| Скачать .docx |
Курсовая работа: Синтез нитробензойной кислоты
Федеральное агентство по образованию
Государственное образовательное учреждение
высшего профессионального образования
«САМАРСКИЙ ГОСУДАРСТВЕННЫЙ ТЕХНИЧЕСКИЙ УНИВЕРСИТЕТ»
Инженерно-технологический факультет
Кафедра органической химии
Синтез м -Нитробензойной кислоты
Курсовая работа
Выполнил студент
3 курса, 3 группы
Кириллов Евгений Владимирович
Научный руководитель
Д.х.н., профессор Моисеев И.К.
САМАРА 2007
СОДЕРЖАНИЕ
Содержание
1. Введение
2. Обзор литературы
3. Обсуждение результатов
4. Экспериментальная часть
4.1. Реагенты и оборудование
4.2. Методика эксперимента
5. Выводы
1. Введение
Ароматическими карбоновыми кислотами называются производные бензола, содержащие карбоксильные группы, непосредственно связанные с углеродными атомами бензольного ядра. Кислоты, содержащие карбоксильные группы в боковой цепи, рассматриваются как жирноароматические.
Ароматические кислоты могут быть разделены по количеству карбоксильных групп на одно-, двух- и более основные. Названия кислот, у которых карбоксильная группа непосредственно связана с ядром, производятся от ароматических углеводородов. Названия кислот с карбоксилом в боковой цепи производятся обычно от наименований соответствующих кислот жирного ряда. Наибольшее значение имеют кислоты первого типа: например, бензойная (бензолкарбоновая) С6 Н5 —СООН, п- толуиловая
(п -толуолкарбоновая), фталевая (1,2-бензолдикарбоновая), изофталевая (1,3-бензолдикарбоновая), терефталевая (1,4-бензолдикарбоновая):

Из кислот второго типа отметим фенилуксусную кислоту (I), метилфенилуксусную,
или 2-фенилпропановую, кислоту ( II):
Физические свойства
Монокарбоновые кислоты ряда бензола — бесцветные кристаллические вещества с температурой плавления выше 100 °С. Кислоты с пара- положением заместителей плавятся при значительно более высоких температурах, чем их изомеры. Ароматические кислоты кипят при несколько более высоких и плавятся при значительно более высоких температурах, чем кислоты жирного ряда с тем же числом углеродных атомов. Монокарбоновые кислоты довольно плохо растворяются в холодной воде и значительно лучше в горячей. Низшие кислоты летучи с парами воды.
В водных растворах монокарбоновые кислоты обнаруживают большую степень диссоциации, чем кислоты жирного ряда: константа диссоциации бензойной кислоты 6,6·10-5 , уксусной кислоты 1,8·10-5 .
Отдельные представители. Применение
Бензол был открыт Фарадеем в 1825 г. и была установлена его брутто-формула-С6 Н6 . В 1865 г. Кекуле предложил его структурную формулу как циклогексатриена-1,3,5. Этой формулой пользуются и в настоящее время, хотя она, как позднее будет показано, несовершенна - не отвечает полностью свойствам бензола.
Наиболее характерной особенностью химического поведениябензола является удивительная инертность двойных углерод-углеродных связей в его молекуле: в отличие от рассмотренных; ранее непредельных соединений он устойчив к действию окислителей (например, перманганата калия в кислой и щелочной среде, хромового ангидрида в уксусной кислоте) и не вступает в обычные реакции электрофильного присоединения, характерные для алкенов, алкадиенов и алкинов.
Пытаясь объяснить свойства бензола особенностями строения, многие ученые вслед за Кекуле выдвигали по этому поводу свои гипотезы. Поскольку непредельность бензола явно не проявлялась, считали, что двойных связей в молекуле бензола нет. Так, Армстронг и Байер, а также Клаус предположили, что в молекуле бензола четвертые валентности всех шести атомов углерода направлены к центру и насыщают друг друга, Ладенбург - что углеродный скелет бензола представляет собой призму, Чичибабин - что в бензоле углерод трехвалентен.
Тиле, усовершенствуя формулу Кекуле, утверждал, что двойные связи в последнем не фиксированы, а постоянно перемещаются-«осциллируют», а Дьюар и Хюккель предложили структурные формулы бензола с двойными связями и малыми циклами.

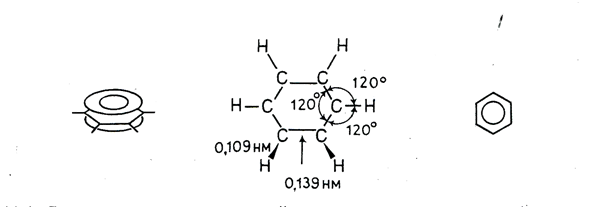
В настоящее время на основании данных многочисленных исследований можно считать твердо установленным, что шесть углеродных и шесть водородных атомов в молекуле бензола находятся в одной плоскости и что облака π-электронов атомов углерода перпендикулярны плоскости молекулы и, следовательно, параллельны друг другу и взаимодействуют между собой. Облако каждого π-электрона перекрывается облаками π-электронов соседних углеродных атомов. Реальная молекула бензола с равномерным распределением π-электронной плотности по всему кольцу может быть представлена в виде плоского шестиугольника, лежащего между двумя торами.
Отсюда следует, что формулу бензола логично изображать в виде правильного шестиугольника с кольцом внутри, подчеркивая тем самым полную делокализованность π-электронов в бензольном кольце и равноценность всех углерод-углеродных связей в нем. Справедливость последнего заключения подтверждена, в частности, результатами измерения длин С—С-связей в молекуле бензола; они одинаковы и равны 0,139 нм (С—С-связи в бензольном кольце короче ординарных (3,154 нм), но длиннее двойных (0,132 нм)). Распределение электронной плотности в молекуле бензола; длины связей, валентные углы

Бензойная кислота простейшая ароматическая кислота, C6 H5 COOH; бесцветные блестящие пластинки или иглы с Тпл. 121,5°С, кристаллогидрат плавится при 90 °С. Встречается в свободном состоянии в некоторых смолах, особенно в бензойной смоле и в «драконовой крови» (красная твердая смола, добываемая из одного вида пальмы). В виде бензилового эфира она входит в состав перуанского бальзама. Б. к. в виде сложных эфиров и солей содержится в различных природных эфирных маслах, например гвоздичном. В виде гиппуровой кислоты (бензоилглицин) содержится в моче травоядных животных. Впервые выделена возгонкой в начале 17 в. из бензойной смолы (росного ладана), отсюда и получила название. Б. к. хорошо растворяется в органических растворителях, в воде - плохо; легко возгоняется; перегоняется с водяным паром. Получают Б. к. окислением толуола азотной или хромовой кислотой, а также декарбоксилированием фталевой кислоты.
В медицине её применяют при кожных заболеваниях наружно как антисептическое (противомикробное) и фунгицидное (противогрибковое) средства, а натриевую соль Б. к. - как отхаркивающее средство. Кроме того, натриевую соль Б. к. используют при консервировании пищевых продуктов. Сложные эфиры Б. к. (от метилового до амилового), обладающие сильным запахом, применяют в парфюмерной промышленности. Различные производные Б. к., например хлор- и нитробензойные кислоты, широко применяют для синтеза красителей. Эталон в калориметрии; основное вещество для установки титра щелочей; для бензилирования в органическом анализе; растворитель при определении молекулярного веса; для контроля достигавшейся максимальной температуры в стерилизаторах. В продаже часто фальсифицируется мылом, сахаром и многими кислотами. Фальсифицированная Б. К. дает на нагретом стекле твердый осадок.
ТЕХНИЧЕСКИЕ ПОКАЗАТЕЛИ (СТ. ГОХП 27 - 1810)
| квалиф | осн. вещ. % |
Т.пл °С |
Предельно допустимое содержание примесей % |
Испытания (см. СТ. ГОХП) |
|||
| хлориды | ост. прокал. | сера | тяж. мет. |
||||
| ч.д.а. | 99,9 | 122-123 | 0,02 | 0,01 | 0,002 | 0,0005 | На растворимость в аммиаке |
| ч. | 99,5 | 122-123 | 0,05 | 0,05 | 0,005 | 0,002 | |
Очень важным производным бензойной кислоты является ее хлорангидрид — хлористый бензоил. Это жидкость с характерным запахом и сильным лакриматорным действием. Используется как бензоилирующий агент.
Пероксид бензоила используется как инициатор для реакций полимеризации, а также как отбеливающий агент для пищевых масел, жиров, муки.
Толуиловые кислоты. Метилбензойные кислоты называют толуиловыми кислотами. Они образуются при частичном окислении о-, м- и п -ксилолов. NN-Диэтил-м -толуилмид является эффективным репеллентом — препаратом, отпугивающим насекомых:

п-трет -Бутилбензойную кислоту получают в промышленных масштабах жидкофазным окислением трет -бутилтолуола в присутствии растворимой соли кобальта в качестве катализатора. Применяется в производстве полиэфирных смол.
Фенилуксусную кислоту получают из хлористого бензила через нитрил или через магнийорганические соединения. Это кристаллическое вещество с т. пл. 76 °С. Благодаря подвижности подородных атомов метиловой группы легко вступает в реакции конденсации. Эта кислота и ее эфиры применяются в парфюмерии.
СЕРНАЯ КИСЛОТА H2 SO4 — сильная двухосновная кислота. Безводная 100%-ная С. к. при комнатной температуре представляет собой в сильной степени ассоциированное соединение с длинными, образованными на счет водородных связей, цепевидными молекулами. При повышении температуры эти цепочки разрушаются
Физические и химические свойства серной кислоты. Безводная С. к.— бесцветная маслянистая жидкость, застывающая в кристаллич. массу при +10,37°. При 279,6С /700 мм безводная С. к. кипит с разложением до образования азеотрошюй смеси, содержащей 98,3% H2 SO4 и 1,7% Н2 О (эта смесь кипит при 338,8°). С. к. смешивается с водой и SO3 в любых соотношениях. Добавление воды к 100%-иой С. к. приводит к снижению температуры плавления (ок. 120 на 1мольводы), отвечающему образованию почти 2 частиц из каждой молекулы воды.
Теплота испарения составляет 122,1 ккал/кг 100%-ной С. к., теплота плавления 26,55 ккал/кг 100%-ной С. к.
Конц. С.к. — довольно сильный окислитель, особенно при нагревании. Она окисляет HJ и частично HВr (но не HCI) до свободных галогенов, уголь до С02 , серу до SO2 , а также многие металлы (Сu, Hg и р.)- Золото и платина устойчивы но отношению к С. к. при любых концентрациях и температурах. С. к. с концентрацией выше 93% не действует на железо. Разб. С. к. легко растворяет железо с выделением Н2 . Окислительные свойства для разб. С. к. нехарактерны. Действуя как окислитель, С. к. обычно восстанавливается до SO2 . Однако наиболее сильными восстановителями она может быть восстановлена до S и даже H2 S. Копц. С. к. частично восстанавливается газообразным Н2 , из-за чего и не может применяться для его сушки.
С. к. дает два ряда солей: средние — сульфаты, и кислые — бисульфаты, причем последние в твердом состоянии выделены лишь для немногих наиболее активных одновалентных металлов — Na, К и др
Получение. В современной заводской практике исходным веществом для получения С. к. служит сернистый газ. Процесс его переработки в С. к. может быть выражен суммарным стехиометрическим уравнением:
SO2 + 0,5О2 + п Н2 О = Н2 SO4 + (п -1) Н2 О
В промышленности этот процесс осуществляется посредством двух различных способов — контактного и нитрозного.
Сущность контактного метода состоит в том, что газообразный SО2 , проходя «месте с кислородом или воздухом через катализатор, окисляется до SO3 по реакции:
SO2 +0,5О2 = SO3 + 22,97 ккал/моль
Полученный SO3 растворяется в воде с образованием С. к.
Сущность нитрозного метода состоит в том, что обжиговый газ (после соответствующей очистки его от пыли) обрабатывается С. к., в которой растворены окислы азота. Сернистый ангидрид поглощается нитрозой, а затем окисляется окислами азота по реакции:
SO2 + N2 O3 +H2 O = Н2 SO4 + 2NO
Образующаяся окись азота выделяется из нитрозы, в которой она плохо растворима, а затем частично окисляется кислородом в газовой фазе до двуокиси азота: полученная смесь NO и NO2 вновь поглощается серной кислотой и т. д. Окислы азота не расходуются, а возвращаются в производственный цикл. Но поскольку окислы азота не полностью поглощаются серной кислотой и частично уносятся отходящими газами, создаются невозвратимые потери.
Выпускается несколько сортов С. к., которые отличаются содержанием Н2 SO4 и SO3 , а также составом и количеством примесей. Камерная кислота содержит (65% H2 SO4 , башенная — 75%, купоросное масло башенных систем — 90,5%, контактных — 92,5%. Олеум для нитрозы содержит 20,0% SO3 , олеум для прочих целей — 18,5% SO3 .С. к. аккумуляторная (сорт А и Б) содержит 92—94% H2 SO4 , но своему качеству приближается к реактивной кислоте, содержащей 91,5 —95,6% H2 SO4 .
Конц. С. к.— башенную, купоросное масло и олеум — хранят в стальных нефутерованных баках. Для хранения к-ты более низкой концентрации стальные баки футеруют кислотоупорной керамикой. Олеум, купоросное масло, башенную к-ту и меланж перевозят в обычных стальных железнодорожных цистернах. Камерную и более слабую к-ту перевозят в стальных цистернах, покрытых внутри свинцом пли специальными кислотоупорными материалами (полиизобутиленом, винипластом и др.). Цистерны для перевозки олеума покрывают снаружи термоизоляцией во избежание замерзания олеума.
Техника безопасности Сернистый SO3 ангидрид вызывает раздражение кожи, слизистых оболочек носа, глаз и верхних дыхательных путей. Порог восприятия запаха 0,006—0,003 мг/л. При аварийном выделении газа пользуются фильтрующим противогазом. Допустимая концентрация SO2 0.01 мг/л. SO3 в свободном состоянии в воздухе не содержится: соединяясь с нарами воды, он образует туман, состоящий из мелких капель С. к. и затрудняющий дыхание. Допустимая концентрация в воздухе рабочей зоны — 0,001 мг/л. Окислы азота вызывают кашель, ощущение удушья и сухости в горле, рвоту и головную боль. Допустимая концентрация окислов азота в воздухе рабочей зоны 0,005 мг/л (в пересчете на N2 O5 ). Допустимая концентрация в воздухе рабочей зоны производственных помещений селенистого ангидрида 0,001 мг/л. В случае отравления газами пострадавшему необходим свежий воздух, кислород, при сильных отравлениях — искусственное дыхание, медицинская помощь. Под действием С. к., меланжа и олеума кожа становится сначала белой, затем буроватой с покраснением. При этом окружающие ткани распухают. При попадании С. к. на кожу ее необходимо как можно скорее смыть сильной струей воды, обожженное место смочить 5%-ным раствором соды.
Применение . С. к. применяется в производстве минеральных удобрений, для получения разнообразных минеральных кислот и солей, всевозможных органических продуктов (в реакциях дегидратации (получение этилового эфира, сложных эфиров), гидратации (этиловый спирт из этилена), сульфирования (получение промежуточных продуктов в произ-ве красителей), алкилирования (получение изооктана, полиэтиленгликоля, капролактама н т.п.)), дымообразующих и взрывчатых веществ, в нефтяной, металлообрабатывающей, текстильной, кожевенной и др. отраслях промышленности. Самым крупным потребителем С. к. является производствово минеральных удобрений — суперфосфата и сульфата аммония.
НИТРАТ КАЛИЯKNO3 Бесцветные прозрачные призматические кристаллы ромбической системы. Плотность 2,109 г/см3 . Реактив устойчив на воздухе. Хорошо растворим в воде (24,1 % при 20 0 С) и разбавленном этиловом спирте, почти нерастворим в абсолютном спирте. При 334 0 С плавится в подвижную жидкость, которая при дальнейшем нагревании разлагается на О2 и KNO2 .
Чистый препарат легко получить перекристаллизацией технической калиевой селитры.
Целью данной курсовой работы было получение относительно чистой
м -Нитробензойной кислоты с минимально возможными примесями и с достаточно высоким выходом.
2.Литературный обзор

Нитрование – реакция замещения атома водорода нитрогруппой. Иногда нитрогруппа может замещать атомы галоида, сульфогруппу, карбоксильную группу и другие. Реже нитрогруппу вводят в молекулу путем присоединения соответствующего реагента по месту кратной связи в ненасыщенном соединении.
В качестве нитрующих агентов чаще всего применяются следующие соединения или их смеси:
1. азотная кислота различной концентрации;
2. смесь концентрированной азотной и концентрированной серной кислот в отношении 1:1 (нитрующая смесь);
3. нитраты щелочных металлов в присутствии серной кислоты;
4. нитраты металлов в присутствии уксусного ангидрида и уксусной кислоты;
5. азотная кислота или смесь азотной и серной кислот с уксусным ангидридом или ледяной уксусной кислотой;
6. органические нитраты;
7. азотистая кислота и четырехокись азота.
Способность органических соединений к нитрованию, то есть к замене водорода на группу NO2 , неодинакова. Насыщенные соединения нитруются с трудом. Легко замещается водород, стоящий у третичного атома углерода, но известны также случаи нитрования метиленовых групп. Ненасыщенные соединения легко вступают в реакцию присоединения с сильными кислотами, в том числе и азотной, образуя в последнем случае нитропроизводные. Реакция нитрования ароматических соединений проходит, в общем, легко и является одной из важнейших реакций органической химии. Гетероциклические соединения также нитруются довольно легко, но труднее, чем ароматические соединения.
Влияние температуры на реакцию нитрования. При нитровании ароматических соединений одним из наиболее важных условий является соблюдение температурного режима. В отдельных случаях превышение заданной температуры приводит к энергичному окислению ( окисляющее действие азотной кислоты), что снижает выходы нитросоединений. В известной мере изменение температуры реакции оказывает также влияние на место вступления нитрогруппы, а также на степень нитрования; например, повышение температуры при нитровании бензола приводит к увеличению в продуктах реакции количества о-динитробензола.
Нитрование – реакция экзотермическая. Введение одной нитрогруппы сопровождается выделением около 36,5 ккал/ моль. Тепло выделяется также вследствие разбавления серной кислоты (обычно входящей в состав нитрующей смеси) водой, образующейся в процессе реакции нитрования
RH + HONO2 → RNO2 + H2 O.
Реакцию нитрования следует вести медленно, добавляя небольшими порциями нитруемое вещество к нитрующей смеси и одновременно охлаждая реакционную смесь.
Влияние перемешивания. В тех случаях, когда нитруемое вещество не растворяется в нитрующей смеси, реакционную смесь нужно тщательно перемешивать или встряхивать, так как практически процесс нитрования происходит только на границе двух фаз.
Место введения нитрогруппы в бензольное ядро. Вступление нитрогуппы в ароматическое ядро в общем согласуется с правилом замещения. Однако в определенных условиях во время нитрования ароматических соединений нитрогруппа вступает в положение, наиболее близкое к уже имеющемуся заместителю, даже в тех случаях, когда последний направляет замещение в мета- или пара- положение. Например, при нитровании нитробензола, кроме м- динитробензола, образуется около 10% о- динитробензола.
Из производных бензола наиболее легко нитруются соединения, содержащие гидроксильные и аминогруппы, а также алкил- и галоидозамещенные; в этих случаях нитрогруппа вступает в орто- и пара- положение. Труднее нитруются нитросоединения, сульфокислоты, карбоновые кислоты; в этих случаях нитрогруппа вступает в мета- положение.
Соотношение образующихся о- и п- нитропроизводных можно регулировать путем подбора соответствующих нитрующих средств. Например, нитрование фенола азотной кислотой дает почти равные количества о- и п- нитрофенолов, а нитрование толуола – около 60% о- нитротолуола. В то же время при нитровании ацетилнитратом (CH3 COONO2 ) количество о- нитрофенола возрастает, а выход о- нитротолуола достигает 90%.
Нитрование лабильных соединений. Для нитрования таких веществ, как альдегиды или амины, следует применять специальные меры предосторожности. Альдегиды следует нитровать при низкой температуре. Свободные амины нитруют азотной кислотой, не содержащей окислов азота (чтобы избежать окисления и диазотирования), и в присутствии большого избытка серной кислоты.
Нитрование азотной кислотой.
Нитрование практически является необратимой реакцией.
Для нитрования применяется азотная кислота различной концентрации, но всегда в количестве приблизительно на 50% больше, чем требуется согласно стехиометрическому расчету. Однако концентрация азотной кислоты (наиболее концентрированная азотная кислота (d=1,52) при температуре 150 С содержит около 99,67% HNO3 ; бурая, дымящая азотная кислота содержит растворенные окислы азота (до 12% и выше) и на основании ее удельного веса нельзя судить о содержании HNO3 ) играет существенную роль при реакции нитрования. Чем меньше содержание воды в кислоте, тем лучше идет нитрование и тем меньше оно сопровождается окислением. В связи с этим для нитрования ароматических соединений применяют концентрированную азотную кислоту; в то же время для нитрования парафиновых углеводородов применяют разбавленную азотную кислоту, причем используют окисляющее действие разбавленной кислоты, связанное с выделением окислов азота, которые и являются подлинным нитрующим агентом. Действие азотной кислоты зависит от температуры; понижение температуры реакции в большей степени уменьшает окисляющие, чем нитрующие действия кислоты. Нитрование алифатических соединений обычно проводят в запаянных трубках при температуре 100-1400 С, применяя разбавленную азотную кислоту. Однако иногда нитрование алифатических соединений можно проводить в открытых сосудах. В результате нитрования парафинов образуются первичные или вторичные продукты нитрования или их смесь. Углеводороды с нормальной цепью, а также углеводороды с четвертичным атомом углерода нитруются с большим трудом. Алкилбензолы нитруют в боковую цепь разбавленной азотной кислотой в запаянных трубках. Наиболее легко замещается нитрогруппой атом водорода, стоящий у третичного углеродного атома, и несколько труднее водород у вторичного углеродного атома.
При действии концентрированной азотной кислоты на парафиновые углеводороды образуется немного полинитропроизводных, а также ряд продуктов окисления.
Ароматические соединения нитруют концентрированной азотной кислотой, однако вода, образующаяся в результате реакции, разбавляет кислоту, что способствует протеканию побочных реакций окисления. Этим методом нитруют ксилол, п- цимол( при температуре -150 С), псевдокумол и тетралин. В последнем случае при нитровании нитрующей смесью смолообразные побочные продукты не образуются. При нитровании нафталина азотной кислотой нитрогруппа преимущественно вступает в α- положение, однако образуется также небольшое количество и β- изомера.
Ароматические альдегиды при нитровании азотной кислотой на холоду образуют молекулярные соединения – нитраты альдегидов, которые легко превращаются в нитропроизводные альдегидов.
Нитрование азотной кислотой ароматических кислот, содержащих карбоксильную группу в боковой цепи, идет с хорошими выходами.
Иначе протекает нитрование ароматических соединений азотной кислотой в присутствии ртути или ее солей, так называемое окислительное нитрование. При этом, кроме нитрования, происходит гидроксилирование и образуются нитрофенолы и полинитрофенолы или их производные.
Нитрование смесью азотной и серной кислот.
Нитрование смесью концентрированных кислот.
Для того чтобы избежать разбавления азотной кислоты, выделяющейся во время нитрования водой, азотную кислоту применяют в смеси с веществами, связывающими воду. Для этого чаще всего применяют концентрированную серную кислоту, смесь которой с концентрированной азотной кислотой называется «нитрующей смесью». Присутствие серной кислоты в нитрующей смеси предотвращает протекание побочных реакций и значительно увеличивает растворимость многих органических веществ. Нитрующим агентом является ион нитрония NO2 , образующийся по уравнению:
HNO3 + 2H2 SO4 → H3 O+ + NO2 + + 2HSO4 - .
Лучшие выходы продуктов нитрования получаются при применении серной кислоты концентрацией ~90%.
Присутствие небольших количеств азотистой кислоты обычно не влияет на выходы реакций. Азотистая кислота также является нитрующим агентом и иногда ее присутствие инициирует реакции, которые не идут с чистой азотной кислотой. Однако в некоторых случаях присутствие азотистой кислоты вредно, например при нитровании первичных ароматических аминов (в связи с возможностью образования диазосоединеий). Азотистую кислоту удаляют добавлением мочевины.
Нитрующую смесь приготовляют путем смешивания концентрированной азотной кислоты (d= 1,4 – 1,5) с концентрированной (d= 1,84) или дымящей серной кислотой. Для нитрования азотную кислоту беру в количестве, близком к теоретическому (105%). Для получения полинитросоединений применяют избыток азотной кислоты (110 – 120%). Концентрацию серной кислоты подбирают в зависимости от реакционной способности нитруемого вещества и от числа вводимых нитрогрупп. Чем больше число вводимых нитрогрупп, тем более концентрированной должна быть серная кислота. Применяется 92 – 93% - ная кислота, моногидрат или олеум с различным содержанием SO3 (10 – 20% и даже выше). Количество серной кислоты подбирают в зависимости от количества воды, выделяющейся во время реакции. С точки зрения экономики, для промышленных процессов количество серной кислоты играет важную роль. При введении одной нитрогруппы к концу реакции на один моль кислоты должно приходиться не более двух молей воды, образующейся во время реакции, а также введенной с азотной кислотой или нитруемым соединением.
Нитрующую смесь обычно применяют для нитрования ароматических соединений. Для получения мононитропроизводных в каждом конкретном случае применяют нитрующую смесь со строго определенным соотношением азотной и серной кислоты и воды.
Нитрование нитратами щелочных металлов в присутствии концентрированной серной кислоты.
Этот метод применяют в тех случаях, когда нитрующая смесь действует слишком слабо. Смесь нитратов щелочных металлов (KNO3 , NaNO3 , Ba(NO3 )2 ) и серной кислоты содержит оба реагента обычной нитрующей смеси (HNO3 и H2 SO4 ), отличаясь от нее, однако, тем, что в этом случае смесь не содержит воды, вводимой вместе с азотной кислотой, и вместе с тем содержит кислые сульфаты щелочных металлов, которые определенным образом влияют на реакцию нитрования.
Нитрование при помощи других нитрующих агентов.
Нитрование нитратами в присутствии уксусного ангидрида и уксусной кислоты.
В некоторых случаях для нитрования используют нитраты металлов, чаще всего меди, железа, марганца, кобальта и лития, в смеси с уксусным ангидридом. Преимуществом этого метода является возможность проведения реакции при низких температурах, без осмоления, а также возможность направлять вводимую нитрогруппу только в одно определенное положение. Например, из анилина при действии нитрата меди и уксусного ангидрида образуется только о- нитроацетанилид, при действии нитрата лития – только п- нитроацетанилид. Прибавление ледяной уксусной кислоты способствует более умеренному течению реакции. Часто уксусный ангидрид можно полностью заменить уксусной кислотой. Например, из фенола при действии безводной уксусной кислоты и нитрата меди образуется только о- нитрофенол.
Нитрование смесью азотной кислоты или азотной и серной кислот с уксусным ангидридом или уксусной кислотой.
Этот метод можно применять как для алифатических, так и для ароматических соединений. Таким образом нитруют, например, стеариновую кислоту и эфир янтарной кислоты.
При нитровании ароматических углеводородов в присутствии уксусной кислоты нитрогруппа направляется в боковую цепь. При энергичном нитровании реакция может сопровождаться окислением. Этим методом получают 3-нитро-4-оксибензальдегид из 4- оксибензальдегида.
Нитрование эфирами азотной кислоты.
Применение органических нитратов позволяет проводить реакцию нитрования в совершенно безводной среде, что иногда играет важную роль. Для этой цели прежде всего применяют алкилнитраты: метил-, этил-, бутил- и амилнитрат в нейтральной или даже щелочной среде. Они обладают ценной способностью растворять многие органические соединения. Нитрование осуществляется в присутствии алкоголятов калия или натрия. Вследствие низких температур кипения алкилнитратов избыток их легко удалять по окончании реакции.
Энергичными нитрующими агентами являются также ацетил- и бензоилнитраты (CH3 COONO2 , C6 H5 COONO2 ).
Бензол, толуол, нафталин, фенол и его эфиры, анилиды, хинолин и тиофен под действием ацетилнитрата дают мононитропроизводные с выходами, близкими к теоретическим. Преимуществом этого метода для производных бензола является возможность направления нитрогруппы почти исключительно в орто- положение. Ацетилнитрат исключительно чувствителен к действию влаги; кроме того, следует избегать его нагревания, так как это может привести к взрыву. Бензоилнитрат действует так же, как и ацетилнитрат, и обладает аналогичными свойствами; с эфирами фенолов он дает о- нитропроизводные с теоретическим выходом.
Нитрование азотистой кислотой и четырехокисью азота.
Многие органические соединения нитруются водными растворами азотистой кислоты, причем ее действие основывается на присутствии четырехокиси азота, являющейся энергичным нитрующим агентом.
Нитрование осуществляется действием водного раствора нитрита натрия в присутствии минеральных кислот (соляной или серной).
Газообразной четырехокисью азота можно непосредственно нитровать парафиновые углеводороды. Для этого смесь сухой N2 O4 с парами углеводорода пропускают через нагретую стеклянную трубку, наполненную стеклянными кольцами. В результате реакции получаются производные не только нитруемого углеводорода, но и его низших гомологов, образующихся за счет разрыва цепи углеводородных атомов.
Безводная N2 O4 с трудом реагирует с бензолом, но в присутствии избытка концентрированной серной кислоты при низких температурах легко нитрует ароматические углеводороды.
Способы получения одноосновных карбоновых кислот ароматического ряда
Одноосновные карбоновые кислоты ароматического ряда могут быть получены всеми общими способами, известными для кислот жирного ряда.
Окисление алкильных групп гомологов бензола. Это один из наиболее часто применяемых способов получения ароматических кислот:

Окисление проводят либо при кипячении углеводорода с щелочным раствором перманганата калия, либо при нагревании в запаянных трубках с разбавленной азотной кислотой. Как правило, этот метод дает хорошие результаты. Осложнения бывают только в тех случаях, когда при действии окислителей разрушается бензольное кольцо.
Окисление ароматических кетонов . Ароматические кетоны легко получаются реакцией Фриделя — Крафтса. Окисление обычно ведут с помощью гипохлоритов по схеме:
![]()
Однако могут быть использованы и другие окислители. Ацетопроизводные окисляются легче, чем углеводороды.
Гидролиз тригалогенопроизводных с галогенами у одного углеродного атома. При хлорировании толуола образуется три вида хлоропроизводных: хлористый бензил (идет для получения бензилового спирта), хлористый бензилиден (для получения бензойного альдегида), бензотрихлорид (перерабатывается в бензойную кислоту и в хлористый бензоил). Непосредственный гидролиз бензотрихлорида идет плохо. Поэтому бензотрихлорид нагреванием с бензойной кислотой превращают в хлористый бензоил, который далее при гидролизе легко дает бензойную кислоту:

Гидролиз нитрилов:

Этот способ широко применяется в жирном ряду. В ароматическом ряду исходные нитрилы получают из диазосоединений, из галогенопроизводных обменом с цианидом меди в пиридине или сплавлением сульфонатов с цианидом калия. Нитрилы кислот с нитрильной группой в боковой цепи получают обменной реакцией из галогенопроизводных.
Реакция ароматических углеводородов с галогенопроизводными угольной кислоты. Карбоксильную группу можно ввести в ядро посредством реакции, аналогичной синтезу кетонов по Фриделю — Крафтсу. Катализатором служит хлорид алюминия:

Реакции металлорганических соединений с СО2 :
Обычно исползуются литий- или магнийорганические соединения.
Химические свойства
Ароматические кислоты вступают во все те реакции, которые свойственны и кислотам жирного ряда. Реакциями с участием карбоксильной группы получают различные производные кислот. Соли получают действием кислот на карбонаты или щелочи.Эфиры — нагреванием смеси кислоты и спирта в присутствии минеральной (обычно серной) кислоты:

Если заместителей в орто- положении нет, то этерификация карбоксильной группы происходит так же легко, как в случае алифатических кислот. Если одно из орто -положений замещено, скорость этерификации сильно уменьшается, а если оба орто- положения заняты, этерификация обычно не идет (пространственные затруднения).
Эфиры орто -замещенных бензойных кислот могут быть получены реакцией солей серебра с галогеналкилами (эфиры пространственно затрудненных ароматических кислот легко и количественно омыляются в присутствии краун-эфиров). Вследствие пространственных затруднений они с трудом подвергаются гидролизу. Группы большие, чем водород, в такой степени заполняют пространство вокруг углеродного атома карбоксильной группы, что затрудняют образование и омыление эфира.
Гидролиз эфиров ароматических кислот, так же как и гидролиз эфиров алифатических кислот, идет как в кислой, так и в щелочной среде. При проведении гидролиза в щелочной среде электроноакцепторные заместители увеличивают скорость гидролиза, а электронодонорные замедляют реакцию. В связи с этим константа ρ в уравнении Гаммета для реакционных серий м- и п -замещеных эфиров имеет положительное значение. Зависимость констант скорости гидролиза от величин σ представлена:

Хлорангидриды получают действием на кислоты хлористого тионила или пентахлорида фосфора:

Ангидриды получают перегонкой смеси кислоты с уксусным ангидридом в присутствии фосфорной кислоты или действием хлорангидридов на соли:

При действии хлористого бензоила на пероксид натрия получается кристаллический пероксид бензоила:
При действии алкоголята на пероксид бензоила получается соль надбензойной кислоты (гидропероксид бензоила). Эта кислота применяется для получения оксидов из непредельных соединений (реакция Прилежаева) :
![]()
Декарбоксилирование. При сплавлении соли ароматической карбоновой кислоты со щелочью карбоксильная группа замещается водородом. Обычно в качестве реагента берут натронную известь:
![]()
Некоторые сведения о природе бензольного кольца дают реакции, сопровождающиеся разрывом двойных С—С-связей. Так, например, равноценность углерод-углеродных связей в бензольном кольце доказана восстановительным озонированием о -ксилола. В результате этой реакции получают все три возможных продукта окисления - глиоксаль, метилглиоксаль и диацетил в соотношении, соответственно 3:2:1, что свидетельствует о том, что с равной степенью вероятности расщепляется любая из С—С-связей бензольного кольца:

Бензол в отсутствие катализатора не реагирует с бромом и хлором, демонстрируя тем самым устойчивость трех двойных связей в его молекуле к действию электрофильных агентов. В то же время наличие последних подтверждается взаимодействием бензола с хлором при облучении, приводящим к образованию гексахлорциклогексана (гексахлоран):

Интересная реакция с участием двойных связей наблюдается при облучении бензола в жидкой фазе светом с длиной волны 253,7 нм. В этих условиях молекула бензола перестраивается, превращаясь в так называемые валентные изомеры.

Таким образом, были получены три структуры из тех, которые предлагались ранее для бензола. Оказалось, что они резко отличаются по свойствам от последнего: легко окисляются (в том числе водным раствором перманганата), бурно реагируют с бромом.
В молекуле бензола сопряженные двойные связи в отличие от таковых в диенах и других сопряженных системах устойчивы к действию водорода в момент выделения. Однако в присутствии катализаторов гидрирования (платина, никель) бензол превращается в циклогексан:

Эта реакция не только подтверждает строение бензола (наличие циклогексанового скелета и трех тг-связей), ее применяют также для оценки энергии его молекулы.
Ранее на примере алкенов и алкадиенов было показано, как для такой цели используют определение теплот гидрирования.
Измерение теплоты гидрирования бензола показало, что она составляет 206 кДж/моль, т. е. существенно меньше, чем утроенное значение теплоты гидрирования циклогексена (119 кДж/моль х 3 = 357 кДж/моль). Отсюда следует, что молекула бензола обладает меньшей энергией, чем можно было ожидать, от циклогексатриена. Разность указанных значений (357-206 кДж/моль) составляет ~ 150 кДж/моль и называется энергией стабилизации или резонанса.
Сходная картина наблюдается при сравнении значений теплот сгорания бензола, вычисленных по аддитивной схеме и найденных экспериментально. Соответствующая разность оказалась равной 159 кДж/моль. Таким образом, определение энергии стабилизации (резонанса) молекулы бензола двумя независимыми путями дало практически совпадающие результаты.
Замещенные одноосновные ароматические кислоты
Нитробензойные кислоты
При нитровании бензойной кислоты получается 78%-мета-, 20% орто- и 2% пара- нитробензойных кислот. Два последних изомера без примесей других изомеров получают окислением орто- и пара- нитротолуолов.
Нитробензойные кислоты обладают более сильными кислотными свойствами, чем бензойная кислота (К = 6,6·10-5 ): о- изомер — в 100 раз, м- изомер — в 4,7 раза и п-изо мер — в 5,6 раза. Аналогичная закономерность наблюдается и в случае галогенозамещенных кислот.
Константы ионизации замещенных бензойных кислот
| Заместитель | Положение | ||
| орто- | мета- | пара- | |
| CH3 | 1.2·10-4 | 5.3·10-5 | 4.2·10-5 |
| OH | 1.1·10-3 | 8.3·10-5 | 3.3·10-5 |
| OCH3 | 8.0·10-5 | 8.2·10-5 | 3.4·10-5 |
| Br | 1.4·10-3 | 1.5·10-4 | 1.0·10-4 |
| Cl | 1.2·10-3 | 1.5·10-4 | 1.0·10-4 |
| NO2 | 6.7·10-3 | 3.1·10-4 | 3.7·10-4 |
Увеличение силы кислот с электроноакцепторными заместителями в п- и м- положении объясняется увеличением подвижности кислотного протона благодаря ослаблению связи О—Н (уменьшение электронной плотности)

Уравнение Гаммета было впервые использовано при изучении диссоциации м- ип- замещенных бензойных кислот. Для этой реакционной серии значение р было приняторавным 1 и, следовательно, уравнение Гаммета имело вид lgК/К0 = ρ σгде К — константа скорости или константа равновесия для замещенного соединения; К 0 — аналогичная константа для незамещенного соединения; σ — константа, характеризующая полярное влияние заместителя; ρ — константа, определяющая степень чувствительности реакционного центра к полярным эффектам. Константа σ зависит только от природы заместителя, а константа ρ — от характера реакции.
Соединения с различными заместителями, но с одним и тем же реакционным центром образуют реакционную серию.
σ -Константы некоторых заместителей приведены в таблице:
| Заместитель | σ | Заместитель | σ | ||
| Мета- | Пара- | Мета- | Пара- | ||
| -H | 0 | 0 | -I | 0.352 | 0.18 |
| -CH3 | -0.069 | -0.17 | -OH | 0.127 | -0.37 |
| -C2H5 | -0.07 | -0.151 | -O | -0.708 | -0.519 |
| -C(CH3)3 | -0.1 | -0.197 | -OCH3 | 0.115 | -0.268 |
| -CF3 | 0.43 | 0.54 | -NH2 | -0.16 | -0.66 |
| -COOH | 0.355 | 0.265 | -NHCOCH3 | 0.21 | 0 |
| -COO- | -0.1 | 0 | -N(CH3)2 | -0.211 | -0.83 |
| -COOC2H5 | 0.37 | 0.45 | -N(CH3)3 | 0.88 | 0.82 |
| -C0CH3 | 0.376 | 0.502 | -NO2 | 0.71 | 0.778 |
| -F | 0.337 | 0.062 | -SO2 | 0.05 | 0.09 |
| -CI | 0.373 | 0.227 | -SO2NH2 | 0.46 | 0.57 |
| -Br | 0.391 | 0.232 | |||
σ -Константа положительна, если заместитель оттягивает электроны, и отрицательна, если заместитель является донором электронов.
В зависимости от механизма реакции величина ρ также принимает положительные или отрицательные значения. Она положительна, если увеличение скорости реакции вызвано уменьшением электронной плотности в реакционном центре, и отрицательна, если увеличение скорости реакции связано с возрастанием электронной плотности в реакционном центре. Таким образом, по знаку ρ можно судить о механизме реакции.Для определения величины ρ достаточно изучить кинетику превращений ряда соединений, входящих в данную реакционную серию. Для всех других соединений серии можно рассчитывать константы скорости реакции, используя значения σ из таблицы. В настоящее время используется несколько систем реакционных констант σ , учитывающих более тонкие взаимные влияния атомов. Установление возможности применения различных корреляционных уравнений называется корреляционным анализом.
Для σ -замещенных соединений простая корреляция обычно не наблюдается, так как σ -заместители влияют друг на друга не только индукционно, но и различными другими способами (стерический эффект, водородная связь, эффект поля и т. д.).
Корреляционный анализ используется в органической химии для установления механизма реакций, строения реагирующих веществ.
Заместители в о- положении действуют более сложно. Определенную роль играет здесь образование водородной связи. Последним можно объяснить большую силу салициловой кислоты по сравнению с бензойной (в 17 раз):

Нитрование бензойной кислоты проводят в довольно жестких условиях нагреванием с такими реагентами, как дымящая азотная кислота, крепкая нитрующая смесь, смесь нитрата Щелочного металла с концентрированной серной кислотой. Как при нитровании нитробензола, реакция приводит к образованию смеси нитропроизводных, в которой преобладает м- изомер, а п- изомер содержится лишь в следовых количествах:
3.Обсуждение результатов
м -Нитробензойную кислоту можно получить при взаимодействии бензойной кислоты с нитратом калия в серной кислоте. Выпавший осадок содержит 78%-мета-, 20% орто- и 2% пара- нитробензойных кислот. Очищать м -нитробензойную кислоту можно двумя способами:
IОсадок переносим в колбу для перегонки с водяным паром и отгоняем непрореагировавшую бензойную кислоту.
м -Нитробензойную кислоту очищаем в виде бариевой соли. Для этого сырую кислоту растворяем в 20-кратном по массе количестве воды и обрабатываем горячим раствором гидроксида бария до слабощелочной реакции. Затем добавляем воду и смесь кипятим до полного растворения осадка. Раствор фильтруем через воронку для горячего фильтрования, фильтрат охлаждаем и продукт отфильтровываем.
Для получения свободной кислоты бариевую соль кипятим с 10%-ной соляной кислотой. После охлаждения выпавшую м -нитробензойную кислоту отфильтровываем, промываем холодной водой и перекристаллизовываем из воды.
II Полученный осадок перекристаллизовываем сначала из этилового спирта, а затем из ацетона.
В результате получаем белый кристаллический порошок с Тпл =141-143. Литературная Тпл =140-141.
В трегорлую колбу, снабженную механической мешалкой и термометром, вносим серную кислоту и нагревают на водяной бане до 70 0 С. Баню удаляем и при постоянном перемешивании постепенно маленькими порциями прибавляем бензойную кислоту и нитрат калия, внимательно следя за температурой, которая не должна превышать. 80 0 С. Затем содержимое колбы нагреваем на водяной бане при 85...90 0 С до тех пор, пока на поверхности реакционной массы не образуется масляный слой нитробензойной кислоты.
После охлаждения реакционную массу выливаем в холодную воду, выпавшую в осадок м -нитробензойную кислоту отфильтровываем, промываем сначала холодной водой, а потом несколько раз горячей. Очищаем по методике второго способа.
4. Экспериментальная часть
Синтез м -Нитробензойной кислоты.
4.1 Реагенты и оборудование
Реагенты : бензойная кислота, серная кислота (ρ=1,84г/см3 ),нитрат калия, этиловый спирт,
ацетон;
Оборудование:


В трехгорлую колбу, снабженную механической мешалкой и термометром, вносим 26мл серной кислоты и нагреваем на водяной бане до 70 0 С. Баню удаляем и при постоянном перемешивании постепенно прибавляем смесь 10г бензойной кислоты и 20г нитрата калия, следя за температурой, которая не должна превышать. 80 0 С. Затем содержимое колбы нагреваем на водяной бане при 85...90 0 С до тех пор, пока на поверхности реакционной массы не образуется масляный слой нитробензойной кислоты. После охлаждения реакционную массу выливаем в холодную воду, выпавшую в осадок м -нитробензойную кислоту отфильтровываем, промываем сначала холодной водой, а потом несколько раз горячей.
Полученный осадок перекристаллизовываем сначала из этилового спирта, а затем из ацетона. В результате получаем белый кристаллический порошок с Тпл =141-1420 С. Литературная Тпл =140-1410 С. Выход 6,14г (45,2% от теоретического).
5.Выводы
Мною были изучены физические и химические свойства ароматических карбоновых кислот, их получение и применение. Проведена работа поиска и анализа необходимой литературы для получения м -нитробензойной кислоты. В результате был получен искомый продукт с достаточно высоким выходом и степенью чистоты. Вещество растворяется в этиловом спирте, ацетоне.
6.Библиография
Книги
1 Земцова М.Н. Методические указания к выполнению курсовой работы по
органической химии.
2. Химические реактивы и препараты Госхимиздат 1953, Стр. 241-242.
3. Карякин Ю.В., Ангелов И.И. Чистые химические вещества Изд. 4-е, пер. и доп. М.: Химия 1974, Стр. 121-122.
4. «Краткая химическая энциклопедия» Изд. Советская энциклопедия, Т.4 М. 1965 Стр. 817-826.
5. Петров А.А., Бальян Х.В., Трощенко А.Т. Органическая химия: Учебник для вузов. – СПб: «Иван Фёдоров», 2002, Стр. 421-427.
6. Гитис С.С., Глаз А.И., Иванов А.В.Практикум по органической химии: -М.: Высш шк., 1991. - 303.: ил.
7. Шабаров Ю.С. Органическая химия: Учебник для вузов в 2-х кн. – М.: Химия, 1996.
Стр. 558-561, 626-629.
Сайты
1. http://merlin.com.ua/chem/nitro/nitroin.html.
2. http://www.xumuk.ru/encyklopedia/a.html.
3. http://slovari.yandex.ru/dict/brokminor.