| Скачать .docx |
Реферат: Химические свойства ароматических углеводородов. Полиядерные ароматические соединения
Реакции электрофильного замещения: галогенирование, нитрование, сульфирование, алкилирование, ацилирование. Механизм реакции электрофильного замещения. Понятие о p- и s-комплексах, их строение. Энергетическая диаграмма. Влияние заместителей на направление и скорость электрофильного замещения. Галогенирование и нитрование боковых цепей. Окисление бензола и его гомологов. Озонолиз. Реакции присоединения: гидрирование, галогенирование.
Нафталин: строение, ароматичность, номенклатура. Химические свойства: реакции электрофильного замещения (галогенирование, нитрование, сульфирование, ацилирование); реакции присоединения, гидрирование, галогенирования. Окисление. a- и b-Нафтолы и нафтиламины. Бифенил, трифенилметан. Понятие об устойчивых радикалах.
ХИМИЧЕСКИЕ СВОЙСТВА
В силу строения бензольного кольца для ароматических соединений ряда бензола характерны реакции электрофильного замещения.

Конкуренция между присоединением нуклеофильной частицы и отрывом протона в реакции бензониевого иона.

-реакция 1 не происходит;
-реакция 2 происходит:
В p-комплексе p-электронная система бензола выступает как донор электронов, а электрофильный агент действует как акцептор электронов. Однако образование и диссоциация p-комплекса происходят очень быстро, и образование p-комплекса в большинстве случаев не оказывает существенного влияния ни на скорость реакции, ни на природу подавляющего большинства образующихся соединений.

![]()
Бензол вступает в следующие реакции:

Нитрование.

Нитрующие агенты HNO3 , HNO3 /H2 SO4 , HNO3 и CH3 COOH, HNO3 /(СН3 СО)2 О, NO2 BF4 и др.
Природа нитрующих агентов:

Условия, температура, концентрация.
Галогенирование.

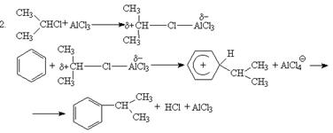
Одним из наиболее часто используемых катализаторов является безводный хлорид алюминия. Функция катализатора состоит в связывании с галогеном.

Сульфирование.
Для сульфирования часто применяется серная кислота, содержащая избыток SO3 .
![]()
кислотно-основное равновесие между двумя молекулами серной кислоты.
Хотя серный ангидрид не несет положительного заряда, но он обладает дефицитом электронов, и, следовательно, является кислотой.


Поскольку бензолсульфокислота - сильная кислота, то она сильно диссоциирует. Реакция сульфирования - обратимая. При взаимодействии бензолсульфокислоты с перегретым паром при 1800 С образуется бензол.

Алкилирование по Фриделю-Крафтсу.
Принято два возможных механизма реакции:

Во втором случае можно предполагать, что электрофилом служит алкильная группа полырного комплекса AlCl3 с алкилгалогенидом.

Реакции окисления.
1). Бензольное кольцо в обычных условиях окисляется с трудом. При действии кислорода воздуха на бензол в присутствии V2 O5 (пятиокись ваннадия) при температуре 4000 С получается малеиновый ангидрид.

2). Окисление алкилпроизводных бензола идет с образованием карбоксилсодержащих бензольных производных:

3). Озонирование.

4). Каталитическое окисление О2 в присутствии медного катализатора.

Правила ориентации в бензольном кольце
Введение заместителя в молекулу бензола требует ответа на два вопроса:
1. Какое влияние оказывает заместитель на скорость реакции - затрудняет или ускоряет?
2. Куда он направляет электрофильную частицу Е+ , в какое положение?

Эти вопросы связаны с перераспределением электронной плотности в бензольном кольце (I-эффект и С-эффект).
Примеры нитрования бензола, нитробензола, толуола.
Рассмотрим два типа заместителей:
+ I-эффект s, p -гиперконъюгация сверхсопряжение + С |
- I-эффект - С |
Донор (увеличение электр. плотности) активизирует |
Акцептор (уменьшение электр. плотности) деактивизирует |
|
|
Рядактивности:
NH2 > OH > OR > Cl > I > Br > CH3 ; COOH > SO3 H > NO2 .
Ориентация:

Особенности влияния галогенов.

Галогены являются о-,п-ориентантами, но в то же время дезактивируют кольцо.
Влияние заместителей в ядре на электрофильное замещение.
| орто-, пара- Ориентанты | мета-Ориентанты |
| Активирующие | Дезактивирующий |
| Дезактивирующие | |
Хотя заместители и подразделяются для удобства на 2 класса - о-, п- и м-ориентанты, однако практически существует очень мало реакций, в которых образовались бы только о-, п- или м-замещенные. Большинство реакций приводит к получению всех трех изомеров, а ориентирующее влияние сказывается просто в том, какой из них образуется в избытке.
В приведенной таблице показано, что большинство заместителей о-, п-направляющих больше дают продуктов пара-замещенных, чем орто, несмотря на то, что орто-положений два. Причиной тому служат стерические факторы.
Распределение изомеров при нитровании производных бензола.

| R | Распределение продуктов, % | ||
| орто | пара | мета | |
| 58 | 38 | 4 | |
| 12 | 88 | - | |
| 30 | 70 | - | |
| 37 | 62 | 1 | |
| 38 | 60 | 2 | |
| 19 | 1 | 80 | |
| 27 | <3 | 70 | |
| - | 11 | 89 | |
Электрофильное замещение в дизамещенных бензолах
При наличии двух заместителей, действующих несогласованно, разного типа место вступления заместителя определяет активирующий (электронодонорный) заместитель.

Если оба ориентанта одного типа, то место вступления определяет более сильный, а если заместители не очень отличаются по силе, то образуются смеси продуктов.
Ориентация в дизамещенных может быть и согласованной:





