| Скачать .docx |
Реферат: Сложные эфиры. Использование в ветеринарии и медицине
ФГОУ ВПО
Московская государственная академия ветеринарной медицины и биотехнологий им. К. И. Скрябина
Кафедра органической химии
Реферат
на тему
Сложные эфиры. Использование в ветеринарии и медицине.
Работа выполнена студенткой
2 курса ФВМ группы №5
Гофман Алёной
Москва 2010
Содержание
1. Введение
2. Эфирные масла
2.1. Действие эфирных масел на организм человека
2.2. Эфирное масло валерианы
2.3. Эфирное масло ромашки аптечной
2.4. Ароматерапия
3. Медицинский жир
4. Воск
4.1. Химически свойства
4.2. Применение воска в медицине
5. Медицинские препараты на основе сложных эфиров
6. Заключение
7. Список используемой литературы
Введение
Среди функциональных производных кислот особое место занимают сложные эфиры — производные кислот, у которых кислотный водород заменён на алкильные (или вообще углеводородные) радикалы.
Сложные эфиры делятся в зависимости от того, производной какой кислоты они являются (неорганической или карбоновой).
Среди сложных эфиров особое место занимают природные эфиры — жиры и масла, которые образованы трехатомным спиртом глицерином и высшими жирными кислотами, содержащими четное число углеродных атомов. Жиры входят в состав растительных и животных организмов и служат одним из источников энергии живых организмов, которая выделяется при окислении жиров.
Широкое применение сложные эфиры находят в медицине и ветеринарии.
Эфирные масла
Эфирные масла – это многокомпонентные летучие душистые вещества растительного происхождения, принадлежащие к разным классам химических соединений.
По химическому строению эфирные масла представляют собой смеси различных органических соединений, состоящие, главным образом, из отдельных видов жиров, углеводов, терпенов (углеводородов, получаемых в основном из хвойных деревьев и некоторых других растений) и их производных.. В свободном или в связанном состоянии эфирные масла содержатся в клетках различных органов растений (корнях, листьях, стеблях, цветах и плодах). Их количество в растительном сырье колеблется от 0,001 до 20% в пересчете на сухое вещество. Известно более 2500 видов эфирномасличных растений.
Эфирные масла обычно представляют собой маслянистые жидкости различной окраски. Некоторые из них при комнатной температуре имеют плотную консистенцию. Общими свойствами эфирных масел является характерный запах, жгучий вкус, хорошая растворяемость в органических растворителях и способность ароматизировать воду.
Действие эфирных масел на организм человека
Большинство эфирных масел обладают противомикробными и снимающими спазм (сжатие) гладкой мускулатуры (она находится в области внутренних органов и кровеносных сосудов) свойствам. Многие эфирные масла оказывают противовоспалительное действие. Кроме того, они оказывают положительное действие на общий обмен веществ в организме человека, угнетают или повышают активность центральной нервной системы, влияют на работу сердечно-сосудистой системы. Отдельные эфирные масла стимулируют или угнетают дыхательную систему, оказывают отхаркивающее действие.
Токсичность (ядовитые свойства) большинства эфирных масел, особенно, при их ингаляционном (при вдыхании) и наружном применении невысока. Однако некоторые эфирные масла достаточно токсичны и при введении внутрь оказывают гемолитическое действие (склеивают красные кровяные тельца – эритроциты, что вызывает малокровие или анемию).
Из организма эфирные масла выводятся через почки, увеличивая при этом объем выделяемой мочи (диурез), а также через легкие, с чем связано их местное антисептическое и прямое отхаркивающее действие.
Эфирные масла широко применяются в фармацевтической промышленности при изготовлении лекарственных форм для улучшения их вкуса, запаха, консистенции и других свойств. Наиболее широко используются следующие лечебные препараты, содержащие эфирные масла: настойки, экстракты и масла арники, валерианы, аниса, мяты перечной, зверобоя, эвкалипта, ромашки аптечной и так далее.
Эфирное масло валерианы
Эфирное масло валерианы содержится главным образом в корнях растения. В состав его входит сложные эфиры, биологически активные вещества, изовалериановая кислота, придающая маслу характерный запах, и терпены (углеводороды, получаемые их хвойных деревьев и некоторых других растений).
Препараты валерианы оказывают успокаивающее действие на нервную систему. Валериана является антагонистом судорожного яда бруцина, а также снимает возбуждение, вызванное кофеином. Валериана усиливает процессы торможения в центральной нервной системе, устраняет явления невроза (заболевания, развивающегося на фоне стрессов), в некоторой степени регулирует гормональный фон (воздействуя на гипоталамус – отдел головного мозга, регулирующий секрецию всех гормонов в организме), снимает спазмы гладких мышц внутренних органов и кровеносных сосудов.
Эфирное масло ромашки аптечной
Эфирное масло ромашки аптечной имеет синий цвет, обусловленный содержанием в нем хамазулена и характерный запах (присутствие в нем углеводородов фарнезенов). Кроме того, в нем содержатся и другие химические вещества.
Эфирное масло ромашки аптечной обладает дезинфицирующими и противовоспалительным свойствами. А содержащиеся в растении фитонциды придают ему еще и спазмолитический эффект (снимают спазм гладкой мускулатуры внутренних органов и кровеносных сосудов).
Лекарственные препараты, изготовленные на основе ромашки аптечной принимают внутрь для снятия спазмов и болей при заболеваниях желудочно-кишечного тракта, желчевыводящих путей и при болезненных менструациях, как успокаивающее средство при заболеваниях нервной системы (неврозах, эпилепсии), как отхаркивающее при бронхитах и так далее.
Наружно настоями ромашки полощут горло и полость рта при различных воспалительных заболеваниях, промывают язвы, нарывы и ожоги. В виде спринцевания такие настои применяются при лечении воспалительных гинекологических заболеваний.
Ароматерапия
За последние 20 лет появился интерес к терапевтическому использованию эфирных масел, которое получило название «ароматерапия». Сегодня ароматерапия общепринята как ценная ветвь комплексного, альтернативного лечения, и ее популярность быстро растет.
Каждое эфирное масло, используемое в лечении ароматами, обладает собственными специфическими целебными свойствами, которые большей частью действуют психологически, при этом основную роль играет врач, обладающий определенными способностями психотерапевта.
Ряд масел действует успокаивающе на нервную систему, другие уменьшают воспаление, облегчают тупые, продолжительные и острые боли, полезны для отдельных органов и систем тела, поднимают настроение. Все эти воздействия определяются определенным сочетанием основных классов химических соединений, входящих в состав эфирных масел.
Эфирные масла обладают замечательными свойствами, многие из которых еще не полностью изучены.
Медицинский жир
Медицинский жир — светло-желтая масса, получаемая из печени тресковых рыб (рыбий жир; Oleum jecoris Aselli) или из подкожного сала морских млекопитающих (китов, тюленей и др.). Рыбий жир (натуральный) содержит в 1 г 350 ME витамина А и 30 ME витамина D2. Медицинский жир хранят в темном месте при температуре не выше 10°, не более 1 года. Применяют для профилактики и лечения авитаминоза А и D (рахита).
Рыбий жир применяют также наружно при лечении ран, термических и химических ожогов кожи и слизистых оболочек.. Медицинский жир отпускают в стеклянной посуде (по весу); выпускаются также капсулы, содержащие по 1,4 г рыбьего жира.
Воск
Химические свойства.
Химический состав воска значительно колеблется - в зависимости от происхождения и питания пчел, условий добывания воска и др.
В состав воска входят около 300 различных веществ, среди которых преобладают сложные эфиры, углеводороды, свободные жирные кислоты, вода, ароматические, красящие, минеральные и другие вещества.
Главной составной частью воска являются сложные эфиры (до 75%), образованные пальмитиновой, неоцеротиновой и мелиссиновой кислотами, цериловым и мелиссиновым спиртами. Кроме того, в воске содержатся церотиновая, монтаниновая и олеиновая кислоты, неоцериловый и монтаниновый спирты. Церотиновая и мелиссиновая кислоты - наиболее активная часть воска; они моогут вступать в реакцию с большинством металлов, а также со щелочами.
Применение воска в медицине.
Известно, что пчелиный воск относится к сложным веществам, состав которых даже в наши дни не полностью выяснен. Воск - это биологически активное вещество, обладающее высокими бактерицидными свойствами. Он с древних времен используется для медицинских нужд. И в настоящее время он также необходим в медицинской и фармацевтической промышленности.
Такие качества пчелиного воска, как мягкость, упругость, низкая температура плавления, пластичность, нерастворимость в воде, делают его незаменимым компонентом многих косметических и фармацевтических препаратов (помад, припарок, дезодорантов, кремов, свечей, мазей, румян и пр.). В трактате «Фармакопея Испана» (1817) воск рекомендован для изготовления 17 мазей и 25 препаратов.
Знаменитый римский естествоиспытатель Плиний писал, что «все сорта воска обладают свойствами смягчать и согревать, а также способствуют обновлению тела; свежий воск считается самым полезным».
Гален предложил прохладительную мазь, дошедшую до наших дней под названием "колд-крем", главным элементом которой является воск.
Применяют различные маски, бальзамы, крема на основе воска для лечения гайморита, язв и ран у больных сахарным диабетом, юношеских угрей, облитерирующего эндартериита, пародонтоза, полиартрита, радикулита, трофической язвы, мозолей и подошвенных бородавок, свищей и ран, геморроя (внутреннего), трещин прямой кишки, бронхита курильщиков, коклюша, туберкулеза легких, растяжения связок, воспаления мышц, межреберной невралгии, недостатка грудного молока, трещин на пятках, воспаления придатков матки (аднексит).
Медицинские препараты на основе сложных эфиров
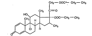
1.
![]() |
ГИДРОКОРТИЗОНА АЦЕТАТ (Hydrocortisone acetate).
Белый кристаллический порошок. Практически нерастворим в воде.
При внутримышечном введении (в виде 2,5 % суспензии) оказывает такой же эффект и вызывает те же побочные явления, что и кортизона ацетат. При местном применении (в виде I % мази при аллергических заболеваниях кожи) и введении в виде суспензии в полость суставов (интрасиновиально) оказывает сильное противовоспалительное и антиаллергическое действие без системных побочных явлений.
Суспензия гидрокортизона ацетата применяется для тех же целей и в тех же дозах, что микрокристаллическая суспензия гидрокортизона.
Мазь «Кортомицетин» (Unguentum «Cortomycetinum») белого цвета с желтоватым оттенком. Содержит гидрокортизона ацетата 0,5 г, левомицетина 0,2 г, ланолина безводного 10 г, вазелина медицинского и масла вазелинового по 22,5 г, других наполнителей и воды дистиллированной до 100 г.
Применяют при воспалительных и аллергических заболеваниях кожи, в том числе осложненных микробной флорой, чувствительной к левомицетину (инфицированные и микробные экземы, нейродермиты, пиодермии и др.).
Гидрокортизона ацетат входит также в состав эмульсионного препарата «Фенкортозоль» (см. Фенилсалици-лат) и мази «Сульфодекортэм»
2. 
ГИДРОКОРТИЗОНА ГЕМИСУКЦИНАТ (Hydrocortisone hemisuccinate).
Белая или белая со слегка желтоватым оттенком пористая масса или порошок.
Применяют при острой недостаточности надпочечников, острых аллергических реакциях, астматическом статусе, для профилактики и лечения шока, при инфаркте миокарда, осложненном кардиогенным шоком, для лечения тиреотоксического криза, при других показаниях к применению кортикостероидных препаратов.
Назначают парентерально (чтобы создать высокую концентрацию в крови): внутривенно (струйно или капельно) или внутримышечно (при невозможности ввести в вену).
3. ФЛУМЕТАЗОНА ПИВАЛАТ (Flumetasone Pivalate).
![]() |
6α,9α-Дифтор-16α-метилпредниэолона 21-пивалат (т. е. триметилацетат):
По химическому строению и действию близок к синафлану (флюоцинолону ацетониду).
Применяют местно в виде 0,02 % мази или крема при экземах, нейродермите, зуде, воспалительных реакциях кожи и слизистых оболочек.
Является действующим началом мазей «Локакортен» («Locacorten»), «Лоринден» («Lorinden»), «Локасален» («Locasalen»).
4. БЕКЛОМЕТАЗОНА ДИПРОПИОНАТ (Beclometasoni Dipropionas).
9α-Хлор-11β,17α,21-триокси-16β-метил-1,4-прегнадиен-3,20-диона17,21-дипропионат, или 9α-хлор-16β-метил-преднизолондипропионат:

Выпускается в виде аэрозоля для ингаляций под названиями: «Бекотид» («Becotid»), «Бекломет» («Beclomet»), «Беклат» («Beclate») и др.
Применяют при бронхиальной астме, главным образом в случаях, когда неэффективны обычные бронходилататоры и кромолиннатрий.
5. ФЛУТИКАЗОН ПРОПИОНАТ (Fluticasone Propionate).
![]() |
S-(Фторметил)6α,9-дифтор-11β,17-дигидрокси-16α-метил-3-оксоандроста - 1,4-диен-17-β-карботиат, 17-пропионат
Трифторированный глюкокортикостероид.
Применяют наружно для лечения воспалительных и аллергических заболеваний кожи и интраназально для лечения ринитов, ингаляционно при бронхиальной астме.
6. ДЕЗОКСИКОРТИКОСТЕРОНА АЦЕТАТ (Desoxycorticosterone Acetate).
![]() |
Прегнен-4-ол-21 -диона-3,20 ацетат:
Белый или белый со слабым кремоватым оттенком кристаллический порошок без запаха. Практически нерастворим в воде, растворим в спирте и маслах.
Препарат получают синтетическим путем.
Обладает свойствами естественного гормона коры надпочечников.
Дезоксикортикостерон является минералокортикостероидом. Он вызывает задержку в организме ионов натрия и повышенное выделение калия, что приводит к повышению гидрофильности тканей; объем плазмы при этом увеличивается, повышается артериальное давление; увеличивает тонус и улучшает работоспособность мышц.
Основными показаниями к применению ДОКСА служат болезнь Аддисона и временное понижение функции коры надпочечников (гипокортицизм). Препарат применяют также при миастении, астении, адинамии, общей мышечной слабости, гипохлоремии и некоторых других заболеваниях.
7. ДЕЗОКСИКОРТИКОСТЕРОНА ТРИМЕТИЛАЦЕТАТ (Deoxycorticosterone Trimethylacetate).
Прегнен-4гол-21-диона-3,20-триметилацетат:

Белый кристаллический порошок, практически нерастворим в воде, мало растворим в спирте.
Препарат получают синтетическим путем.
По строению и биологическому действию дезоксикортикостерона триметилацетат близок к дезоксикортикостерона ацетату (ДОКСА). Химически отличается от последнего тем, что атомы водорода метильной группы в положении 21 заменены на три метальные группы.
Показания к применению дезоксикортикостерона триметилацетата такие же, как и ДОКСА: болезнь Аддисона, относительная недостаточность коры надпочечников, гипотонический синдром, астенические состояния с гипотензией после инфекционных заболеваний, диэнцефально-гипофизарная недостаточность и др. При необходимости применяют дезоксикортикостерона триметилацетат в комбинации с глюкокортикостероидами.
8. ФЛУДРОКОРТИЗОНА АЦЕТАТ (Fludrocortisone Acetate).
9-Фтор-11β,17,21-тригидроксипреги-4-ен-3,20-дион 21 ацетат.
![]() |
Является фторированным производным гидрокортизона ацетата.
По действию сходен с гидрокортизоном. Вызывает сильный противовоспалительный и антиаллергический эффект, вместе с тем обладает высокой минералокортикоидной активностью.
Применяют при болезни Аддисона и адреноге нитальном синдроме, сопровождающемся усиленным выведением солей (особенно калия) из организма.
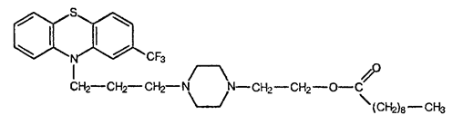
9. ФТОРФЕНАЗИН-ДЕКАНОАТ (Phthorphenazinum decanoate).
![]() |
2-Трифторметил-10-{3-[1-(β-каприноилоксиэтил)-пиперазинил-4]-пропил}-фенотиазин:
Сильный нейролептик, оказывающий пролонгированное действие. Последнее связано с изменением химического строения фторфеназина (этерификация остатком капроновой кислоты), что увеличивает относительную молекулярную массу препарата и придает ему высокую липофильность. В соответствующей лекарственной форме (раствор в масле) препарат после внутримышечной инъекции постепенно высвобождает активный фторфеназин, что обеспечивает длительное действие препарата.
Назначают в качестве нейролептика с выраженным антипсихотическим действием, обладающего активирующим и слабым седативным эффектом, при разных формах шизофрении, особенно при наличии ступорознокататонических расстройств, при параноидных состояниях, протекающих с аффектом страха, при вялом течении процесса с преобладанием депрессивноапатических состояний и др.
Препарат показан больным с длительным неблагоприятным течением шизофрении. В некоторых случаях оказывает лечебное действие при недостаточной эффективности других (непролонгированных) нейролептических средств.
10. ОКСЕЛАДИНА ЦИТРАТ (Oxeladin citrate).
Цитрат диэтиламиноэтоксиэтилового эфира α, α -диэтилфенилуксусной кислоты:

По химической структуре близок к бутамирата центрату и имеет элементы сходства с эстоцином.
Оказывает противокашлевое действие, тормозя центральное звено кашлевого рефлекса; дыхательной центр не угнетает.
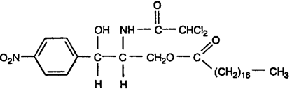
11. ЛЕВОМИЦЕТИНА СТЕАРАТ (Laevomycetini ste-aras).
![]() |
D-(—)-трео-1-пара-Нитрофенил-2-дихлорацетил-амино-пропандиола-1,33-стеарат:
Белый с желтоватым оттенком порошок. Практически нерастворим в воде, трудно растворим в спирте. Содержит в связанном виде 55 % левомицетина. Препарат не имеет присущего левомицетину горького вкуса.
Применяют по тем же показаниям, что и левомицетин (дизентерия, брюшной тиф, коклюш, ангина, отиты, пневмонии, риккетсиозы и другие инфекционные заболевания), преимущественно в детской практике, когда применение левомицетина затруднено из-за горького вкуса.
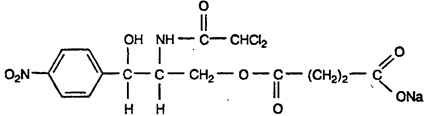
12. ЛЕВОМИЦЕТИНА СУКЦИНАТ РАСТВОРИМЫЙ (Laevomycetini succinas solubiie).
D-(—)-трео-1-пара-Нитрофенил-2-дихлорацетил-амино-пропандиола-1,33-сукцинат натрия:
![]() |
Сухая пористая масса белого или белого с желтоватым оттенком цвета, со слабым специфическим запахом, горькая на вкус. Очень легко растворим в воде, мало – в спирте. Гигроскопичен.
По антибактериальному спектру левомицетина сукцинат натрия (левомицетина сукцинат растворимый) не отличается от левомецитина, но, как препарат, растворимый в воде, может применяться для инъекций.
Назначают при брюшном тифе и паритифах, дизентерии, бруцеллезе, коклюше, пневмонии различной этиологии, гнойных инфекциях и других инфекционных заболеваниях. Применяют также для профилактики и купирования инфекций при раневых повреждениях глаз.
13. БЕНЗИЛБЕНЗОАТ (медицинский) (Benzylii benzoas medicinalis).

Бесцветная маслянистая жидкость со слегка ароматическим запахом, острая и жгучая на вкус. Практически нерастворим в воде, смешивается со спиртом, эфиром, хлороформом.
Действует токсически на чесоточных клещей (Acarus scabiei) и применяется (под наблюдением медицинского персонала) для лечения чесотки.
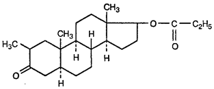
14. МЕДРОТЕСТРОНА ПРОПИОНАТ (Medrotestroni propionas).
![]() |
2-α-Метил-5α-андростанол-17β-она-3-пропионат, или 2-α-метил-дигидротестостерон:
Белый кристаллический порошок. Практически нерастворим в воде, растворим в спирте, медленно растворим в растительных маслах.
По строению и действию близок к тестостерону пропионату; оказывает меньшее андрогенное действие и обладает более высокой анаболической активностью. Оказывает противоопухолевое влияние при раке молочной железы.
Применяют главным образом в далеко зашедших случаях рака молочной железы с метастазами. Назначают больным с сохраненным менструальным циклом или при менопаузе до 5 лет, а также больным, у которых овариальная функция подавлена предыдущим облучением или подвергавшимся овариэктомии; препарат более эффективен после двусторонней овариэктомии.
15. ГЕСТОНОРОНА КАПРОАТ (Gestonorone Caproate).
17-α-Окси-19-норпрегнен-4,3,20-дион-17-гексаноат (капронат), или 17-α-окси-19-норпрогестерон (капронат):

Белый или кремовато-белый кристаллический порошок. Мало растворим в воде, растворим в спирте.
Препарат применяют при аденоме предстательной железы главным образом у больных с противопоказаниями к оперативному лечению. Кроме того, используют при карциноме эндометрия и раке молочной железы.
16. МЕДРОКСИПРОГЕСТЕРОНА АЦЕТАТ (Medroxyprogesterone Acetate)*.
17-Гидрокси-6α-метилпрегн-4-ен-3,20-диона ацетат:

По химической структуре близок к производным прогестерона; по основному виду действия является прогестином (гестагеном).
Как гестагенное средство имеет применение при нарушениях менструального цикла, дисфункциональных маточных кровотечениях. Однако основное применение препарат нашел как противоопухолевое средство при гормоночувствительных злокачественных опухолях, особенно при раке молочной железы, матки (эндометрия) и почек. Эффект связан не только с гестагенной, но и с антиэстрогенной и антиандрогенной активностью.
В качестве противоопухолевого средства медроксипрогестерона ацетат применяют главным образом для дополнительной и (или) паллиативной терапии рецидивов и (или) метастазов рака эндометрия матки и почки, а также для терапии рецидивов гормональнозависимого рака молочной железы у женщин в постменопаузе.
17. ЦИПРОТЕРОНА АЦЕТАТ (Cyproterone Acetate).
![]() |
6-Хлор-1β,2β-дигидро-17-гидрокси-З'Н-цикло-пропа[ 1,2]прегна-1,4,6-триен-3,20-дионацетат:
Назначают препарат при неоперабельном раке предстательной железы. Иногда эффективен при резистентности опухоли к другим гормональным препаратам.
Иногда применяют ципротерона ацетат у женщин при тяжелых проявлениях гиперандрогенной активности (тяжелый гирсутизм, тяжелая андрогенозависимая алопеция, тяжелые формы акне и себореи), а также при преждевременном половом развитии у детей.
18. ОКСИПРОГЕСТЕРОНА КАПРОНАТ (Охурго-gesterone capronate).
Прегнен-4-ол-17α-диона-3,20 капронат, или 17α-окси-4-прегнен-3,20-диона 17-гексаноат, или 7α-гидро-ксипрегн-4-ен-3,20-дионагексаноат:
![]() |
Белый или белый со слегка желтоватым оттенком кристаллический порощок. Практически нерастворим в воде, растворим в спирте, жирных маслах.
Применяют при патологических процессах, связанных с недостаточностью желтого тела.
Вводят внутримышечно в виде раствора в масле.
19. И многие другие препараты
Заключение
Сложные эфиры на сегодняшний день находят широкое применение в различных сферах жизнедеятельности человека, в том числе и в медицине с ветеринарией.
Список используемой литературы
1. М. Д. Машковский «Лекарственные средства» том 1
2. М. Д. Машковский «Лекарственные средства» том 2
3. http://www.medical-enc.ru/12/med_zhir.shtml - медицинская энциклопедия
4. http://www.womenhealthnet.ru/aromatherapy/1764.html - Журнал о женском здоровье
5. http://honeyencyclopaedia.narod.ru/vosk.html - медовая лавка магазина "Диамарт"










