| Скачать .docx |
Реферат: Взаимодействие ПАВ с поверхностно-активными полимерами
Контрольная работа
по биологии
Содержание
1. Индуцированное полимерами агрегирование ПАВ
2. Притяжение между полимером и поверхностно-активным веществом: влияние природы обоих компонентов
3. Сильная ассоциация ПАВ с поверхностно-активными полимерами
4. Аналогия между взаимодействием ПАВ с поверхностно-активными полимерами и образованием смешанных мицелл
1. Индуцированное полимерами агрегирование ПАВ
Важнейшим свойством ПАВ является их способность снижать поверхностное натяжение между водным раствором и любой другой фазой. В случае ионных ПАВ это свойство существенно зависит от присутствия в растворе полимера. Влияние полимера на поверхностное натяжение водных растворов зависит от концентрации ПАВ (рис. 1). При низких концентрациях ПАВ иногда, в зависимости от поверхностной активности полимера, наблюдается понижение поверхностного натяжения. При некоторой концентрации на изотермах поверхностного натяжения наблюдается излом и достигается более или менее постоянное значение поверхностного натяжения. Тогда в некотором концентрационном интервале, зависящем от концентрации полимера, значение поверхностного натяжения (г) остается постоянным. Далее наблюдается его уменьшение до величины, характерной для раствора ПАВ в отсутствие полимера.
Такой вид концентрационной зависимости поверхностного натяжения растворов ПАВ в присутствии полимера можно объяснить следующим образом. При некоторой концентрации, которую принято называть критической концентрацией ассоциации (ККА), начинается ассоциация молекул ПАВ и полимера. По этой причине при дальнейшем увеличении концентрации ПАВ его активность не увеличивается, и поверхностное натяжение остается постоянным. При насыщении полимера молекулами ПАВ концентрация последнего и активность снова начинают расти, а поверхностное натяжение уменьшается вплоть до достижения KKM поверхностно-активного вещества, после чего в растворе начинают формироваться обычные мицеллы ПАВ.

Рис. 1. а — Зависимости поверхностного натяжения растворов додецилсульфата натрия (ДСН) от его концентрации в присутствии поливинилпирролидона (ПВП), введенного в растворы ПАВ в различных концентрациях; б — Схематическое представление концентрационной зависимости поверхностного натяжения смешанных растворов полимера и ПАВ. Для сравнения приведены соответствующие зависимости для системы, содержащей только ПАВ
Такую картину взаимодействий в смесях ПАВ и полимера в воде можно подтвердить, если ассоциацию ПАВ наблюдать экспериментально. Соответствующие данные можно получить, используя ПАВ-селективные электроды, равновесный диализ, измерения самодиффузии и некоторые спектроскопические методы. Как видно из изотермы связывания, приведенной на рис. 2, при низких концентрациях ПАВ компоненты практически не взаимодействуют между собой. В точке KKA происходит сильное кооперативное взаимодействие. При более высоких концентрациях зависимость выходит на плато, а затем снова наблюдается увеличение концентрации свободных молекул ПАВ или активности ПАВ до тех пор, пока изотерма связывания не сольется с кривой, полученной в отсутствие полимера. Таким образом, из рис. 2 следует явная аналогия между ми-целлообразованием и интерпретацией изотермы связывания через понижение ККМ.

Рис. 2. Изотерма связывания ПАВ полимером, не имеющим выраженных гидрофобных остатков. Изотерма показывает количество связанного ПАВ в зависимости от концентрации свободного ПАВ. Зависимость можно интерпретировать как понижение KKM ПАВ полимером или как сильное кооперативное связывание
Приведенное объяснение подтверждается исследованиями солюбилизации (рис. 3). Кривые солюбилизации в присутствии полимера сдвинуты в сторону более низких концентраций ПАВ, а по виду они аналогичны зависимостям, полученным в отсутствие полимера. По точкам излома можно оценить значения KKM или ККА, которые уменьшаются так же, как при увеличении длины алкильной цепи молекул ПАВ в отсутствие полимера.

Рис. 3. Зависимость количества солюбилизированного красителя оранжевого ОТ смесями алкил сульфатов натрия с гидрофобными группами различной длины (Cio-Cio) и поливинилпирролидона (ПВП) от концентрации ПАВ. Результаты подтверждают точку зрения об индуцировании мицеллообразования полимером
Экспериментальные результаты исследований ассоциации в смешанных растворах ПАВ и полимера можно обобщить следующим образом (см. рис. 4).
1) KKA и KKM слабо зависят от концентрации полимера в широком диапазоне концентраций.
2) KKA и KKM в первом приближении не зависят от молекулярной массы полимера. При очень низкой молекулярной массе взаимодействие между компонентами ослабевает.
3) Протяженность плато на изотермах связывания увеличивается линейно с ростом концентрации полимера.
4) Анионные ПАВ взаимодействуют практически со всеми гомополимерами, взаимодействие катионных ПАВ с полимерами выражено слабее. Неионные и цвиттерионные ПАВ редко взаимодействуют с гомополимерами.
2. Притяжение между полимером и поверхностно-активным веществом: влияние природы обоих компонентов
Для описания свойств растворов смесей полимера с ПАВ используются два подхода:
1) взаимодействие рассматривается в рамках сильной кооперативной ассоциации или связывания молекул ПАВ с полимером;
2) взаимодействие представляется моделью мицеллообразования на полимерной цепи или вблизи нее. Эти модели в какой-то мере перекрываются и широко используются в литературе. В то же время модель связывания больше подходит для описания взаимодействия ПАВ и полимеров с гидрофобными группами, а для взаимодействия ПАВ с гидрофильными гомополимерами преимущественно применима модель мицеллообразования.

Рис. 4. Ассоциация гомополимера с ПАВ в различных концентрационных областях. I— При низких концентрациях ПАВ ассоциации не происходит при любых концентрациях полимера. II — При концентрациях выше KKA ассоциация увеличивается вплоть до определенной концентрации ПАВ, которая линейно растет с увеличением концентрации полимера. III — Ассоциация достигает насыщения и концентрация молекулярного ПАВ увеличивается. IV — Область сосуществования ассоциатов ПАВ с полимерными цепями и свободных мицелл ПАВ.
Приведенная диаграмма схематична, но она дает удовлетворительное описание поведения смесей ионных ПАВ и незаряженных гомополимеров в водных растворах
Структура агрегата в смешанных растворах ионных ПАВ и гомополимеров представляется общепринятой моделью «жемчужного ожерелья» (рис. 5): молекулы ПАВ образуют вдоль полимерной цепи мицеллоподобные кластеры. Размер мицелл на полимере совпадает с размерами, характерными для мицелл в водных растворах ПАВ в отсутствие полимера; числа агрегации также близки либо немного ниже, чем в отсутствие полимера в системе.
В присутствии полимера химический потенциал ПАВ понижен по сравнению с водными растворами без добавок полимера (рис. 6).
За связывание ПАВ или мицеллообразование на полимерной цепи отвечают взаимодействия различной природы. Во многих отношениях эти взаимодействия аналогичны взаимодействиям, приводящим к мицеллообразованию в отсутствие полимера. Об этом свидетельствуют данные, полученные при исследовании влияния длины алкильной цепи ПАВ на взаимодействие с полимером, структуры и динамики мицелл и солюбилизации. Изменение свободной энергии системы при ассоциации в основном определяется гидрофобными взаимодействиями алкильных цепей с гидрофобными группами полимера. Но на это взаимодействие оказывает влияние, по крайней мере, один из двух следующих факторов.

Рис. 5. Модель «жемчужного ожерелья», описывающая ассоциацию ПАВ с полимером

Рис. 6. В присутствии полимера химический потенциал может уменьшаться, что приводит к мицеллообразованию при более низких концентрациях. Приведена зависимость химического потенциала м, деленного на кТ, от логарифма концентрации ПАВ. В присутствии полимера химический потенциал понижен, что индуцирует мицеллообразование на полимере при более низкой концентрации (ККА), чем в отсутствие полимера (ККМ)
В случае полимеров с протяженными гидрофобными участками или гидрофобными группами гидрофобные взаимодействия возникают между соответствующими участками полимера и гидрофобными «хвостами» молекул ПАВ. Такие взаимодействия особенно сильны для блок-сополимеров с гидрофобными и гидрофильными блоками и для привитых сополимеров, в которых гидрофобные группы привиты к гидрофильной основной цепи. Но и гомополимеры также могут иметь неполярные группы разной степени гидрофобное сильные, как в поли (стиролсульфонате), или слабые, как в поли (этиленгликоле). Полярность гидрофобных групп ПЭГ уменьшается с повышением температуры.
Электростатические взаимодействия, очевидно, существуют, если молекулы и полимера, и ПАВ заряжены. Если заряды противоположны по знаку, электростатические взаимодействия приводят к сильной ассоциации компонентов. Однако необходимо учитывать отталкивание между молекулами заряженного полимера, как и между заряженными молекулами поверхностно-активного вещества. Как уже обсуждалось ранее, в случае ионных ПАВ энтропийный проигрыш при самоассоциации ПАВ определяется повышенной концентрацией противо-ионов на поверхности агрегата по сравнению с их концентрацией в растворе. Такое изменение энтропии препятствует самоассоциации молекул и объясняет в том числе, почему KKM ионных ПАВ на порядок больше, чем KKM неионных ПАВ.
Молекулы полимера могут различным образом влиять на изменение энтропии в системе. Если молекулы полимера заряжены и несут такой же заряд, в системе просто будет проявляться умеренный электролитный эффект. Если заряд полимера противоположен по знаку, он действует как многовалентный электролит. Взаимодействие между компонентами усиливается, поскольку в результате ассоциации полимера с мицеллами ПАВ высвобождаются противоионы и полимера, и мицелл. Подобный эффект наблюдается и при взаимодействии двух противоположно заряженных полимеров. В таких случаях происходит уменьшение значений KKM на порядки.
Введение в растворы неионных веществ приводит к уменьшению KKM ионных ПАВ, как было показано на примере различных спиртов. Если молекулы этих веществ имеют слабо дифильный характер, они преимущественно локализуются на поверхности мицелл, приводя к уменьшению плотности заряда. В результате убыль энтропии при мицеллообразовании уменьшается. Этот механизм отвечает за умеренное понижение KKM ионных ПАВ, вызываемое поли (этиленгликолем) и некоторыми неионными полисахаридами.
Из приведенного обсуждения вытекает, что ионные ПАВ взаимодействуют с водорастворимыми полимерами самых разных типов. По крайней мере это справедливо для анионных ПАВ; сравнительно более слабое взаимодействие с полимерами катионных ПАВ объясняется более прочным связыванием мицеллами этих ПАВ противоионов. В то же время неионные ПАВ характеризуются слабой склонностного к взаимодействию с гидрофильными гомополимерами из-за отсутствия дополнительной стабилизации мицелл. Ранее указывалось, что неионные ПАВ ассоциируются с гомополимерами только в исключительных случаях. Ситуация коренным образом меняется в случае полимеров с гидрофобными участками, с которыми молекулы неионных ПАВ могут связываться за счет гидрофобных взаимодействий.
3. Сильная ассоциация ПАВ с поверхностно-активными полимерами
Модифицирование водорастворимых гомополимеров прививкой небольшого числа (обычно в реакцию вступает 1% мономерных звеньев) гидрофобных групп, например алкильных цепей, приводит к дифильным полимерным молекулам, склонным к самоассоциации за счет гидрофобных взаимодействий. Слабое агрегирование (рис. 7) макромолекул сопровождается увеличением вязкости и других реологических параметров. Этот эффект «ассоциирующих загустителей» используется при производстве красок и многих других промышленных продуктов для модифицирования их реологических свойств.
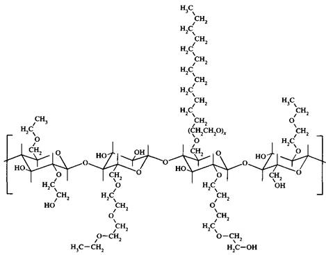
Вводимые в растворы полимеров ПАВ сильно взаимодействуют с гидрофобными группами полимера, что приводит к усилению ассоциации полимерных цепей и увеличению вязкости. В качестве примера на рис. 8 приведена структура гидрофобизированного неионного эфира целлюлозы. Введение додецил-сульфата натрия приводит к резкому увеличению вязкости гидрофобизированного эфира целлюлозы и практически не влияет на немодифицированный эфир целлюлозы (рис. 9). При большой концентрации ПАВ вязкостный эффект исчезает. Наблюдаемые эффекты лучше объясняются образованием смешанных мицелл между ПАВ и дифильным полимером. Для образования поперечных сшивок и, следовательно, проявления вязкостного эффекта необходимо, чтобы в мицеллообразовании принимало участие большое число гидрофобных групп полимера. При повышенных концентрациях ПАВ лишь одна гидрофобная группа полимера входит в состав смешанной мицеллы, что приводит к исчезновению эффекта «поперечных сшивок».

Рис. 7. Самоассоциация гидрофобизированных водорастворимых полимеров в присутствии ПАВ может усиливаться или, наоборот, снижаться в зависимости от стехиометрического соотношения компонентов
Повышение вязкости при добавлении ПАВ в растворы гидрофобизированных водорастворимых полимеров характерно для всех систем, но эффект сильно зависит от вклада электростатических взаимодействий. Как видно из рис. 10, добавки противоположно заряженных ПАВ к раствору гидрофобизированного полиэлектролита вызывают более сильный вязкостный эффект, чем неионные или одноименно заряженные ПАВ. Но и в последних случаях наблюдаются значительные эффекты, особенно если привитые гидрофобные цепи велики.

Рис. 8. Целлюлозу можно модифицировать относительно хаотичным введением гидроксиэтиль-ных и этильных групп с образованием этил(гидроксиэтил)целлюлозы (ЭГЭЦ). Для получения гидрофобизированной ЭГЭЦ вводят небольшое количество гидрофобных групп

Рис. 9. Введение додецилсульфата натрия в раствор гидрофобизированной целлюлозы (ЭГЭЦ) сначала приводит к резкому увеличению вязкости, а затем при увеличении концентрации ПАВ — к снижению до низких значений. Для немодифицированной целлюлозы изменения вязкости в присутствии ДСН незначительно

Рис. 10. Добавление ПАВ к раствору гидрофобизированного полиэлектролита (в данном примере — гидрофобизированный полиакрилат) приводит к различным изменениям вязкости в зависимости от типа поверхностно-активного вещества. Эффект проявляется гораздо сильнее в случае противоположно заряженных ПАВ (бромид додецилтриметиламмония, DTAB), чем при введении неионного ПАВ (С 12 Е5) или одноименно заряженного ПАВ (додецилсульфата натрия, SDS)
В смесях ПАВ и имеющих точки помутнения полимеров, полярность которых уменьшается при повышении температуры, могут образовываться термообратимые гели. Повышение температуры приводит к гелеобразованию, при охлаждении гель плавится. Подобные эффекты характерны также для смесей неионных ПАВ и гидрофобизированных водорастворимых полимеров, поскольку повышение температуры индуцирует рост мицелл либо переход от мицелл к везикулам или другим самоассоциированным структурам.
Гидрофобизированный водорастворимый полимер (ГП) можно рассматривать как модифицированное ПАВ. Такой полимер сам по себе образует мицеллы (или гидрофобные микродомены) при очень низких концентрациях (при бесконечном разбавлении внутримолекулярные мицеллы). Эти мицеллы могут солюбилизировать неполярные вещества. Более того, ГП и ПАВ, как правило, стремятся образовывать смешанные мицеллы подобно смесям двух ПАВ. Свойства систем ГП-ПАВ определяются двумя стехиометрическими соотношениями: стехиометрией алкильных цепей и стехиометрией зарядов.
Образование смешанных агрегатов в системах всегда превалирует, поэтому концентрация свободных молекул ПАВ понижается, и мицеллы, состоящие из индивидуального ПАВ, не образуются до тех пор, пока концентрация ПАВ не превысит концентрацию гидрофобных групп полимера. Из этого рассуждения можно понять вид изотермы связывания молекул ПАВ гидрофобизированным полимером, схематически представленной на рис. 11.
Взаимодействие ионного ПАВ с немодифицированным гомополимером характеризуется только участком кооперативного связывания. Изотерма связывания ионных ПАВ незаряженным ГП очень похожа на изотерму связывания ионных ПАВ мицеллами неионных ПАВ. На изотерме можно выделить три области. В первой происходит активное (с высоким сродством) некооперативное связывание отдельных молекул ионного ПАВ мицеллой неионного ПАВ или гидрофобизированным полимером. Когда число связанных молекул ионного ПАВ на мицеллу НПАВ превышает единицу, связывание становится антикооперативным, так как связывание молекулы ПАВ одноименно заряженной мицеллой невыгодно. И, наконец, при достижении концентрации свободного ПАВ, равной ККА, начинается самоассоциация ионного ПАВ в мицеллы на полимере. Этому соответствует область кооперативного связывания. В случае соответствующего немодифицированного гомополимера проявляется только эта область кооперативного связывания. Заметим, что KKA можно считать величиной критической концентрации мицелл образования для смешанных мицелл ПАВ-полимер.
Максимальное значение вязкости смесей ПАВ и полимера на зависимостях вязкости от концентрации ПАВ в системе обычно совпадает с точкой ККА. Состав смешанных мицелл, образованных молекулами ПАВ и гидрофобизированного полимера, при этом сильно изменяется с концентрацией; в них начинают преобладать молекулы ПАВ, в результате чего теряется эффект поперечных сшивок.

Рис. 11. Изотерма связывания (зависимость количества связанного полимером ПАВ от концентрации свободного ПАВ) ионного ПАВ неионным гидрофобизированным полимером (ГП) аналогична связыванию мицеллами неионного ПАВ, т.е. с одним участком некоооперативного связывания, одним участком антикооперативного связывания и одним участком кооперативного связывания.