| Похожие рефераты | Скачать .docx |
Курсовая работа: Водородная связь
Введение
Помимо различных гетерополярных и гомеополярных связей, существует еще один особый вид связи, который в последние два десятилетия привлекает все большее внимание химиков. Это так называемая водородная связь. Оказалось, что атом водорода может образовывать связь между двумя электроотрицательными атомами (F, О, N, реже Сl и S). Известны случаи, когда эту связь образует водородный атом, связанный с атомом углерода в соединениях типа НСХ3, где X — электроотрицательный атом или группа (например, в HCN, фторуглеводородах). Хотя в настоящее время природа водородной связи еще до конца не выяснена, однако определённое представление о ней уже можно составить.
Водородная связь образуется между электроотрицательными атомами, из которых хотя бы один имеет свободную электронную пару, например:

Водородная связь — глобальное явление, охватывающее всю химию.
1. Сущность и природа водородной связи
Первую научную трактовку водородной связи дали в 1920 году В. Латимер и В.Родебуш, работавшие в лаборатории Г. Льюиса, основоположника учения о ковалентной связи, автора теории кислот и оснований и плодотворной в органической химии концепции обобщенной электронной пары. Причину особых физических и химических свойств воды авторы объясняли наличием водородной связи, сущность которой состоит во взаимодействии атома водорода одной молекулы с электронной парой атома кислорода другой молекулы. При этом атом водорода становится одновременно связанным с двумя атомами кислорода ковалентной и водородной связью:

За все последующее время вплоть до наших дней не изменился принципиальный подход к трактовке водородной связи, концепция неподелённого протона осталась незыблемой. Длительные и интенсивные исследования позволили уточнить влияние структуры соединений на склонность к образованию Н-связей, внесена определенная ясность в электронную природу последних, найдены надежные методы их идентификации. А главное - сделаны широкие обобщения по оценке влияния Н-связей на физические и химические свойства веществ. Бутлеровский тезис “структура определяет свойства” раскрывается с учетом возможности образования Н-связи и ее вклада в конкретные свойства. Ниже представлен итоговый материал по изучению вопросов, связанных с проблемой водородной связи.
По современной терминологии, образование водородной связи наступает при взаимодействии протонодонора (кислоты Бренстеда, электроноакцептора) с протоноакцептором (основанием, электронодонором). Для схематичного представления обсуждаемых процессов молекулу протонодонора обозначим А-Н (а для случаев, когда необходимо указать природу атома, ковалентно связанного с водородом, R-X-H). Протоноакцептор обозначим: В (символическое обозначение как основания в целом, так и атома с неподеленной парой электронов) или B-Y. С учетом принятой символики водородную связь можно представить как невалентное взаимодействие между группой Х-Н одной молекулы и атомом В другой, в результате которого образуется устойчивый комплекс А-Н…В с межмолекулярной водородной связью, в котором атом водорода играет роль мостика, соединяющего фрагменты А и В. Отметим, что до настоящего времени нет однозначного подхода, какую конкретно связь называть водородной. Большинство авторов к понятию водородной связи относят дополнительное взаимодействие, которое возникает между атомом водорода и электронодонором В, то есть связь Н…В. Другие авторы к понятию водородной связи относят всю цепочку Х-Н…В, то есть связь между атомами Х и В через водородный мостик. Ориентируясь на большинство, характеристики водородной связи (длина, энергия) будем относить к связи Н…В, сознавая, что образование последней не может не сказаться на состоянии ковалентной связи Х-Н.
На ранних этапах изучения водородной связи полагали, что водородный мостик образуется только между атомами с высокой электроотрицательностью (F, O, N). В последние десятилетия, когда в руках исследователей появилось более совершенное оборудование, круг атомов - партнеров по водородному связыванию значительно расширен (Cl, S и некоторые другие). В качестве атома Х может фигурировать любой атом, более электроотрицательный по сравнению с атомом водорода и образующий с последним обычную химическую связь (например, атом углерода). В роли акцептора атома водорода могут выступать как атомы с неподеленными парами электронов (в отдельных случаях даже аргон и ксенон), так и соединения, имеющие π-связи.
Рассмотрев природу соединений, потенциально способных к образованию Н-связи, легко убеждаемся, что образование водородной связи может быть представлено как кислотно-основное взаимодействие, определяющее первую стадию переноса протона при протолитических реакциях.
![]()
![]()
![]()
![]()
![]()
A-H + :BA-H…BA-…H-B+
A- + HB+
Такие взаимодействия наблюдаются в растворах кислот. Когда же продукт А-Н не обладает выраженной кислотностью или при отсутствии соответствующего растворителя процесс кислотно-основного взаимодействия останавливается на стадии молекулярного комплекса.
Несмотря на всеобщее признание Н-связей, в литературе так и не сформировалось единой точки зрения на природу этого явления. Вопрос до сих пор продолжает оставаться дискуссионным. Прежде чем изложить современный взгляд на природу сил, обусловливающих образование водородных связей, отметим наиболее существенные экспериментальные факты, сопровождающие этот процесс.
I. При образовании водородных связей выделяется теплота - термохимическая мера энергии Н-связи. Эту характеристику используют для калибровки спектральных методов изучения водородных связей.
II. Расстояние между соседними атомами, участвующими в образовании водородной связи, значительно меньше суммы их ван-дер-ваальсовых радиусов. Так, в воде расстояние между атомами кислорода в системе О-Н…О составляет 0,276 нм. Если принять, что длина ковалентной связи О-Н равна 0,1 нм, то длина связи Н…О составит 0,176 нм, то есть она значительно (примерно на 70%) длиннее ковалентной связи между этими атомами. Тем не менее связь Н…О оказывается значительно короче суммы ван-дер-ваальсовых радиусов, составляющих для водорода и кислорода соответственно 0,12 и 0,14 нм. Последнее обстоятельство является од-
ним из критериев, указывающих на образование между молекулами водородных связей.
III. Водородная связь увеличивает длину связи Х-Н, что приводит к смещению соответствующей полосы валентных колебаний в ИК-спектре в сторону более низких частот. Метод ИК-спектроскопии является главным методом изучения водородной связи.
IV. При образовании водородной связи полярность связи Х-Н возрастает, что приводит к повышению дипольного момента молекулярного комплекса в сравнении с расчетными данными, полученными путем векторного сложения диполей молекул R-X-H и B-Y.
V. Протоны, участвующие в водородной связи, характеризуются более низкой электронной плотностью, поэтому они деэкранируются, что приводит к существенному смещению соответствующих резонансных сигналов в спектрах ЯМР 1 Н в слабое поле. Протонный магнитный резонанс наряду с ИК-спектрами является наиболее чувствительным к образованию Н-связи.
VI. Для межмолекулярных водородных связей обнаружено смещение кислотно-основного равновесия молекулярный комплекс ионная пара вправо при повышении полярности растворителя.
Кроме указанных фиксируются и другие структурные и спектроскопические особенности водородных связей, которые используются, с одной стороны, для идентификации последних, а с другой – в расшифровке их электронной природы. Так как водородная связь возникает только в том случае, если атом водорода связан с электроотрицательным атомом, то ранее предполагалось, что природа водородной связи сводится к диполь-дипольному взаимодействию типа R-X- d -H+ d …B- d -Y, которое еще называют электростатическим взаимодействием. Такое предположение подкрепляется тем фактом, что наиболее прочные водородные связи образуются атомами водорода, связанными с наиболее электроотрицательными элементами. Более высокую прочность водородной связи по сравнению с неспецифическим диполь-дипольным взаимодействием (примерно в 10 раз) можно объяснить маленьким размером атома водорода, благодаря чему он может ближе подойти к другому диполю. Дипольная модель объясняет также линейную геометрию водородной связи, так как при линейном расположении атомов силы притяжения максимальны, а силы отталкивания минимальны.
Однако не все экспериментальные факты, фиксируемые при изучении водородных связей, можно объяснить исходя лишь из диполь-дипольного взаимодействия. Не удается заметить никакой закономерной зависимости между энергией водородной связи и дипольным моментом или поляризуемостью взаимодействующих молекул. Небольшая длина водородных связей свидетельствует о существенном перекрывании ван-дер-ваальсовых радиусов. А простая электростатическая модель не учитывает перекрывания волновых функций, перераспределения электронной плотности при сближении молекул. Решить эти вопросы можно, допустив, что водородная связь носит частично ковалентный характер за счет донорно-акцепторного взаимодействия электронодонора В с электоноакцептором А-Х-Н. Повышение электронной плотности на атоме Х происходит через посредника - водородный мостик. При этом допускается частичное заполнение несвязывающей орбитали атома водорода.
Таким образом, Н-связи образуются в результате одновременного проявления следующих сил: электростатического взаимодействия и переноса заряда. Квантово-химические расчеты показывают, что основной вклад вносит первая составляющая. В водородных связях, значительно отличающихся по энергетическим характеристикам, соотношение этих вкладов также изменяется. Есть и другие объяснения природы водородной связи, не получившие общего признания.
Заканчивая рассмотрение вопроса о природе Н-связи, можно отметить, что химику-практику легче признать существование этого феномена, чем объяснить его природу. Многообразие водородных связей является причиной отсутствия единого подхода к их трактовке. Трудно даже представить себе, что природу водородных связей в дифторид-анионе (FHF)- и в системе С-H…Cl можно объяснить с единых позиций. Одна из трудностей заложена в природе главного действующего лица - атома водорода, который не может иметь на внешней оболочке больше двух электронов. Поэтому концепция двухкоординированного атома водорода воспринимается неоднозначно. Скорее всего, единого подхода к объяснению природы Н-связи и не будет. Будет создана какая-то обобщающая модель, учитывающая вклад разных по природе сил, то есть значительно расширенный вариант того, что мы имеем в настоящее время.
2. Определение водородной связи
Связь, которая образуется между атомов водорода одной молекулы и атомом сильно электроотрицательного элемента (O, N, F) другой молекулы, называется водородной связью .
Может возникнуть вопрос: почему именно водород образует такую специфическую химическую связь?
Это объясняется тем, что атомный радиус водорода очень мал. Кроме того, при смещении или полной отдаче своего единственного электрона водород приобретает сравнительно высокий положительный заряд, за счет которого водород одной молекулы взаимодействует с атомами электроотрицательных элементов, имеющих частичный отрицательный заряд, выходящий в состав других молекул (HF, H2 O, NH3 ).
Рассмотрим некоторые примеры. Обычно мы изображаем состав воды химической формулой H2 O. Однако это не совсем точно. Правильнее было бы состав воды обозначать формулой (H2 O)n, где n = 2,3,4 и т. д. Это объясняется тем, что отдельные молекулы воды связаны между собой посредством водородных связей.
Водородную связь принято обозначать точками. Она гораздо более слабая, чем ионная или ковалентная связь, но более сильная, чем обычное межмолекулярное взаимодействие.
Наличие водородных связей объясняет увеличения объема воды при понижении температуры. Это связано с тем, что при понижении температуры происходит укрепление молекул и поэтому уменьшается плотность их «упаковки».
При изучении органической химии возникал и такой вопрос: почему температуры кипения спиртов гораздо выше, чем соответствующих углеводородов? Объясняется это тем, что между молекулами спиртов тоже образуются водородные связи.
Повышение температуры кипения спиртов происходит также вследствие укрупнения их молекул. Водородная связь характерна и для многих других органических соединений (фенолов, карбоновых кислот и др.). Из курсов органической химии и общей биологии известно, что наличием водородной связи объясняется вторичная структура белков, строение двойной спирали ДНК, т. е. явление комплементарности.
3. Виды водородной связи
Существует два вида водородной связи внутримолекулярная и межмолекулярная водородные связи. Если водородная связь объединяет части одной молекулы, то говорят о внутримолекулярной водородной связи. Это особенно характерно для многих органических соединений. Если же водородная связь образуется между атомом водорода одной молекулы и атомом неметалла другой молекулы (межмолекулярная водородная связь), то молекулы образуют довольно прочные пары, цепочки, кольца. Так, муравьиная кислота и в жидком и в газообразном состоянии существует в виде димеров:

а газообразный фтороводород содержат полимерные молекулы, включающие до четырех частиц HF. Прочные связи между молекулами можно найти в воде, жидком аммиаке, спиртах. Необходимые для образования водородных связей атомы кислорода и азота содержат все углеводы, белки, нуклеиновые кислоты. Известно, например, что глюкоза, фруктоза и сахароза прекрасно растворимы в воде. Не последнюю роль в этом играют водородные связи, образующиеся в растворе между молекулами воды и многочисленными OH-группами углеводов.
4. Энергия водородной связи
Существуют несколько подходов к характеристике водородных связей. Основной критерий – это энергия водородного связывания (R–X–H… B–Y), которая зависит как от природы атомов Х и В, так и общего строения молекул RXH и BY. Большей частью она составляет 10–30 кДж/моль, но в некоторых случаях может достигать 60–80 кДж/моль и даже выше. По энергетическим характеристикам различают сильные и слабые водородные связи. Энергия образования сильных водородных связей составляет 15–20 кДж/моль и более. К ним относят связи О–H… О в воде, спиртах, карбоновых кислотах, связи О–Н… N, N–H… O и N–H… N в соединениях, содержащих гидроксильные, амидные и аминные группы, например в белках. Слабые водородные связи имеют энергию образования менее 15 кДж/моль. Нижним пределом энергии водородной связи является 4–6 кДж/моль, например связи С–Н… О в кетонах, эфирах, водных растворах органических соединений.
Наиболее прочные водородные связи образуются в случаях, когда маленький водород (жесткая кислота) одновременно связан с двумя малыми по размеру сильно электроотрицательными атомами (жесткие основания). Орбитальное соответствие обеспечивает лучшее кислотно-основное взаимодействие и приводит к образованию более прочных водородных связей. То есть образование сильных и слабых водородных связей можно объяснить с позиций концепции жестких и мягких кислот и оснований (принцип Пирсона, принцип ЖМКО).
Энергия Н-связи возрастает с увеличением положительного заряда на атоме водорода связи Х-Н и с повышением протоноакцепторности атома В (его основности). Хотя образование водородной связи рассматривается с позиций кислотно-основного взаимодействия, однако энергия образования Н-комплексов нестрого коррелируется как со шкалой кислотности, так и со шкалой основности.
Подобная картина наблюдается и в случае меркаптанов и спиртов. Меркаптаны являются более сильными кислотами, чем спирты, однако более прочные ассоциаты образуют спирты. Причина таких кажущихся аномалий вполне объяснима, если учесть, что кислотность определятся величиной pКа по результатам полной схемы кислотно-основного взаимодействия (до образования сольватированных ионов), а образование молекулярного комплекса с Н-связью только первый этап этого процесса, не предусматривающий разрыва связи Х–Н. В инертных растворителях кислотно-основное взаимодействие обычно останавливается на стадии Н-комплекса.
Что касается основности органических соединений и их способности принимать участие в образовании Н-связи, то здесь тоже наблюдаются большие различия. Так, при одной и той же способности к образованию водородных связей степень основности аминов на 5 порядков выше, чем у пиридинов, и на 13 порядков выше, чем у замещенных карбонильных соединений.
На основе экспериментальных данных установлена линейная корреляция между степенью переноса заряда и энергией межмолекулярных Н-связей, являющаяся важным доводом в пользу донорно-акцепторной природы последних. Существенное влияние на образование водородной связи могут оказывать стерические факторы. Например, орто-замещенные фенолы менее склонны к самоассоциации, чем соответствующие мета- и пара-изомеры, полностью отсутствует ассоциация у 2,6-ди-трет .-бутилфенола. С повышением температуры количество молекулярных комплексов в смеси уменьшается, и они значительно реже встречаются в газовой фазе.
В начале курсовой было отмечено, что водородная связь занимает промежуточное положение между истинной (валентной) химической связью и слабым межмолекулярным взаимодействием. Куда ближе? Ответ неоднозначный, так как диапазон колебаний энергий Н-связей довольно широк. Если же речь идет о сильных водородных связях, способных оказывать существенное влияние на свойства веществ, то они ближе к истинным химическим связям. И это определяется не только довольно высокой энергией Н-связи, но и тем, что она локализована в пространстве, водородный мостик имеет своих “персональных” партнеров. Направление действия водородной связи также фиксировано, хотя и не столь жестко, как для истинных химических связей.
5. Водородные связи с свойства органических соединений
Водородная связь возникает при взаимодействии кислотных Х–Н и основных В групп, принадлежащих одной или разным молекулам. При объединении одинаковых молекул образуются ассоциаты, объединение разных молекул принято называть молекулярными комплексами (Н-комплексами). Такие взаимодействия составляют самый обширный класс Н-связей, называемых межмолекулярными водородными связями. Межмолекулярные взаимодействия не ограничиваются образованием бинарных комплексов, а могут приводить к структурам со множественными связями (вода, фтористый водород, спирты, фенолы, амиды, полипептиды, белки). Межмолекулярные водородные связи могут приводить к образованию цепей, колец или пространственных сеток. Аналогичные образования сохраняются и в кристаллах.
Если Н-связывание наступает в результате взаимодействия кислотного и основного фрагментов внутри одной молекулы, то образующиеся связи называют внутримолекулярными. Соединения с такими связями составляют другую большую группу соединений с водородной связью. Естественно, что образование внутримолекулярных водородных связей возможно, если структура молекулы допускает пространственное сближение фрагментов Х–Н и В до длины водородной связи. Возможность образования внутримолекулярной водородной связи не является препятствием для образования и межмолекулярных водородных связей. В качестве примера рассмотрим изомерные орто- и парагидроксибензальдегиды. Салициловый альдегид (орто-изомер) способен к образованию как внутри-, так и межмолекулярных водородных связей, тогда как для пара-изомера положение взаимодействующих групп допускает образование только межмолекулярных водородных связей


Экспериментально довольно легко отличить внутримолекулярную водородную связь от межмолекулярной. Если спектрально фиксируется образование Н-связей, а признаков ассоциации нет, это верное указание на внутримолекулярный характер водородной связи. Кроме того, межмолекулярная Н-связь (и ее спектральное проявление) исчезает при низкой концентрации вещества в нейтральном растворителе, тогда как внутримолекулярная Н-связь в этих условиях сохраняется.
Водородные связи влияют на перераспределение электронной плотности в молекулах, что не может не отразиться на свойствах веществ. В случае слабых водородных связей изменение электронной плотности протекает в основном в пределах фрагмента Х–Н… В. С увеличением энергии водородной связи перераспределение электронной плотности затрагивает все атомы молекул, входящих в молекулярный комплекс, что в конечном итоге приводит к глубоким изменениям физических и химических свойств веществ. На свойства органических соединений оказывают значительное влияние как внутри-, так и межмолекулярные водородные связи. Влияние последних, особенно на физические свойства, является более существенным, так как межмолекулярные взаимодействия приводят к увеличению молекулярной массы со всеми вытекающими последствиями.
Теперь попытаемся ориентировочно оценить, насколько широко представлены водородные связи в органической химии. Все органические соединения за самым редким исключением содержат водород, то есть являются кислотами Бренстеда, а наиболее часто входящие в их состав элементы-органогены (O, N, S, галогены) содержат неподеленные пары электронов и могут выступать в качестве основных центров. Учитывая отмеченное, можно сказать, что большинство органических соединений потенциально способно к образованию водородных связей. По структурной формуле (природа взаимодействующих групп и их взаимное расположение) можно предсказать силу водородных связей и их характер (внутри- или межмолекулярные). При оценке взаимного влияния атомов в молекулах обязательно учитываются возможность образования водородных связей и их последующее влияние на скорость, механизм и направление реакций. Оценить влияние среды (растворителя) на ход химического процесса часто становится возможным лишь с учетом образования водородных связей. Таким образом, подготовка грамотного химика невозможна без овладения всем комплексом вопросов, связанных с водородной связью.
Рассмотрим несколько наиболее характерных примеров влияния водородных связей на свойства органических соединений. Прежде всего это так называемые прототропные процессы – превращения, связанные с переносом протона. Известно, что енольные структуры (гидроксильная группа находится при углероде с кратной связью =С–ОН) являются неустойчивыми и в органической химии часто такие формулы берут в квадратные скобки как указание на их нереальность, гипотетичность. В то же время β-дикетоны и другие 1,3-дикарбонильные соединения способны существовать в двух формах: кетонной и енольной. Для ацетоуксусного эфира эти превращения могут быть представлены схемой

Образование энергетически менее выгодной енольной формы объясняется как формированием системы сопряженных связей С=С–С=О, что всегда является стабилизирующим фактором, так и тем обстоятельством, что между енольным гидроксилом и карбонильным кислородом образуется внутримолекулярная водородная связь, понижающая свободную энергию енольной формы как путем “закрепления” атома водорода у более электроотрицательного элемента, так и в результате удлинения цепи сопряжения (Н-связь включена в круговую цепь сопряжения). С учетом водородных связей не только объясняют реальность енольной структуры, но и количество этой формы в таутомерной системе. На состояние кето-енольного равновесия большое влияние оказывает природа растворителя. Максимальное количество енольной формы отмечается в нейтральных неполярных растворителях (углеводороды). В водных растворах количество енольной формы незначительно, так как вода конкурентно образует с карбонильным кислородом межмолекулярные водородные связи, разрушая стабилизирующие енольную форму внутримолекулярные водородные связи.
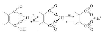
Карбоновые кислоты, как и спирты, могут участвовать в образовании Н-связей как в роли Н-доноров, так и Н-акцепторов. В первом случае кислотность снижается, во втором возрастает. Это ярко проявляется при ионизации двухосновных кислот: первая константа диссоциации (K 1 ) аномально велика, а вторая (K 2 ) аномально мала. Для объяснения наблюдаемых экспериментальных результатов кроме электронных эффектов большая роль придается вкладу Н-связей. В исходной структуре Н-связь сильно активирует карбоксильную группу, выступающую в роли Н-акцептора. В образовавшемся на первой стадии диссоциации моноанионе образуется прочная внутримолекулярная Н-связь, резко снижающая кислотность второго карбоксила:

Для карбоновых кислот характерно образование Н-комплексов и ассоциатов псевдоциклической структуры:

Межмолекулярные связи, возникающие между молекулами карбоновых кислот, настолько прочны, что даже в газообразном состоянии димерные структуры частично сохраняются. Кстати, образование димера карбоновой кислоты помогает дать ответ на давний вопрос, что в большей степени определяет прочность водородной связи – кислотность группы Х–Н или основность фрагмента В. Уксусная кислота (pKa = 4,7) по кислотности на несколько порядков уступая трихлоруксусной (pKa = 0,6), тем не менее образует более прочный димер. Основность протоноакцептора имеет приоритет перед кислотностью протонодонора.
Известно, что геминальные дигидроксипроизводные являются нестабильными соединениями – дегидратируясь легко превращаются в соответствующие альдегиды или кетоны. Хлоральгидрат является одним из немногих примеров, когда структура гем- диола является стабильной. И причину этого объясняют как сильным отрицательным индукционным эффектом (-I-эффект) трихлорметильной группы, так и наличием внутримолекулярных Н-связей:

Не имея возможности остановиться на других примерах влияния водородной связи на свойства органических соединений, приведем таблицу сравнительных характеристик проявления меж- и внутримолекулярных Н-связей (табл. 1 (по [1])).

Образование внутри- и межмолекулярных водородных связей может существенно влиять на ход и скорость химических реакций. К сожалению, несмотря на значительное количество работ, посвященных этому вопросу, широких обобщений, которые имели бы предсказательную силу, не последовало. В самых общих чертах показано, что скорость реакций может уменьшаться или увеличиваться в зависимости от того, как при образовании Н-связи будет перераспределяться электронная плотность в реакционных центрах молекулы. Такие вопросы, как природа промежуточных продуктов или активированного комплекса, изменение термодинамических функций, влияние соседних групп, не получили должного развития. Более определенно дана оценка роли растворителя.
Известно много эмпирических подходов. Так, в реакциях алкилирования соединений, содержащих связи О–Н, S–H, N–H, введение в реакционную среду фторида калия (фторид-анион F− является самым эффективным протоноакцептором) значительно увеличивает скорости реакций и выходы продуктов алкилирования. Большая роль водородным связям отводится в реакциях, проводимых в растворителях, способных образовывать Н-связи как с исходными соединениями, так и с продуктами их взаимодействия.
Заключение
Представленная информация о водородной связи указывает на ее широкую распространенность и многообразие условий, в которых она может возникать. Описание природы Н-связей является менее строгим, чем, например, трактовка валентных химических связей. Не существует даже общепринятого определения Н-связей. В то же время реальное существование водородных связей и их способность влиять на структуру и свойства веществ общепризнаны и давно приняты на вооружение химиками-практиками.
Роль водородных связей в живой материи определяется не только тем, что без Н-связей нельзя себе представить структуру белков (носителей жизни) или двойную спираль нуклеиновых кислот. Без водородных связей совершенно иными были бы физические и химические свойства самого распространенного вещества на Земле – воды, в которой и зародилась жизнь.
Похожие рефераты:
Развитие, становление и основные аспекты фармации
Влияние технологических добавок на структуру и свойства резин
Межпредметные связи в курсе школьного предмета химии на предмете углерода и его соединений
Компьютерные технологии при изучении темы "Молекулярные перегруппировки"
Создание научных основ обеззараживания и очистки воды на основе нанотехнологии
Химический эксперимент по неорганической химии в системе проблемного обучения
Применение проблемного обучения при изучении темы: "Предельные одноосновные кислоты"
ИК-спектральное проявление водородных связей
Исследование каталитических свойств полимерных комплексов
Нитрование ароматических углеводородов. Производство нитро-бензола
Физико-химические свойства и методы контроля качества товаров
Технология получения полисахарида хитозана из хитина, выделяемого из панцирей ракообразных