| Скачать .docx |
Реферат: Исследование и разработка технологических основ получения материалов на основе системы Ca-I-Cu-O по методу электрохимического внедрения
ИССЛЕДОВАНИЕ И РАЗРАБОТКА ТЕХНОЛОГИЧЕСКИХ ОСНОВ ПОЛУЧЕНИЯ МАТЕРИАЛОВ НА ОСНОВЕ СИСТЕМЫ Са-У-Си-0 ПО МЕТОДУ ЭЛЕКТРОХИМИЧЕСКОГО ВНЕДРЕНИЯ
Электрохимия
Автореферат
диссертации на соискание ученой степени
кандидата химических наук
Щербинина Оксана Николаевна
2002
ОБЩАЯ ХАРАКТЕРИСТИКА РАБОТЫ
Актуальность темы. В последнее время происходит интенсивное развитие новой области химии - химии интеркэлированных соединений, в частности, купратов системы Са-У-Си-О. Интерес к этим соединениям обусловлен широкими перспективами их применения: создание новых сверхпроводников, гиперанизотрошшх материалов, новых поколений обратимых химических источников тока. Создание сверхпроводящих купратов с предельно высокими температурами перехода(225 К и выше); разработка алгоритмов поиска соединений с высокой температурой перехода в состояние; разработка новых методов синтеза ВТСП - важнейшие направления фундаментальных исследований по химии, технологии высокотемпературных сверхпроводников во всех странах мира. Весьма перспективным, с точки зрения контролируемого получения металлических композиций со стехиометрией ВТСП, отличающихся однородностью распределения компонентов, является электрохимический метод катодного внедрения. При его использовании получают структуры композитов, отличающиеся по окислительным свойствам от металлургических сплавов. Работы в этом направлении немногочисленны. Таким образом, разработка теоретических основ новых электрохимических технологий получения пленок сложного состава, обладающих структурой и свойствами ВТСП, является одним из актуальных направлений в электрохимической технологии. Обработка поверхностных слоев металла по методу электрохимического внедрения позволяет изменять природу поверхности металла, придавая ей ряд особых физических свойств при комнатной температуре и высокой степени чистоты продукта.
Работа выполнена в соответствии с планом научных исследований лаборатории электрохимической технологии Технологического института СГТУ согласно заказ-нарядам СПИ-197, СРТУ-415, СГТУ-248 в соответствии с НТП ГК РФ "Восстановление" и "Литиевые аккумуляторы", а также договором о творческом содружестве с Институтом электрохимии РАН.
Цель работы. Исследование возможности формирования структур Са-У-Си-О, подобных структуре ВТСП оксидного типа, электрохимическим способом по методу катодного внедрения и разработка теоретических основ новой технологии получения пленок купратов типа Са-У-Си-О на различных металлических подложках. Достижение поставленной цели включало решение следующих задач.
Исследование:
- кинетических закономерностей формирования оксидных слоев на меди в водных растворах Cr - O.VOH, КОН и диэлектрических свойств в растворе KO;
- кинетики катодного внедрения кальция в медь из растворов ПК.) Д№ и ДМСО (Eg = -2.0...-3,4 В; С = 0,1...1 моль/л;
f 0,5...24 ч.; Т = -70...+70 °С);
-температуры формирования слоя сплава Са-Си на импеданс электрода;
-особенностей катодного поведения оксидированной меди в растворах (СаСС2 пш(Екп = -2,0...-3,4 В; Т = +80...
+90 °С, 1 = 1,2 А/дм2 ; t0 KC = 5...30 мин.; Е^ = -1,0..т2,2 В)/
- кинетики катодного внедрения иттрия в медь из растворов ПК, ДО, ДМСО = -1,0...-2,2 В, С 5+ = 0,1...1 моль/л,
j = 0,5...24 ч., Т = -70...+70 °С);
-импеданса У-Си электрода в апротонных органических растворах;
-особенностей поведения пленочного Си электрода на подложках из различных металлов при катодном внедрении иттрия;
-влияние термообработки и обработки в токе кислорода Са-У-Си-0 электрода на его физико-химические свойства.
Научная новизна. Впервые исследовано электрохимическое поведение меди в апротонных органических растворах солей иттрия и кальция в широком интервале потенциалов, температур, длительности поляризации, что позволило сделать заключение о кинетических закономерностях образования новых фаз систем Си-Са, Си-У, Са-У-Си на поверхности Си электрода. Получены новые данные о кинетических закономерностях процесса анодного оксидирования меди в водных растворах в зависимости от состава раствора и режима электролиза. Получены новые данные о кинетических закономерностях процессов на оксидированном Си электроде при катодном внедрении иттрия и кальция и их влиянии на механизм фазообразования в системе Са-У-Си-0. Получены новые данные по влиянию потенциала и длительности внедрения иттрия и кальция в оксидированную медь на формирование микроструктуры в системе Са-У-Си-0. Изучен состав фаз системы Са-У-Си-0 в зависимости от режима термообработки и обработки электродов в токе кислорода. Получены новые данные о влиянии железа в составе Еленочного Си-Fe электрода на стальной основе до и после оксидированиянакинетикувнедренияиттрияимеханизмформированияфазсистемыСа-У-Си-О. ИзученыкинетическиезакономерностиформированияоксидовкупратнойсистемыСа-У-Си-0 наэлектролитическиосажденномслоемедивзависимостиотприроды подложкиС сталь, алюминий, магний). Показанапринципиальная возможностьэлектрохимическогоформированиявсистемеСа-У-Си-0 ВТСП-фаз. Представленыновыеданныедляобоснованиятеории электрохимическоговнедренияэлементоввтвердыеметаллическиеэлектроды, развиваемойвработахКабановаБ.Н., Астахова И.И., КиселевойИ.Г., ПоповойС.С. идр.)
Практическаязначимость. Результатыисследованийпоказали принципиальнуювозможностьформированияпленочныхкупратных системтипаСа-У-Си-0 электрохимическимспособом. Модносказать, чтоанодноеоксидированиемедиспоследующейкатодной обработкойврастворахсолейиттрияикальциявзаданномпотенциостатическомрежиме (припотенциалахкатоднойполяризации -1,8 Ви -2,6 Всоответственновтечение 12 часов) споследующейтермообработкой {15-30 мин. притемпературе 950 °С) иобработкойвтоке "активного" (вмоментвыделениянаанодеприэлектролизерастворащелочи) можетслужитьосновойдляразработкипринципиальноновой, электрохимическойтехнологииполученияоксидныхфазкупратнойидругихсистемсоструктурой ВТСП.
Апробацияработы. РезультатыисследованийпотемедиссертационнойработыдокладывалисьнаМеждународныхнаучно-техническихконференциях "Актуальныепроблемыфундаментальных наукCPFS'94 "(Москва, 1994); "Интеранод-93" (Казань, 1993,); "Поддержаниеивосстановлениеработоспособноститранспортных средств" (Саратов, 1994]; на 6-мМеждународномФрумкинскомСимпозиуме "Фундаментальныеаспектыэлектрохимии"(Москва, 1995; на 4-мЕвропейскомСимпозиумепоэлектрохимическойтехнологии, проходившемврамках 12-гоМеждународногоконгрессапохимическойтехнологииCA-96 (Прага, 1996); наРоссийскихирегиональныхконференциях "Современныеэлектрохимическиетехнологии" (Екатеринбург, 1993; Саратов, 1996 - СЭХТ 96j; "Прогрессивнаятехнологияивопросыэкологиивгальванотехникеипроизводствепечатныхплат"(Пенза, 1996); атакженанаучно-техническихконференцияхмолодыхученыхНЙИХИТ (Саратов, 1994,1997, СГТУ(Энгельс, 1993-1995) инанаучномсеминареТИСТТУ).
Публикации. Поматериаламдиссертацииопубликовано 13 работ.
Объемиструктураработы. Диссертациясостоитизвведения, семиглав, выводовиспискацитируемойлитературы. Изложенана30 страницахмашинописноготекстаивключает 16 рисунков, 8 таблицисписоклитературыизШ наименований.
Назащитувыносятся:
1.Поляризационныеизмерениянамедииоксидированноймедив неводныхрастворахперхлоратакальцияихлоридаиттрия, являющиесяосновойдляобъяснениякинетическихзакономерностейпроцессакатодноговнедрения (влияниеприродырастворителя, потенциалаивременикатоднойполяризации, температурыпроцесса, материалаподложки).
2.СтруктурныеифазовыеисследованияоксидовсистемыУ-Са-Си-О, •позволявшиеоценитьдинамикуобразованияиформированияоксидногопленочногоэлектродавразличныхусловиях, егополучения (влияниемольногосоотношенияСаУ, временипроцесса); вторичнаямасоспектрометрия, рентгеноструктурныйанализ.
3. Технологическиерекомендациипоформированиюэлектрохимическимспособомнаметаллическихподложкахоксидныхпленок системыУ-Са-Си-0 соструктурой, подобнойВТСП.
ОСНОВНОЕ СОДЕРЖАНИЕ РАБОТЫ
Впервойглавепроанализированылитературныеданныепо электрохимическомуповедениюмедивапротонныхорганических растворах, включаямеханизмикинетикупроцессаразряда-ионизациимедиивлияниеприродырастворителя; помеханизмуобразованияиструктуреоксидныхслоевнамеди; помодифицированию поверхностныхсвойствметаллооксидныхматериаловпутемэлектрохимическойобработкипометодукатодноговнедрения; помеханизмуэлектрохимическоговосстановлениякальциянаповерхностиоксидныхэлектродовпривлиянииразличныхфакторов: состава раствора, природыматериалаэлектрода. Крометого, уделено вниманиесовременнымпредставлениямомеханизмевозникновения сверхпроводимостивметаллахиоксидах, рассмотреныметодысинтезаиэлектрохимияоксидныхВТСП, вчастности, нестехиометрическихсистемМе-У-Си-0 Me: Ва, h, Ј.0. идр.
Втораяглавапосвященаописаниюобъектовиметодовисследований. Использованныевработеэлектрохимическиеметоды: потенциостатический, потенциодинамический, гальваностатический, методпеременноготока, бестоковаяхронопотенциометрия, метод катодноговнедрения. Дляопределениясоставаиструктурыоксидныхпленочныхэлектродов, атакжеихсвойств, использованыметодывторичнойионноймасс-спектрометрии, рентгеноструктурныйIанализиоптическаямикроскопия. ИзмеренамагнитнаявосприимчивостьсистемыУ-Са-Си-0. Представленыметодикиподготовки растворовэлектролитовиэлектродовпередэлектрохимическими измерениями, атакжеобразцовмедидоипослеформированияоксидныхслоевразличногосоставадляфизико-химическихисследований. Результатыизмеренийобрабатывалисьспомощьюстатистическихметодов.
Третьяглавапосвященаисследованиюкинетикиэлектрохимическогоформированияоксидныхслоевнамедивбихроматныхрастворахприпотенциалахпассивногосостоянияидиэлектрических свойствэтихслоев. Согласнорезультатампотенциометрии, рентге-нофазовогоанализаиоптическоймикроскопии, образующиесяоксидныеслоисодержатфазыСОиСиО, которыевзаимодействуют свнедряющимисяатомамичужеродныхметаллов, обеспечиваявысокиеадгезионныесвойствамеднойосновы. Микроструктурныеисследованияпоказалитакже, чтоприэлектровыделениичужеродных металлов(Zn, Cat, У) наСиэлектродевпотенциостатическомрежимеидетнепосредственновнедрениеэтихметалловвэлектрод, и дляобеспеченияадгезионныхсвойствмеднойфольгиэлектрохимическоеоксидированиееестановитсяизлишним. Такимобразом, катодноевнедрениечужеродныхметалловпроисходиткаквструктурусамоймеди, такивструктуруоксидногослоя. Оксидный слойсодержитоксидыСи(1)иСииобладаетдиэлектрическими свойствами.
Вчетвертойглавепредставленырезультатыисследования катодноговнедрениякальциявмедьизрастворовСа(С10) 2 иCaHg)gвДМВиПКвинтервалепотенциаловЕ (-2,0... -3,4 В), температур (+70...-70 °С), концентрацийраствораС U.-.0.1 моль/л) идлительностикатоднойполяризацииCb. 24 ч.). Крометого, представленырезультатыизучениявлияния оксиднойпленки, сформированнойвразличныхэкспериментальных условиях, наэлектрохимическиесвойствасистемыокс.Си/Са .
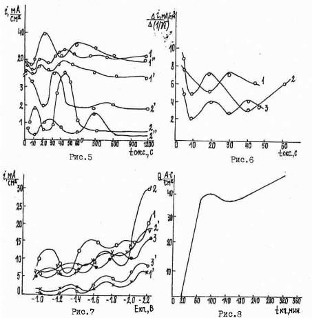
ЗависимостьGLСа от4окс каквподкисленномрастворе КО, такиврастворахОНиКОН, имеетэкстремальный характер. НаибольшееколичествоСавнедряетсявСи-0, если времяоксидированиянепревышает 20 с.
Пятаяглававключаетрассмотрениекинетикикатодноговнедренияиттриявмедь. ЗависимостьЬ- Евд(рис.7) имеетступенеобразныйход, указывающийнаобразованиеразличныхпосоставуфазвнедрения. Прикратковременнойполяризациивыполняется характернаядляпротеканияпроцессавдиффузионномрежимеквадратичнаязависимостьQ* - Етщ; придлительнойполяризации онапереходитвлинейнуюvjpхарактернуюдлязамедленной химическойстадиисуммарногопроцессавнедрения. Придлительнойпредварительнойполяризациизависимость& - "t-jхарактеризуетсяS-образнымходом. Можнопредположить, чтопредварительноенакоплениеУ вэлектродесопровождаетсяизменением стехиометрическогосоставаформирующейсяфазыикинетической константыростаслояэтойфазывтолщину: угловойкоэффициент меняетсяот 0,90 до 0,095 (рис.8^т.н. почтинапорядокснижаетсяскоростьнакопленияУвэлектроде. Призамене ДШ> наПКвеличиныЯ иGVWуменьшаютсяв 3-4 раза, азначениеi-0 почтинапорядок. Изменение' концентрацииУ3 * врастворенесказываетсянаосновномкинетическомзаконе: придлительнойполяризациипрослеживаетсялинейнаязависимость - характерныйпризнакпротеканияпроцессакатодноговнедрения. Зависимостьк- 1/Тиt- l/Tимеетизлом, которыйможет бытьсвязансизменениемсоставаобразующейсянаэлектроде фазы. Величинаэнергииактивациипритемпературахниже 30 °С возрастаетболеечемв 4 раза.
Согласнодиаграммамимпедансасистемаможетбытьпредставленамодельюдвухстадийнойреакции, сопровождаемойадсорбцией промежуточногопродукта
У 3+ + e -_il. у2+ . у 2+ + 0 Си + 2 Q -Jlу( Си ;
илиX У 2+ + DСи + 2хе~ -М- УС , гдеУ2+ - частичновосстановленнаяформа, участвующаявреакциикатодноговнедрения. ИсследованиеособенностейкатодногоповеденияСОприЕ показало, чтонаначальномэтапеплотностьтокавозрастаетв несколькораз.


Процесспомеханизмупериодическихокислительно-восстановительныхреакцийвтвердойфазеипозволяетпредположить, чтовсистемеу-Си-0 возможноформированиеструктурсосверхпроводящимисвойствами.
Материалподложки (Fe; Al, Ma.) электродаоказываетсильноевлияниенакинетикувнедренияиттрия. Какнаначальномэтапеполяризации, такивстационарныхусловияхвеличинаiдляоксидированныхэлектродовхарактеризуетсярядом
Си(Ре) > Си(А1)> Си(Ма)
ПоследовательностьряданарушаетсяприпоследующеммодифицированиислоевфазыУ-Си-0 кальцием: болеечемнапорядоквозрастаетнаУС(Мо)^0 электроде, практическиостаетсявтехже пределахдляУ-Си(А1)-0 истановитсянижевслучаеподложки изстали. ВместестемнаначальномэтапетокивнедренияСав У-Си(Ме)-0 выше, чемиттриявСи(Ме)-0 электроды. Последовательностьврядуактивирующеговлиянияматериалаподложкиможетменятьсясизменениемтемпературы (рис.4). Характерзависимостиlut- l/Tпозволяетговорить, чтопериодическиеокислительно-восстановительныепроцессывформируемыхфазахсостава У-Си-0, Са-У-Си-0 сопровождаютсяструктурнымипреобразованиями, чувствительнымикматериалуподложки.
СцельюполучениядополнительныхданныхомеханизмеформированияоксидногослоясоставаСа-У-С-0 былиснятыциклическиекатодно-анодныепотенциодинамическиекривыеврастворе Ca(CgHgSOg) Добластипотенциаловот -1,4 до +0,8 В. Показано, чторасширениеобластициклированиядо +0,75...+0,808.
способствуетнакоплениюСанаэлектрод; внедрениеСапроисходиткаквмеднуюоснову, такивповерхностныйоксидныйслой. Послевыдержкиватмосфере "активного" кислорода, особенноеслиейпредшествовалатермообработка, происходитснижениетока наэлектродевследствиеуменьшенияколичестваповерхностных дефектов, участвующихвреакции. Характерэлектрохимической обработкиоказываетсильноевлияниенасодержаниевповерхностномслоемедикислородаикальцияинаформированиемикроструктуры.
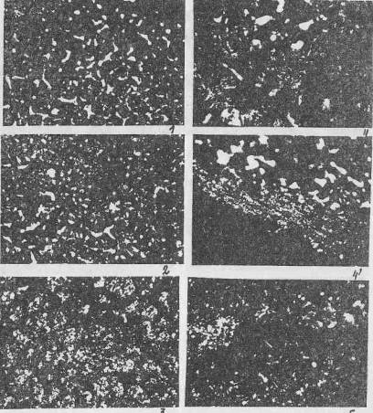
Вглавешестойрассмотреновлияниеусловийполяризациина фазовыепревращениявсистемеСа-У-Си-0 ивозможностьформированияструктурыподобнойВТСП. Привремениоксидирования 5 мин враствореУаОНобразуетсяячеистаяструктура.
![]() |



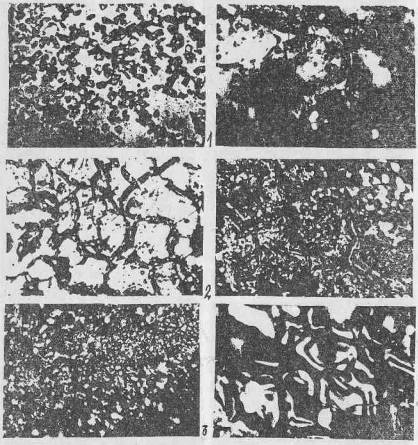
Последующая катодная поляризация в растворе УС в ДШ при -1,8 В сопровождается образованием кристаллов новой фазы. Увеличение времени внедрения иттрия приводит ЭЖ еще большему насыщению поверхности оксидного слоя иттрием. Последующее катодное внедрение Са из раствора Са(С104 )2 в ДШ при Екп = -2,6 В в течение 2,6,12 ч.) сопровождается коалесценцией и коагуляцией кристаллов и образованием монолитного слоя. Последующая выдержка Си-0 с внедренным У и Са в растворе УаОН в токе "активного" кислорода приводит к росту ячеистой структуры и увеличению количества дефектов на поверхности (рис.11). Осадок зарастает мелкодисперсной фазой. Аналогичный эффект оказывает и термообработка образцов (950 °С, 30 мин.) перед выдержкой в токе 0g(рис. 12).Увеличение длительности термообработки приводит к растрескиванию слоя и образованию густой сетки мелких пор. По границам трещин просматривается отслаивание оксидной пленки. Сопоставление микроструктурных исследований с результатами рентгеноструктурного анализа (рис.13) показало, что в исследуемой системе возможно формирование структур подобных ВТСП.
Глава седьмая посвящена рассмотрению технологических рекомендации по разработке нового электрохимического процесса получения сложных оксидов купратной системы Са-У-Си-0 со структурой, подобной ВТСП, на основе обобщений результатов эксперимента: анодное оксидирование (УаОН 150 г/л, i-= 1 А/дм2 ,80-90°С, 30 мин.) ; катодная обработка по методу внедрения последовательно в насыщенном растворе УС1д или УРО^Е^ -1,8 В; i =12 ч.) и в растворе Са (С4 )2 1 моль/л в ДМФ (Е= -2,6 В; tg =12 ч.) ; термообработка при 950 °С 2 часа; обработка в токе "активного" кислорода (1 ч.) .
Подготовка поверхности перед 'формированием оксидного слоя Са-У-Си-0 на медной основе или чужеродных подложках для обеспечения хорошей сцепляемости осадка и обеспечения функциональных свойств предполагает механическое и электрохимическое полирование, систему промывок и сушку образцов при 100 °С с последующим охлаждением вместе с печью в течение 6 час. Перед обработкой кислородом отожженные при 950°С образцы должны остывать вместе с печью в течение 12 час.
В ы в о д ы
1. Впервые исследовано электрохимическое поведение меди в апротонных органических растворах солей иттрия и кальция.
В широком интервале потенциалов (-1,8...-3,2 Ъ), температур (-70...+70°С}и длительности катодной поляризации (до 24 час.) . Установлено, что процессу катодного внедрения кальция и иттрия в медный электрод предшествует стадия разряда-ионизации с образованием ионов промежуточной валентности. Диффузия внедрившихся атомов в глубь Си электрода подчиняется уравнению, что обусловлено влиянием замедленной кристаллизационно-химической стадии. Найдено, что на начальном этапе поляризации происходит разработка поверхности электрода и увеличение концентрации поверхностных дефектов. Показано, что при замене ДШ на ПК плотность тока на электроде снижается примерно в 10 раз. Этот эффект связан с увеличением вязкости и плотности ПК и более низкой его электропроводностью. Энергия активации процесса внедрения кальция в медь при температурах выше О °С составляет 59,4 кДж/моль и уменьшается до 24,8 кДж/моль в области отрицательных температур.
2.На оксидированном медном электроде плотность тока катодного внедрения i п кальция снижается в несколько раз. Зависимость ijq-jот длительности предварительного оксидирования носит периодический автоколебательный характер. Амплитуда колебаний тока возрастает, а их частота уменьшается по мере установления в системе стационарного состояния.
3.Высказано предположение, что накопление иттрия в электроде сопровождается изменением стехиометрического состава формирующейся фазы и, как следствие, снижением кинетического коэффициента &0./ь4/тот 0,90 до 0,095 Кл/см2 *с.
4.Показано, что зависимость величины fот 1/Т отклоняется от линейного, что может быть связано с сильным разупорядочивающим действием изменения температуры на поведение ионов в структуре растворителя и внедрившихся атомов У в металле электрода.
Установлено, что катодное внедрения иттрия в оксидированную медь протекает по механизму периодических окислительно-восстановительных реакций в твердой фазе.
5.Исследовано катодное внедрение иттрия в оксидированные пленки меди на подложках из стали, алюминия и магния. Установлено, что плотность тока катодного внедрения иттрия наиболее высока в случае оксидированных Си(Ре)электродов и снижается в ряду Си (Ре) >окс Си(А1) > окс Си(м) . Последующее модифицирование слоев У-Си-0 фазы кальцием характеризуется на порядок более высокой плотностью тока для электродов на М0- подложке и практически не изменяется на подложках из А1 и стали. Характер зависимости YSL~ 1//Т позволяет говорить, что периодические окислительно-восстановительные реакции в (формируемых фазах У-Си-0 и Са-У-Си-0 сопровождаются структурными преобразованиями, очень чувствительными к материалу подложки..
7.Показано, что расширение области циклирования до +0,75 В способствует накоплению кальция на электроде; внедрения кальция происходит как непосредственно в медную основу, так и в поверхностный оксидный слой; снижение тока на электроде после выдержки в атмосфере активного кислорода, особенно если ей предшествовала термообработка, связано с уменьшением количества поверхностных дефектов, участвующих в реакции; характер электрохимической обработки оказывает сильное влияние на содержание в поверхностном слое кислорода и кальция и на формирование микроструктуры.
8.Результаты микроструктурных исследований позволили установить, что процесс роста фаз У-Си-0 и Са-У-Си-0 в толщину происходит путем последовательного послойного наращивания слоев и начинается в местах скопления дефектов. Увеличение длительности обработки в токе кислорода (выше 12 час), как и увеличение длительности предварительной термообработки с более 1 час.) приводит к укрупнению ячеек структуры и растрескиванию.
Совокупность полученных данных показывает принципиальную возможность электрохимическим способом формирования оксидных фаз состава Са-У-Си-0 со структурой, подобной ВТСП. Использование метода катодного внедрения открывает возможность управления нестехиометрией фазы и достаточно простой автоматизации технологического процесса. Технологические рекомендации.
Основное содержание работы диссертации изложено в следующих работах:
1.Щербинина О.Н.Гусев А.В.Попова С.С.Катодное внедрение кальция и иттрия в оксидированную медь //Современные электрохимические технологии: докл. науч.-техн.конф,- Екатеринбург, 1993. - С.11-12.
2.Попова С.С. Крылова Г.А. Щербинина О.Н. Васильева Г.Н. Процессы фазообразования на алюминиевом электроде в растворах солей редкоземельных элементов // Анодный оксид алюминия: Матер, междунар. науч.-техн.конф. "Интеранод-93". -Казань, 1993. - С.76-77.
3.Попова С.С. Щербинина О.Н. Исследование возможности получения сверхпроводящих материалов методом электрохимического внедрения элементов в твердые электроды // Тр.Междунар.науч. -техн. конф. CEF 94 "Актуальные проблемы фундаментальных наук". Симпозиум 5 "Промышленные технологии в современной техносфере". - М.:Техносфера-Информ, 1994.
4.Нужнова Т.Г. Щербинина О.Н. Попова С.С. Исследование возможности электровыделения щелочноземельных металлов на медном электроде по механизму электрохимического внедрения // Тез.докл. IX Всерос. совещ.,- Киров, 1994.
5.Щербинина О.Н..Попова С.С,Влияние условий формирования слоя сплава Ре-Си на кинетику катодного внедрения иттрия //Поддержание и восстановление работоспособности транспортных средств: Тез.докл. междунар.науч.-техн.конф. - Саратов, 1995.
6. ЩербининаО.Н. НужноваТ.Г. БженниковаА.Д. Особенностиформированияслоямединатитанеприэлектроосаждениииз сульфатныхрастворовсдобавкамихлорид-ионов // Тамже.- С.66-67.
7. ЩербининаО.Н. НужноваТ.Г. ПоповаС.С. Влияниедефектовповерхностинакинетикусплавообразованияприкатодном внедрениииттриявоксидированныеметаллы // Прогрессивная технологияивопросыэкологиивгальванотехникеипроизводстве печатныхплат: Матер. конф. - Пенза, 1996. - С.36-37.
