| Скачать .docx |
Реферат: Карбоновые кислоты. Уксусная кислота
РЕФЕРАТ
на
тему
Карбоновые кислоты.
Уксусная кислота.
ПОДГОТОВИЛА
УЧЕНИЦА 11-А КЛАССА
ШКОЛЫ №4
СЫЧАК А.А.
г. Кременная
2005 г.
Карбоновые кислоты и их производные.
Карбоновыми кислотами называются органические соединения, содержащие карбоксильную группу (карбоксил)
![]()

Название карбоксил произошло от двух слов: «карбонил»
и «гидроксил»
так как кислотную группу можно рассматривать как соединение этих двух групп. Остаток любой карбоновой кислоты

носит общее название ацил. В зависимости от кислоты каждый из этих остатков носит соответствующее название:
| Остаток кислоты | Формула | Название ацила |
| Муравьиной | ![]() |
Формил |
| Уксусной | ![]() |
Ацетил |
| Пропионовой | ![]() |
Пропионил |
| Масляной | ![]() |
Бутирил |
| Валериановой | ![]() |
Валерил |
Основность кислот определяется числом содержащихся в них карбоксильных групп. Так, например, одноосновные кислоты содержат одну карбоксильную группу, двухосновные – две карбоксильные группы.
Номенклатура и изомерия.
Наиболее часто для карбоновых кислот применяются исторически возникшие названия, связанные в большинстве случаев с названием их природных источников. Поэтому, чтобы в дальнейшем хорошо ориентироваться в номенклатуре органических соединений, следует запомнить названия простейших одноосновных кислот жирного ряда.
По рациональной номенклатуре названия кислот производятся от названий углеводородов, соответствующих радикалам, с которыми связана карбоксильная группа, с прибавлением окончания карбоновая и слова кислота , например:
метанкарбоновая кислота
пропанкарбоновая кислота
гептанкарбоновая кислота
По женевской номенклатуре названия кислот составляются из названий углеводородов с тем же общим числом атомов углерода, что и в кислоте, с прибавлением окончания овая и слова кислота .
Ниже приведены названия некоторых кислот в следующем порядке: исторически сложившееся название, название по рациональной, затем по женевской номенклатуре (слово «кислота» везде опущено):
- НСООН - муравьиная (карбоновая, метановая);
- СН3 СООН - уксусная (метанкарбоновая, этановая);
- С2 Н5 СООН - пропионовая (этанкарбоновая, пропановая);
- С3 Н7 СООН - масляная (пропанкарбоновая, бутановая).
Наиболее часто в практике встречаются исторически сложившиеся названия кислот. Лишь для сложно построенных кислот пользуются женевской номенклатурой:
2-метилпентановая-1 кислота
4-этилгептановая-1 кислота
Изомерия карбоновых кислот, как и в случае альдегидов, обусловлена изомерией углеводородных радикалов.
Физические свойства.
Низшие представители предельных одноосновных кислот (до пропионовой кислоты включительно) представляют собой при обычных условиях весьма подвижные жидкости с резким запахом, смешивающиеся с водой в любых соотношениях. Легко перегоняются сами и с водяным паром. Следующие представители (начиная с масляной) – маслянистые жидкости с неприятным запахом, ограниченно растворимые в воде. Высшие кислоты – твердые вещества, нерастворимые в воде. Все кислоты жирного ряда растворимы в спирте и эфире.
Химические свойства.
Кислотные свойства . Если сравнить между собой формулы строения спиртов и карбоновых кислот
![]()

и
то может показаться, что вследствие наличия у спиртов и кислот одинаковой группы (гидроксильной) свойства их должны быть весьма сходны.
Спирты обладают настолько слабыми кислотными свойствами, что кислую реакцию спиртов не могут обнаружить даже самые чувствительные индикаторы. Кислотные свойства спиртов (как и воды) проявляются, например, в реакции со свободными щелочными металлами. Следовательно, кислотные свойства гидроксильного водорода в спиртах очень слабы.
В тоже время органические кислоты, аналогично неорганическим кислотам, обладают ярко выраженными кислотными свойствами. Водные растворы их окрашивают лакмус в красный цвет, что свидетельствует о диссоциации органических кислот на ионы:

Водород карбоксильной группы в отличие от водорода спиртового гидроксила замещается на металл не только при взаимодействии с металлами, но и при действии щелочей, с образованием солей карбоновых кислот:
натриевая соль пропионовой к-ты
Таким образом, свойства гидроксильного водорода в спиртах заметно отличаются от его свойств в карбоновых кислотах.
Карбоновые кислоты обычно значительно слабее минеральных.
Действие галоидных соединений фосфора . При действии галоидных соединений фосфора на органические кислоты гидроксильная группа карбоксила замещается на галоид:

В результате этой реакции образуются галоидангидриды кислот (в данном случае хлорангидрид уксусной кислоты), представляющие собой производные кислот, в которых гидроксильная группа замещена на галоид.
Эта реакция указывает на некоторое сходство карбоновых кислот и спиртов; в спиртах при действии галоидных соединений фосфора также происходит замена гидроксила на галоид с образованием галоидпроизводных углеводородов.
Образование ангидридов кислот . Если от двух молекул карбоновых кислот отнять одну молекулу воды, образуется ангидрид карбоновой кислоты. В качестве водоотнимающего средства чаще всего применяют энергичный поглотитель воды – пятиокись фосфора.
Образование амидов и нитрилов кислот . При нагревании аммониевых солей карбоновых кислот образуются амиды кислот, представляющие собой производные кислот, в которых гидроксильная группа замещена на аминогруппу.
Восстановление кислот . При восстановлении кислот образуются соответствующий альдегид, который при дальнейшем восстановлении превращается в спирт:

Обычно восстанавливают на сами кислоты, а их хлорангидриды, ангидриды или сложные эфиры.
Уксусная (метанкарбоновая, этановая) кислота СН3 -СООН.
В обычных условиях (18-20ºС) представляет собой бесцветную жидкость с резким запахом, кипящую при 118,5ºС. При температуре ниже +16,6ºС (температура плавления уксусной кислоты) безводная уксусная кислота затвердевает в виде кристаллов, похожих на лед; вследствие этого безводная уксусная кислота получила название ледяной уксусной кислоты.
Уксусная кислота имеет большое народнохозяйственное значение. Она широко применяется в самых различных отраслях промышленности и в быту. В химической промышленности уксусная кислота используется для получения винилацетата, ацетата целлюлозы, красителей и многих других веществ. В виде солей она применяется в текстильной промышленности в качестве протравных веществ, служащих для закрепления красителя на волокне. В пищевой промышленности уксусная кислота используется для консервирования продуктов; некоторые сложные эфиры уксусной кислоты применяются в кондитерском производстве и т.д.
Уксусная кислота легко растворяется в воде. В быту применяют 3-5%-ный раствор уксусной кислоты, известный под названием уксус.
Уксусная кислота была известна еще в глубокой древности. Ее получали в виде уксуса из прокисшего виноградного вина. В настоящее время основным промышленным способом получения уксусной кислоты является ее синтез из ацетальдегида.
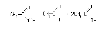
Реакция окисления ацетальдегида в уксусную кислоту протекает в несколько стадий. На первой стадии процесса происходит присоединение одной молекулы кислорода к молекуле ацетальдегида с образованием так называемой «надуксусной кислоты» (гидроперекиси ацетила):

надуксусная кислота
Далее надуксусная кислота взаимодействует с еще одной молекулой ацетальдегида, и в результате образуются две молекулы уксусной кислоты:

Надуксусная кислота очень нестойкое соединение, легко распадающееся на уксусную кислоту и кислород с выделением значительного количества тепла. Разложение больших количеств надуксусной кислоты может привести к взрыву. В связи с этим в процессе производства уксусной кислоты стремятся к тому, чтобы в системе не скапливалось большого количества надуксусной кислоты.
В промышленности процесс окисления ацетальдегида обычно проводят в жидкой среде (в среде уксусной кислоты) в присутствии катализатора – ацетата марганца. Наиболее удобным окислителем является кислород. Процесс проводится в колонне непрерывного действия, снабженной охлаждающими змеевиками. Ацетальдегид, содержащий растворенный катализатор, поступает вниз колонны, по высоте которой расположены четыре патрубка. Через патрубки поступает кислород. Процесс протекает при температуре 65-70ºС и давлении в нижней части колонны около 3 ат , а верхней части около 2 ат . Уксусная кислота из верхней части колонны поступает на ректификацию и очистку.
Для предупреждения взрыва надуксусной кислоты и образования взрывоопасных смесей кислорода с парами органических веществ в газовое пространство верхней части колонны непрерывно падает азот.
Перспективным методом получения уксусной кислоты является жидкофазное окисления бутана кислородом воздуха при 165-170ºС и давлении 50 ат :

Реакция протекает по значительно более сложной схеме, чем это изображено выше, причем в этом процессе происходит образование целого ряда побочных продуктов.




