Скачать .docx  

Курсовая работа: Извлечение сурьмы в процессе производства полиэфирных смол

ВВЕДЕНИЕ

Промышленное производство полиэтилентерефталата осуществляется различными способами, однако они имеют много общего. Обычно диметилтерефталат (ДМТФ) или терефталевая кислота (ТФК) конденсируется с этиленгликолем с образованием сложного полиэфира. Обычно процесс производства полиэтилентерефталата ведется в присутствии катализаторов, при повышенных температуре и давлении. Реакция конденсации сопровождается отщеплением метанола или воды. Одним из наиболее распространенных катализаторов является трехокись сурьмы.

Глава 1. ПОЛИЭТИЛЕНТЕРЕФТАЛАТ И ЕГО СВОЙСТВА

Аморфный полиэтилентерефталат - твердый прозрачный материал, кристаллический - твердый непрозрачный бесцветный. Степень кристалличности может быть отрегулирована отжигом при некоторой температуре между температурой стеклования и температурой плавления. Товарный полиэтилентерефталат выпускается обычно в виде гранулята с размером гранул 2-4 миллиметра.

Обычное обозначение полиэтилентерефталата на российском рынке - ПЭТ, но могут встречаться и другие обозначения: ПЭТФ или PET или PETP (полиэтилентерефталат), APET (аморфный полиэтилентерефталат).

В промышленном масштабе ПЭТ начал выпускаться как волокнообразующий полимер, но вскоре занял одно из ведущих мест и в индустрии полимерной упаковки. По темпам роста потребления в настоящее время полиэтилентерефталат является наиболее быстрорастущим полимерным материалом.

Волокнообразующий полиэтилентерефталат известен на рынке под торговыми марками лавсан или полиэстер.

Технические требования, предъявляемые к отечественному ПЭТ, определяются «ГОСТ Р 51695-2000 Полиэтилентерефталат. Общие технические условия».

1. Строение

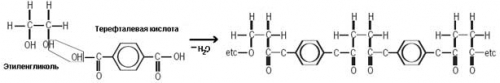
Полиэтилентерефталат является продуктом поликонденсации терефталевой кислоты (OH)-(CO)-C6 H4 -(CO)-(OH) и моноэтиленгликоля (OH)-C2 H4 -(OH). В процессе поликонденсации образуется линейная молекула полиэтилентерефталата [-O-(CH2 )2 -O-(CO)-C6 H4 -(CO)-] n и вода. Молекулярная масса полиэтилентерефталата 20-40 тыс. Фениленовая группа C6 H4 в основной цепи придает жесткость скелету молекулы полиэтилентерефталата и повышает температуру стеклования и температуру плавления полимерного материала. Регулярность строения полимерной цепи повышает способность к кристаллизации полиэтилентерефталата, которая в значительной степени определяет механические свойства и которой можно управлять, поскольку степень кристалличности полиэтилентерефталата зависит от способа его получения и обработки. Возможность управления кристалличностью полиэтилентерефталата существенно расширяет спектр его применения. Так, например, подвергая аморфный ПЭТ двухосному растяжению при температуре выше температуры стеклования для создания кристалличности, получают материал с замечательными барьерными свойствами для изготовления бутылок для газированных напитков.

Максимальная степень кристалличности неориентированного полиэтилентерефталата - 40-45%, ориентированного - 60-65%.

Полиэтилентерефталат обладает высокой механической прочностью и уларостойкостью, устойчивостью к истиранию и многократным деформациям при растяжении и изгибе и сохраняет свои высокие ударостойкие и прочностные характеристики в рабочем диапазоне температур от -40 °С до +60 °С, но для долгосрочного применения на улице этому материалу необходима защита от ультрафиолетового излучения. ПЭТ отличается низким коэффициентом трения и низкой гигроскопичностью. Общий диапазон рабочих температур изделий из полиэтилентерефталата от -60 до 170 °C.

По внешнему виду и по светопропусканию (90%) листы из ПЭТ аналогичны прозрачному оргстеклу (акрилу) и поликарбонату. Однако по сравнению с оргстеклом у полиэтилентерефталата ударная прочность в 10 раз больше.

ПЭТ - хороший диэлектрик, электрические свойства полиэтилентерефталата при температурах до 180°С даже в присутствии влаги изменяются незначительно.

По сопротивляемости агрессивным средам ПЭТ обладает высокой химической стойкостью к кислотам, щелочам, солям, спиртам, парафинам, минеральным маслам, бензину, жирам, эфиру. Имеет повышенную устойчивость к действию водяного пара. В то же время ПЭТ растворим в ацетоне, бензоле, толуоле, этилацетате, четыреххлористом углероде, хлороформе, метиленхлориде, метилэтилкетоне и, следовательно, листы ПЭТ могут так же хорошо склеиваться, как оргстекло, полистирол и поликарбонат.

Полиэтилентерефталат характеризуется отличной пластичностью в холодном и нагретом состоянии. Листы из этого полимера имеют незначительные внутренние напряжения, что делает процесс термоформования простым и высокотехнологичным, предварительная сушка листов не требуется, теплоемкость листов из полиэтилентерефталата меньше, чем у полистирола и оргстекла, поэтому нагрев ПЭТ-листов до температуры формования требует значительно меньшей тепловой энергии и времени. Все это приводит к экономии электроэнергии и снижению трудоемкости, а, следовательно, к снижению себестоимости изготавливаемой продукции. Поэтому полиэтилентерефталат может быть хорошей заменой прозрачному сплошному поликарбонату в различных сооружениях и конструкциях, так как его стоимость значительно ниже.

Термодеструкция полиэтилентерефталата происходит в температурном диапазоне 290-310 °С. Деструкция происходит статистически вдоль полимерной цепи. Основными летучими продуктами являются терефталевая кислота, уксусный альдегид и монооксид углерода. При 900 °С генерируется большое число разнообразных углеводородов. В основном летучие продукты состоят из диоксида углерода, монооксида углерода и метана.

Для повышения термо-, свето-, огнестойкости, для изменения цвета, фрикционных и других свойств в полиэтилентерефталат вводят различные добавки. Используют также методы химического модифицирования различными дикарбоновыми кислотами и гликолями, которые вводят при синтезе ПЭТ в реакционную смесь.

2. Получение полиэтилентерефталата

Полиэтилентерефталат получают поликонденсацией кристаллической терефталевой кислоты или ее диметилового эфира с жидким этиленгликолем по периодической или непрерывной схеме в две стадии. По технико-экономическим показателям преимущество имеет непрерывный процесс получения полиэтилентерефталата из кислоты и этиленгликоля. Этерификацию кислоты этиленгликолем (молярное соотношение компонентов от 1:1,2 до 1:1,5) проводят при 240-270 °С и давлении 0,1-0,2 МПа. Полученную смесь бис-(2-гидроксиэтил)терефталата с его олигомерами подвергают поликонденсации в нескольких последовательно расположенных аппаратах, снабженных мешалками, при постепенном повышении температуры от 270 до 300 °С и снижении давления от 6600 до 66 Па.

После завершения процесса, расплав полиэтилентерефталата выдавливается из аппарата, охлаждается (при быстром охлаждении получают аморфный ПЭТ, при медленном - кристаллический) и гранулируется (товарный ПЭТ выпускается обычно в виде гранулята с размером гранул 2-4 миллиметра) или направляется на формование волокна. Матирующие агенты (TiO2 ), красители, инертные наполнители (каолин, тальк), антипирены, термо-, светостабилизаторы и другие добавки вводят во время синтеза или в полученный расплав полиэтилентерефталата.

3. Особенности Полиэтилентерефталата (ПЭТ)

Полиэтилентерефталат (ПЭТ) зарекомендовал себя как механически прочный и ударостойкий, устойчивый к истиранию, многократным деформациям при растяжении и изгибе. Внешне и по уровню светопропускания, в большинстве своём, листы из ПЭТ не отличаются от прозрачного оргстекла, именуемого акрилом и поликарбоната. Отличительной чертой ПЭТ в сравнении с тем же оргстеклом является уровень ударной прочности в 10 раз превышающий его ударную прочность.

Полиэтилентерефталат подвергается термодеструкции при температурном диапазоне в 290-310 °С. Деструкция ПЭТ проходит статистически вдоль полимерной цепи. Летучими продуктами являются терефталевая кислота, уксусный альдегид и монооксид углерода. При температуре 900 °С образуется большое число разнообразных углеводородов. В основном летучие продукты состоят из диоксида углерода, монооксида углерода и метана.

С целью повысить термо-, свето-, огнестойкости, фрикционных свойств, а также изменения цвета ПЭТ используются различные добавки. Также применяются методы химического модифицирования различными дикарбоновыми кислотами и гликолями, которые вводят при синтезе ПЭТ в реакционную смесь.

Полиэтилентерефталат является очень хорошим диэлектриком, электрические свойства которого практически неизменчивы при температурах до 180°С даже в присутствии влаги.

Материал ПЭТ обладает внушительной химической стойкостью к кислотам, солям, щелочам, спиртам, бензину, парафинам, жирам, минеральным маслам, и эфиру. Полиэтилентерефталат обладает высокой устойчивостью к воздействию водяного пара. Материал растворяется в ацетоне, бензоле, этилацетате, четыреххлористом углероде, хлороформе, толуоле, метиленхлориде и метилэтилкетоне. Это означает то, что как оргстекло, полистирол и поликарбонат, листы ПЭТ могут успешно склеиваться.

В холодном и нагретом состоянии ПЭТ сохраняет отличную пластичность. Процесс термоформования прост и высокотехнологичен благодаря тому, что материал имеет незначительные внутренние напряжения. ПЭТ не требует предварительной сушки, так как теплоемкость материала значительно меньше, чем у полистирола и оргстекла. ПЭТ позволяет экономить на электроэнергии и значительно снижает трудоемкость, ведь необходима значительно меньшая тепловая энергия и время для температуры формования. Всё это обеспечивает снижение себестоимости продукции. Таким образом, полиэтилентерефталат легко может заменить прозрачный сплошной поликарбонат, обладая стоимостью ниже на порядок.

Глава 2 ПОЛУЧЕНИЕ ПОЛИЭФИРНЫХ СМОЛ

Полиэфирные смолы получают поликонденсацией поликарбоновых кислот и полиспиртов. Для получения полиэфирных смол в качестве исходных мономеров может быть применено большое число многоосновных кислот и многоатомных спиртов.

Простейший насыщенный полиэфир представляет собой продукт конденсации гликоля и терефталевой кислоты и используется в производстве полиэфирных пластиков, таких как волокно терилен.

Каждый элементарный акт поликонденсации в процессе образования смол вызывается реакцией этерификации, на которой основано получение сложных эфиров.

Не следует забывать и о реакции полиэтерификации, так как сополиэфирные смолы являются производными более чем двух мономеров. Этерификацию и полиэтерификацию можно ускорить добавлением сиккативов на основе металлов.

Для промышленности представляют интерес три основных способа проведения поликонденсации: в расплаве, на поверхности раздела двух фаз и в растворе. Большинство полиэфирных смол получают поликонденсацией в расплаве. Линейные и разветвленные насыщенные полиэфирные смолы с низкой молекулярной массой получают в результате одностадийного процесса при повышенной температуре в атмосфере инертного газа для предотвращения побочных реакций деструкции, окисления. Для смещения равновесия в сторону образования поликонденсационной смолы (удаления побочного продукта), кроме нагревания, применяется пониженное давление.

Реакция этерификации происходит в атмосфере азота при температуре 180-260 ºС. Добавляются катализаторы (дибутил олово оксид, хлорид олова, бутил хлоротин дигидрооксид или тетрабутилоксититанат) и ингибиторы окисления (фосфористая кислота, тринонилфенилфосфит или трифенилфосфит). Вода, высвобождаемая во время реакции, удаляется с помощью дистилляции. Нужная степень этерификации достигается путем применения азеотропной или вакуумной дистилляции на последней стадии реакции.

Процесс контролируют по кислотному числу, которое показывает какое количество кислоты вступило в реакцию. В процессе реакции кислотное число уменьшается, вязкость увеличивается.

В результате реакции получается полиэфирная смола, которая растворяется в органических растворителях или в смеси органических растворителей. Полиэфирную смолу можно добавлять в растворитель сразу после синтеза, но часто растворитель добавляют уже во время производства лакокрасочного покрытия из экономических соображений.

Точные параметры процесса подбираются исходя из реагирующих веществ на основе которых получается та или иная смола.

Синтез большей части сложных полиэфиров происходит на универсальной линии (за исключением ПЭТФ и ряда других обособленных продуктов). В зависимости от состава сырья, используемого для производства той или иной смолы, настраиваются технологические режимы, подбираются химические добавки (реагенты) и дозаторы.

Технологический процесс производства полиэфирных смол состоит из следующих стадий:

• подготовка и загрузка в реактор исходного сырья;

• поликонденсация под атмосферным давлением;

• поликонденсация под вакуумом;

• растворение полиэфира в реакторе - растворителе;

• охлаждение и слив готового продукта.

Реактор для производства полиэфиров представляет собой изготовленный из нержавеющей стали или биметалла вертикальный цилиндрический аппарат с эллиптическим днищем и крышкой, снабженный мешалкой обычного рамно-якорного типа и рубашкой. В реактор через крышку введена барботажная труба, по которой подают азот для вытеснения воздуха.

Пары гликоля конденсируются в обратном холодильнике и конденсат стекает в реактор, а пары воды и азот отводятся через прямой холодильник. Водный конденсат собирается в сборнике. Контролируют процесс по кислотному числу. Готовый полиэфир сливают в смеситель, где растворяют в растворителе. Полученный раствор после охлаждения фильтруют и сливают в тару.

Время производственного цикла на современных заводах составляет 14-16 часов в случае насыщенных полиэфиров на основе фталевого ангидрида и 18-25 часов в случае полиэфиров на основе изофталевой кислоты. В зависимости от рецептур и условий проведения процесса время производственного цикла на производствах различается.

В отличие от производства обычных алкидов, процесс производства полиэфиров не усложняется наличием жирных кислот или масел. Одной из основных трудностей процесса синтеза является унос гликолей с водой. Для предотвращения потери гликолей используется специальная вертикальная система холодильников (конденсаторов). В то же время сам реактор аналогичен тому, который используется в производстве алкидов. Этим объясняется тот факт, что заводы по производству полиэфирных смол зачастую совмещают с производством алкидных смол.

Данные особенности процесса и наличие значительного количества компонентов реакции, обуславливают требования к оформлению и контролю процесса. На современных производствах регулировка процессов обеспечивается системой автоматизации, которая включает в себя:

• автоматическое дозирование компонентов в широком диапазоне масс компонентов (от нескольких килограммов до нескольких тонн в один аппарат);

• поддержание температуры с точностью ±1°С от заданной;

• поддержание заданной скорости химической реакции;

• автоматический расчет момента перехода на вакуумную стадию процесса;

• хранение программ синтеза для различных марок смол.

Можно выделить еще ряд особенностей, отличающих современные производства от производств более раннего периода. Во-первых, необходимым фактором оптимизации процесса является использование энергосберегающих технологий. Во-вторых, время производственного цикла на современных заводах на 20-50% меньше, чем на заводах конца 20 века. Это означает более высокую производительность на том же оборудовании.

Более высокой производительности можно достичь, внеся некоторые изменения в производственный цикл. В частности, время загрузки сырья/выгрузки продукта можно сократить, увеличив размеры соответствующего оборудования и степень автоматизации.

Более сложной задачей модернизации является увеличение скорости переноса тепла и охлаждения, так как эти параметры зависят от конструкции реактора. Увеличить скорость переноса тепла в реакторе можно в частности улучшением конструкции мешалки, с достижением лучшего горизонтального и вертикального перемешивания.

Еще одним параметром, определяющим эффективность производства, является контроль за такими параметрами процесса, как вязкость продукта, кислотное и гидроксильное число. Большая часть заводов используют устаревший метод, заключающийся в отборе образца из реактора и тестировании его в лаборатории. Этот процесс занимает 15-30 минут, в течении которых химическая реакция продолжается и показатели продукта изменяются. Вмонтированные в реактор вискозиметры не решают этой проблемы. На современных реакторах для этих целей устанавливаются специальные измерительные системы, определяющие все эти параметры процесса в режиме настоящего времени.

Простейший насыщенный полиэфир представляет собой продукт конденсации гликоля и терефталевой кислоты и используется в производстве полиэфирных пластиков, таких как волокно терилен.

Каждый элементарный акт поликонденсации в процессе образования смол вызывается реакцией этерификации, на которой основано получение сложных эфиров. В общем виде реакцию получения полиэфирных смол можно написать следующим образом:

Не следует забывать и о реакции полиэтерификации, так как сополиэфирные смолы являются производными более чем двух мономеров. Этерификацию и полиэтерификацию можно ускорить добавлением сиккативов на основе металлов.

Для промышленности представляют интерес три основных способа проведения поликонденсации: в расплаве, на поверхности раздела двух фаз и в растворе. Большинство полиэфирных смол получают поликонденсацией в расплаве. Линейные и разветвленные насыщенные полиэфирные смолы с низкой молекулярной массой получают в результате одностадийного процесса при повышенной температуре в атмосфере инертного газа для предотвращения побочных реакций деструкции, окисления. Для смещения равновесия в сторону образования поликонденсационной смолы (удаления побочного продукта), кроме нагревания, применяется пониженное давление.

Реакция этерификации происходит в атмосфере азота при температуре 180-260 ºС. Добавляются катализаторы (дибутил олово оксид, хлорид олова, бутил хлоротин дигидрооксид или тетрабутилоксититанат) и ингибиторы окисления (фосфористая кислота, тринонилфенилфосфит или трифенилфосфит). Вода, высвобождаемая во время реакции, удаляется с помощью дистилляции. Нужная степень этерификации достигается путем применения азеотропной или вакуумной дистилляции на последней стадии реакции.

Процесс контролируют по кислотному числу, которое показывает какое количество кислоты вступило в реакцию. В процессе реакции кислотное число уменьшается, вязкость увеличивается.

В результате реакции получается полиэфирная смола, которая растворяется в органических растворителях или в смеси органических растворителей. Полиэфирную смолу можно добавлять в растворитель сразу после синтеза, но часто растворитель добавляют уже во время производства лакокрасочного покрытия из экономических соображений.

Точные параметры процесса подбираются исходя из реагирующих веществ на основе которых получается та или иная смола.

Технологический процесс получения НПС может быть следующим. В реактор загружают гликоль и после его подогрева до 100°С — ангидриды. Иногда в реактор добавляют в количестве 10% от массы основных компонентов растворитель, образующий азеотропную смесь с выделяющейся при синтезе водой, что облегчает ее удаление (в этом случае способ получения НПС - в растворе). Процесс поликонденсации проводят при 170—200 °С и работающей мешалке в токе азота. Пары гликоля конденсируются в обратном холодильнике и конденсат стекает в реактор, а пары воды и азот отводятся через прямой холодильник. Водный конденсат собирается в сборнике. Контролируют процесс по кислотному числу. Готовый полиэфир после охлаждения до 70 °С сливают в смеситель, где растворяют в растворителе. Полученный раствор после охлаждения фильтруют и сливают в тару.

Глава 3 СПОСОБЫ ПРОИЗВОДСТВА ПЭТФ В ПРОМЫШЛЕННОСТИ

Полиэтилентерефталат - это пластик на основе смол, получаемых путем сложного химического процесса из нефти и газового конденсата. Исходным сырьем для производства полиэтилентерефталата различного назначения служат:

· моноэтиленгликоль (МЭГ) и очищенная терефталевая кислота (ОТФК), либо

· диметиловый эфир терефталевой кислоты (ДМТ)

Терефталевую кислоту и ДМТ в свою очередь производят из параксилола.

Сырьем для производства ПЭТФ обычно служит диметиловый эфир терефталевой кислоты с этиленгликолем. Получают полиэтилентерефталат поликонденсацией терефталевой кислоты (бесцветные кристаллы) или ее диметилового эфира с этиленгликолем (жидкость) по периодической или непрерывной схеме в две стадии. По технико-экономическим показателям преимущество имеет непрерывный процесс получения ПЭТ из кислоты и этиленгликоля. Этерификацию кислоты этиленгликолем (молярное соотношение компонентов от 1:1,2 до 1:1,5) проводят при 240-2700С и давлении 0,1-0,2МПа.

Обычно материал с более низкой молекулярной массой (М - 20 000) применяется для изготовления волокон; в других приложениях используется материал с более высокой молекулярной массой.

Полученную смесь бис-(2-гидроксиэтил)терефталата с его олигомерами подвергают поликонденсации в нескольких последовательно расположенных аппаратах, снабженных мешалками, при постепенном повышении температуры от 270 до 3000С и снижении разряжения от 6600 до 66 Па.

После завершения процесса расплав полиэтилентерефталата выдавливается из аппарата, охлаждается и гранулируется или направляется на формование волокна. Матирующие агенты (TiO2), красители, инертные наполнители (каолин, тальк), антипирены, термо- и светостабилизаторы и другие добавки вводят во время синтеза или в полученный расплав полиэтилентерефталата.

Достигнутая регулярность строения полимерной цепи повышает способность к кристаллизации, которая в значительной степени определяет механические свойства. Фениленовая группа в основной цепи придает жесткость скелету и повышает температуру стеклования и температуру плавления. Химическая стойкость ПЭТ близка к таковой у полиамидов, и он проявляет очень хорошие барьерные свойства. ПЭТ обладает способностью существовать в аморфном или кристаллическом состояниях, причем степень кристалличности определяется термической предысторией материала.

При быстром охлаждении ПЭТ аморфен и прозрачен, при медленном – кристалличен (до 50%).

Товарный ПЭТ выпускается обычно в виде гранулята с размером гранул 2-4 миллиметра. Производители ПЭТ в основном находятся за пределами России и СНГ.

В промышленности ПЭТФ обычно получали двухстадийным способом: переэтерификацией диметилтерефталата (DMT) этиленгликолем с последующей поликонденсацией полученного на первой стадии процесса дигликольтерефталата (DGT)). Вплоть до середины 60-х годов прошлого столетия диметилтерефталат, несмотря на многостадийность технологии, являлся единственным мономером для получения ПЭТФ. Разработанные в то время промышленные процессы не позволяли обеспечить необходимую степень чистоты терефталевой кислоты, поэтому из нее вырабатывали ДМТ, который, благодаря низкой температуре кипения, легко подвергался очистке методом дистилляции и кристаллизации.

В 1965 году американская Аmoco Соrporation усовершенствовала технологию получения и очистки терефталевой кислоты и построила первую промышленную установку по производству ОТФК. Основной примесью технической терефталевой кислоты, полученной каталитическим окислением пара-ксилола в присутствии гомогенных катализаторов (обычно соли Со и Мn) и промоторов, является промежуточный продукт ее окисления - n-карбоксибензальдегид. Для очистки раствора технической терефталевой кислоты Аmoco Соrporation предложила использовать процесс каталитического гидрирования. В качестве катализатора был выбран палладий, нанесенный на активированный уголь. В результате гидрирования карбоксибензальдегид и ряд других окрашенных примесей переходят в более растворимые соединения, что позволяет получать кристаллы ОТФК при охлаждении полученного раствора. В настоящее время описанный способ очистки технического раствора терефталевой кислоты широко используется в современном производстве ОТФК.

Таким образом, в последнее время в мире широкое распространение получил одностадийный синтез ПЭТФ из этиленгликоля и терефталевой кислоты (TFK) по непрерывной схеме. И именно данный способ признается весьма перспективным.

Анализ научной и патентной литературы показывает, что идет непрерывный процесс совершенствования и поиска новых нанесенных палладиевых катализаторов. Катализаторы марок МРВ5, МРВ5-НD (Sud Chemie, Германия) и Е1802 (Degussa Со, Германия) предложены на рынке специально для очистки технического раствора терефталевой кислоты. Расширение производства ОТФК оказывает существенное влияние на количество палладия, потребляемого для приготовления промышленных катализаторов.

Технологический прорыв в производстве ОТФК привел к постепенному замещению ДМТ как мономера для получения ПЭТФ и различной полиэфирной продукции. Доля ОТФК в суммарном объеме производства ОТФК и ДМТ растет из года в год. В настоящее время около 90 % производителей полиэфирных нитей и волокон в качестве исходного сырья используют терефталевую кислоту.

Для поддержания рыночной конкурентоспособности ПЭТФ, полученной на основе ДМТ, предлагаются варианты модернизации старых производств (например, способ американской Glitsch Technology Corp.). Реконструкция установок ДМТ с переводом их на выпуск ОТФК требует больших финансовых затрат и экономически не выгодна.

К основным преимуществам использования ОТФК вместо ДМТ следует отнести:

- низкие капитальные и эксплутационные затраты в производстве ОТФК и ПЭТФ на основе ОТФК;

- отсутствие применения высокотоксичного метанола, использующегося в качестве растворителя при получении ДМТ;

- уменьшение, из-за разницы в молекулярных массах, расхода ОТФК на одну тонну ПЭТФ, а также расхода моноэтиленгликоля при получении ПЭТФ;

- обеспечение снижения себестоимости конечного продукта не менее чем на 12 % при использовании терефталевой кислоты в качестве мономера (в зависимости от рыночных колебаний цен на ДМТ и ОТФК).

В то же время при применении уксусной кислоты (в качестве растворителя) в производстве ОТФК, а также бромсодержащих промоторов требуется оборудование, устойчивое к коррозии.

Сегодня ПЭТ используется для производства разнообразнейшей упаковки для продуктов и напитков, косметики и фармацевтических средств, ПЭТ материалы незаменимы при изготовлении аудио, видео и рентгеновских пленок, автомобильных шин, бутылок для напитков, пленок с высокими барьерными свойствами, волокон для тканей. Широкий ряд применений возможен благодаря исключительному балансу возможностей ПЭТ и тому, что в готовом изделии степень кристалличности и уровень ориентации можно контролировать.

Итак, физические свойства ПЭТФ делают его идеальным материалом для использования в следующих основных областях:

· изготовление упаковки (бутылки, коррексы, одноразовая посуда и т.д.)

· плёнок (торговое название «лавсан»)

· волокна (торговое название «полиэстер»)

· конструкционные элементы для строительства, композиционных материалов для машиностроительной промышленности и др

Волокна

Основной областью использования ПЭТФ в мире является изготовление полиэфирных волокон (лавсан или терилен) и нитей. Если в России на производство волокон уходит всего лишь 2% от совокупного потребления ПЭТФ – гранулята, то в мире – около 68%.

Широкоеприменение ПЭТФ началось в 60-е годы первоначально в производстве текстиля. С тех пор спрос неуклонно растет в первую очередь в развитых странах. На рынке ПЭТФ в большинстве регионов отмечается чрезвычайно быстрый рост спроса со стороны продуцентов полиэфирных волокон и нитей. В свою очередь из полиэфирных волокон и нитей ихготавливают полиэфирные (ПЭФ) ткани. Рост спроса на ПЭФ был вызван, в первую очередь, более низкой себестоимостью по сравнению с другими видами химических волокон и нитей. Вторым фактором популярности полиэфира стал широкий спектр применения в связи с прекрасными свойствами материала. По прочности и удлинению полиэфир не уступает полиамиду, а по светоустойчивости превосходит его, по формоустойчивости превосходит самое формоустойчивое из всех природных волокон — шерсть, имеет низкую гигроскопичность и высокую термостойкость, что является достоинством при производстве технических тканей. Различают: Текстильные волокна и нити.

1. Полиэфирные текстильные волокна - производство пряжи полиэфирной и смесовой, широко применяется в производстве хлолпковых, льняных, шерстяных тканей.

2. Полиэфирные текстильные нити- используются в производстве широкого ассортимента различных типов материалов: подкладочные, костюмные ткани и др.

В промышленности PET обычно получают двухстадийным способом: переэтерификацией диметилтерефталата (DMT) этиленгликолем с последующей поликонденсацией полученного на первой стадии процесса дигликольтерефталата (DGT). Однако в последнее время за рубежом широкое распространение получил одностадийный синтез ПЭТ из этиленгликоля и терефталевой кислоты (TFK) по непрерывной схеме. И именно данный способ признается весьма перспективным.

Химическая и физическая структура ПЭТ определяет возможность плотной упаковки макромолекул, а соответственно и способность к кристаллизации. В зависимости от способа получения полимера и скорости охлаждения расплава при переработке возможно получение изделий из PET с различной степенью кристалличности (от стеклообразного аморфного АРЕТ при резком охлаждении до кристаллического при медленной скорости охлаждения). Необходимо отметить, что рост молекулярной массы полимера снижает его способность к кристаллизации и увеличивает вязкость расплава.

Структура ПЭТ придает материалу поистине уникальные свойства:

· высокую прозрачность в аморфном состоянии;

· низкую газопроницаемость, а следовательно, отличные барьерные свойства;

· стойкость к воздействию жиров и минеральных кислот;

· высокую ударопрочность (90кДж/м2) в широком диапазоне температур;

· низкий коэффициент влагопоглощения;

· легкое окрашивание в массе;

· великолепное «восприятие» цветной печати;

· хорошую перерабатываемость метода-ми экструзии, литья под давлением, термоформованием.

Полиэтилентерефталат перерабатывается литьем под давлением, экструзией, формованием. Волокна и тонкие пленки из ПЭТ изготавливают экструзией с охлаждением при комнатной температуре. Степень кристалличности может быть отрегулирована отжигом при некоторой температуре между температурами стеклования Тс и плавления Тпл; максимальная скорость кристаллизации достигается при -170 град. С.

Литьем под давлением из ПЭТ производят в основном преформы для ПЭТ-бутылок. Для этих целей уже достаточно редко используют традиционную схему литья пластмасс: термопластавтомат + литьевая форма. В современных реалиях правят бал специальные комплексы для производства ПЭТ-преформ, включающие все необходимое для интенсивного производства изделий: скоростной ТПА, сложную пресс форму, холодильники, систему роботов.

ПЭТ находит разнообразные применения благодаря широкому спектру свойств, а также возможности управлять его кристалличностью. Основное применение связано с изготовлением ПЭТ-тары, в частности бутылок для газированных напитков, поскольку ПЭТ обладает замечательными барьерными свойствами. В этом случае аморфный ПЭТ подвергается двуосному растяжению выше Tс, для создания кристалличности.

Другие области применения ПЭТ охватывают текстильные волокна, электрическую изоляцию и изделия, получаемые раздувным формованием. Для многих применений лучшими свойствами обладают сополимеры ПЭТ.

Примером изделий из ПЭТ могут служить: детали кузова автомобиля; корпуса швейных машин; ручки электрических и газовых плит; детали двигателей, насосов, компрессоров; детали электротехнического назначения; различные разъемы; изделия медицинского назначения; упаковка из ПЭТ; ПЭТ-преформы и многое другое. В таких изделиях, как бутылки для газированных напитков, используются смеси ПЭТ с полиэтиленнафталатом (ПЭН). ПЭН более дорогой материал, но он медленнее кристаллизуется и имеет менее выраженные эффекты старения.

Глава 4 СУРЬМА ИЗ КУБОВЫХ ОСТАТКОВ ПРОИЗВОДСТВА ПОЛИЭФИРОВ

Промышленное производство полиэтилентерефталата осуществляется различными способами, однако они имеют много общего. Обычно диметилтерефталат (ДМТФ) или терефталевая кислота (ТФК) конденсируется с этиленгликолем с образованием сложного полиэфира. Обычно процесс производства полиэтилентерефталата ведется в присутствии катализаторов, при повышенных температуре и давлении. Реакция конденсации сопровождается отщеплением метанола или воды. Одним из наиболее распространенных катализаторов является трехокись сурьмы.

Характерной чертой большинства процессов является выделение непрореагировавшего гликоля путем перегонки остатка, загрязненного полиэтилентерефталатом с низким молекулярным весом, трехокисью сурьмы, ДМТФ и ТФК.

В ходе отгонки этиленгликоля (в виде моно-, ди- и тримера) большинство примесей остается на дне перегонной колонны в виде воскообразной гранулированной массы, удаляемой как отход.

Типичный состав такого остатка, включая добавленную воду и небольшое количество гидроксида натрия следующий, %: воды 26; твердого остатка 32; этиленгликоля 36; диэтиленгликоля 4,25; триэтиленгликоля 0,75; сурьмы 7,2 ррт; натрия 4,3 ррт.

Практика прошлых лет по захоронению или сбросу этого остатка в водоемы ныне считается Агентством по защите окружающей среды опасной для здоровья. Установлено предельное содержание сурьмы в промышленных сбросах в водостоки 5 ррт.

Захоронение отходов не является решением проблемы, так как вредные металлы выщелачиваются и уносятся грунтовыми водами. Предварительная обработка по предотвращению выщелачивания или капсулирование экономически неприемлемы.

Сжигание остатка без использования дорогостоящего пылеулавливающего оборудования приводит к вредным выбросам в атмосферу. Аналогично не решает проблему и сброс остатка в воды океанов.

Процесс, разработанный Б. Н. Хоппером и А. Бергхаузеном (патент США 4013519, 22 марта 1977 г.; фирма ч-Сейфтех, Инк.»), предназначен для отделения соединений сурьмы от кубового остатка. Достоинством метода является возможность выделения соединений сурьмы в виде, пригодном для использования, и мономера для получения полиэфиров.

Процесс состоит из следующих стадий:

1.Предварительная обработка кубового остатка определенным количеством воды с последующим щелочным гидролизом при температуре 85—100 °С для расщепления полимера с низкой молекулярной массой и получения соли терефталевой кислоты и этиленгликоля (общее название для смеси моно-, ди-, и триэтиленгликоля).

2.Обработка смеси, образовавшейся на стадии 1, кислотой до значений рН = 6,2—6,5 с выпадением из раствора сурьмы (или соединения сурьмы), которые отделяются и используются в установках по производству сурьмы.

3.Фильтрат после стадии 2 подвергается операции осветления, например активированным углем.

4.Фильтрат после стадии 3, нагретый до ~76 "С, подкисляется до значений рН = 1-3 для осаждения терефталевой кислоты, которая отфильтровывается, промывается и сушится. Она имеет достаточную чистоту и может использоваться как товарный продукт, или возвращаться в цикл производства полиэтилентерефталата.

5.К фильтрату после стадии 4 при температуре 76—100 °С добавляются материалы типа тиосульфата натрия для перевода сурьмы или ее соединений в сульфид сурьмы.

6.Смесь подвергается фильтрованию для отделения выпавшего сульфида сурьмы; фильтрат содержит в основном этиленгликоль, воду, сульфит натрия, и вероятно, бисульфат натрия.

7. Стадия удаления некоторого количества воды после операции 5.

8.К фильтрату после стадии 7 добавляется щелочь для создания значений рН = 6,5-1-8. На этой стадии при необходимости возможно повторение операции 3.

9.Один из традиционных методов отделения и очистки этиленгликоля заключается в добавлении растворителя к смеси после операции 8 для осаждения сульфата натрия.

10.Сульфат натрия отфильтровывается, промывается растворителем и выводится из процесса в виде товарного продукта.

11.Фильтрат после стадии 10, содержащий в основном растворитель, этилен-гликоль и воду, упаривается.

12.Остаток после стадии 11, представляющий собой смесь воды и этиленгликоля, подвергается перегонке с целью отделения этиленгликоля от воды. Полученный этиленгликоль является товарным продуктом. Если не ставится цель выделения этиленгликоля, процесс прекращается после выполнения операции 7.

Остаток подвергается сжиганию с образованием золы, которую обрабатывают водой с образованием водной фазы и твердого осадка. Водорастворимые соединения натрия находятся в водной фазе, соединения сурьмы находятся в твердом осадке. Фазы затем разделяются для выделения содержащихся там соединений.

ЛИТЕРАТУРА

1. Быстров Г.А., Гальперин В.М., Титов Б.П. Обезвреживание и утилизация отходов в производстве пластмасс. Л.: Химия, 1982. С. 178 – 214.

2. Стрепихеев А.А., Деревицкая В.А. Основы химии высокомолекулярных соединений. - М.: Химия, 1976. 440 с.

3. Тагер А.А. Физикохимия полимеров. - М.: Химия, 1978. 544 с.

4. Шур А.М. Высокомолекулярные соединения. - М.: Высшая школа, 1981. 656 с.

5. В.Р.Говарикер, Н.В.Висванатхан, Дж.Шридхар. Полимеры. М. Наука, 1990.

6. Семчиков Ю. Д. Высокомолекулярные соединения: Учеб. для вузов. – М.: «Академия», 2005. – с. 256 – 263.

7. Любешкина Е., Аксенова Т. Полиэтилентерефталат, свойства и применение //Пакет. -2000, -№1. -С.19-28.

8. Добрынин А. ПЭТ-гранулят, производство ПЭТ-преформ //Пивное дело. -2001, -№2. -С.16-29.

9. Петляков Г., Редько А. Техника и технология производства ПЭТ-тары и розлива жидкостей //Индустрия упаковки.-2000, №2.-С.22-25.

10. Угольников С., Петляков Г. Полуавтоматическое оборудование для выдува ПЭТ-бутылок // Тара и упаковка. -1998, -№1. -С.46-48.