся к наиболее мягким ПАВ и применяются в косметических рецептурах.
Сульфонатные ПАВ, получаемые сульфированием лигнина, нефтяных фракций, алкилнафталинов или других дешевых углеводородных фракций, находят широкое промышленное применение в качестве диспергаторов, эмульгаторов, деэмульгаторов, пеногасителей, смачивателей и т. д.
Сульфированные сирты и этоксилированные спирты составляют другую важную группу анионных ПАВ, нашедших широкое применение в моющих средствах. Это моноэфиры серной кислоты, в которых сложноэфирная связь очень лабильна и относительно легко разрывается при низких рН в результате автокаталитического гидролиза. В качестве сырья для этого типа ПАВ используют линейные и разветвленные спирты с числом атомов углерода от 8 до 16. При использовании линейного спирта с 12 атомами углерода получают додециловый эфир серной кислоты, а после нейтрализации каустической содой образуется додецилсульфат натрия — наиболее важное ПАВ такого типа. Этоксилированные спирты, обычно используемые в качестве промежуточных продуктов, представляют собой алифатические спирты с двумя или тремя оксиэтиленовыми звеньями. Процесс аналогичен рассмотренному выше сульфированию. В промышленном производстве в качестве реагента используют триоксид серы,
и аналогично сульфированию реакция протекает через стадию образования в качестве промежуточного продукта пиросульфата:

Синтез сульфатных эфиров этоксилированных спиртов проводят подобным образом. Реакция обычно сопровождается образованием заметного количества 1,4-диоксана. Поскольку диоксан токсичен, от него необходимо освобождаться перегонкой. Такие ПАВ обычно называют этоксилированными алкилсульфатами. Они обладают хорошими пенообразующими свойствами, малотоксичны по отношению к коже и глазам и поэтому находят применение в составах моющих средств для посуды и шампуней.
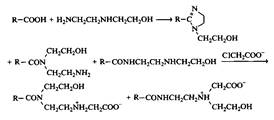
Этоксилированные спирты можно превращать в карбоксилаты, т. е. этоксилированные алкилкарбоксилаты. Традиционно это делали с использованием мо-нохлорацетата натрия:

Реакция Вильямсона обычно протекает с небольшим выходом. Более новые методы синтеза основаны на окислении этоксилированных спиртов кислородом или пероксидом водорода в щелочной среде с использованием в качестве катализатора платины или палладия. В этой реакции с хорошим выходом происходит конверсия этоксилатов, но возможна также окислительная деградация полиоксиэтиленовой цепи. Этоксилированные алкилкарбоксилаты применяются при производстве продуктов личной гигиены или в качестве ко-ПАВ в составах различных жидких моющих средств. Подобно этоксилированным алкилсульфатам, этоксилированные алкилкарбоксилаты устойчивы в очень жесткой воде. ПАВ обоих типов обладают также хорошей способностью к диспергированию кальциевых мыл, что очень важно для ПАВ, входящих в состав средств личной гигиены. Способность диспергировать кальциевые мыла обычно выражают как количество ПАВ, которое требуется для диспергирования кальциевого мыла, полученного из 100 г олета натрия в воде с жесткостью, эквивалентной 0,0333% СаСОз.
Фосфат-со держащие анионные ПАВ, например ал кил фосфаты или этоксилированные алкилфосфаты, получают обработкой жирных спиртов или этоксилированных спиртов фосфорилирующим агентом; обычно для этого используют пентаоксид фосфора Р4О10. В результате реакции получается смесь моно- и диэфиров фосфорной кислоты, причем относительные доли этих веществ контролируются соотношением реагентов и количеством воды в реакционной смеси:

Важнейшие сведения об анионных ПАВ
1. Анионные ПАВ — самый распространенный класс ПАВ.
2. Обычно анионные ПАВ несовместимы с катионными ПАВ.
3. Они чувствительны к жесткой воде, причем чувствительность уменьшается в ряду карбоксил аты > фосфаты > сульфаты « сульфонаты.
4. Введение короткой полиоксиэтиленовой цепи между анионной группой и углеводородным радикалом значительно увеличивает устойчивость анионных ПАВ к солям.
5. Введение короткой полиоксипропиленовой цепи между анионной группой и углеводородным радикалом увеличивает растворимость ПАВ в органических средах, но одновременно может приводить к уменьшению скорости биоразложения ПАВ.
6. Сульфатные ПАВ в результате автокаталитического гидролиза быстро гидролизуются в кислых средах. ПАВ других типов устойчивы в не слишком жестких условиях.
Все коммерческие фосфатные ПАВ содержат сложные моно- и диэфиры фосфорной кислоты, причем относительное содержание этих компонентов широко варьируется в зависимости от производителя. Поскольку физико-химические свойства алкилфосфатных ПАВ зависят от соотношения различных эфиров, алкилфосфаты от разных производителей менее взаимозаменяемы, нежели ПАВ других типов. В качестве фосфорилирующего агента для производства алкилфосфатных ПАВ можно использовать оксихлорид фосфора POCI3. В этом случае также образуется смесь моно- и диэфиров фосфорной кислоты.
Фосфатные ПАВ используются в металлообрабатывающей промышленности, где они оказались более пригодными, чем другие ПАВ, вследствие их антикоррозионных свойств. Они используются также в качестве эмульгаторов в составах композиций, применяемых для защиты растений. Наиболее важные сведения об анионных ПАВ обобщены в табл. 3.
Неионные ПАВ
Неионные ПАВ в качестве полярных групп содержат либо полиэфирные, либо по-лигидроксильные фрагменты. В подавляющем большинстве неионных ПАВ при-сутсвуют оксиэтиленовые группы, получаемые полимеризацией этиленоксида. Строго говоря, префикс «поли» употребляется неверно. Наиболее распространены ПАВ с числом оксиэтиленовых звеньев в полярной цепи от 5 до 10, но некоторые ПАВ, например диспергаторы, часто содержат более длинные оксиэтиленовые цепи. Этоксилирование обычно проводят в щелочных средах. Этоксилировать можно любое вещество, содержащее активный водород. Обычно в качестве исходных веществ для получения оксиэтиленовых НПАВ служат алифатические спирты, алкилфенолы, жирные кислоты и алифатические амины. Сложные эфиры, например триглицеридные масла, можно этоксилировать в процессе, в котором в одном реакторе протекает щелочной гидролиз сложноэфирной связи с последующим этоксилированием образовавшихся кислоты и спирта и их частичной конденсацией. Этоксилированное касторовое масло, используемое в кормах для животных, является важным примером ПАВ, основанных на триглицеридах.
Примерами полигидроксильных ПАВ служат сложные эфиры сахарозы и сорбита, алкилглюкозиды и полиглицериды. Последние на самом деле являются комбинацией ПАВ, производных многоатомных спиртов и полиэфиров. ПАВ на основе многоатомных спиртов можно этоксилировать. Наиболее известные примеры — эфиры жирных кислот и сорбита и соответствующие этоксилированные продукты. Пятичленное кольцо структуры сорбитана образуется при дегидратации сорбита в процессе производства. ПАВ на основе сорбитана можно употреблять в пищу, поэтому они широко используются в производстве пищевых продуктов и лекарственных веществ. Ацетиленовые гликоли — это ПАВ, содержащие локализованную в центре ацетиленовую связь и гидроксильные группы у соседних атомов углерода. Такие вещества составляют особую группу гидроксильных ПАВ, применяемых в качестве антивспенивателей, особенно при производстве покрытий.
На рис. 7 представлены структуры молекул наиболее распространенных неионных ПАВ. Как будет показано ниже, ПАВ на основе оксиэтилена, представлены широким спектром соединений, гораздо более широким, чем ПАВ других классов. Этоксилаты жирных кислот дают особенно сложные смеси с высоким содержанием побочных продуктов. Наиболее важным типом неионных ПАВ являются этоксилированные алифатические спирты. Они используются в составе жидких и порошкообразных моющих средств и широко применяются в промышленности. В частности, они используются в качестве стабилизаторов эмульсий типа «масло в воде». Этоксилированные спирты можно считать устойчивыми к гидролизу в широком диапазоне рН: от 3 до 11. Они медленно окисляются на воздухе, причем продукты окисления в большей степени раздражают кожу, чем исходные ПАВ. В данной книге этоксилированные жирные спирты обозначены как Ст Еп , где т — число атомов углерода в алкильной цепи спирта, а п — число оксиэтиленовых звеньев в молекуле ПАВ. Некоторые общие и наиболее важные свойства неионных ПАВ приведены в табл. 4.
Таблица 4. Важнейшие сведения о неионных ПАВ
1. Неионные ПАВ являются вторым по распространенности классом ПАВ. 2. Они, как правило, совместимы с ПАВ других классов. 3. НПАВ нечувствительны к жесткой воде. 4. На физико-химические свойства НПАВ мало влияют электролиты. 5. Физико-химические свойства этоксилированных соединений сильно зависят от температуры. В противоположность ионным ПАВ, неионные ПАВ теряют растворимость в воде и становятся более гидрофобными при повышении температуры. Однако НПАВ на основе углеводов характеризуются обычными температурными зависимостями, т. е. их растворимость в воде увеличивается с ростом температуры. |

Рис. 7. Структуры некоторых типичных неионных ПАВ
В этоксилированные ПАВ можно вводить с большой точностью заданное количество оксиэтиленовых групп, пришитых к конкретному гидрофобному остатку, например к остатку алифатического спирта. Тем не менее процесс заканчивается образованием продуктов с широким распределением по длине цепи. Если все гидроксильные группы исходного спирта и образующихся гликолевых эфиров обладают одинаковой реакционной способностью, получается набор олигомеров, подчиняющийся распределению Пуассона. Так как исходный спирт несколько менее кислый, чем образующиеся гликолевые эфиры, его депротонирование менее выгодно, поэтому меньше вероятность взаимодействия с этиленоксидом.

Рис. 8. Этоксилирование жирных спиртов, катализируемое основаниями
В результате в реакционной смеси остается значительное количество непрореагировавшего спирта наряду с продуктами реакции, содержащими большее число оксиэтиленовых групп. Немало усилий исследователей было потрачено на разработку способов получения продукта с более узким распределением гомологов. На распределение продуктов влияет также выбор катализатора этоксилирования. Использование гидроксидов щелочноземельных металлов, например Ва2 и Sr2, приводит к получению продуктов с гораздо более узким распределением, чем при использовании КОН, по-видимому, благодаря механизму координации. Использование льюисовских кислот, например SnCU и BF3, также позволяет получать этоксилированные ПАВ с более узким распределением. Однако этоксилирование в кислой среде имеет существенный недостаток: в качестве побочного продукта в больших количествах образуется 1,4-диоксан. На рис. 9 представлено распределение по гомологам этоксилированного спирта при использовании в качестве катализаторов КОН, льюисовской кислоты и гидроксида стронция.

Рис. 9. Типичные распределения гомологов для продуктов реакции жирного спирта с 4 моль этиленоксида в присутствии различных катализаторов
Этоксилаты с узким гомологическим распределением занимают всё большую долю рынка. Преимущества таких этоксилатов несомненны.
1) Низкое содержание свободного спирта уменьшает запах и вероятность возникновения «оперения» во время сушки распылением.
2) Низкое содержание гомологов с малым числом оксиэтиленовых звеньев повышает растворимость НПАВ, уменьшение доли в смеси высокоэтоксилиро-ванных гомологов снижает вязкость растворов НПАВ.
3) Низкое содержание алкилсульфатов в эфирах алкилсульфатов снижает раздражающее воздействие ПАВ на кожу.
Как видно из табл. 4, неионные ПАВ, содержащие полиоксиэтиленовые цепи, обладают обратной зависимостью растворимости в воде от температуры. При повышении температуры система разделяется на две фазы. Температура, при которой это происходит, называется температурой помутнения, поскольку раствор становится мутным. Температура помутнения зависит от длины гидрофобной части и числа оксиэтиленовых групп в молекулах ПАВ и может быть определена с большой точностью. При производстве полиоксиэтиленовых ПАВ определение точки помутнения используют для контроля степени этоксилирования. Поскольку мутность системы может варьироваться с увеличением концентрации ПАВ, в стандартном тест-методе точку помутнения определяют при нагревании 1%-ного водного раствора НПАВ выше температуры помутнения и затем регистрируют температуру просветления раствора при медленном охлаждении образца. ПАВ с длинными полиоксиэтиленовыми цепями могут иметь точку помутнения выше 100°С. Для таких веществ точку помутнения определяют в растворах электролитов, так как большинство солей понижает температуру помутнения.
Этоксилированные триглицериды, например этоксилаты касторового масла, занимают устойчивые позиции на рынке, их часто называют полунатуральным ПАВ. В последние годы резко возрос интерес к этоксилированным метиловым эфирам жирных кислот, которые получают из соответствующего метилового эфира, проводя процесс этоксилирования с использованием специального катализатора, например гидротальцита. Этоксилаты метиловых эфиров обладают рядом преимуществ по сравнению с этоксилированными спиртами, поскольку они более растворимы в воде. ПАВ, сочетающие высокую растворимость в воде с высокой поверхностной активностью, необходимы в самых разнообразных композициях.

Этоксилированные спирты, в которых концевые гидроксильные группы замещены на метальную или этильную эфирную группу, имеют свою рыночную нишу. Такие НПАВ с «закрытым» концами производят О-алкилированием этоксилата при взаимодействии с алкилхлоридом или диалкилсульфатом либо гидрированием соответствующего ацеталя. По сравнению с этоксилатами нормальных спиртов ПАВ с «закрытыми» концами более устойчивы к действию щелочей и окислителей. Они также характеризуются чрезвычайно низкой пенообразующей способностью.
Катионные ПАВ
Большинство катионных ПАВ содержат атом азота, несущий положительный заряд, т. е. относятся к аминам или четвертичным аммониевым соединениям. Амины проявляют свойства ПАВ только в протонированном состоянии; поэтому их нельзя использовать при высоких рН. Напротив, четвертичные аммониевые соединения нечувствительны к изменениям рН. Амины также более чувствительны к действию многозарядных анионов. Как уже упоминалось, этоксилированные амины обладают свойствами неионных и катионных ПАВ, и чем длиннее оксиэтиленовая цепь, тем больше у таких соединений выражены свойства неионных ПАВ.
На рис. 10. приведены некоторые типичные катионные ПАВ. Четвертичные аммонивые соединения со сложноэфирными группами представляют собой новый класс экологически безопасных ПАВ, вытесняющий соответствующие ди-алкильные производные в процессах мягчения тканей.

Рис. 10. Структуры некоторых типичных катионных ПАВ
Синтез неэфирных четвертичных аммониевых ПАВ проходит через образование нитрильных соединений. Жирная кислота реагирует с аммиаком при повышенной температуре, давая соответствующий нитрил. Эта реакция проходит через стадию образования промежуточного амида. Нитрил затем гидрируется до первичного амина в присутствии катализатора:
![]()
Вторичные амины получают либо непосредственно из нитрила, либо в две стадии из первичного амина. В одностадийном процессе, который проходит, по-видимому, через образование промежуточного имина, аммиак для облегчения образования вторичного амина постоянно удаляют из реакционной смеси:
![]()
Первичные амины с помощью цианоэтилирования превращают в длинноцепочечные 1,3-диамины:

Первичные или вторичные длинноцепочечные амины можно метилировать и превращать в третичные амины, например по реакции с формальдегидом в восстановительных условиях:
![]()
В качестве алкилирующего агента для превращения первичных и вторичных аминов в третичные амины типа R-CH2N2 и 2NCH2 CH2 OH можно также использовать этиленоксид.
Четвертичные аммонивые соединения обычно получают из третичных аминов по реакции с подходящим алкилирующим агентом, например с хлористым или бромистым метилом или диметилсульфатом, причем выбор реагента определяет противоион ПАВ:
![]()
Четвертичные аммониевые ПАВ, содержащие сложноэфирные группы, получают этерификацией жирной кислоты аминоспиртом с последующим N-алкилированием, как указано выше. В качестве примера приведена реакция триэтаноламина, взятого в качестве аминоспирта, и диметилсульфата в качестве метилирующего агента:

Азотсодержащие соединения составляют основную массу катионных ПАВ. Но существуют также фосфониевые, сульфониевые и сульфоксониевыые ПАВ. Первые два типа ПАВ получают обработкой триалкилфосфина или диалкилсульфида соответственно алкилхлоридом, как показано ниже для синтеза фосфониего ПАВ:
![]()
Сульфоксониевые ПАВ получают окислением пероксидом водорода сульфониевой соли. Промышленное использование неазотных катионных ПАВ невелико, поскольку эти вещества редко обладают преимуществами по сравнению с более дешевыми азотсодержащими ПАВ. Фосфониевые ПАВ с одной достаточно длинной алкильной цепью и тремя метальными группами нашли применение в качестве биоцидов.
Большинство поверхностей — металлы, минералы, пластики, волокна, клеточные мембраны и т. д. — заряжены отрицательно. Главное использование катионных ПАВ связано с их способностью адсорбироваться на отрицательно заряженных поверхностях. Некоторые примеры приведены в табл. 5, а наиболее важные характеристики катионных ПАВ — в табл. 6.
Таблица 5. Применение катионных ПАВ, обусловленное их адсорбцией на поверхностях
| Поверхность | Применение |
| Сталь | Антикоррозионные агенты |
| Минералы | Флотационные собиратели |
| Неорганические пигменты | Диспергаторы |
| Пластики | Антистатические агенты |
| Волокна | Антистатические агенты, мягчители |
| Волосы | Кондиционеры |
| Удобрения | Для снижения слеживаемости |
| Стенки бактериальных клеток | Бактерициды |
Таблица 6. Основные характеристики катионных ПАВ
1. Катионные ПАВ представляют собой третий из наиболее распространенных классов ПАВ. 2. Они, как правило, несовместимы с анионными ПАВ. 3. Устойчивые к гидролизу катионные ПАВ более токсичны для водной среды по сравнению с ПАВ других классов. 4. Катионные ПАВ сильно адсорбируются практически на любых поверхностях, и их основное использование связано с возможностью модифицировать поверхность insitu. |
Цвиттер-ионные ПАВ
Цвиттер-ионные ПАВ содержат в молекулах две противоположно заряженные группы. Положительный заряд почти всегда обеспечивается аммониевой группой, а отрицательно заряженные группы могут быть разные; чаще всего отрицательный заряд обеспечивает карбоксилат-ион. Такие ПАВ нередко относят к амфотерным, но, как отмечалось выше, эти термины не идентичны. Заряды амфотерного ПАВ изменяются в зависимости от рН, при этом при переходе от кислых к щелочным рН изменяется тип ПАВ от катионного через цвиттер-ионное до анионного. Ни кислотные, ни основные группы не несут постоянного заряда и цвиттер-ионом такое ПАВ становится только в определенном интервале рН.
Изменение заряда с изменением рН амфотерного ПАВ, естественно, влияет на такие его свойства, как пенообразующая и смачивающая способности, моющее действие, т. е. главные свойства ПАВ оказываются зависимыми от рН. В изоэлектрической точке физико-химические свойства таких ПАВ аналогичны свойствам неионных ПАВ. Ниже и выше изоэлектрической точки происходит постепенный сдвиг к катионному или анионному характеру ПАВ соответственно. ПАВ с сульфатными или сульфонатными группами, обеспечивающими отрицательный заряд молекул, остаются цвиттер-ионными до очень низких значений рН вследствие очень низких значений рКа моноалкилсерной и алкилсуль-фоновой кислот.
Типичными представителями цвиттер-ионных ПАВ являются N-алкилпро-изводные простых аминокислот, бетаина 2 NCH2 COOH), аминопропионовой кислоты). Такие ПАВ получают не из аминокислот, а по реакции длинноцепочечных аминов с хлорацетатом натрия или с производными акриловой кислоты, при этом образуются структуры с одним или двумя атомами углерода соответственно между азотом и карбоксилатной группой. В качестве примера ниже приведена схема реакции получения типичного ПАВ — производного бетаина из алкилдиметил-амина и монохлорацетата натрия:

Производные амидобетаина получают аналогично, исходя из амидоамина.

Другой тип цвиттер-ионных ПАВ, обычно называемых имидазолинами, синтезируют по реакции жирной кислоты с аминоэтилэтаноламином с последующей обработкой хлорацетатом. Номенклатура ПАВ этого типа оказалась немного запутанной, поскольку полагали, что конечный продукт содержит имидазольное кольцо, но позже было установлено, что пятичленное кольцо разрывается на второй стадии синтеза. Типичная последовательность реакций такова:

Цивиттер-ионные ПАВ характеризуются очень хорошими дерматологическими свойствами, не раздражают глаза и поэтому часто используются в составе шампуней и косметических средств. Поскольку суммарный заряд молекул таких ПАВ равен нулю, они, как и неионные ПАВ, не теряют своих свойств в композициях с высоким содержанием электролита. Традиционно цвиттер-ионные ПАВ используются в составе щелочных чистящих средств. На рис. 11 даны примеры типичных цвиттерионных ПАВ, а в табл. 7 обобщена основная информация о ПАВ этого класса. Как уже упоминалось, аминоксидные ПАВ, или, правильнее, N-оксиды третичных аминов, относят иногда к цвиттер-ионным, иногда к неионным, а иногда к катионным ПАВ. Формально они имеют разделенные заряды на атомах азота и кислорода и обычно ведут себя как неэлектролиты, но при низких рН или в присутствии анионного ПАВ они принимают протон с образованием сопряженной катионной кислоты. 1:1-Валентная соль образуется между анионным ПАВ и протонированным аминоксидом; такие соли обладают высокой поверхностной активностью. Оксиды аминов получают окислением пероксидом водорода соответствующего третичного амина.

Рис. 11. Структуры некоторых типичных цвиттерионных ПАВ
1. Это самый небольшой класс ПАВ. 2. Они совместимы со всеми другими типами ПАВ. 3. Нечувствительны к жесткой воде. 4. Стабильны в кислой и щелочной средах. В частности, бетаины сохраняют поверхностную активность в сильнощелочной среде. 5. В большинстве случаев не оказывают раздражающего действия на кожу и глаза, поэтому входят в составы шампуней и других средств личной гигиены. |
Дерматологическое действие ПАВ
Дерматологическое воздействие ПАВ порождает серьезные проблемы и является объектом многих современных исследований. Основные дерматологические проблемы в рабочих условиях связаны с контактом незащищенной кожи с растворами ПАВ, которые используются в качестве разнообразных чистящих средств, а также жидкостей для резки, масляных эмульсий для прокатки и т.д. Обычно эффект сводится к раздражению кожи различной тяжести, реже возникают аллергические реакции. Раздражение кожи вызывается непосредственным воздействием ПАВ, а аллергические реакции активируются побочными продуктами, присутствующими в композициях ПАВ. Хорошо известным примером тяжелой аллергической реакции является так называемая «маргариновая болезнь», обнаруженная в Нидерландах в 1960-х гг. Было установлено, что эту болезнь вызывает побочный продукт, обнаруженный в новом ПАВ, которое добавляли в маргариновые продукты для уменьшения разбрызгивания при жарке. Это ПАВ позволяет сохранять капельки воды в тонкодисперсном состоянии. Сенсибилизирующим агентом в составе ПАВ оказалось вещество с ярко выраженными электрофильными свойствами. При реакции с нуклеофильными группами белков происходит их денатурация, и организм воспринимает это вещество как чужеродный антиген. ПАВ, использованное в производстве маргарина, содержало заметное количество непрореагировавшего промежуточного продукта, в котором при попадании в организм, по-видимому, происходило раскрытие цикла при взаимодействии с аминными или тиоловыми группами белков.
Физиологическое действие ПАВ на кожу исследуется различными дерматологическими и биофизическими методами, начиная с поверхности кожи и рогового слоя с его защитными функциями до более глубокого слоя базальных клеток. Индивидуальная чувствительность или восприимчивость кожи регистрируется по осязательным ощущениям и опыту. К числу ПАВ, мягких по отношению к коже, относятся ПАВ на основе многоатомных спиртов, цвиттер-ионные ПАВ и изетионаты. Эти ПАВ часто используют в косметических средствах.
В гомологических рядах ПАВ обычно наблюдается максимум раздражающего действия на кожу при определенной длине гидрофобного радикала. Например, при сравнительном изучении алкилглюкозидов, содержащих 8,10, 12,14 и 16 атомов углерода в алкильных радикалах, максимальное воздействие на кожу обнаружено для С12-производных. Тот же максимальный эффект обнаружен при изучении биоцид ной активности ПАВ. По-видимому, эти данные отражают тот факт, что биологические реакции, вызываемые действием ПАВ на мукозную мембрану или бактериальные поверхности соответственно, обусловлены высокой поверхностной активностью и высокой концентрацией молекулярно растворенного ПАВ. Так как увеличение длины цепи гидрофобного «хвоста» ПАВ приводит к возрастанию его поверхностной активности и к уменьшению ККМ, т. е. к уменьшению молекулярно растворенного ПАВ, при определенной длине углеводородной цепи в гомологическом ряду появляется экстремум.
К сравнительно мягким ПАВ относятся этоксилаты спиртов, но они уступают по мягкости воздействия на кожу неионным ПАВ на основе многоатомных спиртов, например алкилглюкозидам. Исследования последних лет показали, что дерматологические эффекты этоксилатов спиртов вызываются не самим ПАВ, а продуктами его окисления, происходящего в процессе хранения. Обнаружено, что все этоксилированные продукты претерпевают автоокисление с образованием гидропероксидов на метиленовых группах, связанных с эфирным кислородом в полиоксиэтиленовых цепях. Такие гидропероксиды не очень устойчивы, что затрудняет их выделение. Однако гидропероксид с ООН-группой у второго атома углерода гидрофобного «хвоста» относительно стабилен и был выделен в количестве ~1% после хранения «-алкилэтоксилата в течение года. Это вещество оказывает сильное раздражающее действие на кожу. Другой продукт окисления с аналогичным действием на кожу — альдегид, показанный ниже. Этот альдегид нестабилен, и его дальнейшее окисление приводит к разрыву полиоксиэтиленовой цепи и образованию формальдегида и других продуктов. Оба альдегида оказывают раздражающее действие на кожу и глаза:
![]()
Чтобы контролировать автоокисление этоксилированных спиртов, полезно измерять изменение точки помутнения во времени. На рис. 12 приведены примеры такого теста для С12Е5 и С12Е6. Из рисунка видно, что оба НПАВ обнаруживают резкое уменьшение температуры помутнения при хранении при 40°С вследствие автоокисления.
Анионные ПАВ, как правило, в большей степени воздействуют на кожу, чем НПАВ. Так, додецилсульфат натрия, используемый в составе некоторых средств личной гигиены, обладает относительно высокой токсичностью по отношению к коже. Простые эфиры алкилсульфатов

Рис. 12. Зависимости температуры помутнения от времени хранения 1%-ных растворов поверхностно-активных веществ.
Данные НПАВ не содержали примесей гомологов. Измерения проведены при двух температурах натрия являются более мягкими ПАВ по сравнению с алкилсульфатами натрия, по этой причине эфирные производные чаще используются в средствах для ручного мытья посуды. Немаловажную роль для таких средств играют хорошие пе-нообразующие свойства этих ПАВ. Лучшие дерматологические характеристики эфиров алкилсульфатов по сравнению с алкилсульфатами послужили основной причиной интереса к этоксилатам с узким распределением по гомологам, которые были рассмотрены выше. При сульфатировании таких этоксилатов в качестве промежуточного продукта содержание агрессивных алкилсульфатов заметно ниже, чем при использовании стандартных этоксилатов с широким распределением по гомологам.
Влияние ПАВ на кожу часто определяют, используя тест с модифицированной камерой Дюринга. На рис. 13 приведены типичные результаты такого теста для додецилсульфата натрия, децилглюкозида и их смеси. Раздражающее действие на кожу уменьшается практически линейно с увеличением в смеси глюкозидного ПАВ. В других случаях уже небольшие добавки мягкого ПАВ могут вызывать весьма существенное улучшение дерматологических свойств композиций: такой синергетический эффект, возможно, связан с сильным снижением ККМ композиции из-за образования смешанных мицелл. Некоторые амфотерные ПАВ чрезвычайно сильно снижают раздражение кожи, вызванное контактом с анионными ПАВ, например эфирами алкилсульфатов. Эффект можно связать с протонированием карбоксильных

Рис. 13. Тест на величину относительного раздражающего действия.
Измерения проведены с помощью модифицированной камеры Дюринга. С разрешения Wiley-VCH
групп бетаинового ПАВ, превращающегося в катионное ПАВ с последующей упаковкой в смешанные мицеллы с анионными ПАВ. Таким образом, выигрыш в энергии образования смешанных мицелл приводит к протони-рованию карбоксильной группы бетаинового ПАВ уже при значениях рН, много больших рАГа .
Воздействие ПАВ на окружающую среду
Несмотря на то, что беспокойство о влиянии ПАВ на окружающую среду было законодательно оформлено более 20 лет назад, только совсем недавно этот фактор стал основным требованием, определяющим возможность использования ПАВ в различных композициях. Огромное количество ПАВ, использующихся в быту и промышленности, переходит в сточные воды. Скорость биодеградации в заводских отстойниках сточных вод определяет объем ПАВ, попадающих в окружающую среду. Два параметра — скорость биодеградации и степень токсичности в водной среде — определяют потенциальное влияние ПАВ на окружающую среду. Организацией экономического сотрудничества и развития разработаны правила и директивы, касающиеся
• токсичности по отношению к водоемам
• биоразлагаемости
• биоаккумулирования
Токсичность по отношению к водоемам
Токсичность в водной среде измеряется на рыбах, дафниях или водорослях. Токсичность выражается как LC50 или ЕС50, где LC и ЕС — летальные и эффективные концентрации ПАВ соответственно. Значения концентраций ПАВ ниже 1 мг/л, приводящие за 96 ч к гибели половины особей при проведении теста на рыбах и водорослях и в течение 48-часового теста на дафниях, указывают на токсичность ПАВ в водной среде. Экологически безопасные ПАВ должны иметь соответствующие значения выше 10 мг/ л.
Биоразлагаемост ь
Биоразложение — это процесс, выполняемый в природе бактериями. В результате серий ферментативных реакций молекула ПАВ в итоге превращается в диоксид углерода, воду и оксиды других элементов. Если продукт не подвержен естественному биоразложению, он устойчив и накапливается в окружающей среде. Скорость биоразложения зависит от типа ПАВ и колеблется от 1-2 часов для жирных кислот и 1-2 дней для линейных алкил бензол сульфонатов до нескольких месяцев для разветвленных алкилбензолсульфонатов.
При определении биодеградации ПАВ необходимо помнить, что скорость зависит от многих факторов: концентрации ПАВ, рН раствора и температуры. Особенно сильное влияние оказывает температура. Скорости распада химических веществ в заводских отстойниках сточных вод различаются в Северной Европе в зависимости от времени года почти в пять раз.
Для определения биодеградации важны два критерия: первичное разложение и конечные продукты. Первичное разложение поверхностно-активного вещества связано с потерей поверхностной активности. Например, сложноэфирные ПАВ могут быстро разлагаться на спирт и кислоту, которые не обладают высокой поверхностной активностью. Этот критерий представляет интерес в особых случаях, например при решении вопроса о том, будут ли продукты накапливаться в окружающей среде, вызывая вспенивание водоемов.
С экологической точки зрения важнее конечные продукты биоразложения. Существует множество методов для проведения тестов на способность к биоразложению. Среди них самым популярным оказался модифицированный тест Штурма. В этом тесте определяют превращение ПАВ в диоксид углерода во времени. Определение выполняют в закрытых сосудах, в которые вводят осадок из сточных вод заводского отстойника. В одну серию сосудов вводят ПАВ, другая серия остается без ПАВ. Измеряют количество выделяющегося газа в зависимости от времени. Различие, регистрируемое в этих двух сериях, позволяет оценить биоразложение ПАВ. Для большинства ПАВ обнаружен индукционный период биоразложения, за которым следует крутой подъем кривой выделения газа, после чего зависимость выходит на плато. Типичный результат теста и критерии, которые должны выполняться, приведены на рис. 14.

Рис. 14. Критерии для прохождения теста на биоразлагаемость и типичная кинетическая кривая биоразложения ПАВ.
Обратите внимание на продолжительный индукционный период до начала разложения
Биоаккумулирование
Гидрофобные органические соединения накапливаются в окружающей среде, поскольку все процессы биоразложения требуют определенного водного окружения. Бионакопление можно измерить непосредственно на рыбах, но чаще его рассчитывают из модельных экспериментов. Для этого измеряют распределение компонента между двумя жидкими фазами — октанолом и водой — и используют логарифмическую величину lgP. Поверхностно-активное вещество считается биоаккумулирующимся при 1^0 кт/вода> 3. Большинство ПАВ характеризуются значениями lgP < 3, поэтому биоаккумулирование не рассматривается как опасная экологическая проблема.
Величины lgP известны и собраны для многих ПАВ, их можно использовать для оценки гидрофильности ПАВ: чем ниже величина lgP, тем выше гидро-фильность ПАВ. Гидрофильность ПАВ полезно учитывать при составлении композиций. Часто в тех же целях пользуются более известным стандартом, основанным на концепции гидрофильно-липофильного баланса. ГЛБ широко используется для подбора эмульгаторов. Между lgP и ГЛБ существует обратная пропорциональность: чем выше значение ГЛБ, тем ниже величина lgP. Концепция критического параметра упаковки дает еще один способ оценки гидрофильности ПАВ.
Маркировка ПАВ
Согласно рекомендациям Организации экономического сотрудничества и развития, маркировка ПАВ должна включать значения токсичности в водной среде и биоразлагаемости. Рис. 15 иллюстрирует эту процедуру. Свойства основаны на биоразлагаемости и токсичности в водной

Рис. 15. Экологическая классификация ПАВ
среде. Заштрихованные области диаграммы соответствуют допустимым значениям экологических показателей
ва большинства обычно используемых в настоящее время ПАВ лежат в пограничной области. Отсюда понятно стремление исследователей к замене их компонентами, свойства которых позволили бы веществам расположиться на этой диаграмме «выше и правее».
Тесты на токсичность для водной среды, на биоразлагаемость и биоаккумулирование, несомненно, дают полную картину воздействия ПАВ на окружающую среду. Существуют и другие параметры, которые полезно определять для оценки экологического воздействия ПАВ. Кроме того, конечный продукт часто содержит смесь ПАВ или смесь ПАВ и полимера. Поскольку хорошо известно, что физико-химическое поведение ПАВ в подобных смесях сильно отличается от поведения в индивидуальном растворе, можно ожидать, что и биологические эффекты будут другими. Для получения полной картины экологические тесты должны проводится для всех конечных продуктов.
Таблица 8. Дополнительные важные факторы, которые полезно учитывать наряду с токсичностью в водной среде, биоразлагаемостью и биоаккумулированием для оценки экотоксичности ПАВ
1. Анаэробная биоразлагаемость. 2. Продолжительный токсический эффект. 3. Влияние на работу заводских отстойников сточных вод. 4. Токсичность производства ПАВ. 5. Влияние на жизненные циклы. 6. Технические эффекты: чем более эффективно ПАВ, тем в меньшем количестве оно расходуется; таким образом, биотоксичность на единицу эффективности является очень полезной характеристикой. |
Скорость биоразложения и структура молекул ПАВ
Рассмотрим некоторые параметры, влияющие на скорость биоразложения ПАВ. Прежде всего необходимо, чтобы ПАВ было достаточно растворимо в воде. Слишком липофильные ПАВ, такие как фторированные производные, накапливаются в липидных тканях организма и очень медленно разрушаются. Как уже говорилось выше, многие ПАВ достаточно растворимы в воде, поэтому биоаккумулирование исходного ПАВ не представляет большой угрозы. Однако начальная стадия биодеградации может заканчиваться образованием промежуточных продуктов, ограниченно растворимых в воде. Хорошо известным примером служит класс этоксилированных алкилфенолов, которые разрушаются вследствие окислительного расщепления с гидроксильного конца полиоксиэтиленовой цепи. При этом образуются этоксилированные ал кил фенолы с полярными группами всего из нескольких оксиэтиленовых фрагментов. Такие соединения очень липофильны и разлагаются крайне медленно. Изучение рыб, контактировавших с этоксилированными нонилфенолами, показало высокий уровень накопления нонилфенолов с двумя и тремя оксиэтиленовыми группами в липидных тканях. Эти данные послужили одной из причин строгого контроля за влиянием ПАВ этого класса на окружающего среду. Этоксилаты жирных спиртов, по-видимому, разрушаются по различным механизмам, поэтому липофильные метаболиты не образуются в заметных количествах.
Наряду с растворимостью в воде, необходимо, чтобы в молекуле ПАВ содержались связи, которые легко разрушаются в процессах ферментативного катализа. Большинство химических связей полностью разрушаются в природе, но важно, чтобы скорость разрушения была достаточно высокой для предотвращения попадания ПАВ и его метаболитов в недопустимых количествах в окружающую среду. Для повышения скорости биоразложения в настоящее время общепринятой практикой стало введение слабых связей в структуру молекул ПАВ. Такие легко разрушающиеся связи в принципе можно располагать в молекуле ПАВ хаотически, но для удобства синтеза их обычно вводят между гидрофобным «хвостом» и полярной группой. Типичными примерами таких связей являются сложноэфирные и амидные, разрушение которых катализируется эстеразами/липазами и пептидазами/ацилазами соответственно. Можно подумать, что эфирные связи в неионных ПАВ служат источником экологических проблем, поскольку ферменты, расщепляющие эфирные связи, не очень распространены в природе. Однако это не так. В аэробных условиях в а-положении по отношению к эфирной связи образуются гидропероксиды, и разрушение молекул происходит с образованием альдегидов и кислот.
Третий фактор, который необходимо учитывать дополнительно к растворимости в воде и наличию разрушаемых связей, — это разветвленность неполярной части молекулы ПАВ. Сильная разветвленность углеводородных «хвостов» часто приводит к уменьшению скорости биоразложения. Вероятно, это происходит из-за стерических препятствий, создаваемых боковыми группами для достижения молекулой ПАВ активного центра фермента. Но картина не вполне ясна. Некоторые типы разветвления представляются более опасными, чем другие, что, вероятно, связано со специфическими особенностями конкретного фермента. Метальные боковые группы создают меньше трудностей, чем более длинные боковые алкильные цепи. Но если молекула ПАВ содержит много метальных разветвлений подряд, как в производных поли, такие соединения становятся опасными с экологической точки зрения. Убедительным доказательством значения линейности алкильных цепей служит разница скоростей биоразложения алкилбензолсульфонатов с линейными и разветвленными цепями. Как уже упоминалось, разветвленные алкилбензолсульфонаты, производные тетра-1,2-пропилена в качестве алкильной цепи, использовались прежде как основные компоненты в составах бытовых моющих средств. Они дешевы, эффективны как ПАВ и химически стабильны, но слишком стабильны, если рассматривать их с экологической точки зрения. Когда в 1960-1970-х гг. возникли экологические проблемы, эти ПАВ были быстро заменены аналогами с линейными алкильными цепями. Линейные алкилбензолсульфонаты удовлетворительно разрушаются в аэробных условиях. Однако скорость их анаэробного биоразложения относительно низка, поэтому исследователи предпринимают усилия, чтобы преодолеть и это затруднение. Установлено, что от положения разветвления в углеводородной цепи сильно зависит способность ПАВ к биоразложению. Разветвление у атомов углерода, отстоящих на два атома от расщепляемой связи менее пагубно для биоразложения, нежели разветвление у атома углерода, отделенного одним атомом от разрушаемой связи. Все сказанное важно, потому что оксоспирты, широко использующиеся в качестве сырья для синтеза ПАВ, содержат большое количество 2-алкил-разветвлений. Установлено, что длина 2-алкильной боковой цепи практически не влияет на скорость биоразложения. Тем не менее, еще немало труда потребуется, чтобы научиться предсказывать биоразложение ПАВ, исходя из химической формулы его молекул.
Защита окружающей среды как стимул поиска новых безопасных поверхностно-активных веществ
Все основные виды ПАВ существуют вокруг нас десятилетия. Способы их производства оптимизированы, а физико-химические свойства относительно хорошо изучены. Наряду с постоянной задачей поиска путей удешевления производства существующих ПАВ, на развитие химии ПАВ в последние годы оказывает влияние рынок со все возрастающим спросом на «зеленые» продукты. Сегодня можно отметить две отчетливые тенденции в исследованиях, направленных на синтез новых ПАВ: 1) синтез ПАВ из природных строительных блоков, 2) синтез ПАВ с разрушающимися связями. Ниже мы кратко рассмотрим, как развивается производство ПАВ из природных строительных блоков.
Полярные группы
Исследованы два типа природных продуктов для использования в качестве полярных групп ПАВ — углеводы и аминокислоты. ПАВ можно получить с помощью органического и ферментативного синтеза либо комбинацией обоих способов синтеза. Наибольшие усилия были направлены на получение ПАВ с полярными группами из углевода.
В последние несколько лет исследования были сфокусированы на трех классах ПАВ, в которых полярными группами служит углевод или многоатомный спирт — это алкилполиглюкозиды, алкилглюкамиды и сложные эфиры Сахаров. Структуры молекул этих трех типов ПАВ представлены на рис. 16.

Рис. 16. Строение некоторых типичных ПАВ, производных многоатомных спиртов
В настоящее время отмечается большой интерес к исследованию алкилглюкозидов в связи с перспективами их широкого использования. Такие ПАВ синтезируют прямой реакцией взаимодействия глюкозы с жирным спиртом с применением большого избытка спирта, чтобы минимизировать олигомеризацию углевода. Альтернативным способом служит трансацеталирование короткоцепных алкилглюкозидов при взаимодействии с длинноцепочечными спиртами. В обоих процессах в качестве катализатора используется кислота. Исходным сырьем служит глюкоза или фракции гидролизованного крахмала. Рис. 17 иллюстрирует такой синтез. Алкилглюкозиды можно получить ферментативным синтезом с Р-глюкозидазой, в результате реакции с небольшими выходами получается только Р-аномер. Соответствующий а-аномер можно легко получить при гидролизе рацемата, катализируемом р-глюкозидазой. а,р-Смесь, являющаяся продуктом органического синтеза, значительно отличается от чистых энантиомеров, получающихся биокаталитическим путем. Р-Аномер н-октилглю-козида нашел применение в качестве ПАВ в биохимических исследованиях.
Алкилглюкозиды стабильны при высоких значениях рН и чувствительны к низким рН, при которых они гидролизуются до углевода и жирного спирта. Углеводная часть молекулы ПАВ более растворима в воде и менее растворима в углеводородах, чем соответствующие полиоксиэтиленовые блоки; таким образом, алкилполиглюкозиды и другие ПАВ, производные многоатомных спиртов, более липофобны, чем полиоксиэтиленовые ПАВ. Это делает физико-химическое поведение алкилглюкозидных ПАВ в системах масло-вода совсем другим по сравнению с поведением обычных неионных ПАВ. Более того, алкилглюкозид-ные ПАВ не обнаруживают резко выраженной обратной температурной зависимости растворимости, характерной для неионных ПАВ. И это приводит к большим различиям свойств растворов двух рассматриваемых типов ПАВ. Главная притягательность алкилглюкозидных ПАВ заключается в их благоприятных экологических свойствах: они характеризуются высокими скоростями

Рис. 17. Способы получения алкилглюкозидных ПАВ
биоразложения и нетоксичны для водоемов. В дополнении ко всему эти вещества, будучи мягкими ПАВ, не оказывают нежелательных воздействий на кожу и глаза, что делает этот класс ПАВ очень привлекательным для получения продуктов личной гигиены, хотя они нашли широкий круг других технологических применений.
Алкиглюкамиды являются коммерчески важными продуктами. Продукт, расходующийся в огромных количества в моющих средствах, — это N-додекано-ил-К-метилглюкамин, т. е. производное С12. Он производится из глюкозы, метиламина, водорода и метиллаурата в две стадии. Физико-химические свойства и другие характеристики ПАВ этого класса сходны с таковыми для алкилглюкозидов. Однако, в то время как алкилглюкозиды чрезвычайно устойчивы к щелочам и лабильны к действию кислот, алкилглюкамиды также устойчивы к щелочам, но и относительно устойчивы по отношению к кислотам.
Сложные эфиры глюкозы можно получать либо ферментативным синтезом с использованием в качестве катализатора липазы, либо органическим синтезом. При оптимальном выборе фермента биоорганический путь может привести к этерификации почти исключительно в 6-положение углеводного остатка. Органический синтез требует использования защитных групп для обеспечения необходимой селективности. Селективный ферментативный синтез эфиров других углеводов без предварительной защиты групп происходит с трудом. В то же время, исходя из ацеталей углеводов и жирных кислот, можно с хорошим выходом получить моноэфиры углеводов, а после стадии снятия защиты с части исходных веществ можно получить моно- и дипроизводные. Все эфиры углеводов очень лабильны в щелочной среде и весьма стабильны в кислых средах. Продукты распада — природные продукты. Так, эфиры углеводов являются идеальным кандидатом в качестве пищевого ПАВ, эти вещества, по-видимому, претерпевают быструю биодеградацию, несмотря на размер углеводной группы и независимо от длины ацильной цепи. Получены также сульфонированные эфиры углеводов. Оказалось, что такие анионные ПАВ подвергаются биоразложению с меньшими скоростями.
ПАВ на основе многоатомных спиртов обладают многими привлекательными свойствами: они мягкие по отношению к коже, нетоксичны для водоемов, их биораложение протекает с высокими скоростями, с ними легко работать, они толерантны к высоким концентрациям электролита. Некоторые характерные свойства ПАВ на основе многоатомных спиртов приведены в таблице 9.
Углеводородные радикалы
В качестве природных источников гидрофобных частей ПАВ прежде всего и в течение долгого времени использовались жирные кислоты, например для получения этоксилированных жирных кислот и эфиров сорбитана и жирных кислот. Недавно жирные кислоты начали использовать для получения этоксилирован ных производных моноэтаноламида
Таблица 9. Характеристики ПАВ на основе многоатомных спиртов
| 1. | Аэробная и анаэробная биодерадации происходят быстро. |
| 2. | Низкая токсичность в водной среде. |
| 3. | Гидроксильные группы обладают большой липофобностью. В то же время |
| ПАВ с достаточно длинными углеводородными хвостами обладают боль- | |
| шой гидрофобностью. В силу этого такие ПАВ проявляют ярко выражен- | |
| ную склонность локализоваться на границе вода-масло. | |
| 4. | Влияние температуры на поведение растворов незначительно и противопо- |
| ложно влиянию температуры на этоксилированные ПАВ. При составлении | |
| смесей ПАВ из производных многоатомных спиртов и | |
| этоксилированных ПАВ получаются композиции неион- | |
| ных ПАВ, фазовое поведение которых не зависит от температуры |
который в свою очередь получают аминолизом метиловых эфиров жирных кислот этаноламином. Этоксилированные амиды жирных кислот вызывают интерес как альтернатива этоксилатам жирных спиртов по следующим причинам: 1) они легко подвергаются биоразложению с образованием жирных кислот и поли с аминированными концами, 2) амидная связь в молекуле ПАВ способствует упаковке ПАВ вследствие образования водородной связи, 3) двойные связи в цепях жирных кислот цепях сохраняются и в продукте.
Известно, что двойные связи в углеводородных хвостах увеличивают ККМ вследствие увеличения гидрофильности ПАВ, а также из-за увеличения объема цепи, что затрудняет упаковку в плотные агрегаты и образование водородных связей между амидными группами. Присутствие одной двойной связи слабо влияет на площадь поперечного сечения молекул на поверхности. Две двойные связи эту площадь заметно увеличивают. Этоксилаты амидов жирных кислот с двойными связями в углеводородном «хвосте» представляют интерес как полимеризующиеся ПАВ.
Стерины — еще один класс природных веществ, представляющих интерес как источник гидрофобных блоков для получения ПАВ. Характерная особенность ПАВ на основе стеринов — наличие большой гидрофобной группы природного происхождения, которая, благодаря почти плоской структуре из четырех циклов, способствует плотной упаковке в поверхностных слоях. Фитостеринами называют стерины растительного происхождения, в настоящее время они уже широко используются в качестве сырья для получения ПАВ. Их структура аналогична структуре холестерина, который является примером стеринов животного происхождения. Стерины содержат вторичную гидроксильную группу, которая может быть этоксилирована. Однако спиртовая группа стерически защищена, и реакция с этиленоксидом напрямую не протекает. Оптимальная процедура такова: сначала проводить этоксилирование с кислотой Льюиса в качестве катализатора, затем прекращать реакцию после введения 3-5 молей этиленоксида и вновь продолжать реакцию, но уже с использованием КОН в качестве инициатора.
Этоксилированные стерины представляют собой большие жесткие молекулы, в силу этого для образования равновесного поверхностного слоя необходимо длительное время, и для достижения предельно низкого поверхностного натяжения требуется несколько часов. Возможно также, что длительное время достижения равновесия связано с реакциями обмена этоксилатов стеринов с различными длинами полиоксиэтиленовой цепи на границе вода - воздух и медленными конформационными изменениями молекул на поверхности. Структура стеринов жесткая, и время, необходимое для достижения оптимальной конформации в поверхностном слое, может быть очень большим. ПАВ на основе стеринов представляют интерес в качестве солюбилизаторов и эмульгаторов при производстве лекарств и косметических средств.
Похожие рефераты:
Снижение вязкости растворов мелассы с помощью моноглицеридов дистиллированных
Поверхностно-активные вещества
Определение способности почвенных бактерий к разложению синтетических моющих средств
Микроэмульсии для очистки от масел и загрязнений иной природы
Химические реакции в микрогетерогенных системах
Поверхностно-активные вещества. Природные и синтетические. Их преимущества и недостатки
Высокомолекулярные соединения и поверхностно активные вещества
Пищевые и биологически активные стабилизаторы
Поверхностно-активные вещества как загрязнители окружающей среды
Влияние технологических добавок на структуру и свойства резин
Развитие, становление и основные аспекты фармации
Карбоновые кислоты, их производные
Программа для поступающих в вузы (ответы)