| Скачать .docx |
Реферат: Макрокинетика гетерогенных каталитических реакций Устойчивость экзотермических реакций Выбор
Федеральное агентство по образованию
Государственное образовательное учреждение
высшего профессионального образования
"ТОМСКИЙ ПОЛИТЕХНИЧЕСКИЙ УНИВЕРСИТЕТ"
Химико-технологический факультет
Процессы и аппараты химических производств
Кафедра химической технологии топлива
" Макрокинетика гетерогенных каталитических реакций. Устойчивость экзотермических реакций. Выбор типа реактора и условий реализации промышленного процесса"
Реферат по дисциплине "Дополнительные главы физической химии".
Исполнитель:
маг. гр.5М550 Афанасьева Ю.И.
Руководитель:
АссистентЧеканцев Н.В.
Томск - 2010
Содержание
Макрокинетика гетерогенных каталитических реакций
Массоперенос и теплопередача в порах
Внешняя массо- и теплопередача
Устойчивость экзотермических реакций
Выбор типа реакции и условий реализации промышленного процесса. Оптимальный температурный профиль
Список используемой литературы
Макрокинетика гетерогенных каталитических реакций
Реальные кинетические закономерности каталитического процесса определяются как истинной кинетикой реакции на активной поверхности, так и условиями массопереноса и теплопереноса; их изучение составляет предмет макрокинетики химических процессов.
Массоперенос и теплопередача в порах
Важное значение имеет перенос вещества и тепла внутри пористой частицы катализатора.
Перенос вещества в порах осуществляется исключительно путем молекулярной диффузии.
Если диаметр поры значительно превышает среднюю длину свободного пробега молекулы, то диффузия в порах протекает так же, как в объеме неподвижной жидкости или газа. В этом случае скорость переноса вещества вдоль поры определяется законом Фика.
Движущей силой диффузии является градиент концентрации диффундирующего вещества С вдоль направления поры X , а поток вещества направлен в сторону уменьшения концентрации.
Средняя скорость движения молекул зависит от температуры газа и в равновесном газе определяется законом Максвелла:
![]()
где k - константа Больцмана; Т - абсолютная температура; т - масса молекулы. Коэффициент молекулярной диффузии в газах может быть определен:
![]()
Величина D м возрастает с повышением температуры, чем больше масса и диаметр молекулы, тем труднее, она диффундирует. Определение коэффициентов молекулярной диффузии в многокомпонентных смесях представляет собой чрезвычайно сложную задачу. При расчете химических процессов зависимостью коэффициентов диффузии от состава газовой смеси и температуры можно пренебречь.
В жидкостях величины коэффициентов молекулярной диффузии на несколько порядков ниже, чем в газах. Медленность молекулярной диффузии в жидкостях сильно ограничивает возможность применения пористых катализаторов для проведения жидкофазных реакций.
При уменьшении диаметра пор столкновения молекул со стенками поры начинают играть все большую роль в процессе молекулярной диффузии.
Когда диаметр поры намного меньше, чем средняя длина свободного пробега, коэффициент диффузии будет пропорционален уже не средней длине свободного пробега, а диаметру поры d П :
![]()
Эту область (λ " d п ) называют кнудсеновской, а величину D кн - кнудсеновским коэффициентом диффузии.
При фиксированном диаметре поры переход в кнудсеновскую область диффузии происходит при уменьшении давления; он является плавным, поэтому в довольно широком интервале давлений для определения коэффициента диффузии пользуются различными приближенными переходными формулами, например, формулой гармонического среднего:
![]()
При исследовании макрокинетики химических реакций в пористом зерне нерационально рассматривать процесс в отдельной поре. Поры реальной частицы катализатора неодинаковы по размеру и образуют запутанную сеть. Поэтому пористое зерно рационально рассматривать как квазигомогенную среду, характеризуя скорость диффузии реагентов эффективным коэффициентом диффузии D , а скорость химической реакции - эффективной кинетической функцией r (С, Т).
Эффективный коэффициент диффузии D < D м коэффициента молекулярной диффузии . Это объясняется, тем, что в пористом зерне доступно для диффузии не все сечение, а лишь часть, занятая порами, равная доле свободного объема и удлинением пути диффузии в извилистых порах. В общем случае эффективный коэффициент диффузии можно представить в виде:
D = а D м
где а - множитель, зависящий от структуры зерна, определяемый экспериментально.
В кнудсеновской области а падает с уменьшением размера пор. При определенных условиях в мелких порах проявляется, однако, дополнительный механизм переноса вещества за счет поверхностной диффузии молекул, адсорбированных на стенках пор. Этот эффект, в принципе, может приводить к величинам а , превышающим единицу.
Существенное влияние на величину D в катализаторах, содержащих узкие поры, оказывает распределение пор по размерам. При резко неоднородном распределении размеров пор само понятие эффективного коэффициента диффузии теряет определенность. Представим себе частицу, свободный объем которой состоит из сети широких транспортных макропор и множества отходящих от них узких капилляров, работающих в кнудсеновской области. Зерна такой структуры находят себе широкое применение, поскольку они сочетают хорошо развитую внутреннюю поверхность с относительно высокой скоростью диффузии, обеспечиваемой системой транспортных макропор. Измерение величины D в подобном зерне даст лишь величину D в макропорах. Между тем, химическая реакция, протекающая в основном в капиллярах, на которые приходится преобладающая часть внутренней поверхности катализатора, может лимитироваться гораздо более медленной диффузией в кнудсеновских микропорах.
При описании макрокинетики каталитической реакции на составных зернах применяют "двойную" диффузионную модель, вводя отдельные эффективные коэффициенты диффузии для системы транспортных макропор и для микропор в мелких гранулах. При этом сначала определяют зависимость скорости реакции в мелких гранулах от концентраций реагентов в транспортных макропорах, а затем вычисляют макроскопическую скорость реакции в зерне в целом с учетом диффузионного торможения в макропорах. Описывать составное зерно как квазигомогенную среду с эффективным коэффициентом диффузии, найденным в отсутствие химической реакции, можно только в предельных случаях, когда реакция либо не тормозится диффузией в микропорах, либо протекает настолько быстро, что локализуется на внешней поверхности малых гранул.
В пористом катализаторе перенос тепла осуществляется как с помощью молекулярного теплопереноса в порах, так и за счет теплопроводности самого катализатора.
В газах коэффициент молекулярной теплопроводности χ м примерно равен коэффициенту молекулярной диффузии D м , умноженному на теплоемкость единицы объема газа γ. Эффективный коэффициент теплопроводности пористой частицы можно представить формулой
![]()
где χ 0 - теплопроводность данной частицы в вакууме, которая определяется переносом тепла по твердой фазе.
Внешняя массо- и теплопередача
Существенное влияние на макроскопическую скорость каталитической реакции может оказывать массо- и теплообмен между внешней поверхностью частицы и омывающим ее потоком. Вблизи поверхности перенос вещества будет определяться молекулярной диффузией реагентов. .
Скорость потока плавно спадает по мере приближения к твердой поверхности. Чтобы найти поток вещества, диффундирующего на твердую поверхность, необходимо решить уравнение конвективной диффузии с граничными условиями, заданными на этой поверхности. В случае ламинарного движения распределение концентрации вещества:
![]()
где и x и у , и z - компоненты вектора скорости и, являющиеся функциями координат X , Y , Z .
Величину и направление скорости в каждой точке определяют решением уравнений гидродинамики. В правой части уравнения (7) оставлена производная только по координате X , нормальной к поверхности, так как по всем другим направлениям перенос вещества молекулярной диффузией пренебрежимо мал. Граничные условия для уравнения (7) определяются тем, что диффузионный поток на твердую поверхность катализатора равен скорости химической реакции, а на достаточном удалении от поверхности концентрация равна С ∞ .
При больших скоростях движения практически весь перепад скорости сосредоточен в тонком гидродинамическом пограничном слое толщиной δ 0 , а перепад концентрации - в диффузионном пограничном слое толщиной δ. Отношение δ 0 /δ тем выше, чем больше отношение кинематической вязкости вещества υ к коэффициенту молекулярной диффузии D м . В жидкостях, где υ/ D м >1. В этом случае при решении уравнения (7) используют простые выражения для скорости потока вблизи твердой поверхности, что позволяет найти аналитическое решение при протекании быстрой реакции или реакции первого порядка на поверхности частиц простой геометрической формы (пластина или шар). В газах толщины диффузионного и гидродинамического пограничных слоев одного порядка и уравнение (7) может быть решено только приближенными методами. Аналогичным способом - путем решения уравнения конвективной теплопроводности - определяют и тепловой поток на твердую поверхность
При обтекании тел сложной геометрической формы уравнения (7) становятся практически неразрешимыми. В этом случае эффективная толщина диффузионного слоя или коэффициент массопередачи β = D M /δ определяются экспериментально. Опыты по измерению коэффициента массопередачи проводят в условиях, когда гетерогенная реакция протекает практически мгновенно и скорость исследуемого процесса лимитируется исключительно переносом вещества к активной поверхности.
При исследовании теплообмена между движущимся веществом и активной поверхностью, тепловой поток q т может быть выражен формулой
![]()
где α - коэффициент теплопередачи; Т ∞ - Т 0 - перепад температур между веществом и твёрдой поверхностью.
Функциональные зависимости, описывающие процессы массо - и теплопередачи, почти не отличаются друг от друга и для зернистого слоя сферических частиц выражаются формулами:
![]()
Как уже указывалось, процессы массопередачи и химической реакции не являются полностью независимыми. Поэтому нельзя вычислять макроскопическую скорость гетерогенного процесса, просто приравнивая величину q ( количество вещества, диффундирующего через единицу поверхности в единицу времени) к скорости реакции на активной поверхности.
Устойчивость экзотермических реакций
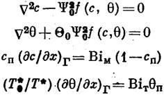
Система уравнений материального и теплового балансов экзотермической реакции на пористом зерне катализатора:

С учетом сопротивления переносу вещества и тепла на внешней поверхности зерна Г:
(11)
где r
- скорость реакции в единице объема пористого катализатора; D i
и χ
- эффективные коэффициенты диффузии и теплопроводности в пористом зерне; υ
i
-
стехиометрический коэффициент; h -
теплота реакции;
2
- оператор Лапласа; C i
0
и Т 0
- концентрации реагентов и температура на внешней поверхности зерна; С i ∞
, Т ∞
- концентрация реагентов и температура в ядре потока; β
i
, α
- коэффициенты массо - и теплопередачи из ядра потока к внешней поверхности зерна; п -
направление внешней нормали к поверхности зерна катализатора.
Заметим, что β i = D i M /δ и D i = aD i M ( где D i м - коэффициент молекулярной диффузии 1-го вещества, δ - толщина диффузионного пограничного слоя и а - коэффициент, зависящий от структуры пористого катализатора). Величины δ и a можно с достаточной степенью точности считать одинаковыми для всех веществ, участвующих в реакции. Система уравнений (90) может быть сведена к единственному уравнению для концентрации одного из реагирующих веществ, которое принимают за ключевое. Введем с этой целью вспомогательную величину
(23)
Из уравнений (19) и граничных условий (21) следует, что величина w ij определяется решением задачи
(24)
Очевидно, решение этой задачи имеет вид w ij = const = w ij ∞ Из формулы (23) теперь следует, что концентрации всех веществ, участвующих в реакции, связаны между собой линейными соотношениями
(25)
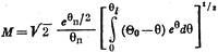
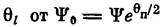
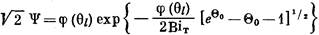
и, таким образом, концентрации всех реагентов можно выразить через концентрацию одного ключевого вещества. Уравнения и граничные условия, определяющие концентрацию ключевого вещества и температуру в пористой частице катализатора, удобно записать в следующей безразмерной форме:
(26), (27), (28), (29)
где х - безразмерная координата (с масштабом l ) направленная вдоль внешней нормали к поверхности, и Bi м = β l / D , диффузионное и тепловое числа Био.
Выбор безразмерных переменных в уравнениях (26), (27) несколько необычен. За масштаб концентрации ключевого вещества внутри пористого зерна мы приняли концентрацию ключевого вещества на внешней поверхности зерна, так что с = С/С 0 . Аналогично, безразмерная температура внутри зерна определяется как θ = (Т - То) /Т 0 * ( где Т 0 * - масштаб внутренней температуры, зависящий от температуры внешней поверхности зерна). В соответствии с этим параметры Ψ 0 = l [ r (С 0 , Т 0 ) / D С 0 ] 1/г , Θ 0 = hC o D /χ T 0 * (параметр максимального разогрева), а также безразмерная скорость реакции f ( с, θ) = r (С, Т) / r (С 0 , Т 0 ) зависят от значений переменных на внешней поверхности зерна. Поскольку эти значения неизвестны заранее, величины Ψ 0 и Θ 0 , как и другие параметры, которые могут входить в выражение для f (с, θ), не являются характерными параметрами рассматриваемого процесса. Преимущество такого выбора безразмерных переменных заключается, однако, в том, что в дальнейшем можно воспользоваться результатами исследования хорошо изученной задачи расчета экзотермической реакции на пористом зерне катализатора при фиксированных значениях концентрации и температуры на внешней поверхности зерна. Нетрудно видеть, что Ψ 0 и Θ 0 являются характерными параметрами этой задачи. В граничных условиях, (29) участвуют безразмерная концентрация ключевого вещества на внешней поверхности частицы c П = C 0 / C ∞ и безразмерная температура внешней поверхности θ П = ( T 0 - T ∞ ) / T *, масштабы которых связаны уже только со значениями переменных в ядре потока.
Пользуясь уравнениями (26), (27) и граничными условиями (28), (29), можно получить оценку условий, при которых существует заметный перепад концентрации и температуры между поверхностью катализатора и внешней средой. Внешнее сопротивление массопередаче начинает сказываться только, когда реакция локализуется в тонком слое, толщина которого сравнима с толщиной диффузионного пограничного слоя δ. Действительно, поскольку величина Ψ 0
является мерой проникновения реакции в глубь пористого катализатора, так что dc / dx
0
, из граничного условия (28) следует:
(30)
Так как всегда
, внешний перепад концентрации сравним с внутренним только при
.
Для оценки перепада температуры воспользуемся линейной связью между концентрацией и температурой внутри пористой частицы, которая следует из уравнений (25), (26)
(31)
откуда
(32)
Принимая во внимание, что для газовой среды
(где χ м
- коэффициент молекулярной теплопроводности газа) и используя граничное условие (29), находим:
(33)
Так как перенос тепла в пористом катализаторе идет в основном по твердой фазе, то
. Для сильно экзотермических реакций величина Θ 0
может принимать значения порядка нескольких единиц. Поэтому величина θ П
, характеризующая влияние внешнего сопротивления теплоотводу, может быть существенной (
) при сравнительно небольших значениях Ψ 0
, когда внешнедиффузионное сопротивление еще не оказывает заметного влияния на процесс.
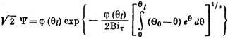
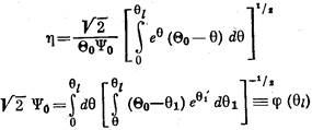
Учитывая, что тепловой поток на внешнюю поверхность катализатора
равен скорости тепловыделения в результате реакции, граничное условие (22) или (20) можно преобразовать, введя фактор эффективности η, вычисленный для процесса с фиксированными значениями концентрации и температуры на внешней поверхности катализатора:
(34)
Используя значения фактора эффективности η, найденные путем решения задачи с фиксированными С 0 , T 0 , можно вычислить правую часть уравнения (34) φ (θ П ); после этого значения внешнего разогрева θ П определяются как точки пересечения графика функции φ (θ П ) с прямыми с наклоном В i Т , проведенными через начало координат.
Поскольку величины Ψ 0 и Θ 0 зависят от поверхностных значений концентрации и температуры и потому не являются характерными параметрами процесса, они должны быть выражены через параметры
,
отнесенные к условиям в ядре потока. Установлено, что при не слишком больших внешних разогревах θ П С 0 ≈ С ∞ и, следовательно, (Т 0 */Т*) Θ 0 ≈ Θ Ψ 0 = Ψσ (θ П ) (где σ (θ п ) - сильно возрастающая функция θ П ).
В случае, когда зависимость η ( Ψо) неоднозначна, график зависимости правой части φ (θ П ) уравнения (34) от θ П имеет форму, показанную на рис, ШЛО. При увеличении θ П функция φ (θ П ) резко возрастает за счет сильной зависимости Ψ 0 от θ П . При дальнейшем увеличении θ П . когда начинает сказываться внешне-диффузионное торможение процесса, функция φ (θ П ) проходит через максимум и резко спадает до нуля. Решения уравнения (111.115) определяются как точки пересечения кривой φ (θ П ) и прямой с наклоном В i Т . Из рис.1 видно, что уравнение (34) может иметь до пяти решений, причем при значениях числа В i Т меньше некоторых критических, решения, соответствующие малым внешним разогревай, исчезают. При увеличении температуры потока, а следовательно, параметра Ψ кривая φ (θ П ) сдвигается вверх, и при значениях Ψ, больших некоторых критических, также исчезают низкотемпературные решения. Участку кривой φ (θ П ) слева от точки 1 соответствует внутрикинетический, а между точками 2 и 3 - внутридиффузиошшй режим протекания реакции. В задаче с фиксированными значениями поверхностных концентраций и температуры внутрикинетический режим существует левее точки 4, а внутридиффузионный - правее точки 5. Наличие сопротивления теплоотводу на внешней поверхности зерна приводит к расширению области промежуточных неустойчивых состояний. Кроме того, при наличии внешнего сопротивления теплоотводу множественные режимы возникают и в том случае, когда зависимость η (Ψ 0 ) однозначна.

Рис.1. Графическое решение уравнения (34)
Промежуточных неустойчивых состояний. Кроме того, при наличии внешнего сопротивления теплоотводу множественные режимы возникают и в том случае, когда зависимость т) (Ч'о) однозначна.
Реакция первого порядка.
Рассмотрим более подробно необратимую экзотермическую реакцию первого порядка на пористом катализаторе, имеющем форму пластины толщиной 2
l
с "запечатанными" боковыми гранями. Это простейший пример, на котором видны все характерные особенности рассматриваемой задачи. Пусть
. Если принять за масштаб температуры Т
величину
, то
![]()
(35)
![]()
Величины Ψ 0
иΘ 0
связаны с характерными параметрами задачи Ψ
, Θ=
χ R
следующими соотношениями, вытекающими из формул (28), (29)
(36), (37)
При записи параметра в за масштаб внешней температуры принята величина
.
При не слишком больших θ П
(θ П
1) величины
и Т*
практически совпадают и, так как
. Заметим, что из формулы (37) следует существование максимально возможного разогрева θ п. макс
=Θ п
= m
Θ.
Используя соотношение (31) между концентрацией и температурой внутри катализатора, сведем систему (26), (27) к единственному уравнению относительно безразмерной температуры θ
(38)
где x - безразмерная координата, принимающая значения x =0 в центре пластины и x =±1 - на ее поверхности.
Переходя к интегрированию уравнения (38), будем считать величину θ П , а следовательно, и значения параметров Ψ 0 и Θ 0 известными. Далее можно найти величину θ П , подставляя полученное решение в граничное условие (20). Таким образом, будем решать уравнение (38) с граничными условиями:
(39)
Метод решения задачи (38), (39) выражается формулами (88) и (89):
(40), (41)
Метод решения задачи (38), (39) изложен в предыдущем разделе, ее решение выражается формулами (88) и (89):
(42)
где
(43)
безразмерный параметр теплопередачи.
Исследуем сначала область
, в которой можно пренебречь внешнедиффузионным торможением. Тогда
и задача сводится к совместному решению уравнений (42) и (41) относительно неизвестных величин θ l
и θ П
.
В двух предельных случаях из этой системы уравнений можно исключить величину θ l
. В кинетической области, считая
, получим из формулы (41):
(44)
Подставляя θ l , найденное из уравнения (44), в (42) получим в том же приближении:
(45)
Во внутридиффузионной области можно положить в уравнении (42)
. При этом получаем:
(46)
Правая часть формулы (45) имеет минимум, равный при e ΨΘ 0 , а минимум выражения (46) достигается при θ П = 2. Из выражения (46) следует, что во внутридиффузионном режиме правая часть уравнения (42) не зависит от параметра Ψ и, следовательно, значение θ П в этой области определяется только параметрами М и Θ 0 .
Зависимость θ П
( М)
при известных значениях Ψ и Θ 0
может быть построена с помощью графика функции φ (θ l
). Действительно, задавая значение θ l
, можно по графику определить
и, подставляя полученные значения θ п
и θ l
в формулу (42), построить зависимость θ П
( М).

Рис 2. Зависимость внешнего разогрева θ П от параметра М : Θ=5; Ψ=0,37 (а); 0,30 (б); 0, 20 (в).
Рис.3. Зависимость внешнего разогрева θ п от параметра М : Θ=4 ( а-в ); Ψ=0,47 ( а ), 0,45 ( б ), 0,40 ( в ); Θ=3 ( г, д ); Ψ=0,50 (г), 0,45 ( д ); Θ=2; Ψ0,53 ( е ).
На рис.2 и 3 приведен ход кривых θ П
( М)
в области θ П
~
1 для нескольких значений Θ и Ψ. Пересекая полученные кривые прямыми М
= const , можно найти соответствующие этим значениям параметра теплопередачи безразмерные перепады температуры между поверхностью катализатора и внешним потоком. Обратимся к изучению зависимости θ П
( М)
при различных комбинациях параметров Θ и Ψ. Представленное на рис.2 семейство кривых соответствует Θ = 5 и нескольким значениям Ψ. В этом случае, как уже указывалось, зависимость θ l
от
может быть неоднозначной, поэтому кривая М (
θ П
) тоже может быть неоднозначной в некоторой области изменения θ П
. Границы области неоднозначности кривой М (
θ П
), отмеченные точками 4
и 5
на рис.2, в которых | dM /
d
θ п
|=∞, соответствуют точкам максимума и минимума функции φ (θ l
). Указанная неоднозначность М (
θ П
) при Θ >4,5 проявляется в том случае, когда Ψ < Ψ макс
, где
Ψ макс
значение φ (θ l
) в максимуме. При этом точкам 4
на рис.2 соответствуют θ п
=2 ln ( Ψ макс
/ Ψ ), а точкам 5
θ П
=2 ln ( Ψ мин
/ Ψ ) (где
Ψ мин
- значение φ (θ l
) в минимуме). Если Ψ < Ψ мин
, то на графике М (θ П
) присутствуют точки типа 5 и 4; при Ψ мин
< Ψ < Ψ макс
точки типа 5 отсутствуют, и при Ψ > Ψ макс
зависимость М (θ П
) является однозначной.
Кривые М ( θ П )) соответствующие разным Ψ, могут иметь в области θ П ~ 1 минимумы (точки 1 и 3) и максимумы (точки 2) и выходят во внутридиффузионной области на единую асимптотическую кривую, определяемую формулой (46). Наличие на кривой М ( θ П ) экстремумов означает существование в рассматриваемой задаче множественных режимов, причем значения θ П , при которых dM / d θ П =0 (точки 1 -3 на рис.2 и 3), разделяют чередующиеся области устойчивых и неустойчивых режимов. Заметим, что точки 4 и 5 ( соответствующие значениям Ψ 0 , при которых в задаче с заданными значениями поверхностных концентраций С 0 и температуры Т 0 происходил перескок между режимами) попадают в область неустойчивых режимов, разделяющих внутрикинетическую. и внутри-диффузионную области. Таким образом, наличие сопротивления теплоотводу на внешней поверхности катализатора приводит к расширению области неустойчивых режимов. Это проявляется также в возникновении неустойчивой области при Θ < 4,5, когда задача без внешнего сопротивления вообще не имеет неустойчивых режимов. Скачкообразные переходы во внутренних режимах могут наблюдаться, как это видно из рис.3, до Θ = 2.
При значениях параметра М,
меньших абсолютного минимума функции М (
θ П
) (этот минимум может соответствовать точкам 1
и 5, см. рис.2,3), в рассматриваемой области
режимов с небольшими внешними разогревами не существует и процесс переходит во внешнедиффузионный режим (θ П
~ Θ п
). Во внешнедиффузионном режиме существенным становится перепад концентрации у поверхности катализатора, и поэтому для получения зависимости М (
θ П
) в этой области значений θ П
необходимо учитывать связь Θ 0
с θ П
, определяемую формулой (37). Поскольку при этом реакция локализована в узком слое близ поверхности катализатора из-за большого внутридиффузионного торможения, ход кривой М (
θ П
) во внешнедиффузионной области можно получить из формулы (46) с учетом зависимости (37). При больших θ П
можно также заменить приближенную кинетическую функцию
на ехр θ п
/2 (1 + b
θ П
) (где b
== R Т ∞
/Е)
и учесть различие между величинами T
0
*
и Т*.
При увеличении θ П
от значений порядка единицы до
проходит через максимум, высота которого тем больше, чем больше θ П
или m
, а при θ П
→Θ п
функция М (
θ П
) спадает до нуля. При уменьшении т
максимум М (
θ П
) снижается, и, начиная с некоторых значений т,
максимум исчезает и переход во внешнедиффузионную область при изменении параметра М
происходит плавно.
Таким образом, исследование зависимости θ П
( М)
показывает, что при заданном значении параметра М
в рассматриваемой системе возможны одно, три или пять соответствующих ему значений θ П
и соответственно одно, три или пять стационарных решений. Этим решениям отвечают внутрикинетический режим I
, внутридиффузионный II
и внешнедиффузионный III
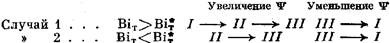
режимы и чередующиеся с ними два промежуточных неустойчивых режима. Выпишем возможные режимы процесса при Θ > 4,5 и т
1, а также переходы между ними при изменении гидродинамических условий:


Характер переходов между режимами зависит от того, попадает ли величина Ψ в интервал Ψ мин < Ψ < Ψ макс , где задача с фиксированными значениями С 0 , Т 0 имеет множественные решения. Возможные режимы при 4,5 > Θ >2 таковы же, как и в случае 3.
Для исследования переходов между режимами, связанных с изменением температуры потока и, следовательно, изменением параметра Ψ, удобно пользоваться кривыми, изображающими зависимость параметра Ψ от значения температуры в центре катализатора θ l при фиксированных прочих параметрах задачи В i Т , Θ, m .
Рассмотрим область небольших внешних разогревов θ П
2, где несущественно внешнедиффузионное сопротивление и Θ 0
Θ.
Из уравнения (41) получаем:
(48)
Подставляя это соотношение в формулу (42), определим θ П через температуру в центре катализатора θ l и параметры В i Т , Θ 0 , Ψ:
(49)
Выразив в уравнении (41) Ψ 0 через Ψ и воспользовавшись соотношением (49), находим искомую связь между θ l и Ψ:
(50)
Из формулы (50) следует, что при отсутствии сопротивления теплопередаче на поверхности катализатора (В i T → ∞) зависимость Ψ от θ l совпадает с (41). При наличии внешнего теплового сопротивления начинает сказываться экспоненциальный фактор в формуле (50) и кривая Ψ проходит ниже соответствующей кривой при Bi т = ∞. Во внутридиффузионной области, где Ψ (θ l ) принимает большие значения, функция Ψ (θ l ) проходит через максимум, после чего спадает до малых значений (см. рис.4). Значение функции в максимуме нетрудно определить, если учесть, что этот максимум находится в области значений θ l , весьма близких к Θ 0 . При этом с высокой точностью можно считать θ l - Θ 0 под знаком радикала в уравнении (50):
(51)
Тогда для значения Ψ (θ l ) в максимуме получаем соотношение:
(52)
Величина Ψ в максимуме может быть получена подстановкой соотношения (52) в (51):
(54)
Чтобы выяснить дальнейший ход кривой Ψ (θ l ) в области, соответствующей значительным внешним перепадам температуры ω, необходимо учесть, что максимально возможный внутренний разогрев Θ 0 с ростом θ П падает, и согласно формуле (48), Θ 0 →0 при θ П → Θ П . При этих значениях θ п θ l ≈Θ 0 и, пользуясь соотношениями (51) и (37), можно найти следующую зависимость Ψ (θ l ):
(55)
В случае, когда величиной b
Θ П
нельзя пренебречь по сравнению с единицей, показатель экспоненты в формуле (54) следует заменить на m
(θ l
- Θ) /2 [1 + bm (
Θ - θ l
)]. Из формулы (54) следует, что при т
1 функция Ψ (θ l
) резко спадает до весьма малых значений при уменьшении θ l
и, переходя через минимум, поднимается вдоль оси ординат при θ l
1.
Таким образом, задавая значения параметра Ψ, можно определить стационарные температуры в центре катализатора, пересекая график Ψ (θ l ) прямыми Ψ = const . На рис.4 изображена зависимость Ψ от θ l при Θ = 5 и В i т = ∞,20 и 10. При различных значениях параметра Ψ может существовать одно, три или пять соответствующих ему значений θ l и соответственно одно, три или пять стационарных решений, которым отвечают внутрикинетический режим I , внутридиффузионный II и внешнедиффузионный III режимы и два промежуточных неустойчивых решения.

Рис.4 Зависимость разогрева в центре пластины от модуля Тиле: Θ=5, Bi T =∞ ( a ); 20 ( б ), 10 ( в ). Стрелки указывают направление скачкообразных переходов между режимами.
Переходы между режимами при изменении параметра Ψ (изменении внешней температуры) зависят от относительной высоты двух максимумов на кривой Ψ (θ l ). Для каждого Θ > 4,5 существует такое значение параметра Bi т = В i т * , что при Bi т < В i т * значение функции в правом максимуме, которое линейно зависит от В i T , станет меньше значения функции в левом максимуме (см. рис.4). Оценку этого значения В i Т можно получить, считая, что вследствие слабого влияния экспоненциального фактора в формуле (50) в области левого максимума, значение Ψ в нем не зависит от В i т и равно Ψ макс . Тогда, используя (53), получаем:
(56)
Возможны следующие схемы переходов между стационарными режимами процесса при изменении температуры среды и, следовательно, параметра Ψ:
![]()
Интересной особенностью переходов между режимами в рассмотренной системе, является то, что при некоторых условиях внутри-диффузионный режим, хотя и существует, по не проявляется ни при увеличении, ни при уменьшении температуры и скорости потока.
Выбор типа реакции и условий реализации промышленного процесса . Оптимальный температурный профиль
Основные положения. В любое из расчетных уравнений химического процесса входит ряд переменных: время контакта, температура потока на входе в реактор и температура теплоносителя, скорость потока, диаметр зерна катализатора и т.д., значения которых можно изменять в более или менее широких пределах. Приступая к проектированию химического реактора, необходимо выбрать значения этих переменных так, чтобы добиться наилучшего результата процесса. Число и номенклатура варьируемых переменных определяются принятым типом реактора и его схемой. Последняя также должна быть выбрана оптимальной, а этого в большинстве случаев можно добиться только путем сравнения наилучших результатов процесса, достижимых в реакторах различных типов.
Понятие "наилучшего" должно обладать количественной мерой, называемой критерием оптимальности. Любой применяемый критерий оптимальности имеет экономическую природу и определяется, во-первых, изменением состава, а следовательно, и стоимости реагирующего потока в результате процесса и, во-вторых, затратами на ведение процесса. Не все составляющие критерия оптимальности имеют одинаковое значение. Некоторые из них могут быть настолько малы, что их разумно не принимать во внимание, и в каждом конкретном случае надо решать вопрос о том, каким упрощенным вариантом критерия оптимальности надо пользоваться.
Во многих случаях упрощение критерия оптимальности компенсируется введением дополнительных условий и ограничений, которым должно удовлетворять оптимальное решение. Простейшим, чисто химическим критерием оптимальности может быть выход целевого продукта.
Задача оптимального проектирования реактора определенного типа сводится, таким образом, к разысканию максимального значения критерия оптимальности путем варьирования ряда независимых переменных, допустимые значения которых обычно ограничены технологическими пределами. Проведение процесса в рассчитанном режиме даст наилучший результат, достижимый (в реакторе данного типа) на данном катализаторе при принятых условиях и ограничениях. Сравнивая максимальные значения критерия оптимальности для реакторов различных типов, можно определить, какой тип реактора предпочтителен для осуществления данного процесса.
Рассмотрим одну из простейших и в то же время теоретически наиболее важную задачу оптимизации - определение оптимальной температуры в каждом сечении реактора идеального вытеснения. Состав смеси продуктов реакции на выходе трубчатого реактора зависит от профиля температуры по длине аппарата. Очевидно, должен существовать такой продольный температурный профиль, при котором выход целевого продукта или, в общем случае, значение принятого критерия оптимальности будет максимальным. Этот температурный профиль будет для данного процесса оптимальным. Оптимальный температурный профиль (ОТП), как правило, практически не может быть реализован, однако к нему можно приблизиться, применяя различного типа секционированные реакторы. Теоретическая роль ОТП в реакторе идеального вытеснения состоит в том, что он дает наилучшие возможные показатели, достижимые в процессе с данной кинетикой - тот идеал, к которому следует стремиться при проектировании промышленного процесса. Из аналогии между процессом в реакторе идеального вытеснения и периодическим процессом следует, что в точности тот же результат будет достигнут в периодическом реакторе с температурой, оптимальным образом изменяющейся со временем. Подчеркивая эту аналогию, будем использовать вместо продольной координаты X текущее время контакта t = Х/и ( где и - линейная скорость потока в реакторе идеального вытеснения).
Верхний предел температуры. В некоторых случаях можно сразу указать характер ОТП. Если рост температуры, ускоряя процесс, увеличивает также, независимо от состава реагирующей смеси, его избирательность (или, по крайней мере, не влияет на последнюю), оптимальная температура должна быть как можно более высокой.
Так, в случае единственной необратимой реакции повышение температуры только увеличивает ее скорость, а в случае обратимой эндотермической реакции - к тому же и смещает равновесие в сторону образования целевого продукта. Если, помимо основной реакции образования целевого продукта, имеется параллельная или (и) последовательная побочная реакция с энергией активации, меньшей, чем у основной, то повышение температуры увеличивает и скорость, и избирательность процесса. Во всех этих случаях температуру процесса следует поддерживать на верхнем допустимом пределе Т*. Эта предельная температура может определяться, например, условиями скачкообразного перехода процесса в диффузионный режим, при котором, вследствие сильного разогрева активной поверхности плавится или дезактивируется катализатор или начинают идти незаметные при низкой температуре побочные реакции. Другим фактором, ограничивающим допустимую температуру процесса, может быть возникновение при повышенных температурах нежелательных реакций, идущих в объеме (вне поверхности катализатора) по цепному механизму. Предельная температура Т* -зависит от состава реагирующей смеси и поэтому может изменяться по длине реактора. Так, если необратимая сильно экзотермическая реакция первого порядка, идущая на внешней поверхности непористых частиц, должна по технологическим условиям проводиться в кинетическом режиме, то верхний предел температуры определяется критическим соотношением между параметрами μ и Θ в точке "зажигания" реакции. Сами параметры μ и Θ определены формулами (56), где под С ∞ и Т ∞ следует теперь понимать текущие значения концентрации исходного вещества и температуры потока в данном сечении реактора. Из этих формул и вида кривой зажигания следует, что максимально допустимая температура процесса повышается с уменьшением концентрации исходного вещества. Если переход в диффузионную область допустим, то после этого перехода скорость реакции практически не зависит от температуры, так что дальнейшее повышение температуры становится ненужным.
Обратимая экзотермическая реакция. В случае обратимой экзотермической реакции повышение температуры ускоряет обратную реакцию сильнее, чем прямую, так что равновесие процесса смещается в нежелательную сторону. При некоторой температуре скорость образования целевого продукта r (С, Т) проходит через максимум; эта оптимальная температура зависит от состава реагирующей смеси, уменьшаясь по мере уменьшения концентрации исходного вещества. Таким образом, вначале, пока еще не накопилось значительное количество конечного продукта, процесс выгодно вести при высокой температуре, чтобы увеличить скорость прямой реакции, а затем температуру следует снижать, чтобы, сместив равновесие в нужную сторону, добиться максимального выхода целевого продукта. Температура в каждом сечении реактора должна быть выбрана так, чтобы скорость образования целевого вещества в этом сечении была максимальной, т.е., чтобы выполнялось равенство:
∂ r /∂ T =0 (57)
Если температурная зависимость константы скорости реакции определяется уравнением Аррениуса, где Е 1 , Е 2 - энергия активации; Z 1 , Z 3 - предэкспоненциальные множители соответственно прямой и обратной реакции; R - газовая постоянная; f ( С) и g (С) - кинетические функции прямой и обратной реакций; в случае экзотермической реакции Е 2 > Е 1 . Концентрации исходных веществ и продуктов реакции связаны между собой линейными соотношениями; поэтому функции, выражающие зависимость скорости прямой и обратной реакций от концентраций реагентов, можно выразить через концентрацию С одного из исходных веществ, которое принимается за ключевое. Дифференцируя функцию. (58) по температуре и приравнивая производную нулю, находим оптимальную температуру процесса как функцию концентрации ключевого вещества, где h = E 2 - E 1 - теплота реакции.
Условие для оптимальной температуры можно привести к форме, не зависящей от кинетических функций f (С), g ( С). Обозначим через Т р температуру, при которой смесь того же состава, что и в рассматриваемом сечении, находилась бы в равновесии. Так как r (Т p ) = 0.
Сравнение формул ( IX .3) и ( IX .4) приводит к соотношению.
Конечно, переход от формулы (59) к (61) возможен только в том случае, если равновесная температура, соответствующая данному составу, существует и кинетические функции f (С), g (С) правильно описывают кинетику процесса в окрестности равновесия. Формулы (59), (61) показывают, что оптимальная температура, так же, как и температура равновесия, снижается с увеличением степени превращения. Так как при малых степенях превращения обе величины неограниченно возрастают, в сечениях, близких к входному, оптимальная температура не может быть достигнута и температуру реакции следует фиксировать на верхнем пределе Т*. В частности, в случае реакции первого порядка равновесная температура обращается в бесконечность при степени превращения η = = 1 - С/С 0 , равной и оптимальная - при степени превращения. Поэтому при степенях превращения η < η* повышение температуры всегда приводит к ускорению реакции.
Оптимизация стадийных c хем
Методы оптимизации стадийных схем. При проектировании реальных технологических процессов оптимальному выбору подлежит лишь ограниченное число параметров. В этом состоит существенное отличие практических задач оптимизации от задачи определения ОТП. В гибкой и эффективной реакторной схеме число варьируемых параметров Ф может, однако, быть весьма большим. Примером такой схемы является цепочка последовательно соединенных реакторов, размеры и режим работы которых должны быть выбраны оптимальным способом.
Классический метод поиска максимума функции Ф переменных состоит, как известно, в следующем. Определяются и приравниваются нулю частные производные функции по всем независимым переменным; в результате получается Ф уравнений, совместное решение которых дает искомое положение максимума. Этот метод чрезвычайно громоздок при большом Ф, а, кроме того, часто неосуществим по той причине, что аналитический вывод уравнений, определяющих точку оптимума, невозможен. Другой причиной непригодности классического метода является наличие технологических пределов варьирования независимых переменных. Может оказаться, что критерий оптимальности вовсе не имеет максимума в аналитическом смысле, а его наивысшее значение достигается на одной из границ разрешенной области, т, е. когда одна или несколько независимых переменных фиксированы на предельных значениях.
Наиболее общим, но и самым трудоемким методом расчетного поиска оптимума является "эксперимент" на математической модели. Задавшись некоторой совокупностью значений независимых переменных, всегда можно путем решения системы расчетных уравнений вычислить соответствующее значение критерия оптимальности. Чтобы найти оптимум, не обязательно испытывать все возможные сочетания значений варьируемых переменных (для этого понадобился бы фантастический объем вычислительной работы); как и при экспериментальном поиске, здесь должен быть применен' один из методов направленного движения к оптимуму типа метода крутого восхождения. Поисковые методы редко бывают эффективны. Кроме того, немаловажно, что ни один поисковый метод не может дать информации об общей структуре оптимального решения для ряда сходных задач.
Единый подход к решению широкого класса задач на разыскание экстремума функции большого конечного числа переменных дает теория динамического программирования Беллмана. Сущность этой теории покажем на примере типичной задачи оптимизации, возникающей в химической технологии. Требуется найти оптимальный режим для последовательности N реакторов (или N -стадийного аппарата), причем на каждой стадии варьируется М независимых переменных. Пронумеруем реакторы в обратном порядке, так что первый номер присваивается последнему, а N -й - первому по ходу потока реактору. Состояние потока на выходе n -го реактора обозначим индексом n ; в соответствии с этим исходное состояние потока обозначается индексом N + 1 (рис.5). Состояние реагирующего потока в общем случае описывается некоторым вектором X . Вектор X часто совпадает с вектором состава С; в более сложных случаях, однако, компонентами вектора Смогут быть, помимо концентраций ключевых веществ, также и температура потока, давление и пр. Если осуществить оптимальный выбор значений всех МN варьируемых переменных, получаем максимальное значение критерия оптимальности, - зависящее только от исходного состояния потока:
max P N = φ N ( X N +1 ) (64)
Выделим из N -стадийной последовательности первый по ходу потока реактор и в соответствии с этим разобьем критерий для N -стадийного процесса P N на два слагаемых: критерий для первого по ходу потока реактора p N и критерий для оставшейся ( N - 1) - стадийной последовательности Р N -1 .
P N = P N + P N -1 (65)
Очевидно, что режим N -стадийной последовательности в целом может быть оптимальным только в том случае, если ( N - 1) - стадийная последовательность работает в режиме, оптимальном относительно состояния потока, выходящего из N -го реактора. Действительно, сумма (65) не может стать максимальной, пока ее слагаемое Р N-1 не достигнет максимального значения, зависящего только от состояния потока X N на выходе из N -го реактора. Подставляя (65) в (64) и заменяя, согласно сказанному, P N - 1 на φ N -1 ( X N ), приходим к основному функциональному уравнению
Φ N ( X N +1 ) = max [ p N + φ N -1 ( X N )] (66)
которое представляет собой математическое выражение принципа оптимальности, лежащего в основе теории динамического программирования и сформулированного Беллманом: "Оптимальная стратегия обладает тем свойством, что, каковы бы ни были исходное состояние и решение в начальный момент, последующие решения должны составлять оптимальную стратегию относительно состояния, получающегося в результате первого решения".
![]()
Рис 5 Цепочка последовательно соединенных реакторов
В уравнении (66) максимум достигается варьированием только параметров, управляющих процессом на первой по ходу потока стадии. Принцип оптимальности позволяет, таким образом, заменить задачу одновременного выбора оптимальных значений MN независимых переменных гораздо более простой задачей N -стадийного выбора, на каждой стадии которого оптимум достигается варьированием М переменных. Другой отличительной чертой поиска оптимума методом динамического программирования является то, что задача решается не для единственного процесса с какими-то определенными параметрами исходного состояния, как это делается при использовании метода крутого восхождения, а для совокупности процессов с различными исходными состояниями. Действительно, как результат решения получаем зависимость максимального значения критерия оптимальности от параметров исходного состояния φ N ( X N +1 ).
Уравнение (66) представляет собой соотношение, позволяющее найти максимальное значение критерия оптимальности для N -стадийной последовательности φ N , если максимальное значение критерия для ( N - 1) - стадийной последовательности φ N -1 уже известно. Этот факт и определяет процедуру поиска оптимума методом динамического программирования.
Так как выбор оптимальных условий для реакторов, стоящих в начале последовательности, должен осуществляться с учетом влияния работы этих реакторов на процесс в последующих аппаратах, а обратное влияние отсутствует, расчет N -стадийной последовательности следует начинать с расчета реактора, последнего походу потока, и вести, оптимизируя цепочки реакторов со все большим числом членов, подключая к этой цепочке реакторы, все более удаленные от конца последовательности. Начинаем с "последовательности", содержащей ноль реакторов. В такой "последовательности", разумеется, никаких превращений не происходит и максимальное значение критерия оптимальности φ 0 ( X 1 ) тождественно равно нулю. Далее рассматриваем последовательность, состоящую из одного реактора. Подставляя в (66) N = 1 и φ 0 = 0, получаем:
φ 1 ( X 2 ) = max p 1 (67)
Вектор Х 2 описывает состояние потока, выходящего из реактора 2, и потому пока неизвестен; поэтому приходится определять оптимальные значения варьируемых параметров и соответствующие им максимальные значения критерия оптимальности φ 1 ( X 2 ) для некоторой более или менее широкой совокупности исходных составов и табулировать полученные результаты. После этого можно перейти к расчету двухстадийной последовательности. Пользуясь принципом оптимальности (66), находим оптимальные значения параметров, управляющих процессом в реакторе 2. Варьируя эти параметры, меняем состояние потока Х 2 на выходе из реактора 2; при этом изменяются как величина р 2 ( критерий для реактора 2), так и уже вычисленное максимальное значение критерия оптимальности φ 1 (Х 2 ) для реактора 1. Максимизируется сумма этих величин; для реактора 2 оптимальный режим определяется, таким образом, с учетом не только "локальной пользы", но и влияния работы этого реактора на дальнейший ход процесса. После того как вычислена функция φ 2 ( X 3 ) (в определенной области значений исходных состояний X 3 ), можно приступать к расчету трехстадийной последовательности и т.д., вплоть до любого N.
Описанная общая схема метода динамического программирования, впервые примененная к расчету химических реакторов Арисом, является универсальной, но содержит два неприятных момента. Первый из них - разыскание максимума в уравнении (66), выполняемое на каждой стадии. Здесь можно воспользоваться поисковым методом крутого восхождения, что не вызовет больших затруднений, так как поиск ведется только по малому числу М варьируемых переменных. Второй, еще более неприятный момент - необходимость вычислять на каждой стадии: максимальные значения критерия оптимальности как функции параметров исходного состояния и табулировать вычисленные величины. Эта чрезвычайно трудоемкая задача сильно ограничивает возможности практического применения общей схемы метода динамического программирования и делает ее подчас менее эффективной, чем поисковый метод крутого восхождения. Оба метода являются но своему характеру типично машинными, так как связаны с многократным использованием одних и тех же расчетных формул и уравнений, т.е. многократным повторением относительно простой программы. Вопрос о том, какой из методов рационально применить при расчете, должен решаться в зависимости от конкретных условий задачи. Заранее можно сказать лишь то, что преимущества метода динамического программирования будут сказываться при увеличении числа стадий и при большей неопределенности исходного состояния потока. Рост числа компонентов вектора состояния X , затрудняя задачу табулирования, делает предпочтительным применением метода крутого восхождения.
От недостатков общей схемы метода динамического программирования можно, однако, в значительной мере избавиться, используя аналитический метод поиска оптимума на каждой стадии. Именно этот способ будет применен к решению задач оптимизации цепочек реакторов, рассматриваемых ниже. Отметим, что основные расчетные формулы, которые получим, могут быть выведены не только с помощью метода динамического программирования, но и на основе дискретного варианта принципа максимума Понтрягина или классических вариационных методов.
Список используемой литературы
1. Иоффе И.И., Письмен Л.М. Инженерная химия гетерогенного катализа. Изд-во "Химия", Л., 1972, стр.464, табл.8, рис 102.