| Скачать .docx |
Реферат: Димеризация, олигомеризация и полимеризация этилена под действием комплексов никеля, содержащих хелатные лиганды
Реакции этилена, приводящие к образованию димеров, олигомеров и полимеров этилена представляют существенный интерес для химической промышленности. Эти реакции могут приводить к образованию линейных, разветвленных или циклических соединений. Как показано в табл. 1, линейные продукты имеют много важных областей применения, среди которых наибольший объем использования имеют моющие средства и сомономеры для получения ПЭ.
Комплексы никеля являются самыми распространенными катализаторами олигомеризации олефинов и проявляют наибольшую активность и селективность по отношению к олефинам. Никелевые катализаторы можно разделить на две группы: соединения никеля(П) в сочетании с алкильными или гидридными производными металлов основной группы (катализаторы Циглера-Натта) и металлоорганические комплексы, которые служат предшественниками каталитических комплексов.
Много лет назад мы показали, что хелатные комплексы никеля вызывают образование линейных продуктов из этилена с исключительно высокой хемоселективностью [1]. На схеме I изображены комплексы 1 и 2, которыеможно рассматривать в качестве предшественников активного Ni-Н-катализатора 3.


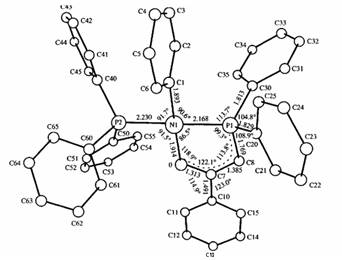
Рис. 1. Строение комплекса 1 по данным рентгеноструктурного анализа.
Реакция комплекса 3 с этиленом приводит к образованию комплекса 4, который после внедрения следующей молекулы этилена образует Ni-бутильный комплекс 5. Последний может отщеплять бутен-1 в результате реакции р-элиминирования, вновь образуя комплекс 3. Таким образом, каталитический цикл замыкается. Кроме элиминирования бутена-1, комплекс 5 может присоединять еще молекулы этилена, образуя комплексы Ni с высшими м-алкильными группами, которые затем могут по реакции Р-элиминирования отщеплять соответствующие а-олефины или воски, или даже ПЭ. В результате каталитического цикла, изображенного на схеме I, возникает распределение типа Шульца-Флори. Наилучшим образом оно описывается величиной Р-фактора, т.е. отношением скорости элиминирования на стадии обрыва цепи к скорости элиминирования на стадии роста. Когда стадия обрыва ф-элиминирование) протекает быстро, в продуктах реакции преобладают олефины С4 - С8 . Продукты с большой длиной цепи (ПЭ) получаются в том случае, когда преобладает реакция роста.
Механизм, приведенный на схеме I, подтверждается спектроскопическими исследованиями, проведенными insitu. Так, ЯМР исследования, выполненные в этих условиях, показывают, что в растворе присутствует гидрид никеля 3, который был зафиксирован при использованииPh2 PCH2 C(CF3 )2 OH в качестве лиганда [2]. Оказалось, что можно выделить этильный 4 и бутильный 5 комплексы никеля, а также комплексы Ni, содержащие высшие алкильные группы, которые являются продуктами многократного внедрения этилена. При нагревании эти комплексы отщепляют соответственно этилен, бутен-1 или высшие сс-олефины, возвращаясь тем самым к комплексу 3.
Таблица 1. Линейные производные этилена
| Продукт | Применение |
| Бутен-1 | Полибутилен Сомономер в производстве ПЭ |
| Гексен-1 | Сомономер в производстве ПЭ |
| Октен-1 | Продукты тонкого органического синтеза (жирные кислоты, меркаптаны), пластификаторы |
| Децен-1 | Смазки |
| Олефины С12 - С18 | Детергенты |
| Олефины С>20 | Присадки |
| Олефины С>30 | Воски |
| Олефины С>т | ПЭ |
Если образующиеся а-олефины не реагируют с Ni-Н-комплексом 3 (что привело бы к образованию соолигомеров), в продуктах реакции присутствуют только линейные производные; иначе говоря, реакция должна быть высоко хемоселективна только по отношению к этилену, а реакция передачи цепи должна отсутствовать.
Чтобы продемонстрировать высокую хемоселективность, проводили реакцию смеси, содержащей 50% этилена и 50% пропилена, с каталитическими количествами комплекса 1. Поглощение этилена наблюдали до тех пор, пока в смеси не достигалось процентное соотношение пропилен : : этилен, равное 90 : 10. Продукты, получающиеся при таком соотношении, содержали нечетное число атомов углерода (С5 , С7 и т.д.) [3].
Высокая хемоселективность объясняется наличием хелатного лиганда. По данным рентгеноструктурного анализа (рис. 1), комплекс 1 имеет плоскоквадратную структуру.
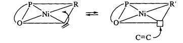
По нашему мнению, ответственным за высокую хемоселективность реакции является плоскоквадратное окружение металла. Ниже показан путь протекания реакции внедрения этилена, включающий стадию появления свободного координационного места в результате акта внедрения этилена.

Рост цепи протекает в трансположении относительно атома кислорода комплекса, в то время как свободные координационные места для входящей молекулы мономера после внедрения этилена возникают в трансположенияпо отношению к атому фосфора. Если этот механизм правилен, можно полагать, что кроме давления и температуры на получающееся распределение продуктов должны влиять стерические и электронные эффекты в хелатном лиганде. При изменении а-донорных и я-акцепторных свойств Р или хелатного кольца будет изменяться прочность связи вновь координирующейся молекулы этилена с металлом. Кроме того, на прочность связи Ni-углерод может также влиять строение лиганда.
Чтобы выяснить влияние этого фактора, в Аахене было синтезировано большое количество разнообразных хелатных комплексов никеля. Можно констатировать, что все комплексы, активные в реакции линейного присоединения по связи С-С, состоят из хелата и органического лиганда. Органическая часть только стабилизируеткомплекс, тогда как хелатный лиганд регулирует каталитическую активность и селективность.

Размер цикла в части также им решающее значение. Ниже изображены комплексы, которые отличаются размером [4].

Комплексы 6-8 содержат пяти – семичленные хелатные циклы. В комплексах 9 и 10 жесткого хелата увеличивается при введении в него соответственно двойной связи или ароматического цикла. Исследование реакции комплексов 6 с этиленом показало, что комплексы 6, 9, и 10 вольно активны в линейной олигомеризации, в то время как активность комплексов 7 и 8, содержащих гибкие шести- и семичленные циклы, невысока.

Ниже будет показано, что конструирование лиганда влияет на протекание реакций димеризации, олигомеризации и полимеризации этилена.
ДИМЕРИЗАЦИЯ
Чтобы получить преимущественно бутен-1, нужно понизить основность атома Р. Интересно отметить, что добавление Ph3 P к комплексу 1 является другим путем изменения величины р-фактора (табл. 2).
ОЛИГОМЕРИЗАЦИЯ
Олигомеризация олефина осуществлена компанией "Шелл" (процесс "Шелл" для получения высших олефинов - SHOP-процесс) [1, 5]. Этот процесс с общим объемом продукции ~1 млн. т является одним из примеров наиболее крупномасштабного применения гомогенного катализа на основе переходных металлов. На схеме II показаны первичные и вторичные продукты, получаемые в указанном процессе (добан, добанол, этоксилаты добанола и этоксисульфаты добанола - торговые названия поверхностно-активных веществ (детергентов))

Первая стадия представляет собой олигомеризацию этилена в а-олефины. Образующиеся а-олефины характеризуются геометрическим распределением, которое можно в некоторой степени регулировать изменением давления и температуры. Получаемый при этом набор а-олефинов трудно сбалансировано реализовать на рынке. По этой причине из смеси отгоняют только те а-олефины, которые можно продать - в основном С8 - С20 - Олефины, не находящие спроса на рынке, <С10 и >С2 о изомеризуют на второй стадии. На третьей стадии смесь олефинов с внутренними двойными связями подвергают реакции метатезиса, в результате которой олефины <С 10 и>С20 превращаются в олефины С10 - С14 (интервал, соответствующий детергентам), также отделяемые дистилляцией. Сочетание изомеризации иметатезиса с дистилляцией и рециклом создаетуникальную технологию для получения продуктов с заданным распределением по числу атомов углерода. Указанная схема процесса дает возможность получать олефины с любым числом атомов углерода. Ключом к решению проблемы явилась достигнутая хемоселективность. Были получены олефины, содержащие >95% ос-изомеров и степенью линейности,>99%. Селективность образования линейных олефинов важна при проведении метатезиса. В условиях метатезиса разветвленные олефины, содержащиеся в продуктах первой стадии, реагируют очень медленно, приводя к образованию малоактивных разветвленных олефинов, имеющих низкую рыночную стоимость.
![]() |
Высокая селективность получения линейных α-олефинов в SHOP-процессе обеспечивает также оптимальное использование исходного материала, а именно этилена. Практически все произведенные в этом процессе продукты можно реализовать на рынке, побочные продукты фактически отсутствуют.
Для практики было бы важно иметь возможность так изменить распределение продуктов, полученных в соответствии со схемой I, чтобы получить линейные продукты с числом атомов углерода в наиболее желательном интервале С12 – С8 за счет соолигомеризации олигомеров С4 - С10 с этиленом. Мы обнаружили, что комплекс реагируя с ос-олефинами, образует в основном линейные димеры [6].

По нашим сведениям это единственный комплекс, который вызывает димеризацию а-олефинов, приводя к преимущественному образованию линейных продуктов. Для этого нужно, чтобы реакция присоединения катализатора Ni-H к а-олефину протекала против правила Марковникова (уравнение (1)).

Рис. 2. Распределение продуктов олигомеризации этилена при одновременном использовании комплексов 2 и 11. Соотношение комплексов 2:11 равно 1 : 2 (7); 1 : 3 (2) и 1 : 4 (3).
![]()
При совместном присутствии комплексов 2 и 11, можно ожидать, что реакция с этиленом будет протекать следующим образом: комплекс 2 вызывает образование смеси линейных а-олефинов С4 - С>20 , а комплекс 11 катализирует их димеризацию. Поскольку скорость реакции увеличивается в ряду С4 > С6 > С8 ..., олефины С4 - С6 должны реагировать с большей скоростью и таким образом будут расходоваться, увеличивая долю олефинов С8 - С12 . В табл. 3 представлены данные, полученные при совместном использовании этих двух комплексов в реакции олигомеризации этилена [7].
Таблица 3. Олигомеризация этилена при использовании комплексов 2 и 11
| Опыт | Соотношение комплексов 2:11 | Продукты олигомеризации, мае. % | ||
| С4 | Q - с10 | С>12 | ||
| 1 | 1 :0 | 35.5 | 51.5 | 13 |
| 2 | 1 : 1 | 22.5 | 56.5 | 21 |
| 3 | 1 : 5 | 2 | 69.8 | 28 |
| Опыт 1: | 0.2 ммоля комп. 'кса 2, 70°С, | 2 ч ' р с2 н4 | = 30 бар, | |
При эквимолярном соотношении комплексе 2 и 11 (опыт 2) доля бутена уменьшается, приводя к увеличению доли олефинов С6 - С10 . При соотношении комплексов 2 и 11 = 1: 5 доля бутена становится еще меньше. Таким образом, использование двух предшественников катализатора, комплексов 2 и 11, в одном реакторе позволяет в определенной степени контролировать распределение продуктов реакции.

При обработке смеси комплекса 6 и [А1(СН3 )0]„ этиленом, наблюдалось существенное увеличение активности. Даже при 0°С оборотное число реакции превышало 10 000. К сожалению, хемоселективность образования именно линейных продуктов была потеряна. Две типичные гельхроматограммы продуктов, которые демонстрируют эту потерю хемоселективности, представлены на рис. 3.
Эти результаты привели к мысли выделить ионные комплексы никеля с Т|2 -Рл О хелатными лигандами. Был получен комплекс 14 [11]

Рентгеноструктурный анализ подтвердил плоскоквадратную структуру комплекса. Реакция комплекса 14 с этиленом давала смесь линейных и разветвленных олефинов, что указывало на потерю хемоселективности образования линейных продуктов реакции. Очевидно, олефины, возникающие при олигомеризации этилена, вступают затем в реакцию соолигомеризации, что и приводит к появлению разветвленных продуктов.
ПОЛИМЕРИЗАЦИЯ
Распределение α-олефинов определяется соотношением скоростей Р-элиминирования и роста. Очевидно, что при малом значении (3-фактора в уравнении (4) получаются очень пологие кривые распределения
![]()
Таким образом, можно провести полимеризацию этилена с образованием линейного продукта с очень высокой ММ. Если протекает реакция передачи цепи, то появляются разветвленные продукты. Как видно из данных табл. 4, передача цепи протекает в случае образования продуктов с более высокой ММ.


Рис. 3. Сравнение селективности комплекса 6 (]) и 6/[А1(СН3 )0]„ (2) в олигомеризации этилена; Ni: Al = 1 : 50,0°С, Рс н = 3 атм, 3 ч, молярное отношение С2 Н4 : Ni = 3 х 104 .
Впервые мы наблюдали образование высоколинейного кристаллического ПЭВП при суспендировании никелевых катализаторов в алканах [1, 12]. По данным ИК-спектроскопии, полученный ПЭ имел кристалличность около 70%. Средневесовая ММ составляла 105 - 106 , температура плавления 130 - 140°С. Позднее мы установили, что ПЭ также образуется при добавлении R3 P и при использовании комплекса, содержащего заместитель в цикле [3]. Как показано в табл. 5, добавление лигандов R3 P к комплексу 1 может вызвать или прекращение реакции из-за блокировки координационных мест (R3 P = PEt3 ) или образование ПЭ [R3 P = (сс-нафтил)3 Р].
В развитие наших работ Остойя-Старжевский получил катализатор полимеризации этилена при реакции комплекса 1 с СН2 = РМе3 [13]. Этому комплексу была приписана структура

Клабунде и сотр. фирмы "DuPont" также сообщили о синтезе линейного ПЭВП под влиянием комплекса 1 [14]. По их данным, в том случае, когда четвертое координационное место в плоскоквадратном комплексе не занято Ph3 P, происходит полимеризация этилена. Для удаления R3 P были использованы различные акцепторы, например, Rh(AcAc)(C2 H4 )2 . Производительность использованного катализатора составляла 20000 г ПЭ/г №. Интересно отметить, что комплекс 1 димеризуется в комплекс, когда четвертое положение свободно, что подтверждается данными рентгеноструктурного анализа


Интересно отметить, что Финк и Нестеров вносили Т|2 -Рл О хелатный комплекс 19 на модифицированные оксид кремния или оксид алюмщм в соответствии с реакцией (5) [16].

При введении водорода или добавлении гидр да магния были получены высокоактивные катализаторы олигомеризации этилена.
Мы также сделали попытку нанести комплексы типа 1 на органические или неорганические носители в соответствии со схемой, приведен™ ниже, используя закрепление через положения А и В в комплексе 17 [17]. С этими катализаторами мы получили в основном линейные олефины, время жизни катализаторов было невелико,вероятно, из-за покрытия активных центров образующимся полимером.

ВЛИЯНИЕ РАСТВОРИТЕЛЯ
Как указывалось выше, решающее влияние на процесс может оказывать растворитель. Много лет тому назад мы обнаружили, что комплексы типа 1 и 2 можно использовать в полярных растворителях. Так, нам удалось синтезировать ПЭ в водной среде. Клабунде утверждал, что его работа была начата с целью создания новых каталитических систем, стабильных к кислородсодержащим соединениям, что, по нашему мнению, представляет несомненный интерес.
Для коммерческой реализации SHOP-процесса решающую роль сыграла стабильность Ni-комплексов к полярным растворителям [1, 5, 18]. Олигомеризацию ос-олефинов можно было проводить в полярных растворителях, таких как многоатомные спирты или ацетонитрил, которые практически не смешиваются с а-олефинами, образующимися в ходе каталитической реакции. Находящиеся в другой фазе ос-олефины легко отделяются. Ниже приведена схема потоков этого двухфазного каталитического процесса.

Комплекс 1 растворяется в полярном растворителе, который не смешивается с образующимися а-олефинами. В сепараторе ос-олефины отделяются от катализатора 1, который может быть возвращен в рецикл. Насколько нам известно, указанный каталитический процесс представляет собой первый случай использования двухфазного катализа, нашедшего впоследствии широкое применение [19].
Компании "GulfResearchandDevelopment", "UnionCarbideCorporation", "MobilChemical" достигли больших успехов в применении двухфазных схем с использованием хелатных комплексов, содержащих лиганды Т|2 -Рл О.
Бич и Гаррисон из компании "GulfResearchandDevelopment" запатентовали комплексы типа 20, которые ведут процесс в среде метанола [20]:

(R, - Rg = одинаковые или разные Н, алкилы С, .2 4, арилы С6 _20 , алкенилы С2 .30 , циклоалкилы С3 _40 , аралкилы и алкарилы С6 .40 , галоген-, ОН-, алкокси группы; Z = Р, As, Sb). Например, илид Ni (R1 - R6 = Ph, R7 = S03 Na, R8 = Ph; Z = E = P; Y = 0).
Мюррей из "UnionCarbide" синтезировал целый набор лигандов типа 21 [21].

После реакции комплекса 21 с (COD)2 Ni эти соединения дают катализаторы олигомеризации этилена в полярных растворителях.
И, наконец, Киссин из компании "Mobil" синтезировал комплекс 22, который также работает в среде полярного растворителя.

СПИСОК ЛИТЕРАТУРЫ
1. Keim W., et al. Shell Dev. Сотр. US Pat. 3635937, 1972; 3647914, 1972; 3647915, 1972; 3686159, 1972; Kowaldt F.H., Keim W., Goddard R., Kruger С. // Angew. Chem. Int. Ed. Engl. 1978. V. 17. № 7. P. 466. Peuckert M., Keim W. // Organomettalics. 1983. V. 2. P. 594; Keim W. //Chem.-Ing. Tech. 1984. V. 56. P. 850; Keim W. // Angew. Chem. Int. Ed. Engl. 1990. V. 29. P. 235.
2. Muller U., Keim W., Kruger C, Betz P. // Angew. Chem. Int. Ed. Engl. 1989. V. 28.P. 1011; Andrews P., Evans J. IУJ. Chem. Soc, Chem. Commun. 1993. P. 1246.
3. Kowaldt F.H., Keim W. // Compendium Dtsch. Ges. Mineralowiss. Kohlechem. 1978. V. 78/79. P. 453.
4. Keim W., Schulz R.P. // J. Molec. Cat. (in print).
5. Keim W. // Chem.-Ing. Tech. 1984. V. 56. P. 850; Freitas E.R., Gum C.R. // Chem. Eng. Prog. 1979. P. 73;
6. Lutz E.F. // J. Chem. Educ. 1986. P. 202.
