| Похожие рефераты | Скачать .docx |
Курсовая работа: Производство бета-каротина
Витамины (от лат. vita - жизнь), группа органических соединений разнообразной химической природы, необходимых для питания человека, животных и других организмов в ничтожных количествах по сравнению с основными питательными веществами (белками, жирами, углеводами и солями), но имеющих огромное значение для нормального обмена веществ и жизнедеятельности.
Первоисточником В. служат главным образом растения. Человек и животные получают В. непосредственно с растительной пищей или косвенно - через продукты животного происхождения. Важная роль в образовании В. принадлежит также микроорганизмам. Например, микрофлора, обитающая в пищеварительном тракте жвачных животных, обеспечивает их витаминами группы В. Витамины поступают в организм животных и человека с пищей, через стенку желудочно-кишечного тракта, и образуют многочисленные производные (например, эфирные, амидные, нуклеотидные и др.), которые, как правило, соединяются со специфическими белками и образуют многие ферменты, принимающие участие в обмене веществ. Наряду с ассимиляцией в организме непрерывно совершается диссимиляция В., причём продукты их распада (а иногда и малоизменённые молекулы В.) выделяются наружу. Недостаточность снабжения организма В. ведёт к его ослаблению, резкий недостаток В. - к нарушению обмена веществ и заболеваниям - авитаминозам, которые могут окончиться гибелью организма. Авитаминозы могут возникать не только от недостаточного поступления В., но и от нарушения процессов их усвоения и использования в организме.
Основоположник учения о В. русский врач Н. И. Лунин установил (1880), что при кормлении белых мышей только искусственным молоком, состоящим из казеина, жира, молочного сахара и солей, животные погибают. Следовательно, в натуральном молоке содержатся и другие вещества, незаменимые для питания. В 1912 польский врач К. Функ, предложивший само название "В.", обобщил накопленные к тому времени экспериментальные и клинические данные и пришёл к выводу, что такие заболевания, как цинга, рахит, пеллагра, бери-бери, - болезни пищевой недостаточности, или авитаминозы. С этого времени наука о В. (витаминология) начала интенсивно развиваться, что объясняется значением В. не только для борьбы со многими заболеваниями, но и для познания сущности ряда жизненных явлений. Метод обнаружения В., примененный Луниным (содержание животных на специальной диете - вызывание экспериментальных авитаминозов), был положен в основу исследований. Было выяснено, что не все животные нуждаются в полном комплексе В., отдельные виды животных могут самостоятельно синтезировать те или иные В. В то же время многие плесневые и дрожжевые грибы и различные бактерии развиваются на искусственных питательных средах только при добавлении к этим средам вытяжек из растительных или животных тканей, содержащих витамины. Таким образом, витамины необходимы для всех живых организмов. Изучение В. не ограничивается обнаружением их в естественных продуктах с помощью биологических тестов и другими методами. Из этих продуктов получают активные препараты В., изучают их строение и, наконец, получают синтетически. Исследована химическая природа всех известных В. Оказалось, что многие из них встречаются группами по 3-5 и более родственных соединений, различающихся деталями строения и степенью физиологической активности. Было синтезировано большое число искусственных аналогов В. с целью выяснения роли функциональных групп. Это способствовало пониманию действия В. Так, некоторые производные В. с замещенными функциональными группами оказывают на организм противоположное действие, по сравнению с В., вступая с ними в конкурентные отношения за связь со специфическими белками при образовании ферментов или с субстратами воздействия последних.
В. имеют буквенные обозначения, химические названия или названия, характеризующие их по физиологическому действию. В 1956 принята единая классификация В., которая стала общеупотребительной.
Наличие химически чистых В. дало возможность подойти к выяснению их роли в обмене веществ организма. В. либо входят в состав ферментов, либо являются компонентами ферментативных реакций. При отсутствии В. в организме нарушается деятельность ферментных систем, в которых они участвуют, а следовательно, - и обмен веществ. Известно несколько сот ферментов, в состав которых входят В., и огромное количество катализируемых ими реакций. Многие В. - преимущественно участники процессов распада пищевых веществ и освобождения заключённой в них энергии (витамины B1, В2, PP и др.). Участвуют они и в процессах синтеза: B6 и В12 - в синтезе аминокислот и белковом обмене, В3 (пантотеновая кислота) - в синтезе жирных кислот и обмене жиров, Вс (фолиевая кислота) - в синтезе пуриновых и пиримидиновых оснований и многих физиологически важных соединений - ацетилхолина, глутатиона, стероидов и др. Менее изучено действие жирорастворимых В., однако несомненно их участие в построении структур организма, например в образовании костей (витамин D), развитии покровных тканей (витамин А), нормальном развитии эмбриона (витамин Е и др.). Таким образом, витамины имеют огромное физиологическое значение. Выяснение физиологической роли В. позволило использовать их для витаминизации продуктов питания, в лечебной практике и в животноводстве. Особенно широко стали применяться В. после освоения их промышленного синтеза.
Витаминная промышленность, вырабатывает синтетические витамины, коферменты в виде чистых кристаллических веществ и готовых к применению форм (драже, таблетки, ампулы, капсулы, гранулы, концентраты) и в небольших количествах витаминные препараты из растительного и животного сырья. Витамины повышают пищевую ценность продуктов питания, применяются в лечебной практике и для витаминизации кормов с целью повышения продуктивности животноводства.
Производство витаминов в нашей стране организовано в начале 30-х гг. Вначале выпускались витаминные препараты из натурального сырья. Затем было освоено производство синтетических витаминов С и K3 . С 1949 по технологии, разработанной советскими учёными, в промышленном масштабе стал осваиваться синтез других витаминов, например тиамина (витамин B1). В 1950 производство витаминов в СССР увеличилось по сравнению с 1940 в 5,6 раза. К 1955 в СССР были разработаны схемы синтеза всех известных основных витаминов. Дальнейшее развитие витаминной промышленности связано главным образом с разработкой и внедрением синтетических методов производства витаминов. Эти методы по характеру технологических процессов значительно сложнее, чем метод извлечения витаминов из натурального сырья, но они позволяют получать продукцию в химически чистом виде, что имеет большое значение для их лечебного применения и точных дозировок при изготовлении кормовых концентратов. Кроме того, издержки на производство синтетических витаминов ниже издержек на получение соответствующих витаминов из натурального сырья. За 1959-65 в промышленном масштабе освоен синтез всех известных витаминов и витаминных препаратов, введены в строй крупные витаминные предприятия: Белгородский витаминный и Болоховский (Тульская область) химические комбинаты, а также значительно увеличены мощности ранее действовавших предприятий. В 1965 объём производства витаминной продукции в СССР увеличился по сравнению с 1958 в 2,8 раза, а в 1970 по сравнению с 1965 в 2,6 раза. В 1970 выпуск синтетических витаминов и их готовых форм составил более 99% всего объёма производства витаминной продукции.
К специфическим особенностям синтеза витаминов относятся: многостадийность процессов; значительная материалоёмкость, обусловливающая необходимость размещения предприятий В. п. вблизи сырьевых баз; применение специальной аппаратуры, предназначенной для работы с агрессивными средами; необходимость выработки высокочистой продукции. Витаминные заводы - специализированные предприятия. Преобладает предметная специализация - осуществление синтеза витаминов на каждом предприятии по полной схеме их производства, включая и выпуск всех полупродуктов. С конца 60-х гг. расширяется более эффективная - технологическая специализация производства полупродуктов.
Научно-технические проблемы получения витаминов и их применения разрабатываются в СССР в основном во Всесоюзном научно-исследовательском витаминном институте, а также в научно-исследовательских организациях АМН СССР, АН СССР и АН союзных республик, министерств и ведомств. Вопросы совершенствования действующих производств решаются центральными заводскими лабораториями.
Главные направления развития витаминной промышленности в России:
- создание новых высокоэффективных препаратов;
- совершенствование технологии производства и разработка новых, улучшенных схем синтеза, основанных на использовании дешёвых видов отечественного сырья;
- увеличение выработки витаминов, коферментов и их готовых форм до уровня, обеспечивающего полное удовлетворение потребностей народного хозяйства, расширение ассортимента продукции;
- строительство новых и реконструкция действующих производств;
- механизация и автоматизация технологических процессов;
- совершенствование и организация производства отдельных полупродуктов на предприятиях других отраслей промышленности;
- повышение качества продукции;
- углубление технологической специализации;
- внедрение автоматизированных систем управления отраслью промышленности и производством.
В наиболее развитых странах, особенно в США, Японии, Великобритании, Германии, Франции, Швейцарии, производство витаминов достигло больших размеров.
Как правило, оно сосредоточено в руках химико-фармацевтических фирм.
Производство витаминов из дрожжей
В настоящее время чистые препараты витаминов получают главным образом синтетически, в некоторых случаях отдельные стадии их образования выполняются методами микробиологического синтеза. Распространенное ранее производство концентратов витаминов из продуктов растительного или животного происхождения сейчас почти полностью потеряло свое значение.
В то же время, некоторые витамины получают с помощью экстракции и очистки культуральной жидкости или биомассы микроорганизмов. Наряду с использованием непосредственно дрожжевой биомассы как источника витаминов в виде дрожжевых гидролизатов и пивных дрожжей, некоторые дрожжи используются для микробиологического производства чистых витаминов.
![]() |
| Витамин D2, кальциферол |
Использование дрожжей для производства чистых витаминов началось в 1930-х годах с получения витамина D. С использованием специальных рас Saccharomyces cerevisiae получают эргостерол, который после облучения ультрафиолетом модифицируется в витамин D2 (кальциферол).
Существуют штаммы сахаромицетов, обладающие способностью к гиперсинтезу витамина B2 (рибофлавина), которые могут быть использованы для получения этого витамина.
Из базидиомицетовых дрожжей, обладающих способностью к интенсивному синтезу каротиноидов, получают препараты β-каротина, являющегося предшественником витамина A, и астаксантина.
Питьевые дрожжи
Дрожжевой осадок, остающийся после сбраживания пивного сусла, издавна используют для получения различных полезных веществ, в частности дрожжевых гидролизатов и автолизатов. Гидролизаты дрожжей получают, нагревая дрожжевую биомассу при 100°C в кислой среде. Большая часть белков при этом гидролизуется до аминокислот. Затем препарат нейтрализуют и концентрируют в виде густой пасты или высушивают. При получении дрожжевых автолизатов разрушение клеточных компонентов происходит под действием ферментов самой дрожжевой клетки. Этот процесс протекает в обычных условиях в или при небольшом нагревании дрожжевого осадка без питательных веществ до 50°C и обычно продолжается в течение 1-2 сут. За это время около половины всех белков в дрожжевых клетках расщепляется до аминокислот.
Дрожжевые гидролизаты широко применяются в качестве источника витаминов и аминокислот в медицине, в микробиологии при составлении питательных сред. Дрожжевые гидролизаты и автолизаты обладают способностью придавать пищевым продуктам привкус мяса, или усиливать такой вкус, поэтому они широко используются в пищевой промышленности для приготовления различных приправ, в качестве вкусовых добавок в готовые продукты (например, в картофельные чипсы).
Большой популярностью пользуются пивные (питьевые) дрожжи, приготовляемые на основе частично гидролизованной дрожжевой биомассы. Они используются в качестве источника витаминов (в первую очередь В1 и В2, а также РР, В3, В4, В6, Н), незаменимых аминокислот и жирных кислот и широко применяются в медицине, ветеринарии, косметологии, диетологии.
Красные дрожжи
Многие дрожжи синтезируют большое количество каротиноидов, придающих их колониям красную, розовую, оранжевую или желтую окраску. Способность к образованию каротиноидов и формирование окрашенных колоний встречается только среди базидиомицетовых дрожжей, то есть относится к признакам аффинитета. Наиболее характерно образование каротиноидов для родов Rhodosporidium, Cystofilobasidium, Sporidiobolus, и их анаморф Rhodotorula, Cryptococcus, Sporobolomyces. К наиболее распространенным каротиноидам относится β-каротин.

β-Каротин
Это широко распространенное соединение, встречающиеся также во многих растениях и грибах. β-Каротин является предшественником витамина A и его промышленное получение представляет интерес для медицины и некоторых других облестей. Разработаны и применяются биотехнологические процессы получения β-каротина с использованием красных дрожжей, например Rhodotorula glutinis.
У базидиомицетовых дрожжей встречаются и другие виды каротиноидов. Например, красные дрожжи Phaffia rhodozyma образуют каротиноид астаксантин.
Астаксантин

Астаксантин - широко распространенный в природе каротиноидный пигмент ярко-красной окраски. В отличие от β-каротина имеет два дополнительных атома кислорода на каждом из колец. Впервые был выделен из омаров в 1938 году, сейчас обнаружен в тканях многих растений и животных. Особенно в большом количестве содержится в тканях креветок, крабов, лососевых рыб, придавая им красный цвет.
Астаксантин является одним из наиболее активных антиоксидантов и используется в медицине для лечения ряда заболеваний. Препараты астаксантина широко используются в качестве кормовой добавки в рыбоводстве, особенно при выращивании лососей, и аквариумоводстве.
Основным источником для получения астаксантина служит водоросль Haematococcus инцистированные клетки которой содержат до 4% каротиноида. Астаксантин был обнаружен также в дрожжах Phaffia rhodozyma (телеоморфа Xanthophyllomyces dendrorhous). Генетически модифицированные штаммы Phaffia содержат до 1-2% астаксантина и могут также использоваться для промышленного получения этого каротиноида.
Клетки овальные или круглые, иногда удлиненные. Почкование истинное, многостороннее. Может формироваться примитивный псевдомицелий, но истинного мицелия не образуют. Диплоидизация происходит в результате слияния двух гаплоидных клеток (гологамия). Вегетативно размножаются в основном диплоидные клетки. Аски образуются преимущественно из вегетативных диплоидных клеток. Аски круглые или овальные, при созревании спор не вскрываются. Аскоспоры круглые или слабоовальные, бесцветные, гладкие, 1-4 в аске. Все виды активно сбраживают сахара. Дрожжи этого рода с давних времен распространены в кустарном виноделии и широко используются в разных отраслях бродильной промышленности, в связи с чем они более всех других дрожжей изучены в разных аспектах. Их систематика, однако, многократно пересматривалась. Центральный вид - Saccharomyces cerevisiae известен в десятках синонимов, которые в настоящее время рассматриваются как производственные расы, но не самостоятельные виды.
Потребность дрожжей в витаминах
Одна из характеристик, используемых для таксономического описания дрожжей - потребность в витаминах. Более 80% всех известных видов дрожжей не способны к росту на среде, не содержащей витамины (ауксотрофны). Наибольшее число видов (около 65%) нуждается в биотине и тиамине. Из других витаминов в таксономии дрожжей используется определение потребности в рибофлавине, пантотеновой кислоте, пиридоксине, инозите и никотиновой кислоте.
Биотин, витамин H (B7) |
Тиаминпирофосфат, витамин B1 |
Рибофлавин, витамин B2 |
Пантотеновая кислота, витамин B5 |
Пиридоксин, витамин B6 |
мио-Инозит, витамин B8 |
Никотиновая кислота, Ниацин, витамин PP |
Для определения потребности исследуемого штамма в том или ином витамине его выращивают на стандартной среде, содержащей определенный витамин, и сравнивают с ростом на этой же среде, не содержащей витаминов. В случае, если добавление витамина приводит к существенному увеличению роста, делают вывод о ауксотрофности штамма по этому витамину. Тесты на способность к росту на безвитаминной среде и определение потребности в конкретных витаминах входят в стандартное описание вида дрожжей.
Зависимость скорости роста ауксотрофных штаммов дрожжей от содержания определенных витаминов была использована для разработки методов определения концентрации витаминов в различных средах по измерению прироста дрожжевой биомассы.
Стандартные среды для физиологических тестов
Разделение дрожжей на виды базируется на многих характеристиках, среди которых важное место занимают как морфологические, так и физиологические признаки - способность к росту на различных органических соединениях в качестве единственного источника углерода и энергии, способность к усвоению различных источниках азота, потребность в различных витаминах и т.п. Все эти характеристики сильно зависят от состава среды и условий культивирования, поэтому в систематике дрожжей разработаны и применяются среды стандартного состава. Полный набор таких сред выпускается в готовом виде фирмой Difco (Difco Laboratories, в 1997 г. вошедшая в состав BD Diagnostic Systems). Среди этих сред наиболее популярны: морфологический агар - для описания макро- и микроморфологических характеристик дрожжевой культуры, азотная основа - для определения способностей к росту на различных источниках углерода, углеродная основа - для определения способности к усвоению различных источников азота, базвитаминная среда - для определения потребностей в витаминах.
Состав этих сред приведен в таблице:
| Ингредиенты (на 1 л воды) | Морфологи-ческий агар | Азотная основа | Углеродная основа | Среда без витаминов |
| Источники углерода и азота, г | ||||
| Глюкоза | 10 | — | 10 | 10 |
| (NH4)2SO4 | 3.5 | 5 | — | 5 |
| Аспарагин | 1.5 | — | — | — |
| Макроэлементы, г | ||||
| КH2РO4 | 0.85 | 0.85 | 0.85 | 0.85 |
| К2НРО4 | 0.15 | 0.15 | 0.15 | 0.15 |
| MgSO4 | 0.5 | 0.5 | 0.5 | 0.5 |
| NaCl | 0.1 | 0.1 | 0.1 | 0.1 |
| СаСl2 | 0.1 | 0.1 | 0.1 | 0.1 |
| Аминокислоты, мг | ||||
| L-Гистидин НСl | 10 | 10 | 1 | 10 |
| DL-Метионин | 20 | 20 | 2 | 20 |
| DL-Триптофан | 30 | 20 | 2 | 20 |
| Витамины. мкг | ||||
| Пантотенат кальция | 2000 | 2000 | 2000 | — |
| Фолиевая кислота | 2 | 2 | 2 | — |
| Инозит | 10000 | 10000 | 10000 | — |
| Никотиновая кислота | 400 | 400 | 400 | — |
| Парааминобензойная кислота | 200 | 200 | 200 | — |
| Пиридоксин НСl | 400 | 400 | 400 | — |
| Рибофлавин | 200 | 200 | 200 | — |
| Тиамин НСl | 400 | 400 | 400 | — |
| Биотин | 20 | 20 | 20 | — |
| Микроэлементы, мкг | ||||
| Н3РО3 | 500 | 500 | 500 | 500 |
| CuSO4 | 40 | 40 | 40 | 40 |
| KJ | 100 | 100 | 100 | 100 |
| FeCl3 | 200 | 200 | 200 | 200 |
| MnSO4 | 400 | 400 | 400 | 400 |
| Na2MoO4 | 200 | 200 | 200 | 200 |
| ZnSO4 | 400 | 400 | 400 | 400 |
| Промытый агар, г | 18 | — | — | — |
| Количество сухой готовой среды фирмы «Difco» на 1 л, г | 35 | 6.7 | 11.7 | 16.7 |
ПРОИЗВОДСТВО КРИСТАЛЛИЧЕСКОГО β-КАРОТИНА ИЗ
МОРКОВИ
Исходным сырьем для получения кристаллического β-каротина является морковь, содержащая среди каротиноидов 85—90% β-каротина. Наоборот, в тыкве содержание β-каротина составляет лишь 60—70%. Производство кристаллического каротина включает следующие стадии: 1) экстракция каротина из сухого коагулята белков органическим растворителем; 2) омыление концентрата; 3) экстракция каротина из омыленной массы и 4) кристаллизация каротина.
Экстракция каротина. Большинство исследователей сходятся на применении в качестве органического растворителя для экстракции р-каротина хлорированных углеводородов (в основном дихлорэтан). Существует мнение о целесообразности предварительной экстракции белкового коагулята спиртом для удаления стеринов, фосфатидов, свободных жирных кислот и других веществ. Однако дополнительная экстракция спиртом сильно осложнит технологию производства, поэтому необходимость этого процесса нуждается в технико-экономическом обосновании. Экстракцию осуществляют дихлорэтаном в экстракторах непрерывного действия (при крупном производстве) или в аппаратах типа Сокслета при небольших масштабах производства. Дихлорэтана в реактор загружают 400% к массе сухого коагулята. Экстракцию ведут в течение 1—1,5 ч. Содержание каротина в шроте не должно превышать 5% к введенному каротину с белковым коагулятом. Затем в испарителе 2 в присутствии СО2 отгоняют дихлорэтан (температура не должна быть выше 50° С).
Омыление концентрата. Омыление производят 10%-ным раствором едкого кали, которого добавляют около 10% к массе концентрата. Процесс проводят в реакторе 3 с обратным холодильником в течение 20 мин при 50° С. При омылении образуется осадок, содержащий до 80% каротина и жидкое мыло. Осадок отфильтровывают на нутч-фильтре 4 и промывают спиртом от мыла и красящих веществ.
Б. Савинов и А. Свищук указывают на образование нерасслаивающихся эмульсий при омылении липоидных экстрактов в хлорированных углеводородах. Это явление ими было успешно устранено совмещением стадии омыления со стадией экстракции.
Экстракция каротина из омыленной массы. Каротин экстрагируют дихлорэтаном в количестве, необходимом для растворения каротина при комнатной температуре, исходя из того, что в 100 мл дихлорэтана (ДХЭ) растворяется при температуре 25° С 1,16 г каротина.
Экстракцию ведут при комнатной температуре в реакционном аппарате 5, снабженном обратным холодильником и мешалкой. Затем массу фильтруют на нутч-фильтре 6, промывают осадок чистым ДХЭ. Экстракт с промывным ДХЭ сгущают в вакуум-перегонном аппарате 7 до получения пересыщенного раствора.
Первая кристаллизация. Пересыщенный раствор спускают в кристаллизатор 8, где в течение 8 ч идет процесс кристаллизации вначале при комнатной температуре, а затем через 4 ч при охлаждении, к концу процесса температуру доводят до 5° С.

Для увеличения выхода каротина на первой кристаллизации в пересыщенный раствор вводят этиловый спирт в отношении 1:2. Затем отфуговывают в центрифуге 9 выделившиеся кристаллы, промывают их спиртом и высушивают в вакуум-сушилке 10. Маточный раствор I поступает в сборник 11.
Вторая кристаллизация. Маточный раствор 1 перерабатывают совместно с промывными и мыльной массой. Для этого мыльную массу экстрагируют два раза ДХЭ в нутч-фильтре 4, а экстракт промывают водой в смесителе 12. Экстракт и маточник I направляют в сборник 13, откуда они поступают в вакуум-аппарат 14 для упаривания в концентрат П. Последний поступает в кристаллизатор 15, где кристаллизуется 24 ч. Фуговку производят при температуре 5° С в центрифуге 16. Кристаллы каротина II промывают спиртом и направляют на переработку совместно с экстрактом омыленной массы (до первой кристаллизации). Маточный раствор II поступает в сборник 17.
Третья кристаллизация. Маточный раствор II совместно с промывными второй кристаллизации упаривают в вакуум-аппарате 18, кристаллизуют 72 ч в кристаллизаторе 19, фугуют в центрифуге 20. Кристаллы промывают спиртом. Получают кристаллы каротина III, направляемые на переработку в маточный раствор I и в виде отхода маточный раствор II — в сборник
Нормы качества готовой продукции. Кристаллический каротин должен быть однородным, мелкокристаллическим сухим порошком без слежав19, фугуют в центрифуге 20. Кристаллы промывают спиртом. Получают кристаллы каротина III, направляемые на переработку в маточный раствор I и в виде отхода маточный раствор II — в сборник
Нормы качества готовой продукции. Кристаллический каротин должен быть однородным, мелкокристаллическим сухим порошком без слежав шихся комков лилово-красноватого цвета с металлическим блеском. Точка плавления каротина должна быть не ниже 160° С. Содержание β-каротина в кристаллах не менее 90%.
Вопросы усовершенствования технологии производства каротина из моркови. Интересные исследования в этой области были проведены Б. Савиновым и его учениками. Исходя из факта локализации каротина на хромопластах, им было предложено заменить процесс прессования мезги моркови процессом вымывания пластид из клеток интенсивным перемешиванием мезги с водой в суспензионном экстракторе. Им же был разработан метод получения масляных концентратов каротина из влажного белкового коагулята путем применения центробежного смесителя. Разработан метод получения каротина из моркови и тыквы методом термической коагуляции белков в клетке, изучены вопросы экстракции каротина в многочленной батарее. К сожалению, эти методы не нашли широкого применения в связи с развитием химического синтеза витаминов.
ХИМИЧЕСКИЙ СИНТЕЗ β–КАРОТИНА
Метилгептенон (6-метилгептен-5-он-2). Получают его конденсацией диметилвинилкарбинола и ацетоуксусного эфира при температуре 160—165° С по следующей химической схеме:

В реактор 29 из нержавеющей стали, снабженный колонкой с дефлегматором и конденсатором, из мерника загружают вазелиновое масло (высококипящий разбавитель) и при температуре 210° С (в масле) загружают диметилвинилкарбинол и ацетоуксусный эфир так, чтобы температура реакционной массы была не ниже 160—165° С. Затем нагревание продолжают при температуре 160—180° С 3 ч до прекращения выделения газа (СО2 ). В сборник после конденсатора собирают отгон (спирт с примесью ацетона). Кубовый остаток разгоняют при остаточном давлении 5—6 мм рт. ст. в вакуум-перегонном аппарате 30. Готовый продукт поступает в приемник. Выход 60%.
Метилгептенон — бесцветная жидкость, температура кипения 52—53°С при остаточном давлении 5 мм рт. ст. C8 H14 О, молекулярная масса 126,19; п2 о = 1,4404; d20 =0,8616, хорошо перегоняется с водяным паром; Хтах = 243 нм (в спирте), lgs =2,54.
Дегидролиналоол (3,7-диметилоктаен-6-ин-1-ол-3). Дегидролиналоол синтезируют по следующей химической реакции:

В реактор из эмалированной стали 31, снабженный мешалкой, барботером для подвода ацетилена загружают толуол из мерника 32 и порошкообразное едкое кали, нагревают до 80° С и из баллона 33 пропускают ацетилен при перемешивании в течение 2 ч. После прекращения нагревания уменьшают ток ацетилена, охлаждают рассолом до —12—10° С и постепенно в течение 3 ч приливают метилгептенон из мерника 34. Затем добавляют воды и после перемешивания разделяют слои в делительной воронке 35. Толуольный раствор переводят в реактор 36, в котором нейтрализуют углекислотой. В перегонном аппарате 37 отгоняют толуол, а затем при остаточном давлении 12—14 мм рт. ст. собирают фракцию, кипящую при температуре 89—91С. Выход 76—80%.
Дегидроналоол — бесцветная жидкость, температура кипения 78—80°С при остаточном давлении 8 мм рт. ст.; Cl 0 H12O, молекулярная масса 152,23; плотность ==1,4632. Хорошо растворим в органических растворителях, плохо — в воде.
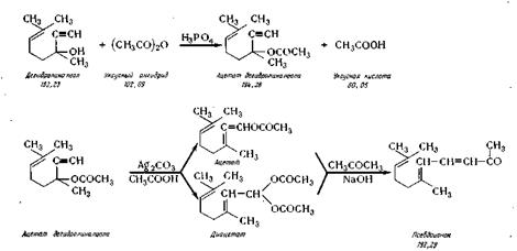
Псевдоионон. Псевдоионон получают из дегидролиналоола путем аци-лирования его, изомеризации ацетата, омыления его и конденсации с аце тоном в присутствии едкого натра. Синтез протекает по следующей схеме

В реактор из нержавеющей стали 38 загружают из мерника 39 дегидролиналоол, из мерника 40уксусный ангидрид и из мерника 41 каталитическое количество фосфорной кислоты, перемешивают (температура не выше 50° С) и выдерживают 14—15 ч при температуре 18° С. Затем вводят в реактор из баллона 42 азот, нагревают реакционную массу до 90° С и добавляют каталитическое количество карбоната серебра, продолжая перемешивание 1,5 ч при температуре 90° С. Далее реакционную массу охлаждают до 20° С и передают под давлением в реактор 43, в который из мерника 44 загружают 20%-ный водный раствор хлористого натрия. После перемешивания разделяют слои в делительной воронке 45. В ней же промывают верхний слой раствором хлористого натрия до нейтральной реакции. Затем верхний слой переводят в реактор 46 и вводят в него из мерника 47 ацетон и из мерника 48,8%-ный водный раствор едкого натра, нагревают до 40° С и перемешивают 2,5—3 ч. Реакционную массу при температуре 20° С нейтрализуют уксусной кислотой из мерника 49. В делительной воронке 50 разделяют слои: нижний слой поступает в сборник 51, откуда далее направляют на регенерацию. Верхний слой промывают в колонке 52 раствором хлористого натрия. Промытый слой (технический псевдоионон) передают в сборник 53 и далее в вакуум-перегонный аппарат 54, снабженный колонкой, дефлегматором и конденсатором. Перегонку ведут при остаточном давлении 6—7 мм рт. ст., отбирают фракцию, кипящую при 131—135°С в сборник 55. Выход 54—55%.
Псевдоионон — желтоватая маслянистая жидкость, хорошо растворима в органических растворителях, плохо — в воде, температура кипения при остаточном давлении 5 мм рт. ст.— 120° С; С13 Н10 О, молекулярная масса 192,29; n2 D °=l,5300, df = 0,8954; Xmax = 291 нм, Е= 1205; содержание не ниже 95%.
СИНТЕЗ β-ИОНОНА
β-Ионон получают процессом циклизации псевдоионона под влиянием смеси концентрированной серной кислоты и ледяной уксусной кислоты в среде толуола по химической схеме:

В реактор 1 из сборника 2 загружают псевдоионон и из сборника 3 толуол и перемешиванием получают толуольный раствор псевдоионона (плотность 890—900 кг/м3 ), подаваемый насосом 4 в мерник 5. В реактор из эмалированной стали 6 сливают концентрированную серную кислоту из мерника 7, которую в реакторе 6 охлаждают до 0°, а затем медленно загружают из мерника 8 ледяную уксусную так, чтобы температура не поднималась выше 15° С. Смесь кислот насосом 8 подают в мерник 9. В аппарат для циклизации 10 из нержавеющей стали, снабженный мешалкой и рубашкой, подают из мерника 9 смесь кислот, а из мерника 5 толуольный раствор псевдоионона. Реакция протекает при температуре минус 7—10° С в течение 1 ч. Для нейтрализации реакционной массы применяют 18—20%-ный раствор углекислого натрия. В реактор // загружают углекислый натрий, из мерника 12 воду и при перемешивании насыщенный раствор насосом 13 подают в мерник 14. Из аппарата циклизации 10 нейтрализованная реакционная масса поступает в делительную воронку 15, где промывается раствором карбоната натрия и далее поступает в сборник 16 и в перегонный аппарат 17. В нем отгоняют толуол в сборники 18 и 19 при остаточном давлении 20 мм рт. ст. Остаток перегоняют при остаточном давлении 1 мм рт. ст. в перегонном аппарате 20 и собирают в приемнике. Выход 75%.
β-Ионон — желтоватая маслянистая жидкость, температура кипения 118—120°С при остаточном давлении 5 мм рт. ст. и 132° С при остаточном давлении 12 мм рт. ст., С13 Н2о О, молекулярная масса 192,29; по =1,5210; хорошо растворим в органических растворителях, плохо в воде; Xm ах = 296 нм, E=557.
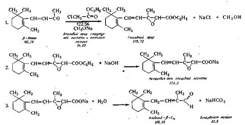
СИНТЕЗ АЛЬДЕГИДА С14 [4(2',6',6'-ТРИМЕТИЛЦИКЛОГЕКСЕН-
Г-ИЛ)-2-МЕТИЛБУТЕН-З-АЛЬ-1]
Синтез альдегида С14 осуществляют по реакции Дарзана путем конденсации (3-ионона с метиловым или этиловым эфиром монохлоруксусной кислоты в присутствии метилата натрия. Реакции протекают по следующей схеме:

Реакция конденсации. В реактор 21, снабженный охлаждающей рубашкой и мешалкой, загружают (3-ионон из сборника 22 и в течение 2—3 ч при ливают из мерника 23 этиловый эфир хлоруксусной кислоты, а из сборника 24 сухой метилат натрия. Температуру при этом поддерживают минус 5—7° С. В результате реакции конденсации получается глицидный эфир, который из раствора не выделяют.
Омыление. Глицидный эфир омыляют раствором едкого натра в водном метаноле, который добавляют из смесителя 25 в тот же реактор в течение 1,5—2 ч при температуре 18—20°С. В результате омыления получают натриевую соль глицидного эфира.
Декарбоксилирование. В реактор 21 добавляют воду и дихлорэтан, перемешивают, а затем направляют реакционную массу в делительную воронку 26. Нижний дихлорэтановый слой отделяют в воронке и в смесителе 27 промывают водным раствором поваренной соли, приготовленном в смесителе 28. Нижний слой спускают в смеситель 29, затем добавляют в этот смеситель сульфат натрия и перемешивают. Сухой экстракт переводят в вакуум-перегонный аппарат 30, отгоняют дихлорэтан, а затем под глубоким вакуумом (0,1 мм рт. ст. при температуре около 100° С) отгоняют альдегид С14 . При необходимости альдегид подвергают ректификации при остаточном давлении 0,3—0,5 мм рт. ст.
Альдегид С14 — светло-желтая маслянистая жидкость с температурой кипения 103—106° С при остаточном давлении 0,2 мм рт. ст., хорошо растворим в органических растворителях, плохо—в воде. При хранении неустойчив. Формула С14 Н22 0, молекулярная масса 206,14.
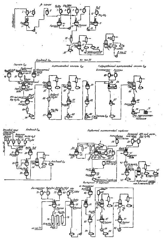
ТЕХНОЛОГИЧЕСКАЯ СХЕМА ПРОИЗВОДСТВА СИНТЕТИЧЕСКОГО
р-КАРОТИНА
Технология производства базируется на однокомпонентном методе синтеза, разработанном Ингоффеном и усовершенствованном Излером с их соавторами. Этот метод нашел свое дальнейшее развитие в исследованиях Н. Преображенского, Г. Самохвалова и Л. Вакуловой. Метод заключается в конденсации двух молекул альдегида С19 с молекулой ацетилена по реакции Гриньяра. Технология включает следующие стадии синтеза: синтез (3-С16 -альдегида из β-С14 -альдегида; синтез β-С)9 -альдегида из (3-С16 -альдегида; синтез 15,15-дегидро-(3-каротина изС19 -альдегида и ацетилена; синтез транс-β-каротипа из 15,15-дегидро-β-каротина.
СИНТЕЗ β-С14 -АЛЬДЕГИДА-[9-МЕТИЛ-6-(1,1,5-
ТРИМЕТИЛЦИКЛОГЕКСЕН-5 ИЛ)-ГЕКСАДИЕН-8, 10-АЛЬ-12]
Химические реакции получения альдегида С16 заключаются в ацеталировании альдегида-С14, конденсации полученного ацеталя с виниловым эфиром в присутствии хлористого цинка и омыления алкоксиацеталя альдегида С16 . Химизм реакций синтеза альдегида С16 основан на склонности виниловых эфиров присоединяться к ацеталям а, (3-непредельных карбонильных соединений, причем одна алкоксигруппа [OR] перемещается от ацеталя к двойной связи винилового эфира. Остаток ацеталя присоединяется к β-углеродному атому винилового эфира. Конденсация и перегруппировка протекает по схеме:

По этой схеме протекает следующий синтез.
Схема реакций синтеза С16 -альдегида.


Для успешного протекания реакций ацетализирования и конденсации важно, чтобы влажность реагентов была минимальной (в %): абсолютного спирта — 0,15; этилвинилового эфира — 0,2; ортомуравьиного эфира — 0,09; альдегида-С14 — 0,04. Хлористый цинк предварительно должен быть сплавлен и высушен в вакуум-эксикаторе над концентрированной серной кислотой.
Ацетализирование. В реактор 1 из нержавеющей стали, снабженный мешалкой, обратным холодильником и барботером для азота, загружают через мерник 2 альдегид-С14 , из мерника 3 ортомуравьиный эфир (температура кипения 144—145° С, плотность 897 кг/м3 ), из мерника 4 — раствор паратолуолсульфокислоты в абсолютном этаноле. Реакцию ведут в присутствии азота, вводимого в реактор из баллона 5. Перемешивают в течение 20—24 ч при комнатной температуре. Затем в реакционную массу вводят из мерника 6 лигроин и нейтрализуют 2,5%-ным раствором бикарбоната натрия, загружаемым из мерника 7. После этого отделяют органический слой в делительной воронке 8 и после просушки поташом направляют в сборник 9, а из него в перегонный аппарат 10, где при температуре около 50°С и остаточном давлении 3—5 мм рт. ст. отгоняют растворитель. Технический продукт содержит около 95% ацеталя. Выход ацеталя из (3-С14 -альдегида составляет около 75 %. На выход ацеталя из альдегида-С 16 значительно влияет чистота альдегида-С14. Диэтилацеталь β-С14-альдегида С18 Н32 02 представляет собой маслянистую жидкость желтого цвета с температурой кипения 87—96°С при остаточном давлении 0,2 мм рт. ст.; df=0,9279; n™ =1,4773.
Конденсация с этилвиниловым эфиром. В реактор 11, снабженный холодильником, загружают из мерника 12 диэтилацеталь-β-С14 -альдегида, затем из мерника 13 медленно добавляют при температуре 35 —40°С этилвиниловый эфир (температура кипения 35°С, остаточная влажность не выше 0,2%), а из мерника 14 — 10%-ный раствор сплавленного хлористого цинка в ледяной уксусной кислоте. Реакцию проводят в присутствии азота, вводимого из баллона 15, при температуре 35—40°С в течение 1 ч. В результате реакции образуется этоксиацеталь β-С 16 -альдегида (см. химическую схему), представляющий собой (перегонка при остаточном давлении 0,02 мм рт. ст.) вязкое светло-желтое масло, d0 = 0,9315. Выход 66—70%.
Омыление этоксиацеталя. В процессе омыления ацетальной группы происходит также отщепление молекулы спирта. В реактор 11 из мерника 16 добавляют смесь ледяной уксусной кислоты, ацетата натрия, воды и гидрохинона (небольшое количество). Реакционную массу медленно нагревают до 90—95° С и перемешивают 3 ч. Затем раствор (темно-вишневого цвета) переводят в реактор-охладитель 17. Охлаждают до 0°, выкристаллизовывают технический β-С 1б -альдегид и отфуговывают его в центрифуге 18.
Перекристаллизация технического альдегида С1б . Процессы ведут в этаноле в реакторе 19 по двухступенчатой схеме. После обработки активированным углем раствор фильтруют через нутч-фильтр 20. Кристаллизуют в кристаллизаторе 21, отфуговывают кристаллы в центрифуге 22. Маточный раствор I поступает в сборник 23. Сгущение его производят в вакуум-аппарате 24 и далее кристаллизуют в кристаллизаторе 25. Кристаллы второй кристаллизации отфуговывают в центрифуге 26, а маточный раствор IIнаправляют в сборник 27. Он является отходом производства. Кристаллы второй кристаллизации поступают на перекристаллизацию в реактор 19 совместно с техническим продуктом.
Альдегид-β-С16 (С1б Н24 0) представляет собой светло-желтые кристаллы с температурой плавления 77—78° С, хорошо растворим в органических растворителях, плохо в воде; Хгаах —276—280 нм (в спирте).
СИНТЕЗ β-С19 -АЛЬДЕГИДА [9,13-ДИМЕТИЛ-7-(1,1,5-
ТРИМЕТИЛЦИКЛОГЕК-СЕН-5-ИЛ)-ОКТАТРИЕН-8,10,12- АЛЬ-14]
Химические реакции получения альдегида-С19 заключаются в ацетали-зировании альдегида С16, конденсации полученного ацеталя с виниловым эфиром в присутствии хлористого цинка и омыления алкоксиацеталя альдегида С19 по следующей химической схеме.


Для успешного протекания указанных реакций необходимы те же условия обезвоживания химических реагентов, как и в синтезе β-С16 -альдегида.
Ацетализирование. Процессы проводят так же, как и для синтеза β -С16 -альдегида и в аналогичной аппаратуре. К ней относятся реактор 28 и сборники: для альдегида-С16 29, ортомуравьиного эфира 3, катализатора 4, лигроина 6, нейтрализующего раствора бикарбоната натрия 7. Азот в реактор подается из баллона 30. Разделение слоев осуществляют в делительной воронке 31 и после просушки органического слоя поташом направляют его в сборник 32 и далее в перегонный аппарат 33, где отгоняют растворитель и не вошедший в реактор ортомуравьиный эфир (при температуре 50—55° С и остаточном давлении 2—3 мм рт. ст.). Получают технический диэтилацеталь (3-С,6 -альдегида с содержанием основного вещества 95—97%, n° = 1,5026—1,5070; маслянистая жидкость, температура кипения около 145° С при остаточном давлении 0,05 мм рт. ст. Выход 75—80% (в пересчете на альдегид – С16 ).
Конденсация с этилпропениловым эфиром. Процесс осуществляют в реакторе 34, в который загружают диэтилацеталь альдегида-С16 из мерника 35, а из мерника 14 раствор (10%) сплавленного хлористого цинка в ледяной уксусной кислоте. Масса принимает темно-вишневый цвет. Затем при температуре 25—30°С из мерника 36 медленно добавляют этилпропени-ловый эфир (температура кипения 69—71° С, остаточная влага не выше 0,15%). Масса постепенно окрашивается в желтый цвет. Реакция протекает в' присутствии азота, вводимого из баллона 37, при перемешивании.
Омыление этоксиацеталя. В реактор 34 из мерника 16 добавляют смесь ледяной уксусной кислоты, ацетата натрия, воды и гидрохинона. Реакционную массу медленно нагревают до 90—95°С и перемешивают 3 ч. Затем раствор темно-вишневого цвета направляют в реактор-охладитель 38, охлаждают до минус 5—7° С и кристаллизуют. Кристаллы технического продукта отфуговывают в центрифуге 39. Получаютжелтые кристаллы с содержанием основного вещества около 95%. Маточный раствор направляют в сборник 40; он является отходом.
Перекристаллизация технического альдегида С19 . Процессы ведут в этаноле по схеме перекристаллизации альдегида С16 в следующей аппаратуре:
для первого продукта — реактор-растворитель 41, нутч-фильтр 42, кристаллизатор 43, центрифуга 44. для маточного раствора I — сборник 45;
для второго продукта — вакуум-аппарат 46, кристаллизатор 47, центрифуга 48, сборник маточного раствора II-—отхода производства — 49.
Выход альдегида на диэтилацеталь составляет 55—57% (от теоретического). Альдегид β-С19 представляет собой ярко-желтые ромбические кристаллы с температурой плавления 63—65°С; хорошо растворим в органических растворителях, плохо — в воде; Хтах =325 нм (в спирте).
СИНТЕЗ 15, 15'-ДЕГИДРО-β-КАРОТИНА
Вещество получают конденсацией альдегида С19 с ацетиленовым комплексом Иоцича с последующей дегидратацией образующегося диола С40 . Реакцию конденсации начинают с приготовления реактива Гриньяра, который с ацетиленом в среде сухого эфира дает комплекс Иоцича по схеме:
![]()
Ацетилен пропускают при температуре 18—20° С до полного исчезновения магний бромэтила, что контролируется реакцией с кетоном Михлера (наличие вызывает изумрудно-зеленое окрашивание). Дегидратацию диола С4о осуществляют в среде сухого серного эфира спиртовым раствором хлористого водорода в присутствии азота. Реакции протекают по следующей схема:

Конденсация. В стальной эмалированный реактор 50, снабженный мешалкой и обратным холодильником, предварительно тщательно высушенный, загружают через люк магниевую стружку из сборника 51, сухой серный эфир (влажность не выше 0,1 %) из мерника 52 и медленно из мерника 53 приливают в течение 1 ч раствор сухого бромистого этила в сухом эфире. Затем в течение 1 ч нагревают реакционную массу до кипения и перемешивают до полного растворения магния. Затем охлаждают массу до 15—18° С и в течение 5—6 ч пропускают из баллона 54 предварительно осушенный через вымораживатель 55 ацетилен до получения отрицательной пробы с жетоном Михлера. Затем реакционную массу охлаждают до 10—12и С и из мерника 56 медленно добавляют раствор альдегида-С19 в сухом эфире так, чтобы температура не превышала 12—13° С. Раствор окрашивается в ярко-оранжевый цвет. Реакция при перемешивании протекает в присутствии азота в течение 1,5—2 ч с повышением в конце процесса температуры до 20—25° С. Полноту реакции конденсации определяют по исчезновению альдегида-С19 (реактив Легаля). После этого реакционную массу сливают в реактор-охладитель 57 с ледяной водой, куда из мерника 58 залит хлористый аммоний. Массу сливают в делительную воронку 59. Органический слой промывают водой, просушивают сульфатом натрия из сборника 60 и направляют через сборник 61 в вакуум-аппарат 62. Растворитель удаляют в вакууме в токе азота при температуре не выше 30° С и получают β-С4о -диолин в виде твердого желтого осадка.
Дегидратация. Процесс осуществляют при помощи хлористого водорода. Для этого из мерника 63 сливают в вакуум-аппарат 62 хлористый метилен, растворяют диолин-С4о и переводят раствор в реактор 64, снабженный мешалкой и рассольным охлаждением. Массу охлаждают до минус 15—18°С, а затем из мерника 65 постепенно добавляют 8%-ный раствор сухого НС1 в абсолютном спирте с таким расчетом, чтобы температура реакционной массы не превышала к концу процесса +3, +5° С. Затем в делительной воронке 66 отделяют органический слой, промывают его насыщенным раствором бикарбоната из мерника 67 и направляют в сборник 68 и далее в вакуум-аппарат 69, где под вакуумом в токе азота при температуре 30—35°С отгоняют хлористый метилен. Кристаллизующуюся массу направляют в кристаллизатор 70, где при температуре - 2, - 3°С в течение 8—10 ч в присутствии азота выпадают кристаллы 15,15'-дегидро-β-каротина. Последние отфуговывают в центрифуге 71, промывают этиловым спиртом. Выход около 50%. Маточный раствор поступает в сборник 72 и является отходом производства. Вопрос о выделении вещества из маточного раствора еще недостаточно изучен. 15,15'-дегидро-β-каротин представляет собой кристаллы красного цвета с металлическим блеском; температура плавления 153—154°С; хорошо растворим в органических неполярных растворителях, плохо — в воде; Хтах = 454 и 430 нм; Е =1568 и 1873. Выход 48—50%.
СИНТЕЗ ТРАНС-β-КАРОТИНА
Синтез осуществляют путем гидрогенизации 15,15'-дегидро-β-каротина в растворе толуола на частично отравленном палладиевом катализаторе с целью превращения ацетиленовой связи до этиленовой и получения 15,15'-цис-β-каротина. Изомеризация в среде петролейного эфира превращает последний в транс-β-каротин. Для успешного проведения реакции гидрирования необходимо применять тщательно очищенный толуол с применением палладиевого катализатора на меле. Реакции протекают по следующей схеме:

15,15'-моно-цис-β-каротин. В реактор 73 из эмалированной стали загружают через люк 15,15'-дегидро-β-каротин, а из мерника 74 толуол и при нагревании до 35—40°С и перемешивании растворяют кристаллы. Затем добавляют палладиевый катализатор, нанесенный на мел. Аппарат дважды продувают азотом из баллона 75, а затем водородом из баллона 76, после чего при температуре 20°С и избыточном давлении до 0,5 кгс/смг при перемешивании осуществляют процесс гидрогенизации. Реакцию контролируют по количеству поглощенного водорода. Далее реакционную массу фильтруют через нутч-фильтр 77 и сборник 78, откуда фильтрат направляют в перегонный аппарат 79 для отгонки толуола при вакууме (остаточное давление 8—10 мм рт. ст.) в токе азота. Кубовый остаток сливают в кристаллизатор 80, где при минус 5—8° С выкристаллизовывают 15,15'-моно-цис-β-каротин. Кристаллы выделяют при помощи центрифуги 81; маточный раствор поступает в сборник 82 и является отходом производства. Катализатор с нутч-фильтра 77 направляют на регенерацию. Выход цис-Р-каротина составляет 90—95% [70], темно-вишневые кристаллы; температура плавления 148—150°С; Хмах=338 (цис-пяк), 450, 480 нм (в гексане).
Транс-β-Каротин. В эмалированный реактор 83, снабженный мешалкой и обратным холодильником, загружают цис-β-каротин, из мерника 84 петролейный эфир (80—90° С), нагревают массу до кипения и продолжают перемешивать в течение 10—12 ч (изомеризация). Затем сливают в кристаллизатор 85, охлаждают до 0 — минус 2°С и кристаллизуют в течение 6 ч. Кристаллы выделяют в центрифуге 86, а маточный раствор I направляют в сборник 87 и после сгущения в вакуум-аппарате 88, кристаллизации в кристаллизаторе 89, выделения кристаллов в центрифуге 90 получают дополнительное количество кристаллов транс-β-каротина II, которые поступают для перекристаллизации в кристаллизатор 85. Маточный раствор II является отходом производства.
Перекристаллизация технического транс-β-каротина. Перекристаллизацию ведут из петролейного эфира по двухступенчатой схеме: для первой ступени — реактор-растворитель 91, нутч-фильтр 92, кристаллизатор 93, центрифуга 94, сборник маточного раствора I95; для второй ступени — вакуум-аппарат 96, кристаллизатор 97, центрифуга 98, сборник маточного раствора II99. .Кристаллы β-каротина II поступают на перекристаллизацию совместно с техническим β-каротином в реактор-растворитель 91.

Схема синтеза –каротина (объяснения в тексте).
Лекарственные формы витаминов.
Индивидуальные потребности в витаминах отличаются и по этой причине производители выпускают витамины в разной форме. Таблетки - общепринятая, привычная и удобная для применения форда выпуска. Таблетки можно дольше хранить, чем порошки или жидкости.
Капсулы также удобны для хранения и являются общепринятыми формами выпуска жирорастворимых витаминов A, D и Е.
Порошки - поскольку в них отсутствуют наполнители, связующие и другие не имеющие отношение к витаминам вещества, могут быть предпочтительной формой применения при наличии у кого-то аллергических реакций. И кроме того, порошки могут "вмещать" большие дозировки витаминов. Одна чайная ложка порошка витамина С может содержать до 4.000 мг витамина.
Жидкости - хороши тем, что легко смешиваются с напитками и удобны для тех, кто не может глотать капсулы и таблетки.
Вдыхание витаминов через нос - обеспечивает весьма быстрое усвоение витаминов С и группы В. Пластыри и имплантанты, содержащие витамины, удобны тем, что могут обеспечить продолжительное и дозированное применение, и в скором времени, возможно, будут более широко применяться.
Сухая или водорастворимая форма?
Жирорастворимые витамины A, D, Е и К могут быть произведены в «сухом», то есть в водорастворимом виде. Такие формы выпуска этих витаминов рекомендуются тем, кто страдает расстройством желудка после приема масел или имеет некоторые кожные расстройства, проявляющиеся, например, в виде сьшей или прыщей. Указанные формы выпуска показаны и тем, кто соблюдает диету с исключением из рациона большинства жиров. Поскольку для нормальной ассимиляции, то есть усвоения, жирорастворимым витаминам нужен жир, я советую вам использовать "сухую" форму витаминов A, D, Е, К обязательно в том случае, если вы находитесь на диете с низким содержанием жира. Синтетическое или натуральное, неорганическое или органическое?
Приобретение и прием синтетических витаминов не сказывается на вашем бюджете, но может неблагоприятно отозваться на вашем желудке, в то время как натуральные витамины, принимаемые даже в больших дозировках, ничего подобного не вызывают. Химическая структура витаминов в том и другом случае может выглядеть одинаково, но не одним лишь этим обусловлена эффективность натуральных витаминов, но и тем, что связано с этими веществами в природе. Синтетический витамин С - это лишь аскорбиновая кислота и ничего больше. Натуральный же витамин С, получаемый из плодов шиповника, содержит еще и биофлавоноиды, то есть целый комплекс витамина С, что делает его намного более эффективным.
Натуральный витамин Е, который может включать в себя не только альфа-токоферол, но и другие токоферолы, оказывается более эффективным, чем его синтетический аналог. Вот что говорит по этому поводу известный аллерголог доктор Герон П. Рандольф: «Синтетически полученное вещество может вызвать реакцию у людей, чувствительных к химическим соединениям, в то время как то же вещество натурального происхождения переносится хорошо, хотя химическая структура этих двух веществ идентична». Тот, кто принимал и те, и другие витамины, мог на собственном примере убедиться в том, что после приема натуральных веществ наблюдалось меньше желудочно-кишечных расстройств. Что особенно важно: в отличие от синтетических препаратов натуральные витамины не вызывают токсических реакций, даже когда они принимаются в дозах, превышающих рекомендуемые.
Разница между неорганическим и органическим - это не то же самое, что разница между синтетическим и натуральным, хотя нередко кое-кто так и думает. Все витамины являются органическими веществами и, как полагается таковым, содержат углерод. Минеральные же вещества являются неорганическими. Они не содержат углерод, но существуют органические соединения железа-глюконат, пептонат и цитрат железа. А вот сульфат железа, например, является его неорганическим соединением.
Что такое хелатирование?
Хелатирование - это процесс, при помощи которого минеральные вещества превращаются в хорошо усвояемую форму. Такие минеральные добавки, как костная мука и доломит, прежде чем могут быть усвоены организмом, должны подвергнуться процессу хелатирования в желудочно-кишечном тракте. Нередко бывает так, что естественный процесс хелатирования в организме нарушается и поэтому большая часть принятых внутрь минеральных веществ не усваивается. Если помнить еще и о том, что организм не полностью использует все поступающие питательные вещества, тогда важность приема хелатированных минералов станет очевидной. Как правило, организмом усваивается только от 2 до 10 процентов поступающего с пищей неорганического железа и к тому же половина оставшегося позже также выводится. Усвояемость хелатированных минеральных веществ в три-десять раз больше, чем нехелатированных, поэтому это оправдывает некоторое увеличение их цены.
Пролонгированные формы.
Шагом вперед в производстве витаминов была разработка добавок в пролонгированной (time release) форме. Пролонгирование - это процесс, при помощи которого витамины заключаются в микрокапсулы, затем связываются в специальной основе, что обеспечивает их постепенное непрерывное выделение, всасывание и усвоение в течение 8-12 часов. Большинство витаминов - водорастворимые - и поэтому не могут накапливаться в организме. Если они используются не в пролонгированной форме, то быстро всасываются, попадают в кровоток и независимо от дозы в течение 2-3 часов выделяются с мочой. Добавки в пролонгированной форме могут обеспечить оптимальную эффективность витаминов, уменьшить их потерю с мочой и поддерживать стабильные уровни витаминов в крови круглосуточно.
Похожие рефераты:
Выделение чистых культур дрожжевых грибов из шишек хмеля
Технология производства хлебопекарных дрожжей
Производство кормовых дрожжей на сахаросодержащих средах гидролизатах растительной биомассы
Снижение вязкости растворов мелассы с помощью моноглицеридов дистиллированных
Значение витаминов в кормлении животных
Морфология и метаболизм дрожжей
Технология молока и молочных продуктов
Строение, свойства и биологическая роль биотина и тиамина





Пиридоксин, витамин B6
