| Скачать .docx |
Реферат: Хитин-глюкановый комплекс грибного происхождения. Состав, свойства, модификации
САНКТ-ПЕТЕРБУРГСКИЙ ГОСУДАРСТВЕННЫЙ ТЕХНОЛОГИЧЕСКИЙ УНИВЕРСИТЕТ РАСТИТЕЛЬНЫХ
ПОЛИМЕРОВ
ОТЧЕТ ПО ИНЖЕНЕРНОЙ ПРАКТИКЕ
Хитин-глюкановый комплекс грибного происхождения. Состав, свойства, модификации.
ПРОВЕРИЛ: С.Н.С, K .Х. H .
ЛЮДМИЛА АЛЕКСАНДРОВНА НУДЬГА
ВЫПОЛНИЛ: СТ. ГР. 144
ЕКИМОВ АЛЕКСАНДР ВЛАДИМИРОВИЧ
САНКТ-ПЕТЕРБУРГ 2003
Введение.
Биополимеры хитин и хитозан обратили на себя внимание ученых почти 200 лет назад. Хитин был открыт в 1811 г. (Н. Braconnot, A. Odier), а хитозан в 1859 году (С. Rouget), хотя свое нынешнее название получил в 1894 г.. В первой половине XX века к хитину и его производным был проявлен заслуженный интерес, в частности, три Нобелевских лауреата: F. Fischer (1903) синтезировал глюкозамин, P. Karrer (1929) провел деградацию хитина с помощью хитиназ, a W. H. Haworth (1939) установил абсолютную конфигурацию глюкозамина.
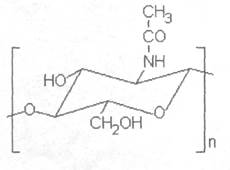
Хитин - линейный аминополисахарид, состоящий из N-Ацетил-2-амино-2-дезокси-О-гликопиранозных звеньев.

По химической структуре хитин близок к целлюлозе и только ей уступает по распространенности в природе. Хитин нерастворим в воде, разбавленных кислотах, щелочах, спиртах и других органических растворителях. Он растворим в концентрированных растворах соляной, серной и муравьиной кислот, а также в некоторых солевых растворах при нагревании, но при растворении он заметно деполимеризуется. В смеси диметилацетамида, N-метил-2-пирролидона и хлористого лития хитин растворяется без разрушения полимерной структуры.
Хитин как неразветвленный полисахарид с β-(1-4)-гликозидными связями, образует фибриллярные структуры, для которых характерна линейная конформация молекул, закрепленная водородными связями.
Подобные молекулы, располагаясь приблизительно параллельными пучками, образуют структуры, регулярные в трех измерениях, что характерно для кристаллов. Так, посредством рентгеноструктурного анализа показано, что молекулярные звенья хитина имеют конформацию 4 C1
В зависимости от расположения полимерных молекул различают три формы структуры хитина - α, β и γ. α -хитин представляет собой плотно упакованный, наиболее кристаллический полимер, в котором цепочки располагаются антипараллельно, он характеризуется самым стабильным состоянием. В β -хитине цепочки располагаются параллельно друг другу, а в γ-хитине две цепочки полимера направлены "вверх" относительно одной, направленной "вниз". β и γ -хитины могут превращаться в α -хитин. В организмах насекомых и ракообразных, клетках грибов и диатомовых водорослей хитин в комплексе с минеральными веществами, белками и меланинами образует внешний скелет и внутренние опорные структуры. Потенциальные источники хитина многообразны и широко распространены в природе. Общая репродукция хитина в мировом океане оценивается 2,3 млрд. т. В год, что может обеспечить мировой потенциал производства 150-200 тыс. т. хитина в год.
Наиболее доступным для промышленного освоения и масштабным источником получения хитина являются панцири промысловых ракообразных. Возможно также использование гладиуса кальмаров, сепиона каракатицы, биомассы мицелярных и высших грибов.
Хитин-глюкановый комплекс .
В клеточной стенке (КС) грибов хитин находится не в свободном состоянии, а связан ионными или водородными связями с полисахаридами, липидами, белками и микроэлементами, причем эти комплексы, например, хитин-глюкановый комплекс (ХГК) или в мукоране низших грибов, связанные с белком, являются более прочными и специфичными, чем природные белковые комлексы хитина в кутикуле беспозвоночных [1].
Хитин грибов находит пока ограниченное практическое использование по сравнению с хитином ракообразных. Последний давно уже применяется в разных областях хозяйственной деятельности человека, а в настоящее время наиболее интенсивно в технологии готовых лекарственных средств в качестве биологически активных веществ и вспомогательных материалов. Но именно в этой отрасли хитин грибов может стать активным конкурентом хитину Arthropoda .
Объяснить этот факт можно следующими причинами. Во-первых, открытием ценных лекарственных свойств биополимеров клеточной стенки грибов, а именно структурных полисахаридов и белков. Особый интерес в этой области представляет японский гриб Lentinus edodes , содержащий в шляпке и ножке 4- и 5% хитина соответственно. Особые лечебные свойства гриба связывают с наличием глюканов и особенно полиаминосахаридов, в том числе хитина. Указанные выше соединения обладают выраженной антираковой активностью и полученный в Японии на основе этих соединений препарат "Лентинан" используется для лечения онкозаболеваний. В настоящее время установлено, что и другие высшие грибы ( Neomycota ), также принадлежащие к семействам Polyporaceae , Tricholomotaceae , Agaricales , также содержат в КС высокомолекулярный гетерогликан и полиаминосахариды, обладающие выраженной антираковой активностью.
Во-вторых, к настоящему времени установлено наличие ранозаживляющей активности мицелия хитина низших грибов ( Eomycota ), в частности мукоровых грибов. Сейчас в России имеется только один (разрешенный Минздравом в 1996 г.) препарат "Микоран", созданный на основе хитина мукорового гриба Blakeslea trispora . "Микоран" рекомендован к использованию как ранозаживляющее средство с целевым противоожоговым назначением. Работы по изучению ранозаживляющего действия мицелия низших грибов ведутся в настоящее время в Австралии и Великобритании, однако, в этих исследованиях используется другой продуцент Mucorales - Phycomyces blakesleeanus .
Благоприятный эффект мицелия низших грибов на заживление ран объясняют способностью стимулировать активность пролиферации фибробластов, которые располагаются на микрофибриллах хитина. Кроме того, активному заживлению ран способствует также свойство хитина грибов генерировать микроколичества перекиси водорода. В зарубежных работах предлагается даже накладывать на раны в целях экономии стерильный, лиофильно высушенный мицелий, не выделяя полиаминосахариды. Предполагается, что использование мицелия Mucorales обеспечит одновременно и защиту от опасного микроорганизма, способствующего нагноению ран - синегнойной палочки.
На основе ХГК высших грибов (Basidiomycetes) создан новый препарат, состоящий из хитина, глюкана и меланина. Этот препарат, названный "Микотоном", предложено использовать для лечения ряда заболеваний, вызываемых бактериями и вирусами.
Особый интерес ХГК вызывает как аналог пищевых волокон. Эти волокна сорбируют в желудочно-кишечном тракте канцерогенный вещества, ионы тяжелых и радиоактивных металлов, активируют деятельность желудка. В последние годы пищевым волокнам придается особое значение в профилактической медицине в связи с их возможным антиканцерогенным и антимутагенным эффектами.
Полиаминосахариды находят в последние годы все большее применение в сельском хозяйстве. Это обусловлено такими их свойствами, как биосовместимость, отсутствие токсичности, высокая потребность к комплексообразованию. Препараты на основе хитина и хитозана крабов, а в последние годы и ХГК грибов применяют в сельском хозяйстве в США, Японии, Канаде. Ими проводят предпосевную обработку семян, что увеличивает урожайность сельскохозяйственных культур и устойчивость к грибковым заболеваниям. Показано, что устойчивость к корневой гнили и головне у ячменя значительно возрастает при применении препарата "Микосан", содержащего глюканы базидиомицетных грибов и хитозан.
В Японии специальные фирмы ("Taiyo Chemical Industry Co.", "Nisshia Ksei Co.") разработали стимулятор роста растений, состоящий из хитозана, органических кислот и аминокислот. Хитозан действует на Fusarium solani , останавливая рост этих патогенных для растений грибов. Органические кислоты способствуют тому, что почвенные бактерии быстрее растворяют фосфорные соединения почвы, облегчая тем самым корням растений сорбцию фосфорной кислоты. Аминокислоты генерируют этилен, служащий растительным гормоном, что также стимулирует рост растений.
Еще одним направлением в практическом использовании хитина или ХГС грибов является получение на его основе сорбирующих средств, которые могут быть более эффективными, чем такие промышленно доступные сорбенты, как, например, ХИТОПЕРЛ(ы) (Hitoperl, Япония). Сорбирующая способность ХГК зависит от условий культивирования. Хитин и хитозан грибов хорошо комплексируются с гипсом, целлюлозой, торфом, асбестом, что закладывает основу для создания более дешевых и доступных сорбирующих средств. Высокая сорбирующая способность ХПС A . niger , зависящая от условий культивирования.
Наконец, учитывая, что мукоровые грибы содержат природный хитозан, планируется использовать их мицелий для создания "нетканных" материалов. Эти мицелиальные материалы обладают ценными свойствами -токсическим действием в отношении ряда патогенных грибов, вызывающих кожные микозы, а также ранозаживляющей активностью, что позволяет применять их для создания специального лечебного белья и как прокладочные материалы в обувной промышленности.
Возможно, что "мицелиальные нити", как называют такой материал, могут быть использованы и для получения "вечных" сортов бумаги. В настоящее время метод получения бумаги на основе хитозана разработан в США и находит уже практическое использование. ХГК грибов имеет положительный заряд в интервале рН выше трех и ниже девяти, что позволяет использовать этот грибной комплекс вместо асбеста в фильтровальных материалах. Эти свойства ХГК дают возможность снизить аэродинамическое сопротивление, увеличить пыле- и грязеемкость, придать бумаге и картону адсорбционные свойства, позволяющие использовать эти материалы в качестве фильтров для очистки жидких и газообразных сред от аэро- и гидрозолей.
Созданные на основе ХГК грибов в ВНИИБП в г. Щелково опытные образцы картона не уступают по свойствам импортным фильтрам марки EKS и позволяют заменить канцерогенный асбест.
Предложено использовать ХГК A . niger в виде пищевой добавки к хлебным и кондитерским изделиям . Такие добавки удлиняют сроки хранения хлеба и препятствуют процессу его черствления. Тем самым, отчасти решается проблема утилизации отходов от производства лимонной кислоты, которые составляет от 1,0 до 1,2 тыс. т. в год.
В заключение следует особо подчеркнуть, что перспективность практического использования полиаминосахаридов грибов может оказаться в ближайшие годы столь же значимой, как и хитина Arthropoda . Однако это затруднено недостаточным знанием физико-химических свойств, методов выделения и видовым разнообразием грибного хитина. Не следует забывать, что по химическим характеристикам хитин грибов значительно отличается от такового ракообразных, гидроидов и насекомых, подобно тому, как целлюлоза растений отличается от целлюлозы бактерий Acetobacter xylinum и псевдогрибов Chromista , принадлежащих к Oomycetes ( Phytophthora , Pythium ).
Опыт показывает, что грибной хитин менее устойчив к действию кислот и щелочей, чем хитин Arthropoda . Все это создает определенные трудности при выделении хитина грибов и требует создания специальных методов, зависящих от источника.
Интересно, что один из первых исследователей, пытавшихся создать метод выделения грибного хитина для практических целей, писал о том, что при получении хитина из грибов теряется значительное количество (до 30-40%) полимера, особенно при жесткой обработке кислотами и щелочами. Следует учитывать, что легче получать хитин из грибов Mucorales , чем из ХГК Aspergillaceae . Кроме того, на процесс выделения хитина,
особенно на его конечный выход сильно влияют условия выращивания, а именно состав среды и фаза роста гриба. Основным условием получения высоких выходов хитина и его комплексов является создание в процессе ферментации определенных (более "кислых") рН среды и недопустимость автолитических процессов, ведущих к лизису КС и резкому уменьшению количества полиаминосахаридов. На содержание хитина в КС рода Aspergilli влияет уровень кислорода в среде и свет, однако, процесс образования хитина является более устойчивым к действию внешних факторов, чем других структурных полисахаридов КС, например, нигерина (1-3)-α, (1-4)-α-глюкана. Показано, что на содержание в КС грибов хитина и глюкана влияет также соотношение углерода и азота в среде.
Таким образом, отработка методов выделения хитина является задачей номер один в биотехнологических процессах его получения. Возможно, что более перспективными и дешевыми могут оказаться методы, направленные на получение неочищенного, нативного хитина. Особое значение это будет иметь при создании на базе хитина новых медицинских средств, так как грибы содержат в комплексе с хитином вещества, очень ценные для лечения онкозаболеваний, и антиоксиданты, входящие в состав медицинских препаратов, направленных на "омолаживание" пациентов.
В целом хитин грибов более, чем хитин ракообразных, привлекателен не только для медицины, но и в создании новых, "нетканных" материалов и сорбирующих средств. Ценность хитина грибов состоит также и в том, что его продуценты обеспечивают при биотехнологическом методе получения экологически чистый конечный продукт, что особенно важно для медицинского применения хитина. Именно в этой области, на наш взгляд, должно быть основное и перспективное использование грибного хитина и его комплексов с другими структурными полисахаридами КС грибов. Поэтому и возникла новая область медицины - микологическая фармакопея, продукты которой успешно завоевывают свое место на медицинском рынке.
ХИМИЧЕСКИЙ СОСТАВ И СВОЙСТВА КУЛЬТИВИРОВАННЫХ ДЕРЕВОРАЗРУШАЮЩИХ ГРИБОВ PHANEROCHAETE SANGUINEA
И GANODERMA APPLANTUM
Большой интерес для исследователей представляет химический состав грибов. Исходя из состава можно предполагать химические, физико-химические и физические свойства. Обладая набором данных о свойствах мы можем найти адекватное применение изучаемому объекту. В работе [2] был изучен химический состав искусственно выращенных дереворазрушающих грибов Phanerochaete sanguinea , 16-65, Ganoderma applanatum , 4-94, Ganoderma applanatum , 40-90, и определена сорбционная способность грибного материала.
Грибы трех штаммов Ph . sanguinea , 16-65, G . applanatum , 4-94, G. applanatum , 40-90 были выращены в лабораторных условиях поверхностным способом в колбах Эрленмейера емкостью 500 мл при 26°С на питательной среде (175 мл), приготовленной по методу Гавриловой (г-л-1 ): глюкозы -10.0, пентона - 2.5, К2 РО4 - 0.4, MgSO4 - 0.5, ZnSO4 - 0.001, NaCl - 0.3, FeSO4 -0.005, СаС12 - 0.05. Питательную среду предварительно стерилизовали под давлением в автоклаве и, охладив до комнатной температуры, инокулировали мицелиальными дисками диаметром 0.5 мм в чашках Петри на сусло-агаре чистой культуры. По мере разрастания грибницы определяли активность окислительных ферментов в культуральной среде. По достижении пика активности культуральную жидкость из разных колб, в которых выращивался определенный гриб, соединяли, фильтровали через капроновый фильтр и использовали для отбелки целлюлозы, а грибные тела использовали для изучения их состава.
Полученные результаты приведены в табл. 1,2.
Таблица 1
Состав грибов Ph. sanguinea, 16-65, G. applanatum, 4-94, G. applanatum, 40-90
| Штамм |
Водоудержание, % |
Вещества, %, растворимые |
Нерастворимый остаток, % |
||
| В горячей воде |
В спирто-бензольной смеси |
В 6%-ном растворе NaOH |
|||
| Ph. sanguinea , 16-65 |
87.9 |
18.1 |
15.4 |
49.8 |
16.7 |
| G. applanatum, 4-94 |
91.0 |
19.0 |
12.9 |
55.9 |
12.2 |
| G. applanatum. 40-90 |
89.4 |
9.4 |
9.5 |
61.1 |
20.0 |
Примечание. Содержание всех экстрагируемых веществ дано в процентах от абсолютно сухой массы гриба.
Таблица 2
Элементный состав нерастворимого остатка грибов
Ph. sanguinea, 16-65, G. applanatum, 4-94,
G. applanatum, 40-90
| Штамм |
Состав, % |
|||
| С |
H |
N |
зола |
|
| Ph. sanguinea, 16-65 |
41.5 |
6.5 |
2.2 |
0.7 |
| G. applanatum, 4-94 |
42.8 |
7.0 |
2.2 |
0 |
| G. applanatum. 40-90 |
42.0 |
6.6 |
1.6 |
0.9 |
Из данных табл. 1 следует, что наибольшим водоудержанием обладает гриб G . applanatnm , 4-94, наименьшим - Ph . sanguinea , 16-65, произрастающие на лиственных породах древесины. В естественных условиях произрастания плодовые тела этих грибов имеют существенно меньшее водоудержание, что связано с условиями их формирования в воздушной, а не в водной среде, принятой в эксперименте.
Количество веществ, экстрагируемых горячей водой, в число которых входят минеральные соли и растворимые гемицеллюлозы, различно для разных штаммов. Наименьшее их содержание отмечено для G . applanatum , 40-90, встречающегося в природе на хвойной древесине. Этот же штамм содержит и наименьшее количество жиров и смол, растворимых в спирто-бензольной смеси. В горячем растворе гидроксида натрия растворяются белки и частично меланин, на них приходится самый высокий процент массы (50-60%). Содержание ХГК колеблется от 12 до 20%. Это существенно меньше, чем в плесневых грибах Aspergillus niger , где оно составляет до 50% массы, но близко к содержанию ХГК в дрожжах Saccharomyces cerevisae (12%).
Было показано, что в сравнении со спектром ХГК из мицелия Asperillus niger спектры нерастворимых остатков исследуемых штаммов грибов не имеют существенных отличий. Был приведен состав ХГК, см. табл. 3.
Таблица 3
Состав ХГК, выделенного из грибов Ph. sanguinea, 16-65, G. applanatum, 4-94, G. apphmatutn, 40-90
| Штамм |
Содержание, % |
|
| хитина |
глюкана |
|
| Ph. sanguinea, 16-65 |
59.0 |
41.0 |
| G. applanatum. 4-94 |
74.0 |
26.0 |
| G. applanatum, 40-90 |
64.0 |
36.0 |
Из табл. 3 видно, что содержание хитина в ХГК из различных штаммов грибов достаточно высоко.
Наличие большого количества хитина в составе ХГК изучаемых грибов, а также присутствие в составе плодовых тел протеинов позволило предположить хорошую сорбционную способность по отношению к нонам тяжелых металлов, что было показано путем изучения сорбции ионов Cr(III).
Результаты исследований приведены в табл. 4.
Таблица 4
Сорбционные свойства грибов Ph. sanguinea, 16-65,
G. applanatum, 4-94, G. applanatum, 40-90
после экстракции горячей водой
| Штамм |
Количество сорбированного Cr(lII), мг, при рН |
СОЕ, мг-экв x г-1 , при рН 6.86 |
||||
| 1.68 |
4.60 6.86 |
6.86 |
||||
| в течение, мин |
||||||
| 1440 |
1440 |
10 |
60 |
1440 |
||
| Ph. sanguinea, 1 6-65 |
1.42 |
0.95 |
1.73 |
1.67 |
1.66 |
0.62 |
| G. applanatum, 4-9.4 |
1.23 |
0.90 |
1.69 |
1.90 |
1.87 |
0.41 |
| G. applanatum, 40-90 |
1.08 |
0.98 |
1.73 |
1.69 |
1.69 |
1.11 |
Сорбцию проводили в области рН от кислой до нейтральной. Как следует из данных табл. 4, наибольшее поглощение ионов Сr(Ш) за 24 ч наблюдается при рН 6.86 для всех исследуемых грибов. Основное количество ионов поглощается за первые 10 мин сорбции. Самую высокую статическую обменную емкость (СОЕ) имеет штамм G . applanatum , 40-90, в составе которого содержится 61.1% протеинов (табл. I), обладающих способностью связывать ионы тяжелых металлов.
Выводы
Исследован состав плодовых тел искусственно выращенных дереворазрушающих грибов Phanerochaete sanguined, 16-65,Ganoderma applanatum, 4-94, Ganoderma applanatum, 40-90. Показано, что они содержат до 20% хитин-глюканового комплекса.
Как и следовало предполагать соотношение хитина и глюкана в хитин-глюкановом комплексе зависит от штамма гриба.
Определены сорбционные характеристики грибов Phanerochaete sanguinea, 16-65, Ganoderma applanatum, 4-94, Ganoderma applanatum, 40-90. Показана высокая сорбционная способность к Cr(Ш).
Возможные области применения
Использование биосорбентов имеет ряд преимуществ по сравнению с синтетическими сорбентами: более высокой емкостью, лучшей кинетикой процесса, селективностью и низкой стоимостью.
Высокая сорбционная способность ХГК по отношению к ионам тяжелых металлов определяет возможность его использования для очистки воды от ряда ионов.
Так же может быть рассмотрена возможность использования ХГК в пищевой промышленности. Добавление в продукты питания для предотвращения отравления тяжелыми металлами, где существует такая вероятность.
ГИДРОЛИЗ ХИТИН-ГЛЮКАНОВОГО КОМПЛЕКСА ГРИБА Aspergillus niger ФОСФОРНОЙ КИСЛОТОЙ
Плесневелый гриб Aspergillus niger является продуцентом лимонной кислоты, а его мицелий – крупнотоннажным отходом этого производства. Таким образом поиск областей применения компонентов мицелия крайне важен для создания экологически чистого, безотходного производства. ХГК содержится в клеточных стенках данного гриба. Показанная ранее высокая сорбционная способность ХГК по отношению к ионам тяжелых металлов определяет возможность его использования для очистки воды от ряда ионов, а также в качестве энтеросорбента в составе хлебобулочных и кондитерских изделий для профилактического питания работающих в производствах, связанных с риском отравления тяжелыми металлами. Наличие в составе комплекса хитина предполагает биологическую активность ХГК в отношении ряда заболеваний, связанных с ослаблением иммунитета организма, а также для лечения некоторых заболеваний, вызываемых бактериями и вирусами.
Биологическая активность полисахаридов увеличивается с уменьшением их молекулярной массы, и часто максимальный эффект дают олигосахариды.
Для снижения молекулярной массы полисахаридов используют различные деструктивные методы. Чтобы избежать появления новых функциональных групп или сшивание фрагментов макромолекул за счет возникающих радикалов, либо появления олигосахаридов с широким набором молекулярных масс было предложено [3] использовать мягкий гидролизующий агент - 85%-ная Н3 РО4 .
Использование 85%-ной Н3 РО4 в данном исследовании было обусловлено также возможностью сопоставления скоростей гидролиза хитиновой и глюкановой составляющих ХГК.
Для исследования был взят ХГК, выделенный из мицелия Aspergillus niger . Состав ХГК (масс %): 81.6 хитина, 15.1 глюкана и 3.3 меланина. Гидролиз ХГК проводили раствором 85%-ной Н3 РО4 при 293, 323 и 353 К с отбором проб через определенные промежутки времени. В пробах определяли растворимость, абсолютную вязкость гидролизата, количество глюкозы, N-ацетилглюкозамина и глюкозамина.
Растворение ХГК в 85%-ной Н3 Р04 при 293 К происходит в течение 5 сут, при этом вязкость гидролизата в течение 3 сут. Увеличивается вследствие повышения концентрации раствора, а затем снижается в результате преобладания гидролитического процесса. При 323 К ХГК переходит в раствор за 45 мин, при 353К-за 30 мин, абсолютная вязкость растворов при этом снижается, асимптотически приближаясь к постоянному значению, примерно равному 10 сПз.
В гидролизатах ХГК, полученных при 293 К, количество глюкозы увеличивается во времени, достигая за 4 ч предельного значения, соответствующего содержанию глюкана в ХГК. Количество N-ацетилглю-козамина медленно нарастает, составляя в конце реакции лишь 2.5% от исходного полимера, тогда как в ХГК содержится 81.6% хитина. Глюкозамин в пробах не обнаружен.
При 323 К количество глюкозы в пробах достигает предельно возможного значения за 45 мин, максимальное количество N-ацетилглюкозамина в пробе составляет 8%. Глюкозамин в пробах не обнаружен.
Иначе идет гидролиз при 353 К - количество глюкозы нарастает в течение 3 ч. Накопление N-ацетил-глюкозамина наблюдается в течение первых 30 мин, после чего его количество снижается, одновременно в пробах появляется глюкозамин, количество которого увеличивается до 60% в конце реакции.
Были рассчитаны начальные скорости гидролиза хитиновой и глюкановой составляющих ХГК (табл. 1).
Таблица 1
Начальная скорость гидролиза хитиновой и глюкановой составляющих ХГК
| Компонента ХГК |
Начальная скорость гидролиза, %мин-1 , при Т, К рость гидролиза, %мин"' , при Т, К |
||
| 293 |
323 |
353 |
|
| Глюкановая |
0.0083 |
0.1050 |
0.3000 |
| Хитиновая |
0.0016 |
0.0830 |
0.2400 |
Из данных табл. 1 видно, что скорость гидролиза глюкановой составляющей превышает скорость гидролиза хитиновой компоненты ХГК в 5.3 раза при 293, в 1.3 раза при 323 ив 1.25 раза при 353 К. При 353 К указанное значение не отражает истинной скорости гидролиза хитиновой части, так как не учитывает одновременный процесс перехода N-ацетилглюкозамина в глюкозамин.
Были рассчитаны Еа гидролиза хитиновой и глюкановой компонент ХГК.
Таблица 2
Константа и энергия активации гидролиза глюкановой и хитиновой
составляющих ХГК
| Компонента ХГК |
Т, К |
К*105 |
Еа , кДж-моль |
| Глюкановая |
293 |
1.1428 |
57.44 |
| 323 |
100.0 |
||
| 353 |
794.3 |
||
| Хитиновая |
293 |
0.107 |
89.99 |
| 323 |
6.667 |
||
| 353 |
87.50 |
Полученные значения Еа для хитиновой и глюкановой составляющих ХГК существенно ниже известных литературных данных для хитина Еа - 106.22 кДж-моль-1 и для ламинарина.
Было высказано предположение, что доступность глюкозидной связи для гидролизующего агента ответственна за низкие значения Еа . Кроме того, не исключалось, что разветвленная структура ХГК, где основная скелетная цепь - хитин, а боковые короткие - цепи 1 ->3 глюкана, облегчает гидролиз как хитиновой, так и глюкановой компоненты.
Состав гидролизатов сильно зависит от температуры и времени гидролиза. При 293 К в гидролизате присутствует глюкоза, N-ацетилглюкозамин в суммарном количестве 20% от взятого для гидролиза ХГК, следовательно, 80% приходится на олигосахариды. При 323 К гидролизат содержит те же моносахариды в количестве 25% от исходного ХГК и 75% олигосахаридов. При 353 К в составе гидролизата находится 78.7% глюкозы, N-ацетилглюкозамина и глюкозамина (59.4%), 21.3% олигосахаридов.
Степень полимеризации олигосахаридов не превышала 10.
Были установлены следующие факты:
1) Процесс гидролиза хитин-глюканового комплекса раствором 85%-ной фосфорной кислоты начинается в гетерофазных условиях с переходом в гомогенные условия за период, зависящий от температуры процесса.
2) В первую очередь гидролизу подвергается глюкановая компонента комплекса.
3) Изучение кинетики гидролиза позволило определить константу скорости и энергию активации гидролиза хитиновой и глюкановой составляющих
комплекса и установить, что в первую очередь идет гидролиз глюкановой части, затем хитиновой цепи с образованием N-ацетилглюкозамина с последующим дезацетилированием до глюкозамина.
Литература
1. Е.П.ФЕОФИЛОВА//ХИТИН ГРИБОВ: РАСПОСТРАНЕНИЕ, БИОСИНТЕЗ, ФИЗИКО-ХИМИЧЕСКИЕ СВОЙСТВА И ПЕРЕСПЕКТИВЫ ИСПОЛЬЗОВАНИЯ//В КНИГЕ «ХИТИН И ХИТОЗАН» 2002. М. «НАУКА» 365 С.
2. Л.А.НУДЬГА, В.А.ПЕТРОВА, Г.А.ПЕТРОПАВЛОВСКИЙ, Г.А.ПАЗУХИНА, И.В.ОВЧИННИКОВ // ХИМИЧЕСКИЙ СОСТАВ И СВОЙСТВА КУЛЬТИВИРОВАННЫХ ДЕРЕВОРАЗРУШАЮЩИХ
ГРИБОВ PHANEROCHAETE SANGUINEA И GANODERMA
APPLANTUM // ЖУРНАЛ ПРИКЛАДНОЙ ХИМИИ 2001. Т. 74. №1. С. 135-137.
3. Л.А.НУДЬГА, В.А.ПЕТРОВА, Е.Е.КЕВЕР, Т.В.МАКАРОВА. // ИЗУЧЕНИЕ ГИДРОЛИЗА ХИТИН-ГЛЮКАНОВОГО КОМПЛЕКСА ГРИБА ASPERGILLUS NIGER ФОСФОРНОЙ КИСЛОТОЙ // ЖУРНАЛ ПРИКЛАДНОЙ ХИМИИ 2002. Т. 75. №11. С. 1901-1903.
Оглавление
ВВЕДЕНИЕ СТР. 2
ХИТИН-ГЛЮКАНОВЫЙ КОМПЛЕКС СТР. 3
ХИМИЧЕСКИЙ СОСТАВ И СВОЙСТВА
КУЛЬТИВИРОВАННЫХ ДЕРЕВОРАЗРУШАЮЩИХ
ГРИБОВ PHANEROCHAETE SANGUINEA
И GANODERMA APPLANTUM СТР.6
ГИДРОЛИЗ ХИТИН-ГЛЮКАНОВОГО КОМПЛЕКСА
ГРИБА ASPERGILLUS
NIGER
ФОСФОРНОЙ КИСЛОТОЙ СТР. 10
ЛИТЕРАТУРА СТР. 14