| Скачать .docx |
Реферат: Перспективные композиты XXI века на основе органических и неорганических полимеров и новые металлические
ПЕРСПЕКТИВНЫЕ КОМПОЗИТЫ XXI ВЕКА НА ОСНОВЕ ОРГАНИЧЕСКИХ И НЕОРГАНИЧЕСКИХ ПОЛИМЕРОВ И НОВЫЕ МЕТАЛЛИЧЕСКИЕ СПЛАВЫ, ПРИОРИТЕТНЫЕ ТЕХНОЛОГИИ, СТРУКТУРА, СВОЙСТВА
БАЗАЛЬТОПЛАСТИКИ – ПОЛИМЕРНЫЕ КОМПОЗИЦИОННЫЕ МАТЕРИАЛЫ XXI ВЕКА
С.Е.Артеменко, Ю.А.Кадыкова, О.Г.Васильева
Энгельсский технологический институт СГТУ
В общемировой структуре производства спрос на конструкционные материалы ежегодно возрастает на 5-6%, в то время как темп прироста мирового валового продукта составляет ~ 2% в год. Особое место в этом классе материалов представляют базальтопластики (БП), сочетающие высокую прочность, термо- и хемостойкость, экологическую чистоту, пожаробезопасность и долговечность. В качестве армирующей основы в БП служат базальтовые нити (БН), связующим - органические полимеры.
По своему химическому составу БН – это многокомпонентная система, содержащая SiO2 – 48-52% и более 36% реакционноспособных окислов металлов. БН обладают специфической гетероструктурой: пористостью с размером пор d = 7,8 Е, которые при нагреве нитей расширяются, шероховатой (кластерной) поверхностью, высокой сорбционной активностью, кристалличностью.
Если для стеклянной нити применяют многокомпонентную шихту, что резко усложняет и удорожает производство, то формование БН осуществляется из расплава базальта (однокомпонентной шихты) при Т=1450-15000 С. Химический состав БН и стеклянных нитей различается (табл.1). В зависимости от разновидности горных пород базальта и режима формования на поверхности нитей образуется микрошероховатость, вызванная наличием микроскопических кластеров (размером сотни Е). Шероховатость увеличивает удельную поверхность нитей и влияет на сорбционные свойства и химическую стойкость поверхности.
Кристалличность БН характеризуется реликтовой кристалличностью (связана с многокомпонентностью исходных базальтов) и приобретенной в процессе формования нитей.
Таблица 1
Химический состав базальтовых и стеклянных нитей
Волокно |
Содержание окислов, % |
||||||||||
| SiO2 |
Al2 O3 |
FeO+Fe2 O3 |
MgO |
B2 O3 |
MnO |
CaO |
TiO2 |
Р2 О5 |
Na2 O |
K2 O |
|
| Базаль-товое |
49-54 |
16,16 |
12,14 |
7,34 |
- |
0,2 |
10,34 |
1,22 |
0,25 |
0,23 |
2,44 |
| Стеклянное |
50-53,4 |
14,3 |
0,4 |
4,0 |
8,5 |
- |
16,5 |
0,5 |
- |
4,0 |
|
Но рынок базальтовых нитей пока мало изучен и не приобрел еще должного масштаба. Для нашей страны будущее, естественно, за базальтовыми волокнами, так как залежи базальта велики и технологии их переработки в различный ассортимент волокон освоены в разных регионах: Московском, Красноярском, Брянском, Волгоградском и других.
Нами разработана новая интеркаляционная технология (ИТ) базальтопластиков, которая базируется на пропитке БН не готовой термореактивной смолой, как предусматривает традиционная технология, а исходными мономерами. Использовали отечественные, выпускаемые в крупном масштабе, мономеры – фенол и формальдегид в соотношении 1:1,4 и NaOH в качестве катализатора.
Схема включает 4 стадии: пропитка БН смесью мономеров, синтез фенолформальдегидного олигомера при 900 С в течение 90 мин, сушка пресс-материала для удаления летучих и формование прямым прессованием изделий различного функционального назначения.
Благодаря высокой активности к физико-химическому взаимодействию с полимерным связующим формируется структура, придающая БП значительно более высокие характеристики по сравнению с традиционными стеклопластиками (табл.2).
Так, прочность и модуль упругости при изгибе БП увеличиваются в 3 раза, а водопоглощение снижается почти вдвое, в сравнении со стеклопластиками, сформованными по традиционной технологии.
На полноту взаимодействия оказывают большое влияние химический состав и количество замасливателя, наносимого на поверхность нити при ее формовании. Замасливатель олеофильный (активный), в отличие от олеофобного (инертного), ускоряет смачивание и не препятствует интеркаляции смеси мономеров в структуру нити и их взаимодействию с поверхностью пор и самой нитью. Инертный замасливатель, наоборот, резко ухудшает эти процессы и в результате физико-механические свойства базальтопластиков значительно уступают БП на базе нитей с активным замасливателем. Для базальтовых нитей, содержащих инертный замасливатель, в схему включается стадия отжига замасливателя при 2500 С в течение 1 часа. Из табл. 3 видно, что модифицированные отжигом базальтовые нити обеспечивают повышение физико-химического взаимодействия в системе нить – полимерное связующее, в результате возрастают σi на 23-50% и σсд на 30-70%, твердость на 60%, водопоглощение снижается на 22%.
Таблица 2
Сравнительные характеристики полимерных композиционных материалов (ПКМ), сформованных по ИТ и традиционному способу на основе стеклянных и базальтовых нитей
Вид наполнителя |
Твердость по Бринеллю, МПа |
Разрушающее напряжение при сдвиге, МПа |
Разрушающее напряжение при изгибе, МПа |
Модуль упругости при изгибе, ГПа |
Плотность, кг/м3 |
Водопоглощение при 2-часовом кипячении, % |
| БН |
420/376 |
26/22 |
635/520 |
45/37 |
2030 1710 |
0,21/0,33 |
| Стеклонить |
400/355 |
28/24 |
400/206 |
28/15 |
1900 1650 |
0,28/0,38 |
Примечание: В числителе значения по ИТ, в знаменателе – при традиционной пропитке нитей олигомерами
Представляется перспективной модификация смеси мономеров малой активной добавкой олигооксипропиленгликоля – ООПГ (в количестве 2%) -
CH3 CH3 CH3
ú ú ú
OH ¾ CH ¾ CH2
(O ¾ CH ¾CH2
)n
¾ CH ¾ CH2
¾ OH, обеспечивающего повышение взаимодействия фенолформальдегидного олигомера с базальтовой нитью путем образования мостичных химических связей по схеме:
Таблица 3
Сравнительные физико-химические характеристики БП, на основе исходных и термообработанных БН разных производителей
| Вид наполнителя (длина 120 мм) |
Твердость по Бринеллю,МПа |
Разрушающее напряжение при изгибе, МПа |
Модуль упругости при изгибе, ГПа |
Разрушающее напряжение при сдвиге, МПа |
Удельная ударная вязкость, ауд. , кДж/м2 |
Плотность, ρ, кг/м3 |
Водопоглощение при 2-часовом кипячении, W, % |
| БНб с активным замасливателем |
420 |
635 |
45 |
26 |
200 |
2030 |
0,21 |
| БН-1 с инертным замасливателем |
203 |
422 |
32 |
12 |
190 |
1935 |
0,33 |
| БН-1* |
338 |
518 |
39 |
16 |
210 |
2000 |
0,26 |
| БН-2 с инертным замасливателем |
196 |
192 |
16 |
7 |
154 |
1511 |
0,44 |
| БН-2* |
301 |
289 |
22 |
12 |
178 |
1607 |
0,35 |
Примечание: * - базальтовая нить, термообработанная в течение 1 часа при 2500 С
При этом возрастает текучесть олигомера по поверхности контакта, снижаются напряжение в сформированной трехмерной сетке и различия в усадке матрица – армирующая нить.
Результатом является повышение механических характеристик и водостойкости БП: σi увеличивается на 20%, ударная вязкость - на 25%, водопоглощение при 2-часовом кипячении уменьшается на 35%.
О формировании более термостойкой сшитой структуры модифицированных БП свидетельствуют данные термогравиметрического анализа (табл.4).
Таблица 4
Термостойкость базальтопластиков, модифицированных ООПГ
| БП |
Потери массы, % при температуре 0 С |
Энергия активации, кДж/моль |
||||
| 100 |
200 |
400 |
600 |
800 |
||
| Немодифицированный |
0,2 |
1,5 |
7,5 |
16,0 |
21 |
547,0 |
| Модифицированный |
0,1 |
1,0 |
5,0 |
15,0 |
19 |
591,0 |
Для спеццелей экономически эффективно армировать БП гибридной волокнистой системой, состоящей из углеродных и базальтовых нитей. По механическим характеристикам такой материал приближается к углепластикам (табл.5) и в несколько раз снижается его стоимость.
Таблица 5
Сравнительные характеристики гибридных ПКМ на основе УН и БН
| Состав наполнителя |
Твердость по Бринеллю, МПа |
Разрушающее напряжение при изгибе, МПа |
Водопоглощение при двухчасовом кипячении, % |
| УН |
840 |
632 |
0,39 |
| УН + 10% БН |
800 |
610 |
0,33 |
| УН + 20% БН |
750 |
590 |
0,30 |
| УН + 30% БН |
720 |
570 |
0,27 |
| УН + 40% БН |
700 |
550 |
0,23 |
| БН |
680 |
420 |
0,20 |
Таким образом, разработанная интеркаляционная технология обеспечивает:
- формирование БП с повышенными механическими и физико-химическими характеристиками;
- эффективность модификации БП методами: отжига замасливателя с поверхности базальтовой нити, введением в смесь мономеров малого количества активной добавки и гибридизацией армирующих волокон в разных соотношениях.
СИНТЕЗ НОВОГО ПОЛИМЕРНОГО АНТИОКСИДАНТА РАЗЛИЧНОГО ФУНКЦИОНАЛЬНОГО НАЗНАЧЕНИЯ
М.Г.Бабаханова
Научно-технологический комплекс «Фан ва тараккиёт» (Узбекистан)
Бурное развитие различных областей народного хозяйства вызывает необходимость в расширении ассортимента материалов, поставляемых полимерной промышленностью. Одновременно возрастают и требования, предъявляемые к высокомолекулярным соединениям. Они должны обладать такими специфическими свойствами, как термическая, радиационная стойкость, прочность, эластичность, твердость, способность к дальнейшим химическим превращениям.
В этом плане одним из основных направлений современных исследований является синтез олигомерных и полимерных стабилизаторов, антиоксидантов для получения термостойких композиционных материалов.
Исходя из вышеизложенного, нами синтезирован легко доступный мономер-стабилизатор [1], который в своем составе содержит серосодержащее производного тиазола. Благодаря наличию реакционноспособного атома галоида в хлорангидриде акриловых и метакриловых кислот возможен синтез ряда новых мономеров, содержащих разнообразные функциональные группы, которые способствуют в дальнейшем получению полимеров и композитов на их основе с заранее заданными свойствами, в частности, имеющих «стабилизирующие» группы.
Анализируя существующие литературные данные, установили, что непосредственно взаимодействием хлорангидрида метакриловых кислот с натриевой солью 2-меркаптобензтиазола в гетерогенной среде был синтезирован мономерный стабилизатор 2-тиобензтиазолметакрилат.
Для определения оптимальных условий полимеризации 2-тиобензтиазол-метакрилата было изучено влияние различных факторов на процесс полимеризации в присутствии кислорода воздуха, в среде азота, а также в вакууме. Из результатов исследования (табл.1), видно, что при одной и той же концентрации инициатора скорость полимеризации в присутствии атмосферного кислорода снижается.
Это указывает на то, что в процессе полимеризации полимерные цепи, вступая в реакцию со свободными радикалами, образуют перекисные группы, которые устойчивы в условиях изучаемых температур и тем самым ингибируют процесс полимеризации, вследствие чего уменьшаются скорость полимеризации и молекулярная масса образующегося полимера.
Таблица 1
Зависимость степени превращения политиобензтиазолметакрилата от продолжительности реакции при различных условиях (Т=343К)
| Условия реакции |
Время, с×102 |
Выход, % |
| Кислород |
18 36 54 |
5 10 15 |
| Азот |
18 36 54 |
10 20 30 |
| Вакуум |
18 36 54 |
30 50 65 |
С целью выяснения влияния температуры на кинетику гомополимеризации 2-тиобензтиазолметакрилата, нами был изучен процесс полимеризации при различных температурах и постоянной концентрации мономера и инициатора. Исследование показало (табл.2), что полимеризация 2-тиобензтиазолметакрилата протекает в присутствии радикальных инициаторов при температуре 343-358 К и выше.
Таблица 2
Зависимость скорости полимеризации и выхода полимера в бензольном растворе от температуры ( концентрация 2-тиобензтиазолметакрилата – 1,702 моль/л, ДАК – 0,0243 моль/л )
| Темпера – тура, К |
Время, с |
Выход, % |
lg 100 100-х |
Кп . 103 мин-1 |
Средняя скорость полимеризации, моль/л.с.104 |
| 338 348 358 |
300 600 900 1200 1500 300 600 900 1200 1500 300 600 900 1200 1500 |
1,0 1,3 2,2 3,1 4,0 1,6 3,2 4,8 6,6 8,4 3,0 5,6 8,0 10,2 12,5 |
0,0043 0,0056 0,0096 0,0136 0,0177 0,0032 0,0032 0,0032 0,0034 0,0035 0,0132 0,0250 0,0362 0,0467 0,0579 |
1,59 3,32 5,66 |
1,15 2,45 4,18 |
Таким образом, установлено, что на процесс полимеризации существенно влияет температура среды. На основании результатов по изучению влияния температур на процесс полимеризации была вычислена кажущаяся энергия активации процесса полимеризации тиобензтиазолметакрилата, составляющая 67, 87 кДж/моль, что характерно для акриловых и метакриловых мономеров.
Литература
1. А.с. СССР № 525679 2-меркапто-бензтиазолметакрилаты как термостабилизаторы полимеров и способ их получения / О.М.Яриев, А.Т.Джалилов, М.А.Аскаров и др., 1976.
УДК 541.6
Новые термочувствительные сополимеры 2-гидроксиэтилакрилата и бутилакрилата и интерполимерные реакции с их участием
А.Б.Бейсегул, П.И.Уркимбаева, Г.А.Мун, С.М.Нигм, З.С.Нуркеева
Казахский национальный университет им. аль-Фараби (Казахстан)
В настоящей работе для синтеза новых термочувствительных полимеров использован подход, основанный на сополимеризации мономеров с существенным различием в гидрофильно-гидрофобном балансе химической структуры, что позволяет регулировать соотношение гидрофильных и гидрофобных звеньев в макроцепях и соответственно, температуру фазовых переходов в системе полимер-вода в широких пределах. В качестве исходных сомономеров использован гидрофильный 2-гидроксиэтил-акрилат (ГЭА) и гидрофобный бутилакрилат (БА).
Для оценки относительной активности ГЭА и БА в радикальной сополимеризации методом дилатометрии была исследована кинетика процесса. При этом установлено, что скорость сополимеризации практически не зависит от состава исходной мономерной смеси (ИМС). Для сополимеров (СПЛ), выделенных на начальных стадиях конверсии, методом ЯМР(Н1 )-спектроскопии (ЯМР-спектрометр «Bruker Avance 250 DPX», Великобритания) определен состав по соотношению интегральных интенсивностей сигналов ЯМР-спектра в области 4,70-4,83 м.д. и 3,53-3,55 м.д., принадлежащих гидроксильным и СН2 -группам в a-положении к гидроксилу звеньев ГЭА, соответственно, а также пиков в области 0,84-0,9 м.д и относящихся к метильным группам звеньев БА. Как видно из таблицы, содержание сомономеров в составе СПЛ практически не отличается от их концентрации в исходной мономерной смеси. Обработка этих данных по уравнениям Майо-Льюиса и Файнмана-Росса, показала, что для обоих сомономеров константы сополимеризации близки к единице и равны для r1 = 0,95 (ГЭА) и г2 =0,94 (БА). Следовательно, ГЭА и БА проявляют практически одинаковую реакционную способность и для них характерна «азеотропная» сополимеризация.
Состав, молекулярно-массовые характеристики и характеристическая вязкость для сополимеров ГЭА-БА
| Состав ИМС |
Состав сополимеров |
hуд /С, дл/г |
Мn |
Mw /Mn |
||
| ГЭА, мол.% |
БА, мол.% |
ГЭА, мол.% |
БА, мол.% |
|||
| 30,0 |
70,0 |
29,1 |
70,9 |
0,45 |
||
| 40,0 |
60,0 |
40,4 |
59,6 |
0,46 |
||
| 50,0 |
50,0 |
50,6 |
49,4 |
0,45 |
||
| 60,0 |
40,0 |
60,9 |
39,1 |
0,44 |
||
| 70,0 |
30,0 |
71,0 |
29,0 |
0,43 |
119 900 |
1,59 |
| 80,0 |
20,0 |
81,2 |
18,8 |
0,42 |
130 260 |
1,58 |
| 90,0 |
10,0 |
91,2 |
8,8 |
0,41 |
102 970 |
1,58 |
| 95,0 |
5,0 |
95,2 |
4,8 |
0,42 |
113 370 |
1,96 |
В работе для полученных СПЛ ГЭА-БА изучены молекулярно-массовые характеристики с помощью гель-проникающего хроматографа, оборудованного детектором Aligent 1100 series RI (см. таблицу). Анализ полученных результатов показывает, что сополимеры обладают достаточно высокой молекулярной массой (порядка 104 ), значение которой зависит от состава ИМС и соответственно, от состава СПЛ. Кроме того, большинство СПЛ ГЭА-БА характеризуются низким значением коэффициента полидисперсности, что свидетельствует о достаточно узком молекулярно-массовом распределении полученных сополимеров. Характеристическая вязкость спиртовых растворов сополимеров незначительно увеличивается с увеличением содержания БА в ИМС, что, возможно, связано с улучшением термодинамического качества растворителя с повышением содержания БА в составе сополимера.
На основе изучения влияния температуры на оптическую плотность водных растворов сополимеров различных концентраций методом турбидиметрии (УФ-спектрофотометр «UV-2401-РС Shimadzu» Япония при l= 400 нм) построены фазовые диаграммы растворения (рис.1), из которых следует, что водные растворы СПЛ ГЭА-БА характеризуются наличием нижней критической температуры растворения (НКТР).
Наличие НКТР для сополимеров ГЭА-БА обусловлено определенным сочетанием гидрофильных и гидрофобных звеньев в структуре сополимера. Значение НКТР зависит от состава СПЛ, при этом СПЛ с большим содержанием гидрофобного компонента (БА) выпадает в осадок при более низких температурах. Таким образом, новые линейные сополимеры ГЭА-БА проявляют свойства, характерные для термочувствительных полимеров.

Рис.1. Фазовые диаграммы растворимости водных растворов сополимеров ГЭА-БА: [ГЭА]:[БА]= 95,2:4,8(1), 93,3:6,7(2), 91,2:8,8 мол.%
В работе изучены интерполимерные взаимодействия СПЛ ГЭА-БА с поликарбоновыми кислотами - полиакриловой (ПАК) и полиметакриловой (ПМАК). На рис. 2 показано, что смешение водных растворов СПЛ ГЭА-БА с растворами поликарбоновых кислот (ПКК) сопровождается экстремальным снижением приведенной вязкости и повышением мутности системы, что свидетельствует об образовании интерполимерных комплексов (ИПК), стабилизированных кооперативной системой водородных связей. Положение экстремумов указывает на формирование поликомплексов стехиометрического (для системы СПЛ-ПАК) и нестехиометрического (для системы СПЛ-ПМАК) составов.
В ИК-спектре (ИК-спектрометр с Фурье-преобразованием «Satellite FTIR Mattson», США) поликомплекса отчетливо проявляются характеристические полосы, принадлежащие обоим полимерным компонентам.
В качестве критерия комплексообразующей способности полученных сополимеров к поликарбоновым кислотам использовалась критическая величина комплексообразования (рНкрит ), рН растворов регулировалась с помощью цифрового иономера ²Jenway-3345² (Великобритания). Показано, что повышение содержания гидрофобных звеньев БА в составе СПЛ способствует сдвигу величины рНкрит в область более высоких значений рН. Это свидетельствует о возрастании комплексообразующей способности СПЛ по отношению к ПАК за счет усиления вклада гидрофобных взаимодействий в дополнительную стабилизацию поликомплекса, однако, для системы СПЛ-ПМАК такого влияния звеньев БА на устойчивость образующегося ИПК не наблюдается. При увеличении концентрации исходных полимерных компонентов, молекулярной массы ПАК, ионной силы раствора также наблюдается сдвиг критических величин рН в область больших значений. Показано, что присутствие в растворе поверхностно-активных веществ (ПАВ) катионного и анионного типов способствуют снижению комплексообразующей способности системы.
Таким образом, методом радикальной сополимеризации получены новые термочувствительные водорастворимые сополимеры на основе 2-гидроксиэтилакрилата и бутилакрилата. Определены составы сополимеров и их молекулярно-массовые характеристики. Установлено, что для водных растворов линейных сополимеров характерно наличие нижней критической температуры растворения, значение которой удается регулировать варьированием гидрофильно-гидрофобного баланса макроцепей сополимеров. Методами вискозиметрии, турбидиметрии и ИК-спектро-скопии исследовано взаимодействие новых сополимеров 2-гид-роксиэтилакрилата и бутилакрилата с поликарбоновыми кислотами.
УДК 678.5
ПОЛУЧЕНИЕ НА ОСНОВЕ ОКСИДОВ МЕТАЛЛОВ КОМПОЗИЦИОННЫХ ПОКРЫТИЙ ПРИ ПОЛЯРИЗАЦИИ ПЕРЕМЕННЫМ АСИММЕТРИЧНЫМ ТОКОМ
Ж.И.Беспалова, Л.Г.Мирошниченко,
И.А.Пятерко, Ю.А.Ловпаче, Ю.Д.Кудрявцев
Южно-Российский государственный технический университет
(Новочеркасский политехнический институт)
Представляется перспективным получение на базе анодного оксида алюминия (АОА) композиционных покрытий (Пк) [1] путем наполнения оксида политетрафторэтиленом (ПТФЭ), осуществляемое либо пропиткой [2,3] сформированного оксида, либо совмещением пропитки с анодным окислением металла постоянным током [4]. Такие Пк обладают высокими антикоррозионными и диэлектрическими свойствами, могут служить хорошим подслоем для последующего нанесения фторполимерного Пк. Применение переменного асимметричного тока для этих целей более эффективно, так как позволяет регулировать пористость и толщину АОА и влияет на распределение по глубине пор веществ, осаждающихся на электродах [5].
Формирование АОА с одновременным заполнением его ПТФЭ проводили из фонового электролита, содержащего серную, щавелевую и сульфосалициловую кислоты переменным асимметричным током промышленной частоты [6].
Ячейкой служил стеклянный стакан, в который помещали рабочий электрод из технического алюминия А99,5, свинцовый противоэлектрод, термометр и магнитную мешалку. Поверхностное сопротивление образцов определяли в 0,1 М растворе сульфата натрия с помощью моста переменного тока Р-568 при частоте 520 Гц и напряжении на образце не более 10 мВ. Содержание фтора в АОА определяли на пленках, полученных в условиях, близких к оптимальным, методом рентгеновской флуоресценции [7] на спектрометре фирмы Rigaki серии 3270. В качестве образца сравнения использовали диск из фторопласта. Изменяемыми параметрами были средний анодный ток, концентрация щавелевой кислоты и ПТФЭ. Количество сульфосалициловой кислоты (9,3 г/л), серной (15 г/л) и средний катодный ток (9,5 мА) поддерживали постоянными (табл.1).
Таблица 1
Сопротивления пленок и содержание в них фтора при разных условиях получения
| № оп. |
Анодный средний ток, мА |
Концентрация щавелевой кислоты, г/л |
Концентрация ПТФЭ, г/л |
Сопротивление (Ом) АОА, сформированного в растворе |
Содержание фтора, масс. % |
|
| фона |
фона с добавкой с ПТФЭ |
|||||
| 1 |
0,3 |
40 |
25 |
2147 |
6021 |
5,1 |
| 2 |
0,3 |
80 |
5 |
2677 |
5014 |
1,8 |
| 3 |
0,9 |
80 |
25 |
3366 |
6551 |
5,7 |
| 4 |
0,3 |
40 |
5 |
2147 |
3408 |
2,8 |
| 5 |
0,9 |
40 |
25 |
1778 |
13971 |
7,5 |
| 6 |
0,9 |
60 |
15 |
3684 |
10600 |
6,6 |
| 7 |
1,5 |
84 |
39 |
2677 |
4431 |
5,2 |
| 8 |
2,1 |
100 |
55 |
2894 |
3371 |
4,0 |
| 9 |
0,9 |
40 |
5 |
1778 |
7134 |
0,87 |
| 10 |
0,3 |
80 |
25 |
640 |
2364 |
13,9 |
| 11 |
0,9 |
80 |
5 |
3366 |
7081 |
2,2 |
Статистический анализ полученных результатов показывает, что самая сильная связь у измеряемых параметров обнаруживается между сопротивлением пленки и содержанием в ней фтора (если отбросить две точки – с максимальным сопротивлением и минимальным содержанием фтора). Коэффициент корреляции составляет 0,8. Следовательно, независимо от условий получения пленки, ее сопротивление в основном определяется содержанием в ней фтора. При содержании фтора выше 10 %, сопротивление пленки падает (опыт 10). Объясняется это возрастанием толщины Пк и его частичным отслаиванием, что можно наблюдать, рассматривая образцы под микроскопом.
Литература
1. Сайфулин Р.С. Физико-химия неорганических и композиционных материалов. / Р.С.Сайфулин, М.: Химия, 1990. 239 с.
2. Заявка 4124730 Германия [DE], МКИ С 25 D 11/18, B 05 D 7/17. Способ введения полимеров в микропористые поверхности. 1994. Бюл. №4. С.3.
3. Пат. 0537867 ЕПВ МКИ С 25 D 11/18, 11/20. Способ получения изделия из композиционного материала на основе алюминия. 1994. Бюл. №8. С.8.
4. Пат. 1-212795 Япония МКИ С 25 D 11/04, 11/08, 11/10, 11/18. Способ пропитки ПТФЭ алюминиевого пленочного гальванопокрытия анодным окислением. 1990. Бюл.№7. С.29.
5. Кудрявцев Ю.Д. Распределение количества прошедшего электричества в пористом электроде при поляризации переменным током / Ю.Д.Кудрявцев, Ф.И.Кукоз, Н.Е.Галушкин // Электрохимия. 1989. Т.25, №6. С.887-893.
6. Зорохович А.Е. Устройства для заряда и разряда аккумуляторных батарей. / А.Е.Зорохович, В.А.Бельский, Ф.И.Эйгель. М.: Энергия, 1975. 63 с.
7. Пилипенко А.Г. Аналитическая химия. / А.Г.Пилипенко, И.А.Пятницкий. М.: Химия, 1990. Т.2. 846 с.
УДК 691:681.5
РАЗВИТИЕ НАУЧНЫХ ОСНОВ И МЕТОДОВ СИНТЕЗА композиционных МАТЕРИАЛОВ специального назначения
Пензенский государственный университет архитектуры и строительства
С начала второй половины XX в. возникла и получила последующее развитие теория искусственных строительных конгломератов (ИСК) как важнейший компонент современного строительного материаловедения. Она была разработана И.А. Рыбьевым и его научной школой. В ней изложены: сущность теоретической технологии; научные принципы формирования оптимальных структур, при которых материалы становятся подобными между собой экстремальными значениями структурочувствительных свойств; общие и притом объективные (т.е. встречающиеся в природе) закономерности изменения свойств (закон створа, закон конгруэнции, закон прочности и некоторых других свойств) в математических выражениях; основные аспекты долговечности материалов; теория методов (методология) научного исследования и технического контроля качества и т.п.
Общая теория ИСК состоит из четырех взаимосвязанных разделов – теория структурообразования; структурная теория прочности, деформированности и конгруэнции свойств ИСК при оптимальных структурах; теория долговечности ИСК в конструкциях зданий и сооружений; теория методов научного исследования и технического контроля качества ИСК.
Оптимальная структура характеризуется: равномерным распределением по объему заполнителя, фаз, компонентов, пор и других составляющих ее элементов; отсутствием или минимальным содержанием дефектов как концентраторов напряжений или аккумуляторов агрессивной среды; наличием непрерывной пространственной сетки, или матрицы, из вяжущего вещества; минимальным значением отношения массы среды к массе твердой фазы, именуемого условно как фазовое отношение; наибольшей плотностью упаковки твердых частиц как в микро-, так и в макроструктурной частях.
Многолетний процесс накапливания теоретических и практических знаний об отдельных материалах и технологиях достиг такой интенсивности, что назрела настоятельная необходимость качественной трансформации и систематизации этих знаний в рамках единой обобщающей теории. Такой теорией стала полиструктурная теория, разработанная В.И. Соломатовым и его школой в 60-70-е годы прошлого столетия. Ее появление обусловлено объективной необходимостью систематизации и обобщения огромной научной и практической информации о технологиях конкретных строительных материалов на традиционных и новых связующих с применением последних достижений физики, химии и других фундаментальных наук. Это, прежде всего, касается бетонов на цементных, асфальто-битумных, полимерных, металлических и других связующих, информация о которых рассеяна по многочисленным источникам, различно и противоречиво трактующих их получение, свойства и применение в строительстве.
Главная отличительная особенность новой теории заключается в том, что принцип полиструктурности представляется не только как классификационный фактор или методический прием для объяснения тех или иных особенностей структуры и свойств материала, а как ключ к направленному изменению и формированию требуемых физико-технических свойств этого материала и к назначению его рациональной технологии. В соответствии с этой теорией бетоны представляются полиструктурными, т.е. составленными из многих структур (от атомных и молекулярных до грубых макроструктур), переходящих одна в другую по принципу «структура в структуре». С инженерной точки зрения, наиболее важно рассмотрение общей структуры на двух характерных уровнях: микроструктура и макроструктура. Такое разделение структуры достаточно для практической технологии и хорошо отражает объективные закономерности структурообразования и формирования свойств композитов – бетонов. При этом имеется в виду, что внутри микро- и макроструктуры заключены структуры, отличные от рассматриваемых уровней.
За прошедшие годы был накоплен огромный опыт проектирования и производства строительных материалов и композитов специального назначения. Помимо строительного материаловедения произошел бурный рост множества других наук: математики, кибернетики, физики, философии и т.п. и появилась возможность соединения лучших достижений смежных наук для нужд строительства. Это привело к дальнейшему развитию основ строительного материаловедения. В частности, авторами предпринимается попытка применить достижения теории оптимального управления и системного анализа при синтезе композиционных материалов специального назначения.
В настоящее время существует актуальная потребность создания наукоемких методологий для начальных этапов поиска решений трудных, нестандартных практических задач, содержащих трудно формализуемые и высокие требования к качеству управления, оценивания и прогнозирования. При разработке таких методологий основную роль играет системный подход к исследованию проблем идентификации, фундаментальные исследования математических и вычислительных проблем управления, концептуальных аспектов идентификации и моделирования, компьютерных проблем развития информационно-вычислительной среды. Это в полной мере относится и к строительному материаловедению.
При решении задач идентификации возникает вопрос: существуют ли какие-либо чувственно-воспринимаемые наглядные характеристики объективной реальности, измерения которых позволили бы достоверно утверждать, что при поиске решения практической проблемы лучше использовать непараметрические условия, чем параметрические (или наоборот); или все зависит от априорной нацеленности исследователя на применение определенного математического аппарата и от степени его разработанности (от наличия достаточных для отыскания решения практических проблем операциональных возможностей)? Конкретные математические и прикладные исследования часто опережаются и подсказываются математической интуицией и методологией.
Применение математического аппарата теории управления осложняется абстрактностью и отсутствием наглядности основных математических понятий, настолько сильно отличающихся от естественных для человека базисных понятий, что возникает необходимость создания возможностей перехода от явлений реального мира в виртуальный мир математической теории и обратно из виртуального – в объективную реальность (идентификации). В процессе идентификации создаются все необходимые описания реальности. Переход от объективной реальности к модельным представлениям математической теории и обратно связан с внутренними механизмами реальной идентификации со способностями субъекта идентификации, с возможностями информационной поддержки. Ясно одно, любая методология будет включать процесс человеческого выбора при выработке текущего выполнения процесса идентификации.
Под структурной идентификацией в настоящее время понимается поиск адекватного семейства математических моделей (альтернатив) для параметрической или непараметрической идентификации. В определении не указывается, что понимать под словами «поиск», «адекватность». В настоящее время нет общепризнанного толкования их смысла и значения и детально разработанных трактовок. На предметно-содержательном наглядном уровне поиск осознается как сложная интеллектуальная деятельность, где доминирующую роль играют технологические и теоретические знания, интуиция, здравый смысл и опыт субъекта идентификации; для формулировки его научного понятия целостный наглядный образ реальных процессов следует выразить на языке теории идентификации. На концептуальном (объяснительном) уровне считается, что в процессе структурной идентификации существенную роль играют интуиция и жизненный опыт лица, принимающего решение. На уровне конкретного теоретического исследования основные интеллектуальные усилия направляются на структуризацию и абсолютную формализацию данного процесса. В рамках математического дисциплинарного образа наиболее важны теоретические исследования по разработке алгоритмов генерации и перебора структур (структура – заданное семейство математических уравнений), выбор и оценка качества «наилучшей» структуры. Налицо конфликт между разными образами структурной идентификации, являющийся важным фактором постановки и решения новых теоретических задач. Не менее сложная ситуация связана со словом «адекватность».
В настоящее время содержанием математической теории структурной идентификации является математическое моделирование и исследование актуальных проблем локальных фрагментов без учета их реального контекста (их учет возможен при наличии отображения всего наглядного образа на дисциплинарный уровень при разработанных математических основах структурной идентификации).
Широко распространено словосочетание «структура математической модели объекта». Смысл выражения интуитивно ясен. Сложность вызывает обоснование употребления слова «структура». В математике этот термин имеет точно определенный смысл и существенно отличается от традиционно принятого в теории идентификации. Поэтому в настоящее время употребляется выражение «тип модели объекта», которое трактуется как семейство уравнений, к которому принадлежит модель объекта (в случаях, когда речь идет не о математической модели, например, «структура содержательной модели объекта», внутренних возражений употребления слова «структура» не возникает).
Приведем основные задачи, непосредственно связанные с проблемой структурной идентификации. В их числе:
- математический выбор типа ковариационной матрицы выхода многомерной системы, порядков дискретных динамических моделей на основе ранговых критериев, типа модели нелинейного динамического объекта;
- оценивание достоверности результатов при использовании различных методов практической идентификации;
- переход от идеи к адекватной математической задаче;
- локальная и глобальная идентифицируемость типа модели в пространстве состояний;
- автоматизация процессов структурной и параметрической идентификации;
- математический выбор типа моделей нелинейной системы из нескольких семейств нелинейных дифференциальных уравнений при различных входных процессах и воздействиях;
- многомерный статистический контроль технологического процесса по регрессионным остаткам и др.
Концепция структурной идентификации допускает наличие человеческого фактора. Интуиция, жизненный опыт и здравый смысл признаются в качестве основных инструментов субъекта структурной идентификации (доминирование творческих способностей человека над ценностью современного теоретического знания).
Допускаются различные типы структурной идентификации (в узком смысле понимается как особая человеческая деятельность, направленная на построение адекватной математической постановки практической задачи), включающей этапы:
- разработка содержательной постановки практической задачи,
- выбор математической задачи с заданными параметрами,
- поиск адекватных значений заданных параметров математической задачи,
- коррекция содержательной постановки практической задачи,
- предварительный выбор и алгоритмизация адекватной постановки,
- поиск решения пробной постановки практической задачи и др.
Как видим, идентификация рассматривается как процесс порождения знания, необходимого для внедрения в практику методов и алгоритмов математики.
При поиске решений задач управления сложными системами (например, управления качеством строительных материалов) наибольшая ответственность возникает при процедуре принятия решений. Такие объекты плохо формализуемы. К ним сложно применить аппарат математического программирования, построить математические модели объектов и т.д. Сама процедура принятия решения затрудняется сложной иерархией задач. Задачи оперативного управления являются лишь фрагментами глобальной задачи управления качеством и локальной задачи; должны отслеживаться их критерии. Попытки строить полностью автоматические системы управления качеством, в большинстве случаев обречены на неудачу, поскольку Человек имеет безусловный приоритет перед результатами анализа (например, многокритериальная оценка строительных материалов коллективом экспертов). Поэтому любые попытки создания автоматизированных систем оценки качества с применением алгоритмов параметрической идентификации являются актуальными. В обозримом будущем вряд ли можно будет говорить о решении всех вопросов теории идентификации. Создание и внедрение прототипов новых систем идентификации чрезвычайно актуальны. Однако это не исключает актуальности и тиражирования эталонных прикладных разработок теории идентификации в различные отрасли промышленности (например, создание шкалы оценок качества материалов, аналогичной шкале Купера-Харпера, используемой для оценки пилотажных свойств летательных аппаратов).
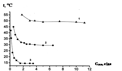
В основе разработки методов оптимизации структуры и свойств строительных материалов лежит решение задачи идентификации кинетических процессов в гомогенных и гетерогенных системах. Поскольку при разработке материалов, как правило, имеются экспериментально полученные зависимости изменения контролируемых параметров от времени, наибольший интерес представляют методы идентификации динамических процессов по данным нормального функционирования и по синхронным измерениям фазовых координат в процессе нормальной эксплуатации. Наиболее перспективным при разработке методики синтеза материалов представляется использовать данные о кинетических процессах формирования физико-механических характеристик материалов, обычно имеющих вид кривых, приводимых на рисунке.
Указанные процессы в большинстве случаев можно рассматривать как решение дифференциальных уравнений n-порядка при заданных начальных условиях. При этом, во всяком случае, при начале исследования, поиск динамической модели процесса (дифференциального уравнения заданного порядка) можно осуществить в предположении постоянства параметров модели.

Некоторые виды кинетических процессов в строительных материалах
(1 – в гомогенной, 2, 3 – в гетерогенной системах)
Будем предполагать, что контролируемый параметр x с течением времени асимптотически приближается к эксплуатационному значению x=xm . При указанных предположениях задача синтеза материалов последовательно сводится к:
- решению общей задачи идентификации (выбору порядка и вида дифференциального уравнения);
- параметрической идентификации в рамках выбранной структуры (определению параметров модели);
- изучению влияния параметров модели на вид кинетических процессов в рамках выбранной модели;
- оптимизации параметров модели;
- установлению связи параметров модели и контролируемых параметров;
- оптимизации рецептуры и технологии производства материала в соответствии с полученными оптимальными параметрами модели.
Предлагаемая методика синтеза материала основывается на использовании характерных признаков экспериментально полученных данных о кинетических процессах в строительных материалах. Это, прежде всего, наличие или отсутствие точек перегиба, апериодичность, а также отсутствие колебательности переходных процессов.
Параметрическая идентификация кинетических процессов сводится к определению параметров обобщенной модели (например, корней характеристического полинома).
При решении отдельных задач целевая функция формируется с учетом как реакции системы на пробные воздействия, так и синхронных измерений характеристик системы и управляющих воздействий в процессе нормальной эксплуатации.
Учитывая сложность моделей систем и трудность установления влияния рецептурно-технологических параметров на характеристики материалов, определяется методика управления выходными характеристиками материала (на основе изучения кинетических процессов формирования физико-механических характеристик материала). Определяются перекрестные связи между свойствами материала. На их основе уточняются структурные и математические модели систем и подсистем с последующей идентификацией параметров (для отдельных систем – из условий получения экстремумов целевых функций).
Построение модели осуществляется в рамках дифференциальных уравнений с постоянными коэффициентами, порядок которых выбирается, исходя из числа точек перегиба. Корни характеристического уравнения предполагаются действительными и отрицательными. Решение задачи Коши ищется в форме уравнения Эйлера. В дальнейшем устанавливается связь между корнями уравнения и параметрами модели.
Для синтеза материала в дальнейшем разрабатывается функционал качества, учитывающий связь характеристик материала с корнями характеристического бинома и коэффициентами уравнения. Строятся области равных оценок, позволяющих использовать регулярные методы синтеза материалов.
Методика легко обобщается на случай более сложных кинетических процессов, имеющих больше одной точки перегиба, и прошла апробацию при синтезе полимерных композиционных материалов для защиты от радиации с регулируемыми параметрами структуры и свойств.