| Скачать .docx |
Доклад: Ингибиторы и разобщители окислительного фосфорилирования
Санкт-Петербургская Химико-фармацевтическая академия
Кафедра биохимической химии
Доклад на тему: «Ингибиторы и разобщители окислительного фосфорилирования»
Выполнила студентка 374гр
Власова Екатерина
Проверил доц. Венникас О.Р.
2009год
Точки приложения действия разобщителей окислительного фосфорилирования

![]()
Первый процесс – перенос электронов от восстановлнных коферментов НАДН и ФАДН2 через цепь переноса электронов на кислород – экзергонический.

Второй процесс – фосфорилирование АДФ, или синтез АТФ, - эндергонический. Сопряжение реакции окисления восстановленных молекул и фосфорилирования АДФ и образования АТФ называют окислительным фосфорилированием.
По хемиосмотической теории Митчелла и Скулачева фактором, сопрягающим окисление с фосфорилированием, является электрохимический, протонный потенциал ∆μН+, возникающий на внутренней мембране митохондрий в процессе транспорта электронов. Градиент протонов, создающий разность химических и электрических потенциалов, и является источником энергии, необходимой для реакции образования АТФ.
По 3м каналам (1 – между НАД и ФМН,2 – между цитохромами В и С, 3 – на уровне цитохромоксидазы) осуществляется транспорт 2Н+ из внутренней мембраны в межмембранное пространство с помощью интегрального белка АТФ-синтетазы. В результате перекачки протонов в межмембранное пространство мембрана разряжается.

Убедительные экспериментальные доказательства в пользу описанного механизма сопряжения дыхания и фосфорилирования были получены с помощью ионофоров. Ионофоры относятся к соединениям, интерес к которым исходно появился в связи с изучением свойств биологических мембран и искусственных бислойных мембран, моделирующих натуральные биологические. Ионофоры обеспечивали селективную проницаемость мембран обоих типов к определенным ионам. Исторически события развивались таким образом, что в 1967 г. была описана группа соединений, способных переносить ионы щелочных и щелочноземельных металлов через искусственные и биологические мембраны. Соединения были названы ионофорами, или каналоформерами. Термин "ионофор" объединяет мембраноактивные вещества гидрофобной природы, способствующие переносу ионов через липидные барьеры. К ним относятся различные природные и синтетические макроциклические соединения, содержащие большое количество атомов кислорода. Все они отличаются способностью селективно связывать ионы металлов, образуя с ними липидорастворимые катионные комплексы. Комплексы ионофоров с металлами образуются при взаимодействии с атомами кислорода, равномерно встроенными в циклический скелет и ориентированными соответствующим образом. К природным ионофорам относятся:
· Тиреодные гормоны
· Билирубин
· Жирные кислоты
Ионофоры существенно отличаются по своей химической природе и делятся на пептиды, депсипептиды, макротетралиды и макроциклические полиэфиры. Пептиды могут быть линейными (грамицидин А) и циклическими (грамицидин S, аламетицин). В группу депсипептидов входят такие важные ионофоры как валиномицин и различные энниатины. Макротетралиды, или актины, представляют собой производные нонактиновой кислоты с четырьмя лактонными кольцами в молекуле (нонактин). Все макроциклические полиэфиры являются синтетическими соединениями типа[СH2CH2O]n с различными замещениями по метиленовым группам. Их часто называют краунами.
В этой группе соединений есть ионофоры, обладающие очень высокой избирательностью по отношению к конкретным ионам. По механизму действия ионофоры делят на нейтральные, в молекуле которых нет ионизированных групп, и карбоксилатные. К последним относятся, например, нигерицин, моненсин, иономицин.Комплекс катиона с нейтральным ионофором заряжен положительно, а с карбоксилатным - нейтрален.
Среди известных Nа+-ионофоров по селективным свойствам выделяется гемисодиум, при обработке которым проводимость мембраны для Nа+ и К+ составляет 45:1. Сродство моненсина к натрию по сравнению с калием составляет 10:1. Моненсин и нигерицин являясь заряженными линейными структурами, способны образовывать нейтральный циклический гидрофобный комплекс с переносимым ионом и осуществлять Na+/H+ или К+/Н+ обмен через мембрану. Антибиотик грамицидин А способен на несколько порядков увеличивать ионную проницаемость мембран для катионов. Ряд селективности для грамицидинового канала имеет вид: H+ > NH4+ >> Cs+ > Rb+ >> K+ > Na+ > Li+.
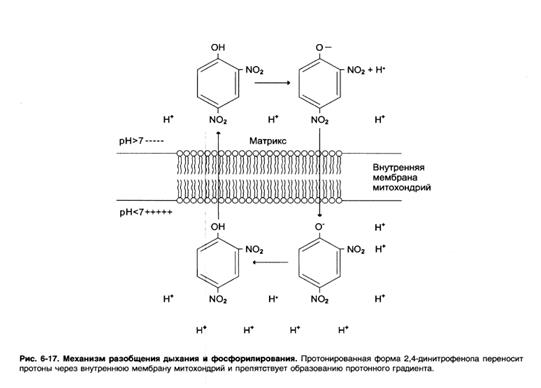
Ионофоры могут быть представлены такими соединениями как комплексы переходных металлов с производными фенантролина, органофосфатными солями, антибиотиками Протонофор (переносит Н+) 2,4-динитрофенол (ДНФ) легко диффундирует через мембрану, в ионизированной и неионизированной форме, перенося протоны в сторону их меньшей концентрации в обход протонных каналов. Таким образом, 2,4-динитрофенол уничтожает электрохимический потенциал, и синтез АТФ становится невозможным, хотя окисление субстратов при этом происходит. Энергия дыхательной цепи в этом случае полностью рассеивается в виде теплоты. Этим объясняется пирогенное действие разобщителей. Разобщающим действием обладают гормон щитовидной железы - тироксин, а также некоторые антибиотики, такие как валиномицин и грамицидин.
Механизм переноса ионов обычно включает следующие стадии. Вначале ионофор, расположенные на поверхности мембраны, взаимодействует с катионом, находящимся в водной фазе с одной стороны мембраны. Образующийся комплекс внедряется в мембрану и перемещается к др. ее стороне под действием электрич. поля или градиента концентрации, после чего комплекс диссоциирует. Катион вновь переходит в водную фазу (принцип подвижного переносчика). Природные ионофоры часто характеризуются уникальной ионной избирательностью, что достигается строгим соответствием расположения атомов О лиганда размерам связанного иона. Например, искусственные фосфолипидные мембраны, которые в нормальном состоянии одинаково непроницаемы для Na+ и К+, пропускают в присутствии валиномицина 105 ионов К+ на один ион Na+. Для функционирования ионофоры важно, чтобы углеводородные цепи липидов мембраны были в подвижном ("жидком") состоянии; в противном случае комплексу не проникнуть через мембрану. Иногда к ионофорам относят также вещества, пронизывающие мембраны и образующие ион-проницаемые каналы (поры). Так, молекулы грамицидина А не перемещаются с одной стороны мембраны на другую, а встраиваются в мембрану в виде спирального димера с осевой полостью. Поскольку грамицидин А не диффундирует через мембрану, его ионопереносящая функция не зависит от подвижности углеводородных цепей липидов. В биохимических исследованиях ионофоры используют для регуляции ионного транспорта через мембраны, в химии - для экстракции ионов и мембранного катализа, в технике - для создания ионселективных электродов. В связи с высокой токсичностью ионофоры-антибиотики в медицине не применяются.
Ионофоры (каналоформеры) являются важным инструментом в исследовании функционирования биологических мембран, имеют большое значение в фармакологии в качестве лекарственных препаратов и часто применяются как компоненты ионоселективных электродов.
Вещества, которые функционально разделяют между собой окисление и фосфорилирование, называются разобщающими агентами. Они содействуют переносу протонов из межмембранного пространства в матрикс без участия АТФ-синтазы. Разобщение может возникать, например, в результате механического повреждения внутренней мембраны или действия таких веществ, как 2,4-динитрофенол (2), являющихся переносчиками протонов через мембрану. Природным разобщающим агентом является термогенин, протонный канал в митохондриях бурых жировых клеток. Бурый жир обнаружен у новорожденных и животных, впадающих в зимнюю спячку и служит для теплообразования. При охлаждении организма норадреналин активирует гормонзависимую липазу. Благодаря интенсивному липолизу в организме образуется большое количество свободных жирных кислот, которые распадаются в результате β-окисления и в дыхательной цепи. Так как жирные кислоты одновременно открывают протонный канал термогенина, их распад не зависит от наличия АДФ, т.е. протекает с максимальной скоростью и генерирует энергию в форме тепла.
Препараты, разобщающие окислительное фосфорилирование:
1. Мефенамовая кислота (Mefenamic acid)
2. Йодантипирин
3. Ацетилсалициловая кислота
4. Изопропил-N-3-хлорфенилкарбамат; хлор-ИФК; хлорпрофам; нексовал; превенол
5. Гидроксикислоты и их производные2,4-Дихлорфеноксиуксусная кислота; 2,4-Д; акваклин
6. Аватек (кокцидиостатик)
7. Гербициды
Механизм действия разобщителей
Разобщители окислительного фосфорилирования, являясь амфипатическими, повышают проницаемость мембраны для протонов, тем самым снижая электрохимический потенциал и выключая АТФ-синтазу по типу короткого замыкания.

Антибиотик Олигомицин полностью блокирует окисление и фосфорилирование в интактных митохондриях. Однако, если вместе с олигомицином добавить разобщитель динитрофенол, то окисление пойдет, но без фофорилирования. Это означает, что олигомицин не действует непосредственно на ыхательную цепь, а подавляет стадию фосфорилирования. Разобщители переносят протоны через внутреннюю митохондриальную мембрану. Перенос от НАДФ к О2 в присутствии таких разобщителей протекает нормально, но образования АТФ митохондриальной АТФ-азой не происходит, поскольку исчезает протонодвижущая сила, обуславливающая перенос протонов через внутреннюю мембрану митохондрий. Потеря дыхательного контроля приводит к тому, что поглощение О2 и окисление НАДФ повышается. В то же время ДНФ не оказывает влияния на субстратное фосфорилирование. В силу своего специфического действия на дыхательную цепь ДНФ и другие разобщители служат ценным инструментом при исследованиях обмена веществ.

Разобщение окислительного фосфорилирования может быть биологически полезным. Оно представляет собою способ генерирования тепла для поддержания температуры тела у зимнеспящих животных, у некоторых новорожденных животных и у млекопитающих, адаптированных к холоду. Для этого процесса термогенеза специализированная бурая жировая ткань, очень богатая митохондриями. В качестве разобщителей в ней выступают жирные кислоты, высвобождение которых в свою очередь регулируется норадреналином. Т.о., степень разобщения окислительного фосфорилирования в бурой жировой ткани находится под гормональным контролем. Митохондрии в этой ткани могут выполнять функцию генераторов АТФ или миниатюрных обогревателей.
Существует интересное сообщение о 38-летней женщине, которая была не в состоянии выполнять продолжительную физическую работу. Основной обмен у нее более чем вдвое превышал нормальный уровень, но функции щитовидной железы не была нарушена. Биопсия мышцы показала, что митохондрии в ней очень многообразны и атипичны по структуре. При биохимических исследованиях выяснилось, что эти митохондрии не подвержены дыхательному контролю. НАДФ в них окисляется независимо от присутствия АДФ, т.е. в них отсутствовало тесное сопряжение окисления и фосфорилирования. Отношение Р/О было ниже нормы. Т.о., у этой больной значительная часть энергии топливных молекул превращалась не в АТФ, а в тепло. Природа молекулярного дефекта в таких митохондриях пока не расшифрована.
Список литературы:
1. Лекции преподавателей кафедры биохимии СПХФА.
2. Биохимия. Учебник для ВУЗов. Северин Е.С.
3. Биохимия: учебник для вузов - Комов В. П., Шведова В.Н.
4. Учебник Биохимия Мерри, Греннер, Мейес.
5. Статьи В.П. Скулачева.
6. Биохимия Маршалл.